On the Thermal Models for Resistive Random Access Memory Circuit Simulation
Abstract
1. Introduction
2. Mathematical Description of RRAM Thermal Effects
2.1. Heat Equation
- (a)
- Constant thermal conductivity, i.e., kth(x,T) = kth. Neither geometric nor temperature dependencies are considered. In most cases, the CF thermal conductivity is the one considered.
- (b)
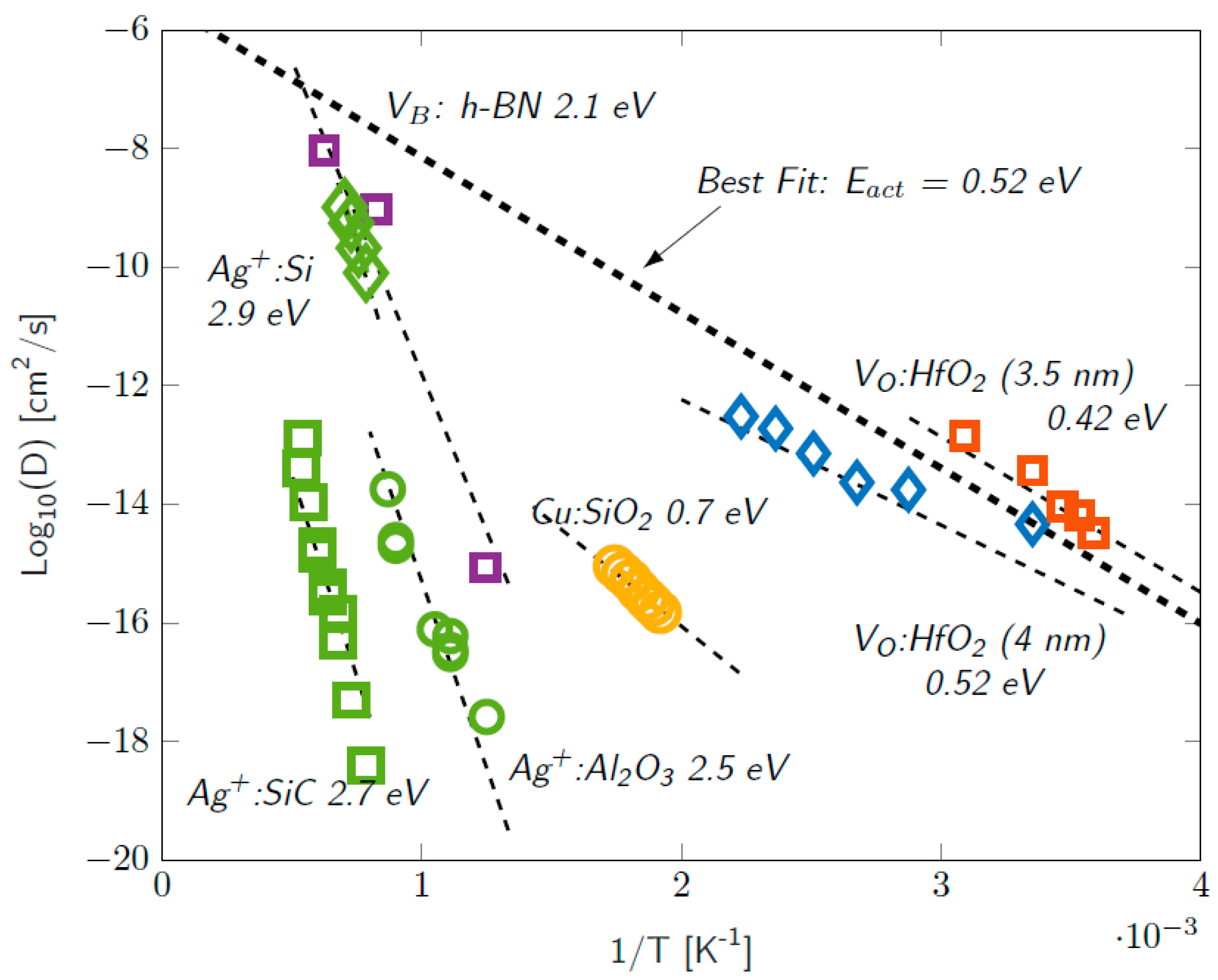
- A single temperature in the whole conductive filament [38,78] is taken into account (this means a strong simplifying approach). Some models for circuit simulation can account for two different temperatures [79], this is a good strategy since the key (higher) temperature at the CF narrowing, where the CF is ruptured, is decoupled from the main CF bulk temperature; this latter temperature does not increase in the same manner. See Figure 4c in [80], where the CF temperature along the dielectric is plotted for different voltages. It is clear that the temperature is much higher in the CF narrowing while it shows a different behavior for the main CF body. The model with two different CF temperatures is more complex, hence, this issue has to be taken into account when dealing with circuits including hundreds or thousands of components.
2.2. A Numerical Approach for the Heat Equation
2.3. Explicit Heat Equation Solutions
2.3.1. RRAM with a Cylindrical Filament (Steady-State Operation, No Heat Transfer Term)
2.3.2. RRAM with a Cylindrical Filament Including a Heat Transfer Term (Steady-State Operation)
2.3.3. RRAM with a Truncated-Cone Shaped Filament Including Heat Transfer Coefficient (Steady-State Operation)
2.3.4. RRAM with a Truncated-Cone Shaped Filament Including Heat Transfer Coefficient (Steady-State Operation) and Two Temperature Values to Represent the CF Thermal Behavior
2.4. Energy Balance in the Device
2.4.1. Steady-State
2.4.2. Non-Steady-State Approach
2.4.3. Non-Steady-State Approach with Two Different Temperatures Associated to the Device (Second-Order Memristor)
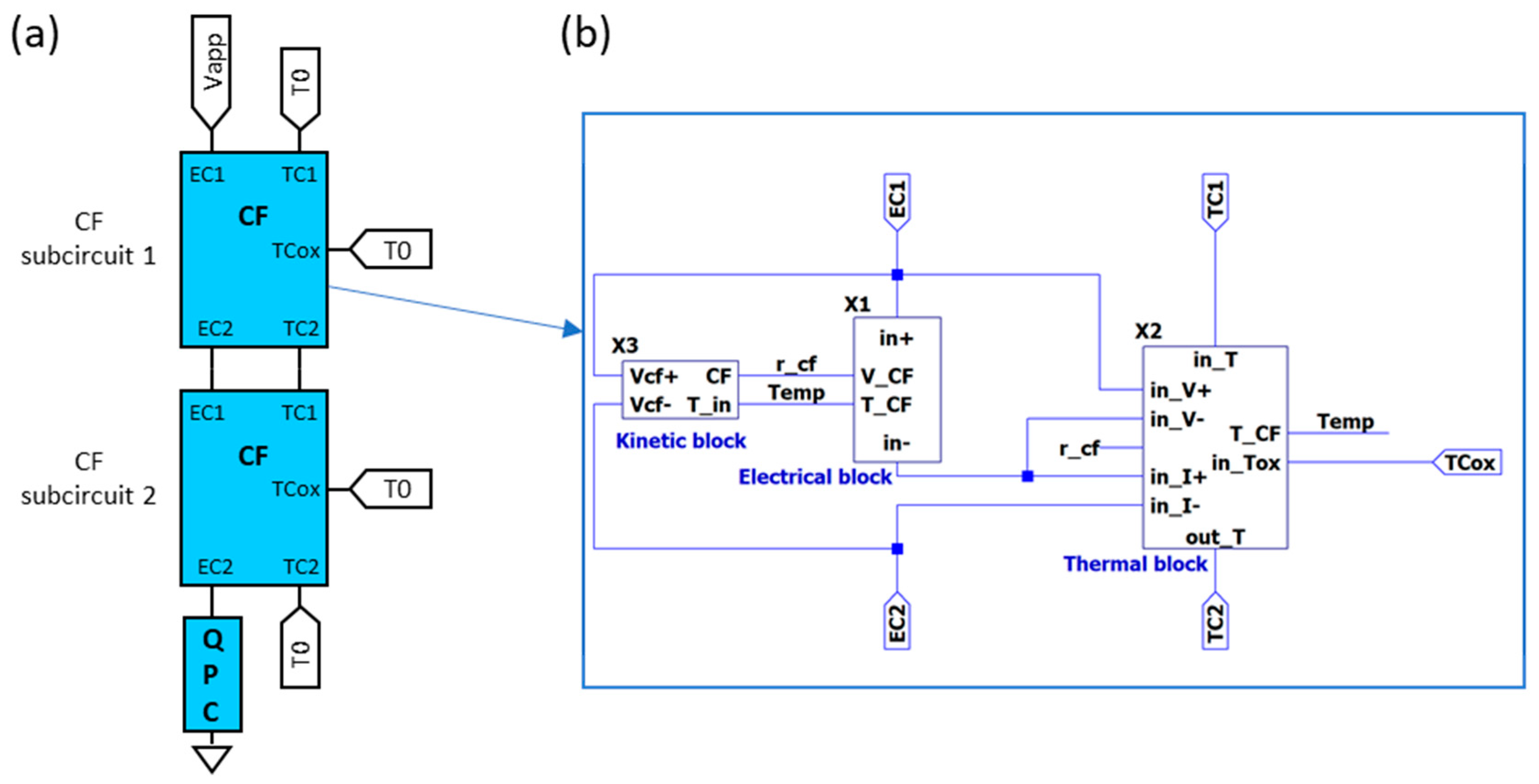
2.4.4. SPICE-Based Circuital Models with Two or More CF Temperatures
3. General Memristor Modeling Framework with Thermal Effects Emphasis
Example of Application
4. RRAM Quantum Point Contact Modeling, Thermal Effects
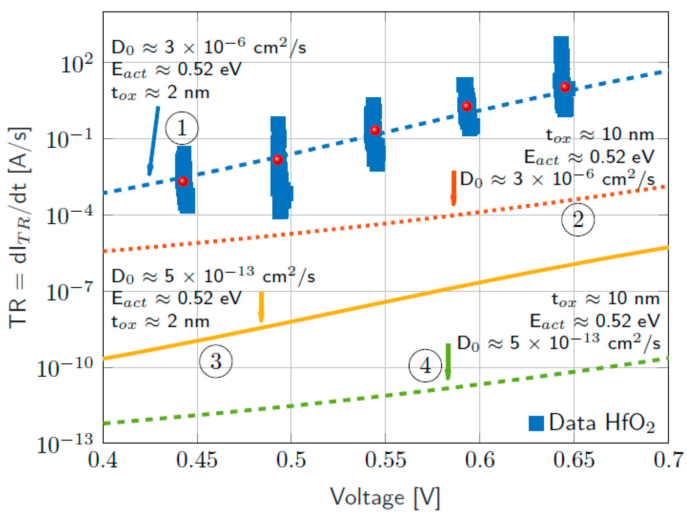
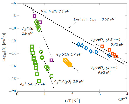
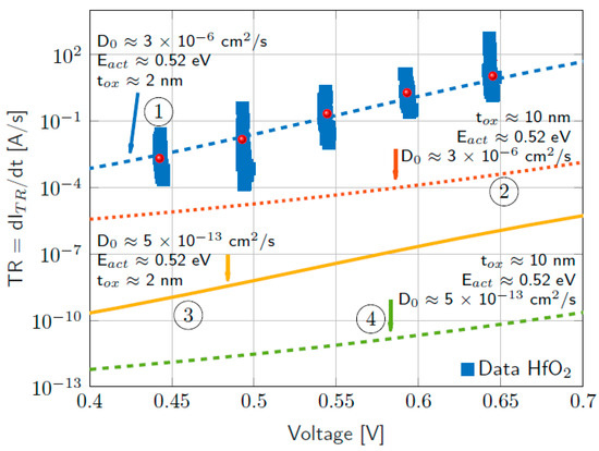
5. Thermometry of Conducting Filaments
6. Conclusions
Author Contributions
Funding
Data Availability Statement
Acknowledgments
Conflicts of Interest
References
- Lanza, M.; Wong, H.-S.P.; Pop, E.; Ielmini, D.; Strukov, D.; Regan, B.C.; Larcher, L.; Villena, M.A.; Yang, J.J.; Goux, L.; et al. Recommended Methods to Study Resistive Switching Devices. Adv. Electron. Mater. 2019, 5, 1800143. [Google Scholar] [CrossRef]
- Pan, F.; Gao, S.; Chen, C.; Song, C.; Zeng, F. Recent progress in resistive random access memories: Materials, switching mechanisms, and performance. Mater. Sci. Eng. R Rep. 2014, 83, 1–59. [Google Scholar] [CrossRef]
- Villena, M.A.; Roldán, J.B.; Jiménez-Molinos, F.; Miranda, E.; Suñé, J.; Lanza, M. SIM2RRAM: A physical model for RRAM devices simulation. J. Comput. Electron. 2017, 16, 1095–1120. [Google Scholar] [CrossRef]
- IRDS. The International Roadmap for Devices and Systems: More Moore IEEE; IRDS: New York, NY, USA, 2020. [Google Scholar]
- Carboni, R.; Ielmini, D. Stochastic memory devices for security and computing. Adv. Electron. Mater. 2019, 5, 1900198. [Google Scholar] [CrossRef]
- Puglisi, F.M.; Larcher, L.; Padovani, A.; Pavan, P. A Complete Statistical Investigation of RTN in HfO2-Based RRAM in High Resistive State. IEEE Trans. Electron Devices 2015, 62, 2606–2613. [Google Scholar] [CrossRef]
- Wei, Z.; Katoh, Y.; Ogasahara, S.; Yoshimoto, Y.; Kawai, K.; Ikeda, Y.; Eriguchi, K.; Ohmori, K.; Yoneda, S. True random number generator using current difference based on a fractional stochastic model in 40-nm embedded ReRAM. In Proceedings of the 2016 IEEE International Electron Devices Meeting (IEDM), IEEE, San Francisco, CA, USA, 3–7 December 2016; pp. 4.8.1–4.8.4. [Google Scholar]
- Puglisi, F.M.; Zagni, N.; Larcher, L.; Pavan, P. random telegraph noise in resistive random access memories: Compact modeling and advanced circuit design. IEEE Trans. Electron Devices 2018, 65, 2964–2972. [Google Scholar] [CrossRef]
- Lanza, M.; Wen, C.; Li, X.; Zanotti, T.; Puglisi, F.M.; Shi, Y.; Saiz, F.; Antidormi, A.; Roche, S.; Zheng, W.X.; et al. Advanced data encryption using two-dimensional materials. Adv. Mater. 2021, in press. [Google Scholar]
- Yao, P.; Wu, H.; Gao, B.; Tang, J.; Zhang, Q.; Zhang, W.; Yang, J.J.; Qian, H. Fully hardware-implemented memristor convolutional neural network. Nat. Cell Biol. 2020, 577, 641–646. [Google Scholar] [CrossRef] [PubMed]
- Merolla, P.A.; Arthur, J.V.; Alvarez-Icaza, R.; Cassidy, A.S.; Sawada, J.; Akopyan, F.; Jackson, B.L.; Imam, N.; Guo, C.; Nakamura, Y.; et al. A million spiking-neuron integrated circuit with a scalable communication network and interface. Science 2014, 345, 668–673. [Google Scholar] [CrossRef]
- Yu, S.; Gao, B.; Fang, Z.; Yu, H.; Kang, J.; Wong, H.-S.P. A neuromorphic visual system using RRAM synaptic devices with Sub-pJ energy and tolerance to variability: Experimental characterization and large-scale modeling. In Proceedings of the 2012 International Electron Devices Meeting, San Francisco, CA, USA, 10–13 December 2012; pp. 10.4.1–10.4.4. [Google Scholar]
- Zidan, M.A.; Strachan, J.P.; Lu, W.D. The future of electronics based on memristive systems. Nat. Electron. 2018, 1, 22–29. [Google Scholar] [CrossRef]
- Prezioso, M.; Merrikh-Bayat, F.; Hoskins, B.D.; Adam, G.C.; Likharev, K.K.; Strukov, D.B. Training and operation of an integrated neuromorphic network based on metal-oxide memristors. Nature 2015, 521, 61–64. [Google Scholar] [CrossRef] [PubMed]
- Romero-Zaliz, R.; Pérez, E.; Jiménez-Molinos, F.; Wenger, C.; Roldán, J. Study of Quantized Hardware Deep Neural Networks Based on Resistive Switching Devices, Conventional versus Convolutional Approaches. Electronics 2021, 10, 346. [Google Scholar] [CrossRef]
- Quesada, E.P.-B.; Romero-Zaliz, R.; Pérez, E.; Mahadevaiah, M.K.; Reuben, J.; Schubert, M.; Jiménez-Molinos, F.; Roldán, J.; Wenger, C. Toward Reliable Compact Modeling of Multilevel 1T-1R RRAM Devices for Neuromorphic Systems. Electronics 2021, 10, 645. [Google Scholar] [CrossRef]
- Mead, C.; Ismail, M. Analog VLSI Implementation of Neural Systems; Springer: Berlin/Heidelberg, Germany, 1989. [Google Scholar]
- Ielmini, D. Resistive switching memories based on metal oxides: Mechanisms, reliability and scaling. Semicond. Sci. Technol. 2016, 31, 063002. [Google Scholar] [CrossRef]
- Ielmini, D.; Milo, V. Physics-based modeling approaches of resistive switching devices for memory and in-memory computing applications. J. Comput. Electron. 2017, 16, 1121–1143. [Google Scholar] [CrossRef]
- Huang, P.; Gao, B.; Chen, B.; Zhang, F.; Liu, L.; Du, G. Stochastic simulation of forming, SET and RESET process for transition metal oxide-based resistive switching memory. Proc. SISPAD 2011, 2012, 312–315. [Google Scholar]
- Aldana, S.; Roldán, J.B.; García-Fernández, P.; Suñe, J.; Romero-Zaliz, R.; Jiménez-Molinos, F.; Long, S.; Gómez-Campos, F.; Liu, M. An in-depth description of bipolar resistive switching in Cu/HfOx/Pt devices, a 3D Kinetic Monte Carlo simulation approach. J. Appl. Phys. 2018, 123, 154501. [Google Scholar] [CrossRef]
- Garcia-Redondo, F.; Gowers, R.P.; Crespo-Yepes, A.; Lopez-Vallejo, M.; Jiang, L. SPICE Compact modeling of bipolar/unipolar memristor switching governed by electrical thresholds. IEEE Trans. Circuits Syst. I Regul. Pap. 2016, 63, 1255–1264. [Google Scholar] [CrossRef]
- Dirkmann, S.; Kaiser, J.; Wenger, C.; Mussenbrock, T. Filament growth and resistive switching in hafnium oxide memristive devices. ACS Appl. Mater. Interfaces 2018, 10, 14857–14868. [Google Scholar] [CrossRef]
- Aldana, S.; García-Fernández, P.; Rodríguez-Fernández, A.; Romero-Zaliz, R.; González, M.B.; Jiménez-Molinos, F.; Campabadal, F.; Gómez-Campos, F.; Roldán, J.B. A 3D kinetic monte carlo simulationstudy of resistive switching processes in Ni/HfO2/Si-n+-based RRAMs. J. Phys. D 2017, 50, 335103. [Google Scholar] [CrossRef]
- Jagath, A.L.; Nandha Kumar, T.; Almurib, H.A.F. Modeling of Current Conduction during RESET Phase of Pt/Ta2O5/TaOx/Pt Bipolar Resistive RAM Devices. In Proceedings of the 2018 IEEE 7th Non-Volatile Memory Systems and Applications Symposium (NVMSA), Hakodate, Japan, 28–31 August 2018; pp. 55–60. [Google Scholar]
- Fang, X.; Yang, X.; Wu, J.; Yi, X. A Compact SPICE model of unipolar memristive devices. IEEE Trans. Nanotechnol. 2013, 12, 843–850. [Google Scholar] [CrossRef]
- González-Cordero, G.; González, M.B.; García, H.; Campabadal, F.; Dueñas, S.; Castán, H.; Jiménez-Molinos, F.; Roldán, J.B. A physically based model for resistive memories including a detailed temperature and variability description. Microelectron. Eng. 2017, 178, 26–29. [Google Scholar] [CrossRef]
- Karpov, V.; Niraula, D.; Karpov, I. Thermodynamic analysis of conductive filaments. Appl. Phys. Lett. 2016, 109, 093501. [Google Scholar] [CrossRef]
- Maestro-Izquierdo, M.; Gonzalez, M.B.; JimenezMolinos, F.; Moreno, E.; Roldan, J.B.; Campabadal, F. Unipolar resistive switching behavior in Al2O3/HfO2 multilayer dielectric stacks: Fabrication, characterization and simulation. Nanotechnology 2020, 31, 135202. [Google Scholar] [CrossRef] [PubMed]
- Larentis, S.; Nardi, F.; Balatti, S.; Gilmer, D.C.; Ielmini, D. Resistive Switching by Voltage-Driven Ion Migration in Bipolar RRAM—Part II: Modeling. IEEE Trans. Electron Devices 2012, 59, 2468–2475. [Google Scholar] [CrossRef]
- Jimenez-Molinos, F.; Villena, M.A.; Roldan, J.B.; Roldan, A.M. A SPICE compact model for unipolar RRAM reset process analysis. IEEE Trans. Electron Devices 2015, 62, 955–962. [Google Scholar] [CrossRef]
- Menzel, S.; Kaupmann, P.; Waser, R. Understanding filamentary growth in electrochemical metallization memory cells using kinetic Monte Carlo simulations. Nanoscale 2015, 7, 12673–12681. [Google Scholar] [CrossRef] [PubMed]
- Picos, R.; Roldán, J.B.; al Chawa, M.M.; García-Fernández, P.; García-Moreno, F.J.Y.E. Semiempirical modeling of reset transitions in unipolar resistive-switching based memristors. Radioeng. J. 2015, 24, 420–424. [Google Scholar] [CrossRef]
- Vandelli, L.; Padovani, A.; Larcher, L.; Bersuker, G. Microscopic modeling of electrical stress-induced breakdown in poly-crystalline hafnium oxide dielectrics. IEEE Trans. Electron Devices 2013, 60, 1754–1762. [Google Scholar] [CrossRef]
- Blasco, J.; Ghenzi, N.; Suñé, J.; Levy, P.; Miranda, E. Equivalent circuit modeling of the bistable conduction characteristics in electroformed thin dielectric films. Microelectron. Reliab. 2015, 55, 1–14. [Google Scholar] [CrossRef]
- Maldonado, D.; Gonzalez, M.B.; Campabadal, F.; JimenezMolinos, F.; Al Chawa, M.M.; Stavrinides, S.G.; Roldan, J.B.; Tetzlaff, R.; Picos, R.; Chua, L.O. Experimental evaluation of the dynamic route map in the reset transition of memristive ReRAMs. Chaos Solitons Fractals 2020, 139, 110288. [Google Scholar] [CrossRef]
- Jiménez-Molinos, F.; González-Cordero, G.; Cartujo-Cassinello, P.; Roldán, J.B. SPICE modeling of RRAM thermal reset transition for circuit simulation purposes. In Proceedings of the Spanish Conference on Electron Devices, Barcelona, Spain, 8–10 February 2017. [Google Scholar]
- Bocquet, M.; Deleruyelle, D.; Aziza, H.; Muller, C.; Portal, J.-M.; Cabout, T.; Jalaguier, E. Robust compact model for bipolar oxide-based resistive switching memories. IEEE Trans. Electron. Devices 2014, 61, 674–681. [Google Scholar] [CrossRef]
- al Chawa, M.M.; Picos, R.; Tetzlaff, R. A Simple Memristor Model for Neuromorphic ReRAM Devices. In Proceedings of the 2020 IEEE International Symposium on Circuits and Systems (ISCAS), Seville, Spain, 10–21 October 2020. [Google Scholar]
- al Chawa, M.M.; Picos, R. A simple quasi-static compact model of bipolar ReRAM memristive devices. IEEE Trans. Circuits Syst. II 2020, 67, 390–394. [Google Scholar] [CrossRef]
- Panda, D.; Sahu, P.P.; Tseng, T.Y. A collective study on modeling and simulation of resistive random access memory. Nanoscale Res. Lett. 2018, 13, 1–48. [Google Scholar] [CrossRef] [PubMed]
- Reuben, J.; Biglari, M.; Fey, D. Incorporating Variability of Resistive RAM in Circuit Simulations Using the Stanford–PKU Model. IEEE Trans. Nanotechnol. 2020, 19, 508–518. [Google Scholar] [CrossRef]
- Mikhaylov, A.; Guseinov, D.; Belov, A.; Korolev, D.; Shishmakova, V.; Koryazhkina, M.; Filatov, D.; Gorshkov, O.; Maldonado, D.; Alonso, F.; et al. Stochastic resonance in a metal-oxide memristive device. Chaos Solitons Fractals 2021, 144, 110723. [Google Scholar] [CrossRef]
- Aldana, S.; Pérez, E.; JimenezMolinos, F.; Wenger, C.; Roldán, J.B. Kinetic Monte Carlo analysis of data retention in Al:HfO2-based resistive random access memories. Semicond. Sci. Technol. 2020, 35, 115012. [Google Scholar] [CrossRef]
- Roldán, J.B.; Alonso, F.J.; Aguilera, A.M.; Maldonado, D.; Lanza, M. Time series statistical analysis: A powerful tool to evaluate the variability of resistive switching memories. J. Appl. Phys. 2019, 125, 174504. [Google Scholar] [CrossRef]
- Miranda, E.; Mehonic, A.; Ng, W.H.; Kenyon, A.J. Simulation of cycle-to-cycle instabilities in SiOx-based ReRAM devices using a self-correlated process with long-term variation. IEEE EDL 2019, 40, 28–31. [Google Scholar] [CrossRef]
- Kvatinsky, S.; Ramadan, M.; Friedman, E.G.; Kolodny, A. VTEAM: A general model for voltage-controlled memristors. IEEE Trans. Circuits Syst. II 2015, 62, 786–790. [Google Scholar] [CrossRef]
- Picos, R.; Roldan, J.B.; Al Chawa, M.M.; JimenezMolinos, F.; Garcia-Moreno, E. A physically based circuit model to account for variability in memristors with resistive switching operation. In Proceedings of the 2016 Conference on Design of Circuits and Integrated Systems (DCIS), Granada, Spain, 23–25 November 2016; pp. 1–6. [Google Scholar]
- al Chawa, M.M.; de Benito, C.; Picos, R. A simple piecewise model of reset/set transitions in bipolar ReRAM memristive devices. IEEE Trans. Circuits Syst. I 2018, 65, 3469–3480. [Google Scholar] [CrossRef]
- al Chawa, M.M.; Tetzlaff, R.; Picos, R. A Simple Monte Carlo Model for the Cycle-to-Cycle Reset Transition Variation of ReRAM Memristive Devices. In Proceedings of the 9th International Conference on Modern Circuits and Systems Technologies (MOCAST), Bremen, Germany, 7–9 September 2020. [Google Scholar]
- Alonso, F.J.; Maldonado, D.; Aguilera, A.M.; Roldan, J.B. Memristor variability and stochastic physical properties modeling from a multivariate time series approach. Chaos Solitons Fractals 2021, 143, 110461. [Google Scholar] [CrossRef]
- Pérez, E.; Maldonado, D.; Acal, C.; Ruiz-Castro, J.E.; Alonso, F.J.; Aguilera, A.M.; Jiménez-Molinos, F.; Wenger, C.; Roldán, J.B. Analysis of the statistics of device-to-device and cycle-to-cycle variability in TiN/Ti/Al:HfO2/TiN RRAMs. Microelectron. Eng. 2019, 214, 104–109. [Google Scholar] [CrossRef]
- Aldana, S.; García-Fernández, P.; Romero-Zaliz, R.; González, M.B.; Jiménez-Molinos, F.; Gómez-Campos, F.; Campabadal, F.; Roldán, J.B. Resistive switching in HfO2 based valence change memories, a comprehensive 3D kinetic Monte Carlo approach. J. Phys. D 2020, 53, 225106. [Google Scholar] [CrossRef]
- Guy, J.; Molas, G.; Blaise, P.; Bernard, M.; Roule, A.; Le Carval, G.; Delaye, V.; Toffoli, A.; Ghibaudo, G.; Clermidy, F.; et al. Investigation of forming, SET, and data retention of conductive-bridge random-access memory for stack optimization. IEEE Trans. Electron Devices 2015, 62, 3482–3489. [Google Scholar] [CrossRef]
- Villena, M.A.; Roldán, J.B.; González, M.B.; González-Rodelas, P.; Jiménez-Molinos, F.; Campabadal, F.; Barrera, D. A new parameter to characterize the charge transport regime in Ni/HfO2/Si-n+-based RRAMs. Solid State Electron. 2016, 118, 56–60. [Google Scholar] [CrossRef]
- González-Cordero, G.; Roldán, J.B.; Jiménez-Molinos, F. SPICE simulation of RRAM circuits. A compact modeling perspective. In Proceedings of the 2017 Spanish Conference on Electron Devices, Barcelona, Spain, 8–10 February 2017; pp. 26–29. [Google Scholar]
- Huang, P.; Zhu, D.; Chen, S.; Zhou, Z.; Chen, Z.; Gao, B.; Liu, L.; Liu, X.; Kang, J. Compact model of HfOX-based electronic synaptic devices for neuromorphic computing. IEEE Trans. Electron. Devices 2017, 64, 614–621. [Google Scholar] [CrossRef]
- Kwon, S.; Jang, S.; Choi, J.-W.; Choi, S.; Jang, S.-J.; Kim, T.-W.; Wang, G. Controllable switching filaments prepared via tunable and well-defined single truncated conical nanopore structures for fast and scalable SiOx memory. Nanoletters 2017, 17, 7462–7470. [Google Scholar] [CrossRef]
- Villena, M.; Gonzalez, M.B.; Roldán, J.; Campabadal, F.; Jiménez-Molinos, F.; Gómez-Campos, F.; Suñé, J. An in-depth study of thermal effects in reset transitions in HfO2 based RRAMs. Solid-State Electron. 2015, 111, 47–51. [Google Scholar] [CrossRef]
- Lohn, A.J.; Mickel, P.R.; Marinella, M.J. Analytical estimations for thermal crosstalk, retention, and scaling limits in filamentary resistive memory. J. Appl. Phys. 2014, 115, 234507. [Google Scholar] [CrossRef]
- Sun, P.; Lu, N.; Li, L.; Li, Y.; Wang, H.; Lv, H.; Liu, Q.; Long, S.; Liu, S.; Liu, M. Thermal crosstalk in 3-dimensional RRAM crossbar array. Sci. Rep. 2015, 5, 13504. [Google Scholar] [CrossRef] [PubMed]
- Deshmukh, S.; Islam, R.; Chen, C.; Yalon, E.; Saraswat, K.C.; Pop, E. Thermal modeling of metal oxides for highly scaled nanoscale RRAM. In Proceedings of the 2015 International Conference on Simulation of Semiconductor Processes and Devices (SISPAD), Washington, DC, USA, 9–11 September 2015; Volume 2015, pp. 281–284. [Google Scholar]
- Wang, D.-W.; Chen, W.; Zhao, W.-S.; Zhu, G.-D.; Kang, K.; Gao, P.; Schutt-Aine, J.E.; Yin, W.-Y. Fully Coupled Electrothermal Simulation of Large RRAM Arrays in the “Thermal-House”. IEEE Access 2018, 7, 3897–3908. [Google Scholar] [CrossRef]
- Rodríguez, N.; Roldán, F.G.y.J.B. Modeling of inversion layer centroid and polysilicon depletion effects on ultrathin-gate-oxide MOSFET behaviour: The influence of crystallographic orientation. IEEE Trans. Electron. Devices 2007, 54, 723–732. [Google Scholar] [CrossRef]
- González, B.; Roldán, J.; Iniguez, B.; Lazaro, A.; Cerdeira, A. DC self-heating effects modelling in SOI and bulk FinFETs. Microelectron. J. 2015, 46, 320–326. [Google Scholar] [CrossRef]
- Roldán, J.B.; Gámiz, F.; JimenezMolinos, F.; Sampedro, C.; Godoy, A.; Rodríguez, N. An analytic I-V model for surrounding-gate MOSFET including quantum and velocity overshoot effects. IEEE Trans. Electron. Devices 2010, 57, 2925–2933. [Google Scholar] [CrossRef]
- Blanco-Filgueira, B.; Roldán, P.L.Y.J.B. Analytical modeling of size effects on the lateral photoresponse of CMOS photodiodes. Solid State Electron. 2012, 73, 15–20. [Google Scholar] [CrossRef]
- Blanco-Filgueira, B.; Roldán, P.L.y.J.B. A closed-form and explicit analytical model for crosstalk in CMOS photodiodes. IEEE Trans. Electron Devices 2013, 60, 3459–3464. [Google Scholar] [CrossRef]
- Gámiz, F.; Godoy, A.; Donetti, L.; Sampedro, C.; Roldán, J.B.; Ruiz, F.; Tienda, I.; Jiménez-Molinos, N.R.Y.F. Monte Carlo simulation of nanoelectronic devices. J. Comput. Electron. 2009, 8, 174–191. [Google Scholar] [CrossRef]
- Ielmini, D.; Waser, R. Resistive Switching: From Fundamentals of Nanoionic Redox Processes to Memristive Device Applications; Wiley-VCH: Hoboken, NJ, USA, 2015. [Google Scholar]
- Corinto, F.; Civalleri, P.P.; Chua, L.O. A theoretical approach to memristor devices. IEEE J. Emerg. Sel. Top. Circuits Syst. 2015, 5, 123–132. [Google Scholar] [CrossRef]
- Chua, L.O. Everything you wish to know about memristors but are afraid to ask. Radioengineering 2015, 24, 319–368. [Google Scholar] [CrossRef]
- James, A.P. A hybrid memristor–CMOS chip for AI. Nat. Electron. 2019, 2, 268–269. [Google Scholar] [CrossRef]
- Volos, C.K.; Kyprianidis, I.M.; Stavrinides, S.G.; Stouboulos, I.N.; Anagnostopoulos, A.N. Memristors: A new approach in nonlinear circuits design. In Proceedings of the 14th WSEAS International Conference on Communication, Cape Town, South Africa, 23–27 May 2010; pp. 25–30. [Google Scholar]
- Li, Y.; Wang, Z.; Midya, R.; Xia, Q.; Yang, J.J. Review of memristor devices in neuromorphic computing: Materials sciences and device challenges. J. Phys. D Appl. Phys. 2018, 51, 503002. [Google Scholar] [CrossRef]
- Padovani, A.; Larcher, L.; Pirrotta, O.; Vandelli, L.; Bersuker, G. Microscopic Modeling of HfOx RRAM operations: From forming to switching. IEEE Trans. Electron. Devices 2015, 62, 1998–2006. [Google Scholar] [CrossRef]
- Cazorla, M.; Aldana, S.; Maestro, M.; González, M.B.; Campabadal, F.; Moreno, E.; Jiménez-Molinos, F.; Roldán, J.B. A thermal study of multilayer RRAMs based on HfO2 and Al2O3 oxides. J. Vac. Sci. Technol. B 2019, 37, 012204. [Google Scholar] [CrossRef]
- Guan, X.; Yu, S.; Wong, H.-S.P. A SPICE compact model of metal oxide resistive switching memory with variations. IEEE Electron Device Lett. 2012, 33, 1405–1407. [Google Scholar] [CrossRef]
- González-Cordero, G.; Roldan, J.B.; Jiménez-Molinos, F.; Suñé, J.; Liu, S.L.y.M. A new model for bipolar RRAMs based on truncated cone conductive filaments, a Verilog-A approach. Semicond. Sci. Technol. 2016, 31, 115013. [Google Scholar] [CrossRef]
- Villena, M.A.; González, M.B.; Jiménez-Molinos, F.; Campabadal, F.; Roldán, J.B.; Suñé, J.; Romera, E.; Miranda, E. Simulation of thermal reset transitions in resistive switching memories including quantum effects. J. Appl. Phys. 2014, 115, 214504. [Google Scholar] [CrossRef]
- Von Witzleben, M.; Fleck, K.; Funck, C.; Baumkötter, B.; Zuric, M.; Idt, A.; Breuer, T.; Waser, R.; Böttger, U.; Menzel, S. Investigation of the impact of high temperatures on the switching kinetics of redox-based resistive switching cells using a high-speed nanoheater. Adv. Electron. Mater. 2017, 3, 1700294. [Google Scholar] [CrossRef]
- Lantos, N.; Nataf, F. Perfectly matched layers for the heat and advection–diffusion equations. J. Comput. Phys. 2010, 229, 9042–9052. [Google Scholar] [CrossRef][Green Version]
- Moreno, E.; Hemmat, Z.; Roldan, J.B.; Pantoja, M.F.; Bretones, A.R.; Garcia, S.G.; Faez, R. Implementation of open boundary problems in photo-conductive antennas by using convolutional perfectly matched layers. IEEE Trans. Antennas Propag. 2016, 64, 4919–4922. [Google Scholar] [CrossRef]
- González-Cordero, G. Compact Modeling of Memristors Based on Resistive Switching Devices. Ph.D. Thesis, Universidad de Granada, Granada, Spain, 2020. [Google Scholar]
- Villena, M.A.; Jiménez-Molinos, F.; Roldan, J.B.; Suñe, J.; Long, S.; Lian, X.; Gamiz, F.; Liu, M. An in-depth simulation study of thermal reset transitions in resistive switching memories. J. Appl. Phys. 2013, 114, 144505. [Google Scholar] [CrossRef]
- Guan, X.; Yu, S.; Wong, H.S.P. On the Variability of HfOx RRAM: From Numerical Simulation to Compact Modeling Technical. In Proceedings of the 2012 NSTI Nanotechnology Conference and Expo, NSTI-Nanotech, Santa Clara, CA, USA, 18–21 June 2012; Volume 2, pp. 815–820. [Google Scholar]
- Jiang, Z.; Yu, S.; Wu, Y.; Engel, J.H.; Guan, X.; Wong, H.-S.P. Verilog-A compact model for oxide-based resistive random access memory (RRAM). In Proceedings of the 2014 International Conference on Simulation of Semiconductor Processes and Devices (SISPAD), Yokohama, Japan, 9–11 September 2014; pp. 41–44. [Google Scholar]
- Jiang, Z.; Wu, Y.; Yu, S.; Yang, L.; Song, K.; Karim, Z.; Wong, H.-S.P. A compact model for metal–oxide resistive random access memory with experiment verification. IEEE Trans. Electron Devices 2016, 63, 1884–1892. [Google Scholar] [CrossRef]
- Moran, M.J.; Shapiro, H.N.; Munson, B.R.; Dewitt, D.P.; Wiley, J.; Hepburn, K.; Fleming, L. Introduction to Thermal Systems Engineering: And Heat Transfer; John Wiley & Sons Inc.: New York, NY, USA, 2003; Volume 169, ISBN 0471204900. [Google Scholar]
- Sheridan, P.; Kim, K.-H.; Gaba, S.; Chang, T.; Chen, L.; Lu, W. Device and SPICE modeling of RRAM devices. Nanoscale 2011, 3, 3833–3840. [Google Scholar] [CrossRef] [PubMed]
- Huang, P.; Liu, X.Y.; Chen, B.; Li, H.T.; Wang, Y.J.; Deng, Y.X.; Wei, K.L.; Zeng, L.; Gao, B.; Du, G.; et al. A physics-based compact model of metal-oxide-based RRAM DC and AC operations. IEEE Trans. Electron Devices 2013, 60, 4090–4097. [Google Scholar] [CrossRef]
- Li, H.; Huang, P.; Gao, B.; Chen, B.; Liu, X.; Kang, J. A SPICE Model of Resistive Random Access Memory for Large-Scale Memory Array Simulation. IEEE Electron Device Lett. 2013, 35, 211–213. [Google Scholar] [CrossRef]
- Li, H.; Jiang, Z.; Huang, P.; Wu, Y.; Chen, H.Y.; Gao, B.; Liu, X.Y.; Kang, J.F.; Wong, H.S. Variation-Aware, Reliability-Emphasized Design and Optimization of RRAM using SPICE Model. In Proceedings of the Design, Automation & Test in Europe Conference & Exhibition, Grenoble, France, 9–13 March 2015; pp. 1425–1430. [Google Scholar]
- Chen, A. A review of emerging non-volatile memory (NVM) technologies and applications. Solid State Electron. 2016, 125, 25–38. [Google Scholar] [CrossRef]
- Chen, P.-Y.; Yu, S. Compact modeling of RRAM devices and its applications in 1T1R and 1S1R array design. IEEE Trans. Electron. Devices 2015, 62, 4022–4028. [Google Scholar] [CrossRef]
- Chiang, M.-H.; Hsu, K.-H.; Ding, W.-W.; Yang, B.-R. A predictive compact model of bipolar RRAM cells for circuit simulations. IEEE Trans. Electron. Devices 2015, 62, 2176–2183. [Google Scholar] [CrossRef]
- Kwon, J.; Sharma, A.A.; Chen, C.M.; Fantini, A.; Jurczak, M.; Herzing, A.A.; Bain, J.A.; Picard, Y.N.; Skowronski, M. Transient thermometry and high-resolution transmission electron microscopy analysis of filamentary resistive switches. ACS Appl. Mater. Interfaces 2016, 8, 20176. [Google Scholar] [CrossRef]
- Sharma, A.A.; Noman, M.; Skowronski, M.; Bain, J.A. Technology, Systems and Applications (VLSI-TSA). In Proceedings of the 2014 International Symposium on VLSI Technology, Systems and Applications, Hsinchu, Taiwan, 28–30 April 2014; p. 1. [Google Scholar]
- Nishi, Y.; Menzel, S.; Fleck, K.; Boettger, U.; Waser, R. Origin of the SET kinetics of the resistive switching in tantalum oxide thin films. IEEE Electron. Device Lett. 2013, 35, 259–2061. [Google Scholar] [CrossRef]
- Kim, S.; Du, C.; Sheridan, P.; Ma, W.; Choi, S.; Lu, W.D. Experimental demonstration of a second-order memristor and its ability to biorealistically implement synaptic plasticity. Nano Lett. 2015, 15, 2203–2211. [Google Scholar] [CrossRef]
- Panzer, M.A.; Shandalov, M.; Rowlette, J.A.; Oshima, Y.; Chen, Y.W.; McIntyre, P.C.; Goodson, K.E. Thermal Properties of Ultrathin Hafnium Oxide Gate Dielectric Films. IEEE Electron Device Lett. 2009, 30, 1269–1271. [Google Scholar] [CrossRef]
- Scott, E.A.; Gaskins, J.T.; King, S.W.; Hopkins, P.E. Thermal conductivity and thermal boundary resistance of atomic layer deposited high-k dielectric aluminum oxide, hafnium oxide, and titanium oxide thin films on silicon. APL Mater. 2018, 6, 058302. [Google Scholar] [CrossRef]
- Roldán, A.M.; Roldán, J.B.; Reig, C.; Cubells-Beltrán, M.-D.; Ramírez, D.; Cardoso, S.; Freitas, P.P. A DC behavioral electrical model for quasi-linear spin-valve devices including thermal effects for circuit simulation. Microelectron. J. 2011, 42, 365–370. [Google Scholar] [CrossRef]
- Busani, M.; Menozzi, R.; Borgarino, M.; Fantini, F. Dynamic thermal characterization and modeling of packaged AlGaAs/GaAs HBTs. IEEE Trans. Compon. Packag. Technol. 2000, 23, 352–359. [Google Scholar] [CrossRef][Green Version]
- Pedro, M.; Martin-Martinez, J.; Gonzalez, M.; Rodriguez, R.; Campabadal, F.; Nafria, M.; Aymerich, X. Tuning the conductivity of resistive switching devices for electronic synapses. Microelectron. Eng. 2017, 178, 89–92. [Google Scholar] [CrossRef]
- González-Cordero, G.; Pedro, M.; Martin-Martinez, J.; González, M.; Jiménez-Molinos, F.; Campabadal, F.; Nafría, N.; Roldán, J. Analysis of resistive switching processes in TiN/Ti/HfO2/W devices to mimic electronic synapses in neuromorphic circuits. Solid-State Electron. 2019, 157, 25–33. [Google Scholar] [CrossRef]
- Kumar, S.; Williams, R.S.; Wang, Z. Third-order nanocircuit elements for neuromorphic engineering. Nat. Cell Biol. 2020, 585, 518–523. [Google Scholar] [CrossRef]
- González-Cordero, G.; Jiménez-Molinos, F.; Roldán, J.B.; González, M.B.; Campabadal, F. Transient SPICE Simulation of Ni/HfO2/Si-n+ Resistive Memories. In Proceedings of the Design of Circuits and Integrated Systems Conference, DCIS, Granada, Spain, 23–25 November 2016. [Google Scholar]
- González-Cordero, G.; Jiménez-Molinos, F.; Villena, M.A.; Roldán, J.B. SPICE Simulation of Thermal Reset Transitions in Ni/HfO2/Si-n+ RRAMs Including Quantum Effects. In Proceedings of the 19th Workshop on Dielectrics in Microelectronics, WoDiM, Catania, Italy, 27–30 June 2016. [Google Scholar]
- González, M.B.; Rafí, J.M.; Beldarrain, O.; Zabala, M.; Campabadal, F. Analysis of the switching variability in Ni/HfO2-based RRAM devices. IEEE Trans. Device Mater. Reliab. 2014, 14, 769–771. [Google Scholar]
- Wang, W.; Laudato, M.; Ambrosi, E.; Bricalli, A.; Covi, E.; Lin, Y.-H.; Ielmini, D. Volatile Resistive Switching Memory Based on Ag Ion Drift/Diffusion—Part II: Compact Modeling. IEEE Trans. Electron Devices 2019, 66, 3802–3808. [Google Scholar] [CrossRef]
- Chua Leon, O.; Kang, S.M. Memristive devices and systems. Proc. IEEE 1976, 64, 209–223. [Google Scholar] [CrossRef]
- Ginoux, J.M.; Muthuswamy, B.; Meucci, R.; Euzzor, S.; Di Garbo, A.; Ganesan, K. A physical memristor based Muthuswamy-Chua-Ginoux system. Sci. Rep. 2020, 10, 1–10. [Google Scholar] [CrossRef]
- Steinhart, J.S.; Hart, S.R. Calibration curves for thermistors. Deep Sea Res. Oceanogr. Abstr. 1968, 15, 497–503. [Google Scholar] [CrossRef]
- Theodorakakos, A.; Stavrinides, S.G.; Hatzikraniotis, E.; Picos, R. A non-ideal memristor device. In Proceedings of the 2015 International Conference on Memristive Systems (MEMRISYS), Paphos, Cyprus, 8–10 November 2015; pp. 1–2. [Google Scholar]
- Biolek, D.; Biolek, Z.; Biolkova, V.; Kolka, Z. Some fingerprints of ideal memristors. In Proceedings of the 2013 IEEE International Symposium on Circuits and Systems (ISCAS), Beijing, China, 19–23 May 2013; pp. 201–204. [Google Scholar]
- Wagner, G.; Jones, R.; Templeton, J.; Parks, M. An atomistic-to-continuum coupling method for heat transfer in solids. Comput. Methods Appl. Mech. Eng. 2008, 197, 3351–3365. [Google Scholar] [CrossRef]
- Xu, Z. Heat transport in low-dimensional materials: A review and perspective. Theor. Appl. Mech. Lett. 2016, 6, 113–121. [Google Scholar] [CrossRef]
- Mosso, N.; Drechsler, U.; Menges, F.; Nirmalraj, P.; Karg, S.; Riel, H.; Gotsmann, B. Heat transport through atomic contacts. Nat. Nanotech. 2017, 12, 430–433. [Google Scholar] [CrossRef] [PubMed]
- Hanggi, P.; Talkner, P.; Borkovec, H. Reaction-rate theory: Fifty years after Kramers. Rev. Mod. Phys. 1990, 62, 251. [Google Scholar] [CrossRef]
- Chiu, F. A review on conduction mechsnisms in dielectric films. Adv. Mater. Sci. Eng. 2014, 2014, 578168. [Google Scholar] [CrossRef]
- Waser, R.; Dittmann, R.; Saikov, G.; Szot, K. Redox-based resistive switching memories nanoionic mechanisms, prospects, and challenges. Adv. Mater. 2009, 21, 2632–2663. [Google Scholar] [CrossRef]
- Datta, S. Electronic Transport in Mesoscopic Systems; Cambridge University Press: Cambridge, UK, 1995. [Google Scholar]
- Kouwenhoven, L.P.; Van Wees, B.J.; Harmans, C.J.P.M.; Williamson, J.G.; Van Houten, H.; Beenakker, C.W.J.; Foxon, C.T.; Harris, J.J. Nonlinear conductance of quantum point contacts. Phys. Rev. B 1989, 39, 8040–8043. [Google Scholar] [CrossRef] [PubMed]
- van Ruitenbeek, J.; Masis, M.M.; Miranda, E. Quantum point contact conduction. In Resistice Switching: From Fundamentals of Nanoinic Redox Processes to Memristive Device Applications; Ielmini, D., Waser, R., Eds.; John Wiley & Sons Inc.: New York, NY, USA, 2016; pp. 197–224. [Google Scholar]
- Agrait, N.; Yeyati, A.L.; van Ruitenbeek, J.M. Quantum properties of atomic-sized conductors. Phys. Rep. 2003, 377, 81. [Google Scholar] [CrossRef]
- Li, Y.; Long, S.; Liu, Y.; Hu, C.; Teng, J.; Liu, Q.; Lv, H.; Suñé, J.; Liu, M. Conductance quantization in resistive random access memory. Nanoscale Res. Lett. 2015, 10, 420. [Google Scholar] [CrossRef] [PubMed]
- Suñé, J.; Miranda, E.; Nafría, M.; Aymerich, X. Point contact conduction at the oxide breakdown of MOS devices. In Proceedings of the IEEE International Electron Device Meeting (IEDM), San Francisco, CA, USA, 6–9 December 1998; p. 191. [Google Scholar]
- Suñé, J.; Miranda, E.; Nafría, M.; Aymerich, X. Modeling the breakdown spots in silicon dioxide films as point contacts. Appl. Phys. Lett. 1999, 75, 959–961. [Google Scholar] [CrossRef]
- Mehonic, A.; Vrajitoarea, A.; Cueff, S.; Hudziak, S.; Howe, H.; Labbe, C.; Rizk, R.; Pepper, M.; Kenyon, A.J. Quantum conductance in silicon oxide resistive memory devices. Sci. Rep. 2013, 3, 2708. [Google Scholar] [CrossRef] [PubMed]
- Nandakumar, S.R.; Minvielle, M.; Nagar, S.; Dubourdieu, C.; Rajendran, B. A 250 mV Cu/SiO2/W Memristor with Half-Integer Quantum Conductance States. Nano Lett. 2016, 16, 1602–1608. [Google Scholar] [CrossRef] [PubMed]
- Miranda, E.; Walczyk, C.; Wenger, C.; Schroeder, T. Model for the resistive switching effect in HfO2 MIM structures based on the transmission properties of narrow constrictions. IEEE Electron. Device Lett. 2010, 31, 609–611. [Google Scholar] [CrossRef]
- Degraeve, R.; Roussel, P.; Goux, L.; Wouters, D.; Kittl, J.; Altimime, L.; Jurczak, M.; Groeseneken, G. Generic learning of TDDB applied to RRAM for improved understanding of conduction and switching mechanism through multiple filaments. In Proceedings of the 2010 International Electron Devices Meeting, San Francisco, CA, USA, 6–8 December 2010. [Google Scholar]
- Walczyk, C.; Walczyk, D.; Schroeder, T.; Bertaud, T.; Sowinska, M.; Lukosius, M.; Fraschke, M.; Wolansky, D.; Tillack, B.; Miranda, E.; et al. Impact of temperature on the resistive switching behavior of embedded HfO2-Based RRAM devices. IEEE Trans. Electron. Dev. 2011, 58, 3124–3131. [Google Scholar] [CrossRef]
- Long, S.; Lian, X.; Cagli, C.; Cartoixà, X.; Rurali, R.; Miranda, E.; Jiménez, D.; Perniola, L.; Liu, M.; Suñé, J. Quantum-size effects in hafnium-oxide resistive switching. Appl. Phys. Lett. 2013, 102, 183505. [Google Scholar] [CrossRef]
- Prócel, L.M.; Trojman, L.; Moreno, J.; Crupi, F.; Maccaronio, V.; Degraeve, R.; Goux, L.; Simoen, E. Experimental evidence of the quantum point contact theory in the conduction mechanism of bipolar HfO2-based resistive random access memories. J. Appl. Phys. 2013, 114, 074509. [Google Scholar] [CrossRef]
- Rahavan, N. Performance and reliability trade-offs for high-K RRAM. Microelectron. Reliab. 2014, 54, 2253–2257. [Google Scholar] [CrossRef]
- Roldán, J.B.; Miranda, E.; González-Cordero, G.; García-Fernández, P.; Romero-Zaliz, R.; González-Rodelas, P.; Aguilera, A.M.; González, M.B.; Jiménez-Molinos, F. Multivariate analysis and extraction of parameters in resistive RAMs using the Quantum Point Contact model. J. Appl. Phys. 2018, 123, 014501. [Google Scholar] [CrossRef]
- Calixto, D.; Maldonado, E.; Miranda, J.B.; Roldán, M. Modeling of the temperature effects in filamentary-type resistive switching memories using quantum point-contact theory. J. Phys. D Appl. Phys. 2020, 53, 295106. [Google Scholar] [CrossRef]
- Tsuruoka, T.; Hasegawa, T.; Terabe, K.; Aono, M. Conductance quantization and synaptic behavior in a Ta2O5-based atomic switch. Nanotechnology 2012, 23, 435705. [Google Scholar] [CrossRef] [PubMed]
- Chen, C.; Gao, S.; Zeng, F.; Wang, G.; Li, S.; Song, C.; Pan, F. Conductance quantization in oxygen-anion-migration-based resistive switching memory devices. Appl. Phys. Lett. 2013, 103, 043510. [Google Scholar] [CrossRef]
- Yi, W.; Savelev, S.; Medeiros-Ribeiro, G.; Miao, F.; Zhang, M.; Yang, J.; Bratkovsky, A.; Williams, R.S. Quantized conductance coincides with state instability and excess noise in tantalum oxide memristors. Nat. Commun. 2016, 7, 11142. [Google Scholar] [CrossRef]
- Ye, J.Y.; Li, Y.Q.; Gao, J.; Peng, H.Y.; Wu, S.X.; Wu, T. Nanoscale resistive switching and filamentary conduction in NiO thin films. Appl. Phys. Lett. 2010, 97, 132108. [Google Scholar] [CrossRef]
- Nishi, Y.; Sasakura, H.; Kimoto, T. Appearance of quantum point contact in Pt/NiO/Pt resistive switching cells. J. Mater. Res. 2017, 32, 2631–2637. [Google Scholar] [CrossRef]
- Zhu, X.-J.; Shang, J.; Li, R.-W. Resistive switching effects in oxide sandwiched structures. Front. Mater. Sci. 2012, 6, 183–206. [Google Scholar] [CrossRef]
- Zhu, X.; Su, W.; Liu, Y.; Hu, B.; Pan, L.; Lu, W.; Zhang, J.; Li, R. Observation of conductance quantization in oxide-based resistive switching memory. Adv. Mater. 2012, 24, 3941–3946. [Google Scholar] [CrossRef]
- Hajto, J.; Rose, M.J.; Snell, A.J.; Osborne, I.S.; Owen, A.E.; Lecomber, P.G. Quantised electron effects in metal/a-Si:H/metal thin film structures. J. Non-Cryst. Solids 1991, 137, 499–502. [Google Scholar] [CrossRef]
- Samardzic, N.; Mionic, M.; Dakic, B.M.; Hofmann, H.; Dautovic, S.; Stojanovic, G. Analysis of Quantized Electrical Characteristics of Microscale TiO2 Ink-Jet Printed Memristor. IEEE Trans. Electron Devices 2015, 62, 1898–1904. [Google Scholar] [CrossRef]
- Yun, E.-J.; Becker, M.F.; Walser, R.M. Room temperature conductance quantization in V∥amorphous-V2O5∥V thin film structures. Appl. Phys. Lett. 1993, 63, 2493–2495. [Google Scholar] [CrossRef]
- Petzold, S.; Piros, E.; Eilhardt, R.; Zintler, A.; Vogel, T.; Kaiser, N.; Radetinac, A.; Komissinskiy, P.; Jalaguier, E.; Nolot, E.; et al. Tailoring the Switching Dynamics in Yttrium Oxide-Based RRAM Devices by Oxygen Engineering: From Digital to Multi-Level Quantization toward Analog Switching. Adv. Electron. Mater. 2020, 6, 2000439. [Google Scholar] [CrossRef]
- Zhao, M.; Yan, X.; Ren, L.; Zhao, M.; Guo, F.; Zhuang, J.; Du, Y.; Hao, W. The role of oxygen vacancies in the high cycling endurance and quantum conductance in BiVO4-based resistive switching memory. InfoMat 2020, 2, 960–967. [Google Scholar] [CrossRef]
- Degraeve, R.; Fantini, A.; Clima, S.; Govoreanu, B.; Goux, L.; Chen, Y.Y.; Wouters, D.; Roussel, P.; Kar, G.; Pourtois, G.; et al. Dynamic ‘hour glass’ model for SET and RESET in HfO2 RRAM. In Proceedings of the Symposium on VLSI Technology, Honolulu, HI, USA, 12–14 June 2012. [Google Scholar]
- Miranda, E.; Kano, S.; Dou, C.; Kakushima, K.; Suñé, J.; Iwai, H. Nonlinear conductance quantization effects in CeOx/SiO2-based resistive switching devices. App. Phys. Lett. 2012, 101, 012910. [Google Scholar] [CrossRef]
- Cartoixa, X.; Rurali, R.; Suñé, J. Transport properties of oxygen vacancy filaments in metal/crystalline or amorphous HfO2/metal structures. Phys. Rev. B 2012, 86, 165445. [Google Scholar] [CrossRef]
- Zhong, X.; Rungger, I.; Zapol, P.; Heinonen, O. Oxygen modulated quantum conductance for ultra-thin HfO2-based memristive switching devices. Phys. Rev. B 2016, 94, 165160. [Google Scholar] [CrossRef]
- Büttiker, M. Quantized transmission of a saddle-point constriction. Phys. Rev. B 1990, 41, 7906. [Google Scholar] [CrossRef]
- Hu, P. One-dimensional quantum electron system under a finite voltage. Phys. Rev. B 1987, 35, 4078. [Google Scholar] [CrossRef]
- Senz, V.; Heinzel, T.; Ihn, T.; Lindermann, S.; Held, R.; Ensslin, K.; Wegscheider, W.; Bichler, M. Analysis of the temperature-dependent quantum point contact conductance in view of the metal-insulator transition in two dimensions. J. Phys. Cond. Mat. 2001, 13, 3831. [Google Scholar] [CrossRef][Green Version]
- Miranda, E.; Suñé, J. Electron transport through broken down ultra-thin SiO2 layers in MOS devices. Microelectron. Reliab. 2004, 44, 1–23. [Google Scholar] [CrossRef]
- Landauer, R. Spatial variation of currents and fields due to localized scatterers in metallic conduction. IBM J. Res. Dev. 1957, l, 223–231. [Google Scholar] [CrossRef]
- Avellán, A.; Miranda, E.; Schroeder, D.; Krautschneider, W. Model for the voltage and temperature dependence of the soft-breakdown current in ultrathin gate oxides. J. Appl. Phys. 2005, 97, 14104. [Google Scholar] [CrossRef]
- Miranda, E. The role of power dissipation on the progressive breakdwon dynamics of ultra-thin gate oxides. In Proceedings of the IEEE Proc International Reliability Physics Simposium, Phoenix, AZ, USA, 15–19 April 2007; p. 572. [Google Scholar]
- Lombardo, S.; Stathis, J.H.; Linder, B.P.; Pey, K.L.; Palumbo, F.; Tung, C.H. Dielectric breakdown mechanisms in gate oxides. J. Appl. Phys. 2005, 98, 121301. [Google Scholar] [CrossRef]
- Stathis, J.H. Percolation models for gate oxide breakdown. J. Appl. Phys. 1999, 86, 5757–5766. [Google Scholar] [CrossRef]
- Stathis, J.H. Reliability limits for the gate insulator in CMOS technology. IBM J. Res. Dev. 2002, 46, 265–286. [Google Scholar] [CrossRef]
- Dumin, D.J. Oxide Reliability: A Summary of Silicon Oxide Wearout, Breakdown, and Reliability; World Scientific: Singapore, 2002. [Google Scholar]
- Linder, B.; Lombardo, S.; Stathis, J.; Vayshenker, A.; Frank, D. Voltage dependence of hard breakdown growth and the reliability implication in thin dielectrics. IEEE Electron Device Lett. 2002, 23, 661–663. [Google Scholar] [CrossRef]
- Palumbo, F.; Liang, X.; Yuan, B.; Shi, Y.; Hui, F.; Villena, M.A.; Lanza, M. Bimodal Dielectric Breakdown in Electronic Devices Using Chemical Vapor Deposited Hexagonal Boron Nitride as Dielectric. Adv. Electron. Mater. 2018, 4, 1700506. [Google Scholar] [CrossRef]
- Palumbo, F.; Lombardo, S.; Eizenberg, M. Physical mechanism of progressive breakdown in gate oxides. J. Appl. Phys. 2014, 115, 224101. [Google Scholar] [CrossRef]
- Tung, C.H.; Pey, K.L.; Tang, L.J.; Radhakrishnan, M.K.; Lin, W.H.; Palumbo, F.; Lombardo, S. Percolation path and dielectric-breakdown-induced-epitaxy evolution during ultrathin gate dielectric breakdown transient. Appl. Phys. Lett. 2003, 83, 2223–2225. [Google Scholar] [CrossRef]
- Pey, K.L.; Ranjan, R.; Tung, C.H.; Tang, L.J.; Lin, W.H.; Radhakrishnan, M.K. Gate dielectric degradation mechanism associated with DBIE evolution. In Proceedings of the IEEE International Reliability Physics Symposium, Phoenix, AZ, USA, 25–29 April 2004; Volume 2004, pp. 117–121. [Google Scholar]
- Privitera, S.; Bersuker, G.; Butcher, B.; Kalantarian, A.; Lombardo, S.; Bongiorno, C.; Geer, R.; Gilmer, D.; Kirsch, P. Microscopy study of the conductive filament in HfO2 resistive switching memory devices. Microelectron. Eng. 2013, 109, 75–78. [Google Scholar] [CrossRef]
- Privitera, S.; Bersuker, G.; Lombardo, S.; Bongiorno, C.; Gilmer, D. Conductive filament structure in HfO2 resistive switching memory devices. Solid-State Electron. 2015, 111, 161–165. [Google Scholar] [CrossRef]
- Yang, Y.; Gao, P.; Li, L.; Pan, X.; Tappertzhofen, S.; Choi, S.; Waser, R.; Valov, I.; Lu, W.D. Electrochemical dynamics of nanoscale metallic inclusions in dielectrics. Nat. Commun. 2014, 5, 4232. [Google Scholar] [CrossRef] [PubMed]
- Pan, C.; Ji, Y.; Xiao, N.; Hui, F.; Tang, K.; Guo, Y.; Xie, X.; Puglisi, F.M.; Larcher, L.; Miranda, E.; et al. Coexistence of Grain-Boundaries-Assisted Bipolar and Threshold Resistive Switching in Multilayer Hexagonal Boron Nitride. Adv. Funct. Mater. 2017, 27. [Google Scholar] [CrossRef]
- Rodriguez-Fernandez, A.; Cagli, C.; Perniola, L.; Suñé, J.; Miranda, E. Identification of the generation/rupture mechanism of filamentary conductive paths in ReRAM devices using oxide failure analysis. Microelectron. Reliab. 2017, 76–77, 178–183. [Google Scholar] [CrossRef]
- Nishi, Y.; Fleck, K.; Böttger, U.; Waser, R.; Menzel, S. Effect of RESET Voltage on Distribution of SET Switching Time of Bipolar Resistive Switching in a Tantalum Oxide Thin Film. IEEE Trans. Electron Devices 2015, 62, 1561–1567. [Google Scholar] [CrossRef]
- Palumbo, F.; Shekhter, P.; Weinfeld, K.C.; Eizenberg, M. Characteristics of the dynamics of breakdown filaments in Al2O3/InGaAs stacks. Appl. Phys. Lett. 2015, 107, 122901. [Google Scholar] [CrossRef]
- Palumbo, F.; Miranda, E.; Ghibaudo, G.; Jousseaume, V. Formation and Characterization of Filamentary Current Paths in HfO2-Based Resistive Switching Structures. IEEE Electron Device Lett. 2012, 33, 1057–1059. [Google Scholar] [CrossRef]
- Palumbo, F.; Condorelli, G.; Lombardo, S.; Pey, K.; Tung, C.; Tang, L. Structure of the oxide damage under progressive breakdown. Microelectron. Reliab. 2005, 45, 845–848. [Google Scholar] [CrossRef]
- Du, H.; Jia, C.-L.; Koehl, A.; Barthel, J.; Dittmann, R.; Waser, R.; Mayer, J. Nanosized conducting filaments formed by atomic-scale defects in redox-based resistive switching memories. Chem. Mater. 2017, 29, 3164–3173. [Google Scholar] [CrossRef]
- Palumbo, F.; Eizenberg, M.; Lombardo, S. General features of progressive breakdown in gate oxides: A compact model. In Proceedings of the IEEE International Reliability Physics Symposium, Monterey, CA, USA, 19–23 April 2015; Volume 2015, pp. 5A11–5A16. [Google Scholar]
- Lombardo, S.; Wu, E.Y.; Stathis, J.H. Electron energy dissipation model of gate dielectric progressive breakdown in n- and p-channel field effect transistors. J. Appl. Phys. 2017, 122, 085701. [Google Scholar] [CrossRef]
- Lombardo, S.; Stathis, J.H.; Linder, B.P. breakdown transients in ultrathin gate oxides: Transition in the degradation rate. Phys. Rev. Lett. 2003, 90, 167601. [Google Scholar] [CrossRef] [PubMed]
- Pagano, R.; Lombardo, S.; Palumbo, F.; Kirsch, P.; Krishnan, S.; Young, C.; Choi, R.; Bersuker, G.; Stathis, J. A novel approach to characterization of progressive breakdown in high-k/metal gate stacks. Microelectron. Reliab. 2008, 48, 1759–1764. [Google Scholar] [CrossRef]
- Palumbo, F.; Lombardo, S.; Stathis, J.; Narayanan, V.; Mcfeely, F.; Yurkas, J. Degradation of ultra-thin oxides with tungsten gates under high voltage: Wear-out and breakdown transient. In Proceedings of the 2004 IEEE International Reliability Physics Symposium, Phoenix, AZ, USA, 25–29 April 2004; pp. 122–125. [Google Scholar] [CrossRef]
- Larcher, L. Statistical simulation of leakage currents in mos and flash memory devices with a new multiphonon trap-assisted tunneling model. IEEE Trans. Electron Devices 2003, 50, 1246–1253. [Google Scholar] [CrossRef]
- Nigam, T.; Martin, S.; Abusch-Magder, D. Temperature Dependence and Conduction Mechanism after Analog Soft Breakdown. In Proceedings of the 41st Annual Symposium 2003 IEEE International Reliability Physics, Dallas, TX, USA, 30 March–4 April 2003; pp. 417–423. [Google Scholar]
- Condorelli, G.; Lombardo, S.A.; Palumbo, F.; Pey, K.-L.; Tung, C.H.; Tang, L.-J. Structure and conductance of the breakdown spot during the early stages of progressive breakdown. IEEE Trans. Device Mater. Reliab. 2006, 6, 534–541. [Google Scholar] [CrossRef]
- Palumbo, F.; Wen, C.; Lombardo, S.; Pazos, S.; Aguirre, F.; Eizenberg, M.; Hui, F.; Lanza, M. A Review on Dielectric Breakdown in Thin Dielectrics: Silicon Dioxide, High-k, and Layered Dielectrics. Adv. Funct. Mater. 2020, 30, 1900657. [Google Scholar] [CrossRef]
- Takagi, S.; Yasuda, N.; Toriumi, A. Experimental evidence of inelastic tunneling in stress-induced leakage current. IEEE Trans. Electron Devices 1999, 46, 335–341. [Google Scholar] [CrossRef]
- Blöchl, P.E.; Stathis, J.H. Hydrogen electrochemistry and stress-induced leakage current in Silica. Phys. Rev. Lett. 1999, 83, 372–375. [Google Scholar] [CrossRef]
- Aguirre, F.L.; RodriguezFernandez, A.; Pazos, S.M.; Sune, J.; Miranda, E.; Palumbo, F. Study on the connection between the set transient in RRAMs and the progressive breakdown of thin oxides. IEEE Trans. Electron. Devices 2019, 66, 1–7. [Google Scholar] [CrossRef]
- Ielmini, D. Modeling the universal set/reset characteristics of bipolar RRAM by field-and temperature-driven filament growth. IEEE Trans. Electron Devices 2011, 58, 4309–4317. [Google Scholar] [CrossRef]
- Pazos, S.; Aguirre, F.L.; Miranda, E.; Lombardo, S.; Palumbo, F. Comparative study of the breakdown transients of thin Al2O3 and HfO2 films in MIM structures and their connection with the thermal properties of materials. J. Appl. Phys. 2017, 121, 094102. [Google Scholar] [CrossRef]
- Rodríguez-Fernández, A.; Cagli, C.; Sune, J.; Miranda, E. Switching Voltage and Time Statistics of Filamentary Conductive Paths in HfO2-Based ReRAM Devices. IEEE Electron Device Lett. 2018, 39, 656–659. [Google Scholar] [CrossRef]
- Zafar, S.; Jagannathan, H.; Edge, L.F.; Gupta, D. Measurement of oxygen diffusion in nanometer scale HfO2 gate dielectric films. Appl. Phys. Lett. 2011, 98, 152903. [Google Scholar] [CrossRef]
- Shacham-Diamand, Y.; Dedhia, A.; Hoffstetter, D.; Oldham, W.G. Copper Transport in Thermal SiO2. J. Electrochem. Soc. 1993, 140, 2427–2432. [Google Scholar] [CrossRef]
- Nason, T.C.; Yang, G.; Park, K.; Lu, T. Study of silver diffusion into Si(111) and SiO2 at moderate temperatures. J. Appl. Phys. 1991, 70, 1392–1396. [Google Scholar] [CrossRef]
- Kim, B.G.; Yeo, S.; Lee, Y.W.; Cho, M.S. Comparison of diffusion coefficients and activation energies for Ag diffusion in silicon carbide. Nucl. Eng. Technol. 2015, 47, 608–616. [Google Scholar] [CrossRef]
- Zobelli, A.; Ewels, C.P.; Gloter, A.; Seifert, G. Vacancy migration in hexagonal boron nitride. Phys. Rev. B 2007, 75, 094104. [Google Scholar] [CrossRef]

































| Thermal Model | Verilog-A Code for the Temperatures Calculation |
|---|---|
| TM1 | T = T0 + sigma*V**2/(8.0*kth); |
| TM2 | E = V/tox; alpha = tox/2.0*sqrt(2*h/(kth*rcf)); T = T0 + (sigma*E**2*rcf*(exp(alpha)−1)**2)/(2*h*(exp(2*alpha)+1)); |
| TM3 | LCF = tox−g; rg = sqrt(rt*rb); eta = rt/rb; E = V/LCF; alpha = LCF*sqrt(2*h/(kth*rg)); T = T0 + rg*sigma*E**2/(eta*h)*(0.5 − (exp(alpha/2.0)/(exp(alpha) + 1)); |
| TM4 | analog function real fdt0; real sigmat,rcf,E,alpha; input sigmat,rcf,E,alpha; begin fdt0 = sigmat*rcf*E**2*tanh(alpha*tox/2.0)/(sqrt(2*kth*h*rcf)); end endfunction analog function real fT; real sigmat,rcf,eta,alpha,dt0; input sigmat,rcf,eta,alpha,dt0; begin fT = T0 + sigmat*rcf*E**2/(2*h)*(1-cosh(alpha*tox/2.0)) + dt0/alpha*sinh(alpha*tox/2.0); end endfunction analog function real falpha; real rcf; input rcf; begin falpha = sqrt(2*h/(kth*rcf)); end endfunction analog function real fsigmat; real T; input T; begin fsigmat = sigma/(1 + alphat * (T − T0)); end endfunction |
Publisher’s Note: MDPI stays neutral with regard to jurisdictional claims in published maps and institutional affiliations. |
© 2021 by the authors. Licensee MDPI, Basel, Switzerland. This article is an open access article distributed under the terms and conditions of the Creative Commons Attribution (CC BY) license (https://creativecommons.org/licenses/by/4.0/).
Share and Cite
Roldán, J.B.; González-Cordero, G.; Picos, R.; Miranda, E.; Palumbo, F.; Jiménez-Molinos, F.; Moreno, E.; Maldonado, D.; Baldomá, S.B.; Moner Al Chawa, M.; et al. On the Thermal Models for Resistive Random Access Memory Circuit Simulation. Nanomaterials 2021, 11, 1261. https://doi.org/10.3390/nano11051261
Roldán JB, González-Cordero G, Picos R, Miranda E, Palumbo F, Jiménez-Molinos F, Moreno E, Maldonado D, Baldomá SB, Moner Al Chawa M, et al. On the Thermal Models for Resistive Random Access Memory Circuit Simulation. Nanomaterials. 2021; 11(5):1261. https://doi.org/10.3390/nano11051261
Chicago/Turabian StyleRoldán, Juan B., Gerardo González-Cordero, Rodrigo Picos, Enrique Miranda, Félix Palumbo, Francisco Jiménez-Molinos, Enrique Moreno, David Maldonado, Santiago B. Baldomá, Mohamad Moner Al Chawa, and et al. 2021. "On the Thermal Models for Resistive Random Access Memory Circuit Simulation" Nanomaterials 11, no. 5: 1261. https://doi.org/10.3390/nano11051261
APA StyleRoldán, J. B., González-Cordero, G., Picos, R., Miranda, E., Palumbo, F., Jiménez-Molinos, F., Moreno, E., Maldonado, D., Baldomá, S. B., Moner Al Chawa, M., de Benito, C., Stavrinides, S. G., Suñé, J., & Chua, L. O. (2021). On the Thermal Models for Resistive Random Access Memory Circuit Simulation. Nanomaterials, 11(5), 1261. https://doi.org/10.3390/nano11051261

