Comparison of HF Radar Fields of Directional Wave Spectra Against In Situ Measurements at Multiple Locations
Abstract
1. Introduction
2. Materials and Methods
2.1. Datasets
2.1.1. HF Radar
2.1.2. Mooring Data
2.2. Methodology
3. Results
3.1. Integrated Parameters
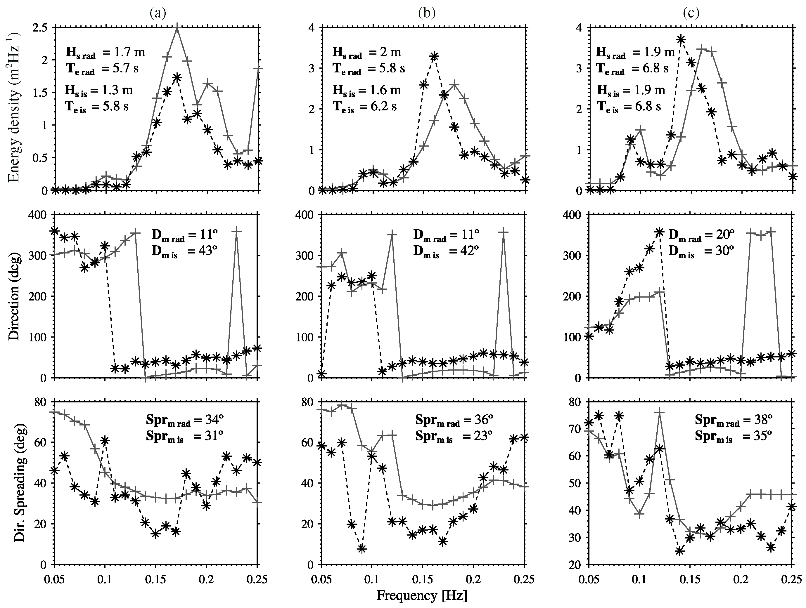
3.2. Directional Wave Spectra
4. Discussion
5. Conclusions
Author Contributions
Funding
Acknowledgments
Conflicts of Interest
References
- Fujii, S.; Heron, M.L.; Kim, K.; Lai, J.W.; Lee, S.H.; Wu, X.; Wu, X.; Wyatt, L.R.; Yang, W.C. An overview of developments and applications of oceanographic radar networks in Asia and Oceania countries. Ocean Sci. J. 2013, 48, 69–97. [Google Scholar] [CrossRef]
- Roarty, H.; Glenn, S.; Kohut, J.; Gong, D.; Handel, E.; Rivera, E.; Garner, T.; Atkinson, L.; Brown, W.; Jakubiak, C.; et al. Operation and application of a regional high-drequency radar network in the mid-atlantic bight. Marine Technol. Soc. J. 2010, 44, 133–145. [Google Scholar] [CrossRef]
- Rubio, A.; Mader, J.; Corgnati, L.; Mantovani, C.; Griffa, A.; Novellino, A.; Quentin, C.; Wyatt, L.; Schulz-Stellenfleth, J.; Horstmann, J.; et al. HF radar activity in European coastal seas: Next steps toward a pan-European HF radar network. Front. Mar. Sci. 2017, 4, 8. [Google Scholar] [CrossRef]
- Lorente, P.; Sotillo, M.G.; Aouf, L.; Amo-Baladrón, A.; Barrera, E.; Dalphinet, A.; Toledano, C.; Rainaud, R.; De Alfonso, M.; Piedracoba, S.; et al. Extreme Wave Height Events in NW Spain: A Combined Multi-Sensor and Model Approach. Remote Sens. 2018, 10. [Google Scholar] [CrossRef]
- Lorente, P.; Basañez Mercader, A.; Piedracoba, S.; Perez-Muñuzuri, V.; Montero, P.; Alvarez-Fanjul, E. Long-term skill assessment of SeaSonde radar-derived wave parameters in the Galician coast (NW Spain). Int. J. Remote Sens. 2019. [Google Scholar] [CrossRef]
- Saviano, S.; Kalampokis, A.; Zambianchi, E.; Uttieri, M. A year-long assessment of wave measurements retrieved from an HF radar network in the Gulf of Naples (Tyrrhenian Sea, Western Mediterranean Sea). J. Oper. Oceanogr. 2019, 12, 1–15. [Google Scholar] [CrossRef]
- James, C.; Collopy, M.; Wyatt, L.R.; Middleditch, A.; James, C.; Collopy, M.; Wyatt, L.R.; Middleditch, A.; James, C. Suitability of the Southern Australia integrated marine observing system’s ( SA-IMOS ) HF-radar for operational forecasting. J. Oper. Oceanogr. 2019, 12, 1–13. [Google Scholar] [CrossRef]
- Gurgel, K.W.; Essen, H.H.; Kingsley, S.P. High-frequency radars: Physical limitations and recent developments. Coast. Eng. 1999, 37, 201–218. [Google Scholar] [CrossRef]
- Lipa, B. Derivation of directional ocean-wave spectra by integral inversion of second-order radar echoes. Radio Sci. 1977, 12, 425–434. [Google Scholar] [CrossRef]
- Wyatt, L.R. A relaxation method for integral inversion applied to HF radar measurement of the ocean wave directional spectrum. Int. J. Remote Sens. 1990, 11, 1481–1494. [Google Scholar] [CrossRef]
- Howell, R.; Walsh, J. Measurement of ocean wave spectra using narrow-beam HF radar. IEEE J. Ocean. Eng. 1993, 18, 296–305. [Google Scholar] [CrossRef]
- Hisaki, Y. Nonlinear inversion of the integral equation to estimate ocean wave spectra from HF radar. Radio Sci. 1996, 31, 25–39. [Google Scholar] [CrossRef]
- Hashimoto, N.; Tokuda, M. A Bayesian approach for estimation of directional wave spectra with HF radar. Coast. Eng. J. 2003, 41, 137–149. [Google Scholar] [CrossRef]
- Hisaki, Y. Development of HF radar inversion algorithm for spectrum estimation (HIAS). J. Geophys. Res. Oceans 2015, 120, 1725–1740. [Google Scholar] [CrossRef]
- Barrick, D.E. Extraction of wave parameters from measured HF radar sea-echo Doppler spectra. Radio Sci. 1977, 12, 415–424. [Google Scholar] [CrossRef]
- Wyatt, L.R. Significant waveheight measurement with HF radar. Int. J. Remote Sens. 1988, 9, 1087–1095. [Google Scholar] [CrossRef]
- Wyatt, L.R. An evaluation of wave parameters measured using a single HF radar system. Can. J. Remote Sens. 2002, 28, 205–218. [Google Scholar] [CrossRef]
- Maresca, J.W.; Evans, M.W.; Georges, T.M. Measuring rms wave spectra using narrow-beam HF radar. IEEE J. Ocean. Eng. 1980, 18, 295–305. [Google Scholar]
- Heron, S.F.; Heron, M.L. A comparison of algorithms for extracting significant wave height from HF radar ocean backscatter spectra. J. Atmos. Ocean. Technol. 1998, 15, 1157–1163. [Google Scholar] [CrossRef]
- Essen, H.H.; Gurgel, K.W.; Schlick, T. Measurement of ocean wave height and direction by means of HF radar: An empirical approach. Deutsche Hydrographische Zeitschrift 2007, 51, 369–383. [Google Scholar] [CrossRef]
- Gurgel, K.W.; Essen, H.H.; Schlick, T. An empirical method to derive ocean waves from second-order Bragg scattering: Prospects and limitations. IEEE J. Ocean. Eng. 2006, 31, 804–811. [Google Scholar] [CrossRef]
- Alattabi, Z.; Cahl, D.; Voulgaris, G. Swell and wind wave inversion using a single Very High Frequency (VHF) radar. J. Atmos. Ocean Technol. 2019. [Google Scholar] [CrossRef]
- Wyatt, L.R. Limits to the inversion of HF radar backscatter for ocean wave measurement. J. Atmos. Ocean. Technol. 2000, 17, 1651–1665. [Google Scholar] [CrossRef]
- Wyatt, L.R.; Thompson, S.P.; Burton, R.R. Evaluation of high frequency radar wave measurement. Coast. Eng. 1999, 37, 259–282. [Google Scholar] [CrossRef]
- Wyatt, L.R.; Green, J.J.; Gurgel, K.W.; Nieto Borge, J.C.; Reichert, K.; Hessner, K.; Günther, H.; Rosenthal, W.; Saetra, O.; Reistad, M. Validation and intercomparisons of wave measurements and models during the EuroROSE experiments. Coast. Eng. 2003, 48, 1–28. [Google Scholar] [CrossRef]
- Wyatt, L.R.; Green, J.J.; Middleditch, A. Directional spectra comparisons between HF radar and a wave model. In Proceedings of the IEEE Working Conference on Current Measurement Technology, Charleston, SC, USA, 17–19 March 2008; pp. 211–216. [Google Scholar] [CrossRef]
- Wyatt, L.R.; Green, J.J.; Middleditch, A. HF radar data quality requirements for wave measurement. Coast. Eng. 2011, 58, 327–336. [Google Scholar] [CrossRef]
- Wyatt, L.R.; Green, J.J.; Middleditch, A. Signal sampling impacts on HF radar wave measurement. J. Atmos. Ocean. Technol. 2009, 26, 793–805. [Google Scholar] [CrossRef]
- Voulgaris, G.; Haus, B.K.; Work, P.; Shay, L.K.; Seim, H.E.; Weisberg, R.H.; Nelson, J.R. Waves initiative within SEACOOS. Mar. Technol. Soc. J. 2009, 42, 68–80. [Google Scholar] [CrossRef]
- Savidge, D.; Amft, J.; Gargett, A.; Archer, M.; Conley, D.; Voulgaris, G.; Wyatt, L.; Gurgel, K.W. Assessment of WERA long-range HF-radar performance from the user’s perspective. In Proceedings of the 2011 IEEE/OES/CWTM 10th Working Conference on Current, Waves and Turbulence Measurement, CWTM 2011, Monterey, CA, USA, 20–23 March 2011; pp. 31–38. [Google Scholar] [CrossRef]
- Halcrow Group Limited Wave Hub Development Phase Coastal Processes Study Report; Technical Report; South West of England Regional Development Agency: Exeter, UK, 2006.
- Department of Energy & Climate Change. UK Offshore Energy Strategic Environmental Assessment OESEA3 Non-Technical Summary; Technical Report; Department of Energy and Climate Change: London, UK, 2016.
- Gurgel, K.W.; Schlick, T. Compatibility of FMCW modulated HF surface wave radars with radio services. In Proceedings of the International Radar Symposium, IRS 2007, Cologne, Germany, 5–7 September 2007; pp. 255–258. [Google Scholar]
- Weber, B.L.; Barrick, D.E. On the nonlinear theory for gravity waves on the ocean’s surface. part I: Derivations. J. Phys. Oceanogr. 2002, 7, 3–10. [Google Scholar] [CrossRef]
- Middleditch, A.; Cosoli, S. The Australian coastal ocean radar network: Temporal and spatial scales of HF radar wave data. In Proceedings of the IEEE OCEANS 2016, Shanghai, China, 10–13 April 2016; pp. 1–8. [Google Scholar] [CrossRef]
- Kuik, A.J.; van Vledder, G.P.; Holthuijsen, L.H. A Method for the routine analysis of pitch-and-roll buoy wave data. J. Phys. Oceanogr. 2002, 18, 1020–1034. [Google Scholar] [CrossRef]
- Krogstad, H.E. Maximum likelihood estimation of ocean wave spectra from general arrays of wave gauges. Model. Identif. Control 1988, 9, 81–97. [Google Scholar] [CrossRef]
- Teledyne RD Instruments Inc. WAVES PRIMER: Wave Measurements and the RDI ADCP Waves Array Technique; Technical Report; Teledyne RD Instruments Inc.: Poway CA, USA, 2013. [Google Scholar]
- Brodtkorb, P.A.; Johannesson, P.; Lindgren, G.; Rychlik, I.; Ryden, J.; Sjo, E. WAFO—A MATLAB toolbox for random waves and loads. In Proceedings of the Tenth (2000) International Offshore and Polar Engineering Conference, Seattle, WA, USA, 28 May–2 June 2000; Volume 3, pp. 343–350. [Google Scholar]
- Hashimoto, N. Analysis of the Directional Wave Spectrum From Field Data; World Scientific: Singapore, 2010; Volume 3, pp. 103–143. [Google Scholar]
- Lopez, G.; Conley, D.C.; Greaves, D. Calibration, validation, and analysis of an empirical algorithm for the retrieval of wave spectra from HF radar sea echo. J. Atmos. Ocean. Technol. 2016, 33, 245–261. [Google Scholar] [CrossRef]
- Bowers, J.A.; Morton, I.D.; Mould, G.I. Directional statistics of the wind and waves. Appl. Ocean Res. 2000, 22, 13–30. [Google Scholar] [CrossRef]
- Krogstad, H.E.; Wolf, J.; Thompson, S.P.; Wyatt, L.R. Methods for intercomparison of wave measurements. Coast. Eng. 1999, 37, 235–257. [Google Scholar] [CrossRef]
- Strong, B.; Brumley, B.; Terray, E.; Stone, G. The performance of ADCP-derived directional wave spectra and comparison with other independent measurements. In Proceedings of the OCEANS 2000 MTS/IEEE, Providence, RI, USA, 11–14 September 2002; Volume 2, pp. 1195–1203. [Google Scholar] [CrossRef]
- Green, J.J.; Wyatt, L.R. Row-action inversion of the Barrick-Weber equations. J. Atmos. Ocean. Technol. 2006, 23, 501–510. [Google Scholar] [CrossRef]
- Wyatt, L.R. Measuring the ocean wave directional spectrum ‘First Five’ with HF radar. Ocean Dyn. 2019, 69, 123–144. [Google Scholar] [CrossRef]
- Saulnier, J.B.; Maisondieu, C.; Ashton, I.; Smith, G.H. Refined sea state analysis from an array of four identical directional buoys deployed off the Northern Cornish coast (UK). Appl. Ocean Res. 2012, 37, 1–21. [Google Scholar] [CrossRef]
- Work, P.A. Nearshore directional wave measurements by surface-following buoy and acoustic Doppler current profiler. Ocean Eng. 2008, 35, 727–737. [Google Scholar] [CrossRef]
- Wyatt, L.R.; Liakhovetski, G.; Graber, H.C.; Haus, B.K. Factors affecting the accuracy of SHOWEX HF radar wave measurements. J. Atmos. Ocean. Technol. 2005, 22, 847–859. [Google Scholar] [CrossRef]
- Middleditch, A. Spectral Analysis in High Frequency Radar Oceanography. PhD Thesis, University of Sheffield, Sheffield, UK, 2006. [Google Scholar]












| Device | Parameter | std | RMSE | R | N | ||
|---|---|---|---|---|---|---|---|
| H | 2.18 | 2.20 | 0.91 | 0.30 | 0.94 | ||
| T | 7.94 | 7.95 | 1.27 | 0.56 | 0.91 | ||
| Buoy | T | 8.92 | 8.81 | 0.99 | 1.72 | 0.73 | 2617 |
| D | 276 | 265 | 1.06 | 22.3 | 0.79 | ||
| spr | 40.4 | 42.75 | 0.76 | 9.22 | 0.25 | ||
| H | 1.91 | 2.04 | 1.16 | 0.37 | 0.92 | ||
| T | 8.07 | 7.77 | 0.83 | 0.59 | 0.93 | ||
| ADCP-E | T | 9.25 | 8.54 | 0.80 | 1.78 | 0.76 | 2366 |
| D | 290 | 276 | 1.14 | 21.2 | 0.87 | ||
| spr | 29.4 | 40.9 | 1.11 | 7.93 | 0.32 | ||
| H | 2.11 | 2.19 | 1.04 | 0.45 | 0.87 | ||
| T | 8.48 | 8.51 | 1.02 | 1.38 | 0.66 | ||
| ADCP-W | T | 9.78 | 9.99 | 1.25 | 3.20 | 0.49 | 2320 |
| D | 284 | 265 | 1.21 | 28.5 | 0.80 | ||
| spr | 26.9 | 43.3 | 1.29 | 7.22 | 0.28 |
© 2019 by the authors. Licensee MDPI, Basel, Switzerland. This article is an open access article distributed under the terms and conditions of the Creative Commons Attribution (CC BY) license (http://creativecommons.org/licenses/by/4.0/).
Share and Cite
Lopez, G.; Conley, D.C. Comparison of HF Radar Fields of Directional Wave Spectra Against In Situ Measurements at Multiple Locations. J. Mar. Sci. Eng. 2019, 7, 271. https://doi.org/10.3390/jmse7080271
Lopez G, Conley DC. Comparison of HF Radar Fields of Directional Wave Spectra Against In Situ Measurements at Multiple Locations. Journal of Marine Science and Engineering. 2019; 7(8):271. https://doi.org/10.3390/jmse7080271
Chicago/Turabian StyleLopez, Guiomar, and Daniel C. Conley. 2019. "Comparison of HF Radar Fields of Directional Wave Spectra Against In Situ Measurements at Multiple Locations" Journal of Marine Science and Engineering 7, no. 8: 271. https://doi.org/10.3390/jmse7080271
APA StyleLopez, G., & Conley, D. C. (2019). Comparison of HF Radar Fields of Directional Wave Spectra Against In Situ Measurements at Multiple Locations. Journal of Marine Science and Engineering, 7(8), 271. https://doi.org/10.3390/jmse7080271

