Effect of Annealing Temperature on Electrical Properties of ZTO Thin-Film Transistors
Abstract
:1. Introduction
2. Materials and Methods
3. Results
3.1. Thin-Film Transmission Spectrum Analysis
3.2. Film AFM Characterization Analysis
3.3. XRD Spectrum Analysis
3.4. XPS Photoelectron Spectroscopy Analysis
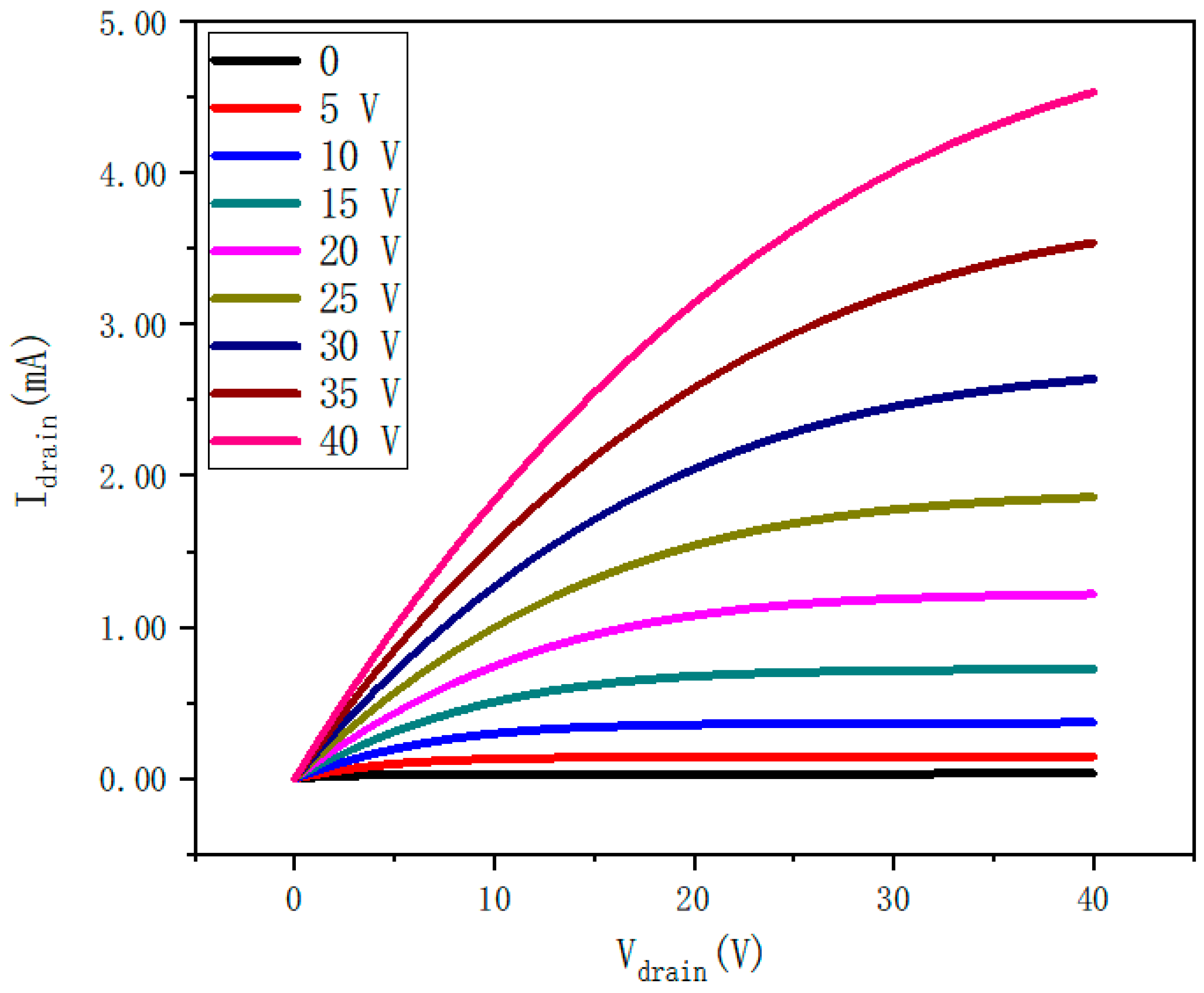
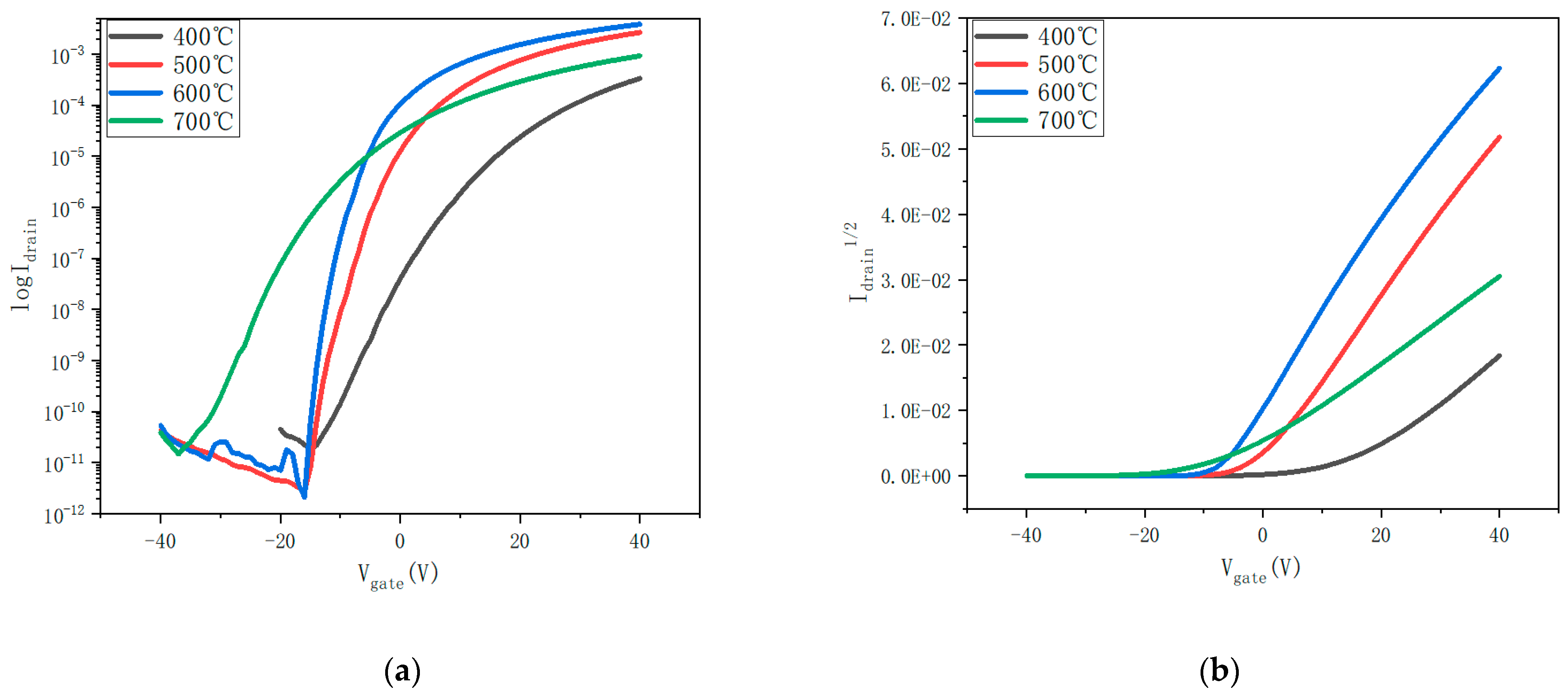
3.5. Device Electrical Performance Analysis
4. Conclusions
Author Contributions
Funding
Institutional Review Board Statement
Informed Consent Statement
Data Availability Statement
Acknowledgments
Conflicts of Interest
References
- Lim, W.; Wang, Y.L.; Ren, F.; Norton, D.P.; Kravchenko, I.I.; Zavada, J.M.; Pearton, S.J. Indium zinc oxide thin films deposited by sputtering at room temperature. Appl. Surf. Sci. 2008, 254, 2878–2881. [Google Scholar] [CrossRef]
- Lim, H.S.; Rim, Y.S.; Kim, D.L.; Jeong, W.H.; Kim, H.J. Carrier-suppressing effect of Mg in solution-processed Zn-Sn-O thin-film transistors. Electrochem. Solid State Lett. 2012, 15, H78. [Google Scholar] [CrossRef]
- Kim, M.H.; Lee, H.S. Effect of In addition and annealing temperature on the device performance of solution-processed In–Zn–Sn–O thin film transistors. Solid-State Electron. 2014, 96, 14–18. [Google Scholar] [CrossRef]
- Yang, J.H.; Choi, J.H.; Cho, S.H.; Pi, J.E.; Kim, H.O.; Hwang, C.S.; Park, K.; Yoo, S. Highly Stable AlInZnSnO and InZnO Double-layer Oxide Thin-film Transistors with Mobility over 50 cm2/Vs for High-Speed Operation. IEEE Electron Device Lett. 2018, 39, 508–511. [Google Scholar] [CrossRef]
- Li, Q.; Dong, J.; Han, D.; Xu, D.; Wang, J.; Wang, Y. Structural Engineering Effects on Hump Characteristics of ZnO/InSnO Heterojunction Thin-Film Transistors. Nanomaterials 2022, 12, 1167. [Google Scholar] [CrossRef]
- Nomura, K.; Ohta, H.; Ueda, K.; Kamiya, T.; Hirano, M.; Hosono, H. Thin-film transistor fabricated in single-crystalline transparent oxide semiconductor. Science 2003, 300, 1269–1272. [Google Scholar] [CrossRef]
- Liang, C.; Chau, J.L.H.; Yang, C.C.; Shih, H.H. Preparation of amorphous Ga–Sn–Zn–O semiconductor thin films by RF-sputtering method. Mater. Sci. Eng. B 2014, 183, 17–23. [Google Scholar] [CrossRef]
- Fuh, C.S.; Liu, P.T.; Huang, W.H.; Sze, S.M. Effect of annealing on defect elimination for high mobility amorphous indium-zinc-tin-oxide thin-film transistor. IEEE Electron Device Lett. 2014, 35, 1103–1105. [Google Scholar] [CrossRef]
- Li, J.; Huang, C.X.; Fu, Y.Z.; Zhang, J.H.; Jiang, X.Y.; Zhang, Z.L. Amorphous LaZnSnO thin films by a combustion solution process and application in thin film transistors. Electron. Mater. Lett. 2016, 12, 76–81. [Google Scholar] [CrossRef]
- Dai, S.; Wang, T.; Li, R.; Zhou, D.; Peng, Y.; Wang, H.; Zhang, X.; Wang, Y. Preparation and effects of post-annealing temperature on the electrical characteristics of Li–N co-doped ZnSnO thin film transistors. Ceram. Int. 2017, 43, 4926–4929. [Google Scholar] [CrossRef]
- Peksu, E.; Karaagac, H. Doping and annealing effects on structural, electrical and optical properties of tin-doped zinc-oxide thin films. J. Alloys Compd. 2018, 764, 616–625. [Google Scholar] [CrossRef]
- Wu, C.; Li, X.; Lu, J.; Ye, Z.; Zhang, J.; Zhou, T.; Sun, R.; Chen, L.; Lu, B.; Pan, X. Characterization of amorphous Si-Zn-Sn-O thin films and applications in thin-film transistors. Appl. Phys. Lett. 2013, 103, 082109. [Google Scholar] [CrossRef]
- Ahn, C.H.; Kim, Y.Y.; Kim, D.C.; Mohanta, S.K.; Cho, H.K. A comparative analysis of deep level emission in ZnO layers deposited by various methods. J. Appl. Phys. 2009, 105, 013502. [Google Scholar] [CrossRef]
- Allemang, C.R.; Cho, T.H.; Trejo, O.; Ravan, S.; Rodríguez, R.E.; Dasgupta, N.P.; Peterson, R.L. High-Performance Zinc Tin Oxide TFTs with Active Layers Deposited by Atomic Layer Deposition. Adv. Electron. Mater. 2020, 6, 2000195. [Google Scholar] [CrossRef]
- Bae, H.; Kwon, J.H.; Chang, S.; Chung, M.H.; Oh, T.Y.; Park, J.H.; Lee, S.Y.; Pak, J.J.; Ju, B.K. The effect of annealing on amorphous indium gallium zinc oxide thin film transistors. Thin Solid Films 2010, 518, 6325–6329. [Google Scholar] [CrossRef]
- Barquinha, P.; Pereira, L.; Goncalves, G.; Martins, R.; Fortunato, E. Toward high-performance amorphous GIZO TFTs. J. Electrochem. Soc. 2008, 156, H161. [Google Scholar] [CrossRef]
- Young, D.L.; Moutinho, H.; Yan, Y.; Coutts, T.J. Growth and characterization of radio frequency magnetron sputter-deposited zinc stannate, Zn 2 SnO 4, thin films. J. Appl. Phys. 2002, 92, 310–319. [Google Scholar] [CrossRef]
- Chiang, H.Q.; Wager, J.F.; Hoffman, R.L.; Jeong, J.; Keszler, D.A. High mobility transparent thin-film transistors with amorphous zinc tin oxide channel layer. Appl. Phys. Lett. 2005, 86, 013503. [Google Scholar] [CrossRef]
- Ko, J.H.; Kim, I.H.; Kim, D.; Lee, K.S.; Lee, T.S.; Cheong, B.; Kim, W.M. Transparent and conducting Zn-Sn-O thin films prepared by combinatorial approach. Appl. Surf. Sci. 2007, 253, 7398–7403. [Google Scholar] [CrossRef]
- Hwang, Y.H.; Seo, S.J.; Jeon, J.H.; Bae, B.S. Ultraviolet photo-annealing process for low temperature processed sol-gel zinc tin oxide thin film transistors. Electrochem. Solid State Lett. 2012, 15, H91. [Google Scholar] [CrossRef]
- Kameswara Rao, L.; Vinni, V. Novel mechanism for high speed growth of transparent and conducting tin oxide thin films by spray pyrolysis. Appl. Phys. Lett. 1993, 63, 608–610. [Google Scholar] [CrossRef]
- Fan, J.C.C.; Goodenough, J.B. X-ray photoemission spectroscopy studies of Sn-doped indium-oxide films. J. Appl. Phys. 1977, 48, 3524–3531. [Google Scholar] [CrossRef]
- Seo, S.J.; Hwang, Y.H.; Bae, B.S. Postannealing process for low temperature processed sol–gel zinc tin oxide thin film transistors. Electrochem. Solid State Lett. 2010, 13, H357. [Google Scholar] [CrossRef]
- Major, S.; Kumar, S.; Bhatnagar, M.; Chopra, K.L. Effect of hydrogen plasma treatment on transparent conducting oxides. Appl. Phys. Lett. 1986, 49, 394–396. [Google Scholar] [CrossRef]
- Ahn, B.D.; Choi, D.; Choi, C.; Park, J.S. The effect of the annealing temperature on the transition from conductor to semiconductor behavior in zinc tin oxide deposited atomic layer deposition. Appl. Phys. Lett. 2014, 105, 092103. [Google Scholar] [CrossRef]
- Shinde, S.S.; Korade, A.P.; Bhosale, C.H.; Rajpure, K.Y. Influence of tin doping onto structural, morphological, optoelectronic and impedance properties of sprayed ZnO thin films. J. Alloys Compd. 2013, 551, 688–693. [Google Scholar] [CrossRef]
- Lee, Y.G.; Choi, W.S. Electrohydrodynamic jet-printed zinc–tin oxide TFTs and their bias stability. ACS Appl. Mater. Interfaces 2014, 6, 11167–11172. [Google Scholar] [CrossRef]
- Sahoo, A.K.; Wu, G.M. Effects of argon flow rate on electrical properties of amorphous indium gallium zinc oxide thin-film transistors. Thin Solid Films 2016, 605, 129–135. [Google Scholar] [CrossRef]
- Lee, C.; Lee, W.; Kim, H.; Kim, H.W. Influence of annealing atmosphere on the structure, resistivity and transmittance of InZnO thin films. Ceram. Int. 2008, 34, 1089–1092. [Google Scholar] [CrossRef]
- Park, J.H.; Kim, Y.; Yoon, S.; Hong, S.; Kim, H.J. Simple method to enhance positive bias stress stability of In–Ga–Zn–O thin-film transistors using a vertically graded oxygen-vacancy active layer. ACS Appl. Mater. Interfaces 2014, 6, 21363–21368. [Google Scholar] [CrossRef]
- Hossain, F.M.; Nishii, J.; Takagi, S.; Ohtomo, A.; Fukumura, T.; Fujioka, H.; Ohno, H.; Koinuma, H.; Kawasaki, M. Modeling and simulation of polycrystalline ZnO thin-film transistors. J. Appl. Phys. 2003, 94, 7768–7777. [Google Scholar] [CrossRef] [Green Version]
- Cho, S.W.; Ahn, C.H.; Yun, M.G.; Kim, S.H.; Cho, H.K. Effects of growth temperature on performance and stability of zinc oxide thin film transistors fabricated by thermal atomic layer deposition. Thin Solid Films 2014, 562, 597–602. [Google Scholar] [CrossRef]









| Annealing Temperature/°C | Surface Roughness/nm |
|---|---|
| Not annealed | 1.2 |
| 400 | 3.5 |
| 500 | 2.3 |
| 600 | 2.1 |
| 700 | 2.3 |
| Annealing Temperature/°C | Proportion of Zn Element/% | Proportion of Sn Element/% | Proportion of O Element/% | Chemical Ratio of Sn to O (O-Zn)/Sn |
|---|---|---|---|---|
| Not annealed | 27.03 | 16.27 | 56.70 | 1.82 |
| 400 | 21.23 | 22.51 | 56.25 | 1.56 |
| 500 | 22.72 | 21.69 | 55.59 | 1.52 |
| 600 | 26.24 | 19.74 | 54.02 | 1.41 |
| 700 | 19.74 | 24.38 | 55.88 | 1.48 |
| Annealing Temperature/°C | Area Ratio of Zn2p/% | Area Ratio of Sn3d/% |
|---|---|---|
| Not annealed | 68.91 | 31.09 |
| 400 | 59.53 | 40.47 |
| 500 | 60.90 | 39.10 |
| 600 | 64.19 | 35.81 |
| 700 | 58.11 | 41.89 |
| Annealing Temperature/°C | O1s Fitting Peak OOM/% | O1s Fitting Peak OV/% | O1s Fitting Peak OS/% |
|---|---|---|---|
| Not annealed | 60.10 | 30.93 | 8.97 |
| 400 | 74.25 | 19.07 | 6.68 |
| 500 | 77.15 | 17.91 | 4.94 |
| 600 | 82.06 | 13.00 | 4.94 |
| 700 | 83.45 | 15.19 | 1.37 |
| Annealing Temperature/°C | μSAT (cm2/Vs) | VTH(V) | SS (V/decade) | Ion/Ioff | Ion/A | Ioff/A |
|---|---|---|---|---|---|---|
| 400 | 2.24 | 13.26 | 3.56 | 1.87 × 107 | 3.38 × 10−4 | 1.81 × 10−11 |
| 500 | 9.86 | 1.21 | 1.32 | 9.68 × 108 | 2.69 × 10−3 | 2.78 × 10−12 |
| 600 | 12.64 | −6.61 | 0.79 | 1.87 × 109 | 3.89 × 10−3 | 2.08 × 10−12 |
| 700 | 1.98 | −7.66 | 3.61 | 6.30 × 107 | 9.32 × 10−4 | 1.48 × 10−11 |
Publisher’s Note: MDPI stays neutral with regard to jurisdictional claims in published maps and institutional affiliations. |
© 2022 by the authors. Licensee MDPI, Basel, Switzerland. This article is an open access article distributed under the terms and conditions of the Creative Commons Attribution (CC BY) license (https://creativecommons.org/licenses/by/4.0/).
Share and Cite
Wang, C.; Guo, L.; Lei, M.; Wang, C.; Chu, X.; Yang, F.; Gao, X.; Wamg, H.; Chi, Y.; Yang, X. Effect of Annealing Temperature on Electrical Properties of ZTO Thin-Film Transistors. Nanomaterials 2022, 12, 2397. https://doi.org/10.3390/nano12142397
Wang C, Guo L, Lei M, Wang C, Chu X, Yang F, Gao X, Wamg H, Chi Y, Yang X. Effect of Annealing Temperature on Electrical Properties of ZTO Thin-Film Transistors. Nanomaterials. 2022; 12(14):2397. https://doi.org/10.3390/nano12142397
Chicago/Turabian StyleWang, Chong, Liang Guo, Mingzhou Lei, Chao Wang, Xuefeng Chu, Fan Yang, Xiaohong Gao, Huan Wamg, Yaodan Chi, and Xiaotian Yang. 2022. "Effect of Annealing Temperature on Electrical Properties of ZTO Thin-Film Transistors" Nanomaterials 12, no. 14: 2397. https://doi.org/10.3390/nano12142397
APA StyleWang, C., Guo, L., Lei, M., Wang, C., Chu, X., Yang, F., Gao, X., Wamg, H., Chi, Y., & Yang, X. (2022). Effect of Annealing Temperature on Electrical Properties of ZTO Thin-Film Transistors. Nanomaterials, 12(14), 2397. https://doi.org/10.3390/nano12142397

