Development and Laboratory Validation of a Real-Time Quantitative PCR Assay for Rapid Detection and Quantification of Heterocapsa bohaiensis
Abstract
1. Introduction
2. Materials and Methods
2.1. Algal Cultures and Density Measurements
2.2. Primer Target Identification and Design for H. bohaiensis
2.3. RNA Extraction and cDNA Synthesis
2.4. qPCR Assay Development
2.5. Primers’ Specificity Validation
2.6. Standard Curve Preparation
2.7. Determination of Limit of Detection and Method Reliability
2.8. Spiked Environmental Sample Testing
3. Results
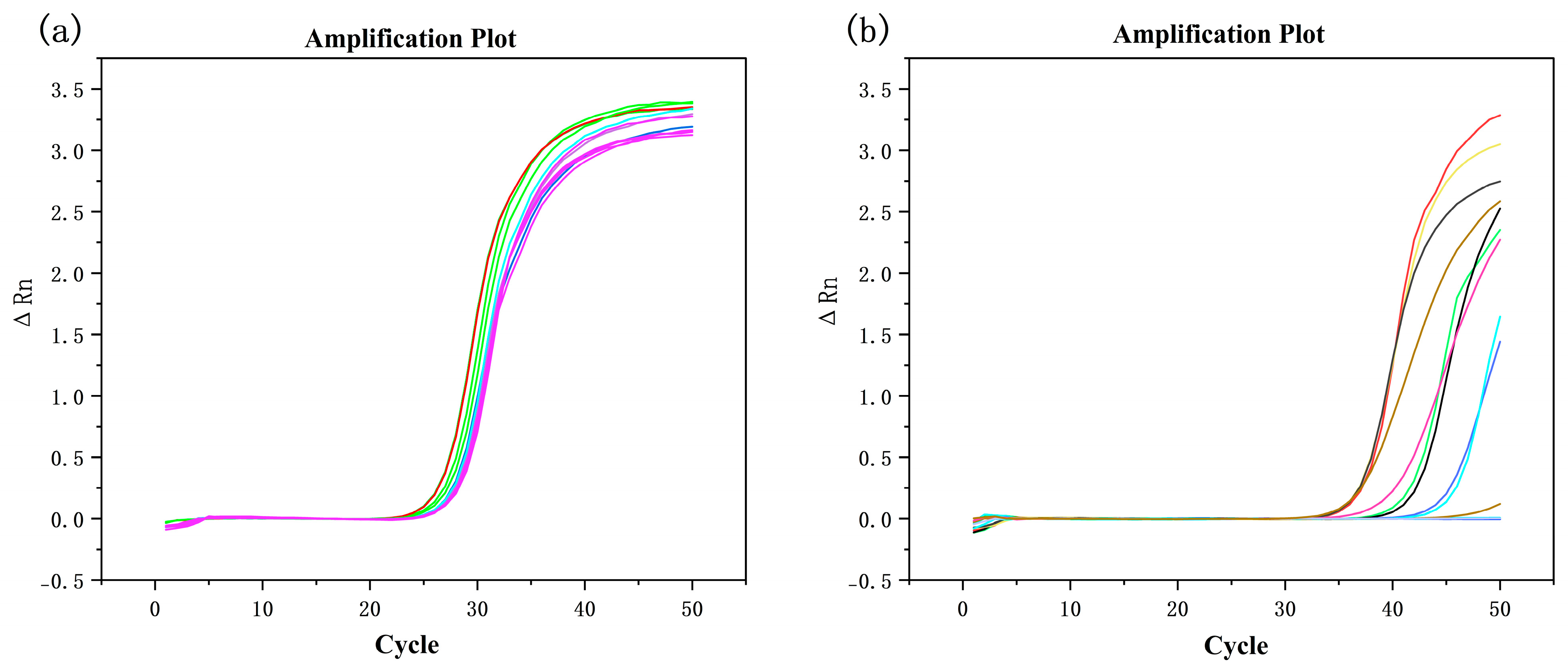
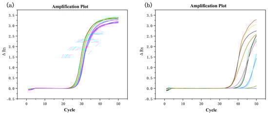
3.1. Primer Specificity Validation for H. bohaiensis
3.2. Primer Performance in Detecting H. bohaiensis in Mixed Algal Samples
3.3. Standard Curve and Quantification
3.4. Limits of Detection and Method Reliability
3.5. Verification of Method Reliability Using Actual Seawater Samples
4. Discussion
4.1. Comparison to Existing Studies
4.2. Advantages and Limitations of This Study
4.3. Applications in HABs Monitoring
5. Conclusions
Supplementary Materials
Author Contributions
Funding
Data Availability Statement
Conflicts of Interest
Abbreviations
| HABs | Harmful algal blooms |
| DEPC | Diethylpyrocarbonate |
| LAMP | Loop-mediated isothermal amplification |
References
- Anderson, D.M.; Wells, M.L.; Trainer, V.L.; Suddleson, M.; Claridge, K.; Coyne, K.J.; Dortch, Q.; Gobler, C.J.; Heil, C.A.; Inaba, N. Controlling harmful algal blooms (HABs) in marine waters: Review of current status and future prospects. Harmful Algae 2025, 150, 102989. [Google Scholar] [CrossRef] [PubMed]
- Pan, G.; Chen, J.; Anderson, D.M. Modified local sands for the mitigation of harmful algal blooms. Harmful Algae 2011, 10, 381–387. [Google Scholar] [CrossRef]
- Fernandes-Salvador, J.A.; Davidson, K.; Sourisseau, M.; Revilla, M.; Schmidt, W.; Clarke, D.; Miller, P.I.; Arce, P.; Fernández, R.; Maman, L. Current status of forecasting toxic harmful algae for the north-east Atlantic shellfish aquaculture industry. Front. Mar. Sci. 2021, 8, 666583. [Google Scholar] [CrossRef]
- Oh, J.-W.; Pushparaj, S.S.C.; Muthu, M.; Gopal, J. Review of harmful algal blooms (HABs) causing marine fish kills: Toxicity and mitigation. Plants 2023, 12, 3936. [Google Scholar] [CrossRef] [PubMed]
- Galluzzi, L.; Penna, A.; Bertozzini, E.; Vila, M.; Garcés, E.; Magnani, M. Development of a real-time PCR assay for rapid detection and quantification of Alexandrium minutum (a dinoflagellate). Appl. Environ. Microbiol. 2004, 70, 1199–1206. [Google Scholar] [CrossRef]
- Wang, Z.; Peng, L.; Xie, C.; Wang, W.; Zhang, Y.; Xiao, L.; Tang, Y.; Yang, Y. Metabarcoding of harmful algal bloom species in sediments from four coastal areas of the southeast China. Front. Microbiol. 2022, 13, 999886. [Google Scholar] [CrossRef]
- Xiao, J.; Sun, N.; Zhang, Y.; Sun, P.; Li, Y.; Pang, M.; Li, R. Heterocapsa bohaiensis sp. nov. (Peridiniales: Dinophyceae): A novel marine dinoflagellate from the Liaodong Bay of Bohai Sea, China. Acta Oceanol. Sin. 2018, 37, 18–27. [Google Scholar] [CrossRef]
- Zhang, Y.; Liu, G.; Yang, Y.; Lu, D.; Liu, L.; Wei, Y.; Sun, N.; Su, Y. Interspecific competition between the bloom-causing dinoflagellates Hetrocapsa bohaiensis and the local species Chlorella pyrenoidosa. Mar. Environ. Res. 2023, 184, 105855. [Google Scholar] [CrossRef]
- Hanifah, A.H.; Teng, S.T.; Law, K.; Abdullah, N.; Chiba, S.U.A.; Lum, W.M.; Tillmann, U.; Lim, P.T.; Leaw, C.P. Six marine thecate Heterocapsa (Dinophyceae) from Malaysia, including the description of three novel species and their cytotoxicity potential. Harmful Algae 2022, 120, 102338. [Google Scholar] [CrossRef]
- Arana-Garcia, J.; Hernández-Becerril, D.U.; Escarcega-Bata, A.; Ruíz-García, U.; Zamudio-Resendiz, M.E. Species of the thecate dinoflagellate genus Heterocapsa (Dinophyceae; Heterocapsaceae) from the tropical Mexican Pacific, with special reference to two new records in the area and the ultrastructure of Heterocapsa borneoensis. Bot. Sci. 2025, 103, 160–175. [Google Scholar] [CrossRef]
- Zhang, Y.; Feng, T.; Qu, J.; Sun, N.; Liu, L. Toxicity and haemolytic activity of a newly described dinoflagellate, Heterocapsa bohainensis to the rotifer Brachionus plicatilis. Harmful Algae 2019, 84, 112–118. [Google Scholar] [CrossRef] [PubMed]
- Liu, X.; Guo, H. The Preliminary Study on the Growth and Toxicity of Heterocapsa sp. and the Effects of Different Cultural Density on Calanus sinicus Growth. Master’s Thesis, Dalian Ocean University, Dalian, China, 2016. [Google Scholar]
- Holland, M.M.; Artigas, L.F.; Atkinson, A.; Best, M.; Bresnan, E.; Devlin, M.; Eerkes-Medrano, D.; Johansen, M.; Johns, D.G.; Machairopoulou, M. Mind the gap—The need to integrate novel plankton methods alongside ongoing long-term monitoring. Ocean. Coast. Manag. 2025, 262, 107542. [Google Scholar] [CrossRef]
- Esenkulova, S.; Sutherland, B.J.; Tabata, A.; Haigh, N.; Pearce, C.M.; Miller, K.M. Comparing metabarcoding and morphological approaches to identify phytoplankton taxa associated with harmful algal blooms. Facets 2020, 5, 784–811. [Google Scholar] [CrossRef]
- Park, T.-G.; Park, Y.-T.; Lee, Y. Development of a SYTO9 based real-time PCR probe for detection and quantification of toxic dinoflagellate Karlodinium veneficum (Dinophyceae) in environmental samples. Phycologia 2009, 48, 32–43. [Google Scholar] [CrossRef]
- Bowers, H.A.; Tengs, T.; Glasgow, H.B., Jr.; Burkholder, J.M.; Rublee, P.A.; Oldach, D.W. Development of real-time PCR assays for rapid detection of Pfiesteria piscicida and related dinoflagellates. Appl. Environ. Microbiol. 2000, 66, 4641–4648. [Google Scholar] [CrossRef]
- Pearson, L.A.; D’Agostino, P.M.; Neilan, B.A. Recent developments in quantitative PCR for monitoring harmful marine microalgae. Harmful Algae 2021, 108, 102096. [Google Scholar] [CrossRef]
- Yuan, J.; Mi, T.; Zhen, Y.; Yu, Z. Development of a real-time PCR method (Taqman) for rapid identification and quantification of Prorocentrum donghaiense. J. Ocean. Univ. China 2012, 11, 366–374. [Google Scholar] [CrossRef]
- Kim, S.; Cho, M.; Yoo, J.; Park, B.S. Application of a quantitative PCR to investigate the distribution and dynamics of two morphologically similar species, Karenia mikimotoi and K. papilionacea (Dinophyceae) in Korean coastal waters. Toxins 2023, 15, 469. [Google Scholar] [CrossRef]
- Schmittgen, T.D.; Livak, K.J. Analyzing real-time PCR data by the comparative CT method. Nat. Protoc. 2008, 3, 1101–1108. [Google Scholar] [CrossRef]
- Hustedt, I.C.N.; Confervacea, D. Studies of Marine Planktonic Diatoms. Can. J. Microbiol. 1962, 8, 229–239. [Google Scholar]
- GB/T 12763.6-2007; Specifications for Oceanographic Survey. Part 6: Marine Biological Survey. Third Institute of Oceanography: Xiamen, China, 2007.
- Zhang, Z.; Green, B.R.; Cavalier-Smith, T. Phylogeny of ultra-rapidly evolving dinoflagellate chloroplast genes: A possible common origin for sporozoan and dinoflagellate plastids. J. Mol. Evol. 2000, 51, 26–40. [Google Scholar] [CrossRef] [PubMed]
- Ahn, G.; Park, G.-Y.; Park, D.-Y.; Jeong, O.C.; Kim, Y.-H.; Ahn, J.-Y. Microalgae direct extract reagent for Heterocapsa triquetra. Toxicol. Environ. Health Sci. 2019, 11, 73–78. [Google Scholar] [CrossRef]
- Razali, R.; Mustapa, N.; Ku Yaacob, K.K.; Yusof, F.; Teng, S.T.; Hanafiah, A.; Hii, K.; Mohd Din, M.; Gu, H.; Leaw, C.P.; et al. Diversity of Heterocapsa (Dinophyceae) and the algal bloom event in the mariculture areas of Johor Strait, Malaysia. Plankton Benthos Res. 2022, 17, 290–300. [Google Scholar] [CrossRef]
- Yuan, J.; Mi, T.; Zhen, Y.; Yu, Z. Development of a rapid detection and quantification method of Karenia mikimotoi by real-time quantitative PCR. Harmful Algae 2012, 17, 83–91. [Google Scholar] [CrossRef]
- Grivalský, T.; Střížek, A.; Přibyl, P.; Lukavský, J.; Čegan, R.; Hobza, R.; Hrouzek, P. Comparison of various approaches to detect algal culture contamination: A case study of Chlorella sp. contamination in a Phaeodactylum tricornutum culture. Appl. Microbiol. Biotechnol. 2021, 105, 5189–5200. [Google Scholar] [CrossRef]
- Lv, Y.; Zhen, Y.; Cen, J.; Lu, S.; Li, M.; Liu, Y.; Chi, X.; Yuan, J.; Wang, J. Kareniaceae in focus: A molecular survey of harmful algal dinoflagellates in the South China Sea. Harmful Algae 2025, 145, 102863. [Google Scholar] [CrossRef]
- Zhang, F.; Shi, Y.; Jiang, K.; Song, W.; Ma, C.; Xu, Z.; Ma, L. Rapid detection and quantification of Prorocentrum minimum by loop-mediated isothermal amplification and real-time fluorescence quantitative PCR. J. Appl. Phycol. 2014, 26, 1379–1388. [Google Scholar] [CrossRef]
- Notomi, T.; Okayama, H.; Masubuchi, H.; Yonekawa, T.; Watanabe, K.; Amino, N.; Hase, T. Loop-mediated isothermal amplification of DNA. Nucleic Acids Res. 2000, 28, E63. [Google Scholar] [CrossRef]
- Wang, L.; Li, L.; Alam, M.; Geng, Y.; Li, Z.; Yamasaki, S.; Shi, L. Loop-mediated isothermal amplification method for rapid detection of the toxic dinoflagellate Alexandrium, which causes algal blooms and poisoning of shellfish. FEMS Microbiol. Lett. 2008, 282, 15–21. [Google Scholar] [CrossRef]
- Deiner, K.; Bik, H.M.; Mächler, E.; Seymour, M.; Lacoursière-Roussel, A.; Altermatt, F.; Creer, S.; Bista, I.; Lodge, D.M.; De Vere, N. Environmental DNA metabarcoding: Transforming how we survey animal and plant communities. Mol. Ecol. 2017, 26, 5872–5895. [Google Scholar] [CrossRef]
- He, L.; Yu, Z.; Xu, X.; Zhu, J.; Yuan, Y.; Cao, X.; Song, X. Metabarcoding analysis identifies high diversity of harmful algal bloom species in the coastal waters of the Beibu Gulf. Ecol. Evol. 2023, 13, e10127. [Google Scholar] [CrossRef]
- Hungerford, J.M.; Wekell, M.M. Analytical methods for marine toxins. In Handbook of Natural Toxins; Routledge: London, UK, 2019; pp. 415–473. [Google Scholar]
- Gerssen, A.; Pol-Hofstad, I.E.; Poelman, M.; Mulder, P.P.; Van den Top, H.J.; De Boer, J. Marine toxins: Chemistry, toxicity, occurrence and detection, with special reference to the Dutch situation. Toxins 2010, 2, 878–904. [Google Scholar] [CrossRef] [PubMed]
- Smith, K.F.; De Salas, M.; Adamson, J.; Rhodes, L.L. Rapid and accurate identification by real-time PCR of biotoxin-producing dinoflagellates from the family Gymnodiniaceae. Mar. Drugs 2014, 12, 1361–1376. [Google Scholar] [CrossRef] [PubMed]
- Kon, N.F.; Lau, W.L.; Hii, K.S.; Law, I.K.; Teng, S.T.; Lim, H.C.; Takahashi, K.; Gu, H.; Lim, P.T.; Leaw, C.P. Quantitative real-time PCR detection of a harmful unarmoured dinoflagellate, Karlodinium australe (D inophyceae). Phycol. Res. 2017, 65, 291–298. [Google Scholar] [CrossRef]
- Park, T.-G.; Park, G.-H.; Park, Y.-T.; Kang, Y.-S.; Bae, H.-M.; Kim, C.-H.; Jeong, H.-J.; Lee, Y. Identification of the dinoflagellate community during Cochlodinium polykrikoides (Dinophyceae) blooms using amplified rDNA melting curve analysis and real-time PCR probes. Harmful Algae 2009, 8, 430–440. [Google Scholar] [CrossRef]
- Thornhill, D.J.; Lajeunesse, T.C.; Santos, S.R. Measuring rDNA diversity in eukaryotic microbial systems: How intragenomic variation, pseudogenes, and PCR artifacts confound biodiversity estimates. Mol. Ecol. 2007, 16, 5326–5340. [Google Scholar] [CrossRef]
- Lindner, D.L.; Banik, M.T. Intragenomic variation in the ITS rDNA region obscures phylogenetic relationships and inflates estimates of operational taxonomic units in genus Laetiporus. Mycologia 2011, 103, 731–740. [Google Scholar] [CrossRef]
- Zhang, Q.C.; Chen, Z.F.; Zhao, J.Y.; Yu, R.C.; Qiu, L.M.; Kong, F.Z.; Wang, Y.F.; Yan, T.; Zhou, M.J. Development of a sensitive qPCR method for the detection of pelagophyte Aureococcus anophagefferens. Limnol. Oceanogr. Methods 2020, 18, 41–51. [Google Scholar] [CrossRef]
- Ruppert, K.M.; Kline, R.J.; Rahman, M.S. Past, present, and future perspectives of environmental DNA (eDNA) metabarcoding: A systematic review in methods, monitoring, and applications of global eDNA. Glob. Ecol. Conserv. 2019, 17, e00547. [Google Scholar] [CrossRef]







| Primer Number | Primer Sequence | Amplicon Size | Target Gene Region | Target Algae |
|---|---|---|---|---|
| 1 | F: 5′-GCACGCATCCAAACTGC-3′ R: 5′-CCATCGTATTGAACCCAGC-3′ | 0.7 kb | ITS 23S rRNA | Heterocapsa spp. [23,24] |
| 2 | F: 5′-GCACGCATCCAAACTGC-3′ R: 5′-GAAGTCACAAGTGACTATGGAAG-3′ | 594 bp | ITS ITS | Heterocapsa spp. [23] |
| 3 | F: 5′-ATAAGTGGTTGTAGAAGAAAG-3′ R: 5′-TAATTCTTTCTTCTACAACCAC-3′ | 1.6 kb | 23S rRNA 23S rRNA | Heterocapsa spp. [24] |
| 4 | F: 5′-CCATCGAACCAGAACTCCGT-3′ R: 5′-AGTGTAGTGCACCGCATGTC-3′ | 134 bp | ITS2 (914~933) ITS1 (278~297) | H. bohaiensis, this study |
| 5 | F: 5′-TACTCCTCGTCCGTGAGACC-3′ R: 5′-AAGGCCTTTCTCAGGTGCAG-3′ | 163 bp | ITS2 (1220~1239) ITS1 (710~729) | H. bohaiensis, this study |
| 6 | F: 5′-ACAGCGATCCGGTTTCTTTCC-3′ R: 5′-CTCTGCTTTGCGGACTGTGC-3′ | 148 bp | ITS1 (474~494) ITS2 (1082~1101) | H. bohaiensis, this study |
| Algae | Primer Number | 1 ![]() | 2 ![]() | 3 ![]() | 4 ![]() | 5 ![]() | 6 ![]() |
|---|---|---|---|---|---|---|---|
| H. bohaiensis | Ct value NO.1 | 16.14 | 44.84 | — | 24.88 | — | 29.32 |
| Ct value NO.2 | 16.36 | 38.02 | — | 24.49 | 32.74 | 29.61 | |
| Ct value NO.3 | 16.32 | 42.41 | — | 24.86 | 31.93 | 29.74 | |
| Average | 16.27 | 41.76 | — | 24.74 | 32.33 | 29.56 | |
| C. pyrenoidosa | Ct value NO.1 | 14.67 | 38.93 | — | 37.48 | 29.70 | 34.68 |
| Ct value NO.2 | 15.16 | 40.53 | — | 39.64 | 30.18 | 34.12 | |
| Ct value NO.3 | 15.68 | 43.42 | — | 39.31 | 30.91 | 34.66 | |
| Average | 15.17 | 40.96 | — | 38.81 | 30.26 | 34.48 | |
| S. costatum | Ct value NO.1 | 17.79 | — | — | 45.64 | 34.90 | 40.07 |
| Ct value NO.2 | 17.37 | — | — | 44.96 | 35.08 | 39.16 | |
| Ct value NO.3 | 18.88 | — | — | 46.65 | 35.49 | 37.95 | |
| Average | 18.02 | — | — | 45.75 | 35.16 | 39.06 | |
| P. globose | Ct value NO.1 | 20.87 | 37.59 | — | 35.73 | 38.61 | 38.15 |
| Ct value NO.2 | 21.09 | 38.12 | — | 46.93 | 37.03 | 40.84 | |
| Ct value NO.3 | 21.32 | 36.99 | — | 41.04 | 36.93 | 37.96 | |
| Average | 21.09 | 37.57 | — | 41.23 | 37.52 | 38.98 | |
| A. tamarense | Ct value NO.1 | 36.37 | 45.91 | — | 40.30 | 38.78 | 34.46 |
| Ct value NO.2 | 35.76 | 45.78 | — | 39.05 | 39.16 | 34.49 | |
| Ct value NO.3 | 36.37 | 46.92 | — | 37.71 | 41.82 | 34.82 | |
| Average | 36.16 | 46.20 | — | 39.02 | 39.92 | 34.59 |
| Numbering | Ct Value | Tm Value |
|---|---|---|
| 1 | 24.78 | 88.20 |
| 2 | 24.64 | 88.37 |
| 3 | 24.14 | 88.54 |
| 4 | 24.68 | 88.71 |
| 5 | 25.07 | 88.54 |
| 6 | 25.74 | 88.71 |
| 7 | 25.93 | 88.54 |
| 8 | 25.60 | 88.54 |
| Average | 25.07 | 88.52 |
| Dilution factor | 0 | 10 | 100 | 1000 | 10,000 | 100,000 | 1,000,000 |
| Corresponding cell density (cells/mL) | 100 × 104 | 10 × 104 | 1 × 104 | 1 × 103 | 1 × 102 | 10 | 1 |
| Corresponding cell number (cells) | 17 × 106 | 17 × 105 | 17 × 104 | 17 × 103 | 17 × 102 | 170 | 17 |
| Ct value NO.1 | 25.40 | 27.70 | 32.80 | 34.70 | 37.23 | 39.04 | 42.60 |
| Ct value NO.2 | 25.21 | 27.68 | 31.35 | 34.69 | 41.21 | 39.87 | 45.95 |
| Ct value NO.3 | 25.31 | 27.16 | 31.62 | 34.47 | 40.79 | 43.56 | — |
| Average Ct value | 25.31 | 27.52 | 31.92 | 34.62 | 39.74 | 40.82 | 44.27 |
| Method | Typical Limit of Detection (LOD) | Equipment Requirements/Cost | Primary Utility for Monitoring | Advantages | Limitations |
|---|---|---|---|---|---|
| qPCR [5] | <10 cells per reaction | Real-time PCR system; moderate cost; widely available | Routine, high-throughput quantitative detection of a target species | High sensitivity; quantitative; rapid; species-specific; suitable for routine monitoring | Does not measure toxin concentration |
| LAMP [30,31] | <10 cells per reaction | Heating block or portable isothermal device; low cost | Rapid screening/early warning tool | Rapid; minimal equipment; field-deployable | Lower specificity in multiplexing; primer design complex; still no direct toxin detection |
| DNA metabarcoding [32,33] | Presence/absence (semi-quantitative) | High-throughput sequencer; high cost; bioinformatics required | Comprehensive community assessment (baseline surveys) | Broad taxonomic coverage; detects multiple HAB species simultaneously | Low quantitative accuracy; cannot assess toxicity; not suitable for targeted abundance estimation |
| Direct toxin analysis (LC-MS/MS) [34,35] | ng–pg L−1 (toxin-dependent) | LC-MS/MS platform; very high cost; standards required | Confirmatory analysis of toxin presence and concentration | High specificity; quantitative; regulatory standard | Expensive; requires standards; does not identify producer species; can only detect known toxins |
Disclaimer/Publisher’s Note: The statements, opinions and data contained in all publications are solely those of the individual author(s) and contributor(s) and not of MDPI and/or the editor(s). MDPI and/or the editor(s) disclaim responsibility for any injury to people or property resulting from any ideas, methods, instructions or products referred to in the content. |
© 2026 by the authors. Licensee MDPI, Basel, Switzerland. This article is an open access article distributed under the terms and conditions of the Creative Commons Attribution (CC BY) license.
Share and Cite
Cai, M.; Jing, R.; Zhang, Y.; Zhan, J. Development and Laboratory Validation of a Real-Time Quantitative PCR Assay for Rapid Detection and Quantification of Heterocapsa bohaiensis. J. Mar. Sci. Eng. 2026, 14, 98. https://doi.org/10.3390/jmse14010098
Cai M, Jing R, Zhang Y, Zhan J. Development and Laboratory Validation of a Real-Time Quantitative PCR Assay for Rapid Detection and Quantification of Heterocapsa bohaiensis. Journal of Marine Science and Engineering. 2026; 14(1):98. https://doi.org/10.3390/jmse14010098
Chicago/Turabian StyleCai, Mengfan, Ruijia Jing, Yiwen Zhang, and Jingjing Zhan. 2026. "Development and Laboratory Validation of a Real-Time Quantitative PCR Assay for Rapid Detection and Quantification of Heterocapsa bohaiensis" Journal of Marine Science and Engineering 14, no. 1: 98. https://doi.org/10.3390/jmse14010098
APA StyleCai, M., Jing, R., Zhang, Y., & Zhan, J. (2026). Development and Laboratory Validation of a Real-Time Quantitative PCR Assay for Rapid Detection and Quantification of Heterocapsa bohaiensis. Journal of Marine Science and Engineering, 14(1), 98. https://doi.org/10.3390/jmse14010098







