Effect of Mesoporous Silica Nanoparticles on The Physicochemical Properties of Pectin Packaging Material for Strawberry Wrapping
Abstract
1. Introduction
2. Materials and Methods
2.1. Materials
2.2. PEC Film Forming Solutions (FFSs) and Film Preparation
2.3. Zeta Potential and Particle Size Measurements
2.4. Film Thickness
2.5. Film Mechanical Properties
2.6. Seal Strength
2.7. Film Barrier Properties
2.8. Differential Scanning Calorimetry (DSC) and Thermogravimetric Analysis (TGA)
2.9. Strawberry Experiments
2.9.1. Strawberry Wrapping
2.9.2. Weight Loss
2.9.3. Determination of pH and Titratable Acidity
2.9.4. Ascorbic Acid Content and DPPH Radical Scavenging Activity
2.9.5. Texture Profile Analysis (TPA)
2.10. Statistical Analysis
3. Results and Discussion
3.1. Zeta Potential and Particles Size of PEC and MSN-Based Solutions
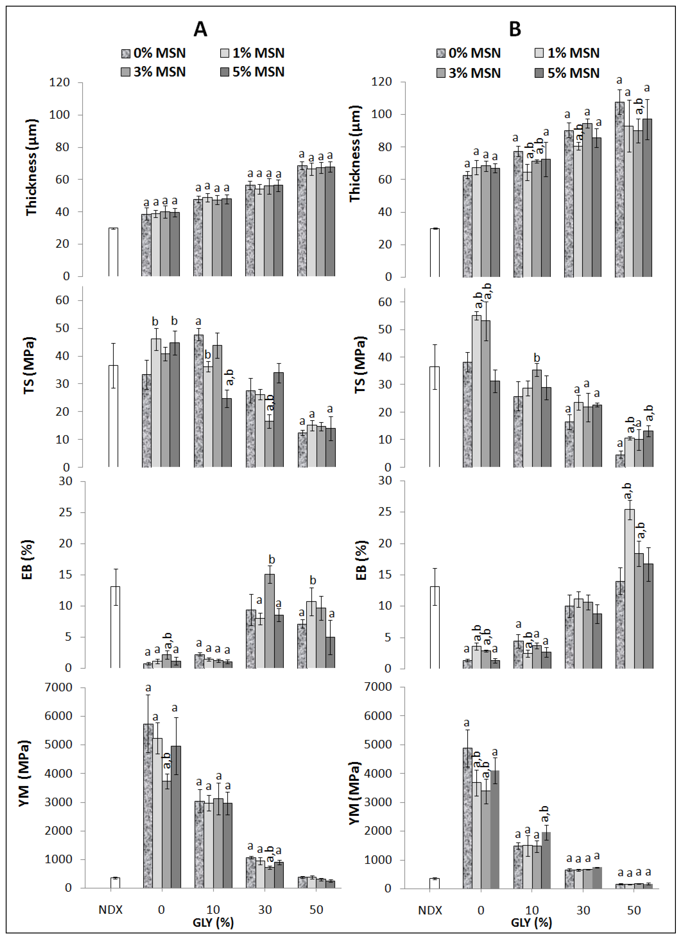
3.2. Mechanical Properties
3.3. Heat Seal Strength
3.4. CO2, O2, and Water Vapor (WV) Permeability
3.5. Thermal Properties
3.6. Quality of Wrapped Strawberries During Storage
3.6.1. Weight Loss, pH and Titratable Acidity
3.6.2. Ascorbic Acid Content and Antioxidant Activity
3.6.3. Texture Profile Analysis (TPA)
4. Conclusions
Author Contributions
Funding
Acknowledgments
Conflicts of Interest
References
- Sabbah, M.; Porta, R. Plastic pollution and the challenge of bioplastics. J. Appl. Biotechnol. Bioeng. 2017, 2, 111. [Google Scholar]
- Thompson, R.C. Future of the sea: Plastic pollution. In Review of Evidence: Plastic Pollution; Government Office for Science: London, UK, 2017. [Google Scholar]
- Lara-Espinoza, C.; Carvajal-Millán, E.; Balandrán-Quintana, R.; López-Franco, Y.; Rascón-Chu, A. Pectin and pectin-based composite materials: Beyond food texture. Molecules 2018, 23, 942. [Google Scholar] [CrossRef] [PubMed]
- Krivorotova, T.; Cirkovas, A.; Maciulyte, S.; Staneviciene, R.; Budriene, S.; Serviene, E.; Sereikaite, J. Nisin-loaded pectin nanoparticles for food preservation. Food Hydrocoll. 2016, 54, 49–56. [Google Scholar] [CrossRef]
- Valdés, A.; Burgos, N.; Jiménez, A.; Garrigós, M.C. Natural pectin polysaccharides as edible coatings. Coatings 2015, 5, 865–886. [Google Scholar] [CrossRef]
- Fathi, M.; Martin, A.; Mc Clements, D.J. Nanocapsulation of food ingredients using carbohydrate based delivery systems. Trends Food Sci. Technol. 2014, 39, 18–39. [Google Scholar] [CrossRef]
- Rascón-Chu, A.; Díaz-Baca, J.A.; Carvajal-Millán, E.; López-Franco, Y.; Lizardi-Mendoza, J. New Use for an “Old” Polysaccharide: Pectin-Based Composite Materials. In Handbook of Sustainable Polymers: Structure and Chemistry; Thakur, V.K., Thakur, M.K., Eds.; Pan Stanford Publishing Pte. Ltd.: Singapore, 2016; pp. 72–107. [Google Scholar]
- Sundar, A.; Rubila, S.; Jayabalan, R.; Ranganathan, T.V. A review on pectin: Chemistry due to general properties of pectin and its pharmaceutical uses. Open Access Sci. Rep. 2012, 1, 1–4. [Google Scholar]
- Al-Asmar, A.; Naviglio, D.; Giosafatto, C.V.L.; Mariniello, L. Hydrocolloid-based coatings are effective at reducing acrylamide and oil content of French fries. Coatings 2018, 8, 147. [Google Scholar] [CrossRef]
- Di Pierro, P.; Rossi Marquez, G.; Mariniello, L.; Sorrentino, A.; Villalonga, R.; Porta, R. Effect of transglutaminase on the mechanical and barrier properties of whey protein/pectin films prepared at complexation pH. J. Agric. Food Chem. 2013, 61, 4593–4598. [Google Scholar] [CrossRef]
- Giosafatto, C.V.L.; Mariniello, L.; Ring, S. Extraction and characterization of foeniculum vulgare pectins and their use for preparing biopolymer films in the presence of phaseolin protein. J. Agric. Food Chem. 2007, 55, 1237–1240. [Google Scholar] [CrossRef]
- Porta, R.; Di Pierro, P.; Sabbah, M.; Regalado-Gonzales, C.; Mariniello, L.; Kadivar, M.; Arabestani, A. Blend films of pectin and bitter vetch (Vicia ervilia) proteins: Properties and effect of transglutaminase. Innov. Food Sci. Emerg. Technol. 2016, 36, 245–251. [Google Scholar] [CrossRef]
- Esposito, M.; Di Pierro, P.; Regalado-Gonzales, C.; Mariniello, L.; Giosafatto, C.V.L.; Porta, R. Polyamines as new cationic plasticizers for pectin-based edible films. Carbohydr. Polym. 2016, 153, 222–228. [Google Scholar] [CrossRef] [PubMed]
- Fernandez-Bats, I.; Di Pierro, P.; Villalonga-Santana, R.; Garcia-Almendarez, B.; Porta, R. Bioactive mesoporous silica nanocomposite films obtained from native and transglutaminase-crosslinked bitter vetch proteins. Food Hydrocoll. 2018, 82, 106–115. [Google Scholar] [CrossRef]
- Ghanbarzadeh, B.; Oleyaei, S.A.; Almasi, H. Nanostructured materials utilized in biopolymer-based plastics for food packaging applications. Crit. Rev. Food Sci. Nutr. 2015, 55, 1699–1723. [Google Scholar] [CrossRef]
- Rampino, A.; Borgogna, M.; Bellich, B.; Blasi, P.; Virgilio, F.; Cesàro, A. Chitosan-pectin hybrid nanoparticles prepared by coating and blending techniques. Eur. J. Pharm. Sci. 2016, 84, 37–45. [Google Scholar] [CrossRef]
- Souza, V.G.L.; Fernando, A.L. Nanoparticles in food packaging: Biodegradability and potential migration to food-A review. Food Packag. Shelf Life 2016, 8, 63–70. [Google Scholar] [CrossRef]
- Voon, H.C.; Bhat, R.; Easa, A.M.; Liong, M.T.; Karim, A.A. Effect of addition of halloysitenanoclay and SiO2 nanoparticles on barrier and mechanical properties of bovine gelatin films. Food Bioprocess Technol. 2012, 5, 1766–1774. [Google Scholar] [CrossRef]
- Zink, J.; Wyrobnik, T.; Prinz, T.; Schmid, M. Physical, chemical and biochemical modifications of protein-based films and coatings: An extensive review. Int. J. Mol. Sci. 2016, 17, 1376. [Google Scholar] [CrossRef]
- Liu, J.; He, D.; Liu, Q.; He, X.; Wang, K.; Yang, X.; Shangguan, J.; Tang, J.; Mao, Y. Vertically ordered mesoporous silica film-assisted label-free and universal electrochemiluminescenceaptasensor platform. Anal. Chem. 2016, 88, 11707–11713. [Google Scholar] [CrossRef]
- Lu, C.-H.; Willner, I. Stimuli-Responsive DNA-functionalized Nano-/Microcontainers for switchable and controlled release. Angew. Chem. Int. Ed. 2015, 54, 12212–12235. [Google Scholar] [CrossRef]
- Slowing, I.I.; Vivero-Escoto, J.L.; Trewyn, B.G.; Lin, V.S.-Y. Mesoporous silica nanoparticles: Structural design and applications. J. Mater. Chem. 2010, 20, 7924–7937. [Google Scholar] [CrossRef]
- Solano-Umaña, V.; Vega-Baudrit, J.R. Micro, meso and macro porous materials on medicine. J. Biomater. Nanobiotechnol. 2015, 6, 247–256. [Google Scholar] [CrossRef]
- Tyagi, V.; Sharma, A.; Gupta, R.K. Design and properties of polysaccharide based: Silica hybrid packaging material. Int. J. Food Sci. Nutr. 2017, 2, 140–150. [Google Scholar]
- Rangelova, N.; Aleksandrov, L.; Nenkova, S. Synthesis and characterization of pectin/SiO2 hybrid materials. J. Sol Gel Sci. Technol. 2017, 85, 330–339. [Google Scholar] [CrossRef]
- Agoudjil, N.; Sicard, C.; Jaouen, V.; Garnier, C.; Bonnin, E.; Steunou, N.; Coradin, T. Design and properties of biopolymer–silica hybrid materials: The example of pectin-based biodegradable hydrogels. Pure Appl. Chem. 2012, 84, 2521–2529. [Google Scholar] [CrossRef]
- Cushen, M.; Kerry, J.; Morris, M.; Cruz-Romero, M.; Cummins, E. Nanotechnologies in the food industry—Recent developments, risks and regulation. Trends Food Sci. Technol. 2012, 24, 30–46. [Google Scholar] [CrossRef]
- Atress, A.S.H.; EI-Mogy, M.M.; Aboul-Anean, H.E.; Alsanius, B.W. Improving strawberries fruit storability by edible coating as carrier of thymol or calcium chloride. J. Hortic. Sci. Ornam. Plant 2011, 2, 88–97. [Google Scholar]
- De Souza, V.R.; Pereira, P.A.P.; da Silva, T.L.T.; de Oliveira Lima, L.C.; Pio, R.; Queiroz, F. Determination of the bioactive compounds, antioxidant activity and chemical composition of Brazilian blackberry, red raspberry, strawberry, blueberry and sweet cherry fruits. Food Chem. 2014, 156, 362–368. [Google Scholar] [CrossRef]
- Giampieri, F.; Tulipani, S.; Alvarez-Suarez, J.M.; Quiles, J.L.; Mezzetti, B.; Battino, M. The strawberry: Composition, nutritional quality, and impact on human health. Nutrition 2012, 28, 9–19. [Google Scholar] [CrossRef]
- Vandendriessche, T.; Vermeir, S.; Mayayo Martinez, C.; Hendrickx, Y.; Lammertyn, J.; Nicolaï, B.M.; Hertog, M.L.A.T.M. Effect of ripening and inter-cultivar differences on strawberry quality. LWT Food Sci. Technol. 2013, 52, 62–70. [Google Scholar] [CrossRef]
- Han, C.; Zhao, Y.; Leonard, S.W.; Traber, M.G. Edible coatings to improve storability and enhance nutritional value of fresh and frozen strawberries (Fragaria × ananassa) and raspberries (Rubusideaus). Postharvest Biol. Technol. 2004, 33, 67–78. [Google Scholar] [CrossRef]
- Khalifa, I.; Barakat, H.; El-Mansy, H.A.; Soliman, S.A. Improving the shelf-life stability of apple and strawberry fruits applying chitosan-incorporated olive oil processing residues coating. Food Packag. Shelf Life 2016, 9, 10–19. [Google Scholar] [CrossRef]
- Liu, Y.; Wang, S.; Lan, W.; Qin, W. Fabrication and testing of PVA/Chitosan bilayer films for strawberry packaging. Coatings 2017, 7, 109. [Google Scholar] [CrossRef]
- Maraei, R.W.; Elsawy, K.M. Chemical quality and nutrient composition of strawberry fruits treated by γ-irradiation. J. Radiat. Res. Appl. Sci. 2017, 10, 80–87. [Google Scholar] [CrossRef]
- ASTM D882-97. Standard Test Method for Tensile Properties of Thin Plastic Sheeting; ASTM: Philadelphia, PA, USA, 1997. [Google Scholar]
- Farhan, A.; Hani, N.M. Characterization of edible packaging films based on semi-refined kappa-carrageenan plasticized with glycerol and sorbitol. Food Hydrocoll. 2017, 64, 48–58. [Google Scholar] [CrossRef]
- Sabbah, M.; Di Pierro, P.; Dell’Olmo, E.; Arciello, A.; Porta, R. Improved shelf-life of Nabulsi cheese wrapped with hydrocolloid films. Food Hydrocoll. 2019, 96, 29–35. [Google Scholar] [CrossRef]
- Tongnuanchan, P.; Benjakul, S.; Prodpran, T.; Pisuchpen, S.; Osako, K. Mechanical, thermal and heat sealing properties of fish skin gelatin film containing palm oil and basil essential oil with different surfactants. Food Hydrocoll. 2016, 56, 93–107. [Google Scholar] [CrossRef]
- ASTM F88-07a. Standard Test Method for Seal Strength of Flexible Barrier Materials; ASTM International: West Conshohocken, PA, USA, 2007; pp. 768–777. [Google Scholar]
- ASTM D3985-05. Standard Test Method for Oxygen Gas Transmission Rate through Plastic Film and Sheeting Using a Colorimetric Sensor; ASTM international: West Conshohocken, PA, USA, 2010. [Google Scholar]
- ASTM F2476-13. Standard Test Method for the Determination of Carbon Dioxide Gas Transmission Rate (CO2 TR) through Barrier Materials Using an Infrared Detector; ASTM International: West Conshohocken, PA, USA, 2013. [Google Scholar]
- ASTM F1249-13. Standard Test Method for Water Vapor Transmission Rate through Plastic Film and Sheeting Using a Modulated Infrared Sensor; ASTM International: West Conshohocken, PA, USA, 2013. [Google Scholar]
- AOAC. Official Methods 942.15 Acidity (Titratable) of Fruit Products, 17th ed.; Association of Official Analytical Chemists: Washington, DC, USA, 2000. [Google Scholar]
- Almeida, M.M.B.; de Sousa, P.H.M.; Arriaga, Â.M.C.; do Prado, G.M.; de Carvalho Magalhães, C.E.; Maia, G.A.; de Lemos, T.L.G. Bioactive compounds and antioxidant activity of fresh exotic fruits from northeastern Brazil. Food Res. Int. 2011, 44, 2155–2159. [Google Scholar] [CrossRef]
- Brand-Williams, W.; Cuvelier, M.E.; Berset, C. Use of a free radical method to evaluate antioxidant activity. LWT Food Sci. Technol. 1995, 28, 25–30. [Google Scholar] [CrossRef]
- Giosafatto, C.V.L.; Di Pierro, P.; Gunning, A.P.; Mackie, A.; Porta, R.; Mariniello, L. Trehalose-containing hydrocolloid edible films prepared in the presence of transglutaminase. Biopolymers 2014, 101, 931–937. [Google Scholar] [CrossRef]
- Odriozola-Serrano, I.; Soliva-Fortuny, R.; Martín-Belloso, O. Antioxidant properties and shelf-life extension of fresh-cut tomatoes stored at different temperatures. J. Sci. Food Agric. 2008, 88, 2606–2614. [Google Scholar] [CrossRef]
- Pădureț, S.; Oroian, M.; Gutt, G.; Amariei, S. Evaluation of strawberry texture in close relation with their anisotropy. Int. J. Food Prop. 2017, 20, 247–259. [Google Scholar] [CrossRef]
- Rossi Marquez, G.; Di Pierro, P.; Mariniello, L.; Esposito, M.; Giosafatto, C.V.L.; Porta, R. Fresh-cut fruit and vegetable coatings by transglutaminase-crosslinked whey protein/pectin edible films. LWT Food Sci. Technol. 2017, 75, 124–130. [Google Scholar] [CrossRef]
- Sabbah, M.; Di Pierro, P.; Esposito, M.; Giosafatto, C.V.L.; Mariniello, L.; Porta, R. Stabilization of charged polysaccharide film forming solution by sodium chloride: Nanoparticle Z-average and zeta-potential monitoring. J. Biotechnol. Biomater. 2016, 6, e128. [Google Scholar] [CrossRef]
- Musso, G.E.; Bottinelli, E.; Celi, L.; Magnacca, G.; Berlier, G. Influence of surface functionalization on the hydrophilic character of mesoporous silica nanoparticles. Phys. Chem. Chem. Phys. 2015, 17, 13882–13894. [Google Scholar] [CrossRef] [PubMed]
- Farris, S.; Schaich, K.M.; Liu, L.; Piergiovanni, L.; Yam, K.L. Development of polyion-complex hydrogels as an alternative approach for the production of bio-based polymers for food packaging: A review. Trends Food Sci. Technol. 2009, 20, 316–332. [Google Scholar] [CrossRef]
- Porta, R.; Di Pierro, P.; Roviello, V.; Sabbah, M. Tuning the functional properties of bitter vetch (Vicia ervilia) protein films grafted with spermidine. Int. J. Mol. Sci. 2017, 18, 2658. [Google Scholar] [CrossRef]
- Giosafatto, C.V.L.; Sabbah, M.; Al-Asmar, A.; Esposito, M.; Sanchez, A.; Villalonga-Santana, R.; Cammarota, M.; Mariniello, L.; Di Pierro, P.; Porta, R. Effect of mesoporous silica nanoparticles on glycerol plasticized anionic and cationic polysaccharide edible films. Coatings 2019, 9, 172. [Google Scholar] [CrossRef]
- Nesic, A.R.; Kokunesoski, M.J.; Ilic, S.M.; Gordic, M.V.; Ostojic, S.B.; Micic, D.M.; Velickovic, S.J. Biocomposite membranes of highly methylated pectin and mesoporous silica SBA-15. Compos. Part B Eng. 2014, 64, 162–167. [Google Scholar] [CrossRef]
- Abdorreza, M.N.; Cheng, L.H.; Karim, A.A. Effects of plasticizers on thermal properties and heat sealability of sago starch films. Food Hydrocoll. 2011, 25, 56–60. [Google Scholar] [CrossRef]
- Sabbah, M.; Di Pierro, P.; Cammarota, M.; Dell’Olmo, E.; Arciello, A.; Porta, R. Development and properties of new chitosan-based films plasticized with spermidine and/or glycerol. Food Hydrocoll. 2019, 87, 245–252. [Google Scholar] [CrossRef]
- Wang, W.; Ma, X.; Jiang, P.; Hu, L.; Zhi, Z.; Chen, J.; Ding, T.; Ye, X.; Liu, D. Characterization of pectin from grapefruit peel: A comparison of ultrasound-assisted and conventional heating extractions. Food Hydrocoll. 2016, 61, 730–739. [Google Scholar] [CrossRef]
- Ahn, S.; Halake, K.; Lee, J. Antioxidant and ion-induced gelation functions of pectins enabled by polyphenol conjugation. Int. J. Biol. Macromol. 2017, 101, 776–782. [Google Scholar] [CrossRef] [PubMed]
- Liu, Y.; Sun, Y.; Ding, G.; Geng, Q.; Zhu, J.; Guo, M.; Duan, Y.; Wang, B.; Cao, Y. Synthesis, Characterization, and Application of Microbe-Triggered Controlled-Release Kasugamycin-Pectin Conjugate. J. Agric. Food Chem. 2015, 63, 4263–4268. [Google Scholar] [CrossRef] [PubMed]
- Ballesteros, L.F.; Cerqueira, M.A.; Teixeira, J.A.; Mussatto, S.I. Characterization of polysaccharides extracted from spent coffee grounds by alkali pretreatment. Carbohydr. Polym. 2015, 127, 347–354. [Google Scholar] [CrossRef]
- Demir, Y.K.; Metin, A.Ü.; Şatıroğlu, B.; Solmaz, M.E.; Kayser, V.; Mäder, K. Poly (methyl vinyl ether-co-maleic acid)–Pectin based hydrogel-forming systems: Gel, film, and microneedles. Eur. J. Pharm. Biopharm. 2017, 117, 182–194. [Google Scholar] [CrossRef]
- De Oliveira Freitas, L.B.; Bravo, I.J.G.; de Almeida Macedo, W.A.; de Sousa, E.M.B. Mesoporous silica materials functionalized with folic acid: Preparation, characterization and release profile study with methotrexate. J. Sol Gel Sci. Technol. 2016, 77, 186–204. [Google Scholar] [CrossRef]
- Einhorn-Stoll, U.; Kunzek, H. The influence of the storage conditions heat and humidity on conformation, state transitions and degradation behavior of dried pectins. Food Hydrocoll. 2009, 23, 856–866. [Google Scholar] [CrossRef]
- Nisar, T.; Wang, Z.-C.; Yang, X.; Tian, Y.; Iqbal, M.; Guo, Y. Characterization of citrus pectin films integrated with clove bud essential oil: Physical, thermal, barrier, antioxidant and antibacterial properties. Int. J. Biol. Macromol. 2018, 106, 670–680. [Google Scholar] [CrossRef]
- Seslija, S.; Spasojević, P.; Panić, V.; Dobrzyńska-Mizera, M.; Immirzi, B.; Stevanović, J.; Popović, I. Physicochemical evaluation of hydrophobically modified pectin derivatives: Step toward application. Int. J. Biol. Macromol. 2018, 113, 924–932. [Google Scholar] [CrossRef]
- Mekonnen, T.; Mussone, P.; Khalil, H.; Bressler, D. Progress in bio-based plastics and plasticizing modifications. J. Mater. Chem. A 2013, 1, 13379–13398. [Google Scholar] [CrossRef]
- Vieira, M.G.A.; da Silva, M.A.; dos Santos, L.O.; Beppu, M.M. Natural-based plasticizers and biopolymer films: A review. Eur. Polym. J. 2011, 47, 254–263. [Google Scholar] [CrossRef]
- Martinez-Ferrer, M.; Harper, C.; Perez-Muntoz, F.; Chaparro, M. Modified atmosphere packaging of minimally processed mango and pineapple fruits. J. Food Sci. 2002, 67, 3365–3371. [Google Scholar] [CrossRef]
- Wang, S.Y.; Lin, H.S. Antioxidant activity in fruit and leaves of blackberry, raspberry, and strawberry varies with cultivar and developmental stage. J. Agric. Food Chem. 2000, 48, 140–146. [Google Scholar] [CrossRef] [PubMed]
- Dhawan, K.R.; Bassi, P.K.; Spencer, M.S. Effects of carbon dioxide on ethylene production and action in intact sunflower plants. Plant Physiol. 1981, 68, 831–834. [Google Scholar] [CrossRef]









| Film | Permeability (cm3 mm m−2 day−1 kPa−1) | ||
|---|---|---|---|
| CO2 | O2 | WV | |
| 0.6% PEC | 0.141 ± 0.009 | 0.151 ± 0.008 | 0.159 ± 0.048 |
| +3% MSNs | 0.110 ± 0.004 a | 0.090 ± 0.014 a | 0.083 ± 0.022 a |
| +30% GLY | 0.105 ± 0.012 a | 0.037 ± 0.007 a | 0.110 ± 0.010 |
| +3% MSNs + 30% GLY | 0.076 ± 0.008 a,b | 0.022 ± 0.001 a,b | 0.026 ± 0.001 a,b |
| 1% PEC | 0.081 ± 0.031 | 0.013 ± 0.001 | 0.127 ± 0.016 |
| +1% MSNs | 0.076 ± 0.001 | 0.008 ± 0.002 a | 0.091 ± 0.010 a |
| +50% GLY | 0.415 ± 0.010 a | 0.026 ± 0.012 a | 0.122 ± 0.001 |
| +1% MSNs + 50% GLY | 0.286 ± 0.006 a,b | 0.019 ± 0.003 a | 0.085 ± 0.002 a,b |
| Chitosan (0.6%) * | 15.81 ± 2.06 | 14.33 ± 0.29 | 0.05 ± 0.02 |
| Viscofan (NDX) ** | 3.71 ± 0.16 | 0.03 ± 0.01 | 0.08 ± 0.01 |
| Mater-Bi® (S-301) ** | 5.23 ± 0.01 | 0.74 ± 0.01 | 0.04 ± 0.01 |
| Film | Tg °C | Tm °C |
|---|---|---|
| 0.6% PEC | 120.3 | 222.8 |
| +3% MSNs | 174.4 | 224.8 |
| +30% GLY | 84.9 | 205.7 |
| +3% MSNs + 30% GLY | 150.4 | 204.8 |
| 1% PEC | 125.8 | 227.4 |
| +1% MSNs | 170.1 | 227.7 |
| +50% GLY | 91.4 | 202.0 |
| +1% MSNs + 50% GLY | 146.2 | 200.4 |
| Storage Time (Days) | Strawberry Sample | Hardness (N) | Chewiness (N.mm) | Gumminess (N) |
|---|---|---|---|---|
| 0 | UW | 57.8 ± 8.9 | 92.5 ± 10.4 | 7.9 ± 2.8 |
| 4 | UW | 46.6 ± 5.4 | 89.2 ± 15.6 | 7.4 ± 1.9 |
| W, PEC+GLY | 59.9 ± 6.4 | 81.5 ± 9.6 | 8.7 ± 2.7 | |
| W, PEC+MSN+GLY | 56.1 ± 3.1 | 74.2 ± 7.6 | 6.2 ± 1.0 | |
| W, Mater-Bi | 43.1 ± 1.3 b | 76.7 ± 5.2 | 6.4 ± 0.4 | |
| 8 | UW | ND | ND | ND |
| W, PEC+GLY | 34.5 ± 3.8 a,b | 50.4 ± 9.3 a,b | 4.2 ± 0.8 a,b | |
| W, PEC+MSN+GLY | 25.4 ± 7.3 a,b | 41.1 ± 4.8 a,b | 3.5 ± 0.4 a,b | |
| W, Mater-Bi | ND | ND | ND |
© 2019 by the authors. Licensee MDPI, Basel, Switzerland. This article is an open access article distributed under the terms and conditions of the Creative Commons Attribution (CC BY) license (http://creativecommons.org/licenses/by/4.0/).
Share and Cite
Al-Asmar, A.; Giosafatto, C.V.L.; Sabbah, M.; Sanchez, A.; Villalonga Santana, R.; Mariniello, L. Effect of Mesoporous Silica Nanoparticles on The Physicochemical Properties of Pectin Packaging Material for Strawberry Wrapping. Nanomaterials 2020, 10, 52. https://doi.org/10.3390/nano10010052
Al-Asmar A, Giosafatto CVL, Sabbah M, Sanchez A, Villalonga Santana R, Mariniello L. Effect of Mesoporous Silica Nanoparticles on The Physicochemical Properties of Pectin Packaging Material for Strawberry Wrapping. Nanomaterials. 2020; 10(1):52. https://doi.org/10.3390/nano10010052
Chicago/Turabian StyleAl-Asmar, Asmaa, C. Valeria L. Giosafatto, Mohammed Sabbah, Alfredo Sanchez, Reynaldo Villalonga Santana, and Loredana Mariniello. 2020. "Effect of Mesoporous Silica Nanoparticles on The Physicochemical Properties of Pectin Packaging Material for Strawberry Wrapping" Nanomaterials 10, no. 1: 52. https://doi.org/10.3390/nano10010052
APA StyleAl-Asmar, A., Giosafatto, C. V. L., Sabbah, M., Sanchez, A., Villalonga Santana, R., & Mariniello, L. (2020). Effect of Mesoporous Silica Nanoparticles on The Physicochemical Properties of Pectin Packaging Material for Strawberry Wrapping. Nanomaterials, 10(1), 52. https://doi.org/10.3390/nano10010052

