Next Article in Journal
Development and Laboratory Validation of a Real-Time Quantitative PCR Assay for Rapid Detection and Quantification of Heterocapsa bohaiensis
Next Article in Special Issue
Collapse Behavior of Onshore and Spar-Floating Wind Turbine Towers During Blade Pitch Malfunction
Previous Article in Journal
Rayleigh Quotient Eigenvalue-Based Array Beamforming Optimization for Targeted Angular Energy Concentration in Underwater Acoustic Energy Transfer
Previous Article in Special Issue
Dynamic Response of a Floating Dual Vertical-Axis Tidal Turbine System with Taut and Catenary Mooring Under Extreme Environmental Conditions in Non-Operating Mode
 
 
Font Type:
Arial Georgia Verdana
Font Size:
Aa Aa Aa
Line Spacing:
Column Width:
Background:
Article

Wave Attenuation Performance of a Floating Breakwater Integrated with Flexible Wave-Dissipating Structures

1
Power China Hua Dong Engineering Co., Ltd., Hangzhou 311122, China
2
School of Renewable Energy, Hohai University, Nanjing 211000, China
3
College of Harbour, Coastal and Offshore Engineering, Hohai University, Nanjing 211000, China
*
Author to whom correspondence should be addressed.
J. Mar. Sci. Eng. 2026, 14(1), 97; https://doi.org/10.3390/jmse14010097
Submission received: 17 November 2025 / Revised: 11 December 2025 / Accepted: 18 December 2025 / Published: 4 January 2026
(This article belongs to the Special Issue Numerical Analysis and Modeling of Floating Structures)

Abstract

This study develops a two-dimensional numerical model to investigate the hydrodynamic performance of a floating breakwater coupled with flexible wave-dissipating structures (FWDS). The model integrates the immersed boundary method with a finite element structural solver, enabling accurate simulation of fluid–structure interactions under wave excitation. Validation against benchmark cases, including cantilever beam deflection and flexible vegetation under waves, confirms the model’s reliability. Parametric analyses were conducted to examine the influence of the elastic modulus and height of the FWDS on wave attenuation efficiency. Results show that structural flexibility plays a crucial role in modifying wave reflection, transmission, and dissipation characteristics. A lower elastic modulus enhances energy dissipation through large deformation and vortex generation, while higher stiffness promotes reflection with reduced dissipation. Increasing the height of the FWDS improves overall wave attenuation but exhibits diminishing returns for long-period waves. The findings highlight that optimized flexibility and geometry can effectively enhance the energy-dissipating capacity of floating breakwaters. This study provides a theoretical basis for the design and optimization of hybrid floating breakwaters integrating flexible elements for coastal and offshore wave energy mitigation.

1. Introduction

In recent decades, the development of offshore engineering has advanced rapidly, with offshore wind farms, aquaculture facilities, and floating photovoltaic (FPV) platforms gradually moving toward deeper waters. These offshore structures are inevitably exposed to complex and harsh ocean environments throughout their service life. Floating breakwaters have been widely deployed to mitigate wave impacts and provide protection for these offshore systems. However, the long-term operation of floating breakwaters often leads to material fatigue, degradation, and potential detachment of structural components. Detached debris can adversely affect marine ecosystems, posing risks to marine organisms and water quality. As environmental concerns have gained increasing attention worldwide, there has been a strong demand for eco-friendly and sustainable coastal protection solutions that can simultaneously provide wave attenuation and promote ecological restoration [1].
To address these challenges, new concepts of environmentally friendly and biologically compatible coastal structures have been proposed. In particular, flexible structures, inspired by natural vegetation such as kelp and seagrass, have attracted growing interest. These structures can provide habitats and food sources for marine organisms, contributing to biodiversity conservation and ecosystem restoration. Moreover, they can help mitigate environmental issues such as eutrophication and ocean acidification by enhancing local water quality. Beyond ecological benefits, flexible structures also play an important role in altering local hydrodynamics by influencing current patterns and wave propagation characteristics [2]. This dual functionality makes them attractive as auxiliary components for floating breakwaters, potentially offering both effective wave energy dissipation and ecological enhancement.
The capacity of flexible structures to dissipate wave energy and reduce current velocity has been extensively investigated over the past few decades. Early field studies revealed the significant potential of submerged vegetation in wave attenuation. For instance, Knutson et al. [3] observed that wave height decayed exponentially within vegetated areas, with most of the wave energy being dissipated at the leading edge of the vegetation field. Jadhav and Chen [4,5] and Jadhav et al. [6] analyzed field data collected during tropical storms and demonstrated that salt marsh vegetation caused substantial dissipation of random wave energy. They further examined the statistical distribution of zero-crossing wave heights to validate their observations.
On the theoretical side, Dalrymple et al. [7] were among the first to adapt the Morison equation to describe wave–plant interactions under the assumption of rigid cylinders and regular waves, laying the foundation for subsequent modeling studies. Building on this, Mendez and Losada [8] extended Dalrymple’s work to predict irregular wave attenuation in vegetated regions. Hu et al. [9] developed a theoretical model based on energy conservation to estimate wave attenuation under combined wave-current conditions, which they later refined to incorporate breaking waves and opposing currents [10]. Magdalena et al. [11] introduced frictional and diffusive terms into the momentum equation to represent vegetation effects and derived analytical solutions for both long and short waves, validating the model against physical experiments. More recently, Liu et al. [12] proposed a new theoretical framework accounting for changes in group velocity and energy dissipation due to currents, further improving predictions of wave attenuation in emerging vegetation zones.
Collectively, these studies established that flexible vegetation-like structures can effectively dissipate wave energy through drag forces, turbulence generation, and vortex shedding. They also highlighted that wave attenuation is strongly dependent on vegetation properties such as density, stiffness, and submergence depth, as well as incident wave characteristics. This body of work provides a strong theoretical and experimental foundation for integrating flexible elements into engineered coastal protection systems. While the flexible elements are inspired by marine vegetation and may offer ecological co-benefits, the current study is limited to hydrodynamic and structural performance. Detailed evaluation of ecological effects (e.g., sediment transport, habitat development, colonization) requires dedicated field and laboratory studies and is beyond the scope of this paper.
To leverage the hydrodynamic benefits of flexible structures in engineering practice, researchers have explored integrating flexible elements into breakwater designs. Initial efforts focused on comparing the performance of rigid and flexible breakwaters. Stamos et al. [13] conducted physical experiments to examine the reflection and transmission characteristics of semi-cylindrical and rectangular breakwater models, both rigid and water-filled flexible types. Similarly, Diamantoulaki et al. [14] used numerical simulations to investigate pile-constrained floating breakwaters, comparing the performance of flexible and rigid configurations under monochromatic wave forcing.
Subsequent studies explored more sophisticated structural forms. Koley and Sahoo [15] applied a coupled boundary element–finite difference method based on three-dimensional linear wave theory to analyze the interaction between oblique incident waves and vertical, permeable, flexible membranes. They also derived energy balance equations to verify model accuracy. Guo et al. [16] experimentally studied vertical flexible multi-layer porous membrane breakwaters under regular waves, examining reflection, transmission, and energy dissipation behaviors. Expanding on this work, Guo et al. [17] later investigated a hybrid breakwater system combining horizontal and vertical flexible membranes, systematically analyzing the effects of membrane porosity, submergence depth, length, and spacing on hydrodynamic performance.
Innovative designs inspired by marine vegetation have also emerged. Sun et al. [18] employed a coupled finite volume–finite element numerical model to study the performance of vertical plate-type flexible breakwaters under solitary waves. In another study, Sun et al. [19] proposed a kelp-box floating breakwater, demonstrating that increased kelp length, density, and number of rows significantly enhanced wave attenuation through turbulent energy dissipation and vortex shedding. Wu et al. [20] experimentally investigated the hydrodynamic performance of side-by-side box membrane breakwaters, showing that both narrow and wide gaps between boxes, combined with flexible membranes and increased draft depth, could substantially improve wave dissipation, especially under long-wave conditions.
These advances highlight the potential of flexible elements in improving breakwater performance. However, most research has focused on directly replacing rigid materials with flexible ones, emphasizing structural optimization and hydrodynamic performance, rather than investigating the synergistic interaction between flexible elements and traditional floating breakwaters.
While substantial progress has been made in understanding flexible structures and flexible breakwaters individually, studies on integrated systems that combine floating breakwaters with flexible wave-dissipating elements remain scarce [16,21,22,23,24]. Most existing work treats flexibility as a material property substitution rather than a functional addition to enhance wave energy dissipation. The mechanisms through which flexible structures and floating breakwaters interact to achieve superior performance are still poorly understood.
Addressing this knowledge gap is essential, as such combined systems could simultaneously reduce wave energy, minimize environmental impacts, and improve the resilience of offshore infrastructure. In particular, understanding the coupled hydrodynamics of these systems could inform design strategies for next-generation eco-friendly offshore protection structures.
In addition to conventional coastal protection applications, the proposed flexible wave-dissipating structure also shows great potential for integration with emerging floating photovoltaic (FPV) platforms, which are increasingly deployed in nearshore and offshore environments. Floating PV systems are often exposed to persistent wave action, which can lead to excessive motion of the floating foundation, reduced energy conversion efficiency, and potential damage to the mooring and electrical systems. Installing flexible wave-dissipating elements beneath the floating foundation provides a practical solution to mitigate these issues. The flexible structure can effectively attenuate incoming wave energy before it reaches the main platform, thereby reducing structural loads and improving the operational stability and safety of the FPV system. Figure 1 illustrates a conceptual design where flexible wave-dissipating structures are mounted below a floating PV platform, demonstrating how this integration can enhance both wave energy dissipation and renewable energy production reliability. The flexible wave-dissipating elements studied here may be integrated beneath floating photovoltaic platforms to reduce platform motions and structural loads. The present study treats the floating body generically; explicit modeling of FPV modules, cables and electrical components is left for future applied studies.
Motivated by these challenges, this study proposes a novel floating breakwater integrated with flexible wave-dissipating elements inspired by natural vegetation, as shown in Figure 2. The flexible component is designed to mimic the morphology and dynamic behavior of marine plants while maintaining controllable geometry and material properties for engineering applications. The integration of flexible wave-dissipating structures (FWDS) beneath a floating breakwater aims primarily to (i) reduce the wave energy transmitted under the floating body to the lee side and (ii) reduce the amplitude of radiation waves emitted by the floating body through increased rotational inertia and added mass. In practice, the FWDS thus act both as a local dissipater (attenuating energy that would otherwise pass beneath the pontoon) and as a dynamic modifier of the pontoon motion (reducing surge/pitch amplitudes and associated radiated energy). We emphasize that the present study focuses on two major controllable design parameters—elastic modulus and vertical extent—and provides initial guidance on their effective ranges. Considerations such as durability, biofouling and life-cycle cost remain important for practical deployment and will be addressed in subsequent studies.
In addition to coastal protection, the proposed hybrid system may be employed to improve the operational stability of floating renewable energy platforms (e.g., FPV arrays and floating wind substructures), reduce mooring and structural loads on aquaculture installations, and serve as habitat-enhancing elements in integrated marine mitigation projects. Each application will require tailored design studies to account for platform geometry, payload, and operational constraints.
To capture the complex fluid–structure interactions involved, a two-dimensional numerical model is developed. This model is based on the Navier–Stokes (N-S) equations and incorporates multiple advanced techniques: the immersed boundary method (IBM) to handle solid boundaries, a finite element model (FEM) to simulate the deformation of the flexible structures, and the volume of fluid (VOF) method to track the free surface. Using this framework, the study systematically investigates the interaction mechanisms among the floating breakwater and the flexible wave-dissipating structures and water waves, evaluates their combined wave attenuation performance, and explores key design parameters for optimization.
Although prior studies have advanced understanding of flexible membranes, vegetation-inspired dissipators, and floating breakwaters, several recurring limitations remain. Many works emphasize material substitution or structural optimization without examining the coupled dynamics of flexible elements mounted beneath floating platforms. Validation efforts often stop at component-level benchmarks or linearized models rather than system-level experiments. Furthermore, a number of studies adopt two-dimensional or depth-integrated formulations that cannot capture three-dimensional processes such as spanwise vortex dynamics, lateral diffraction, or oblique-wave-induced yaw. The present study addresses a portion of these gaps by formulating a coupled immersed-boundary–finite-element–VOF framework and performing a focused parametric investigation of elastic modulus and vertical extent to reveal the dominant xz plane interaction mechanisms. At the same time, it is important to state clearly that this work is confined to two-dimensional transverse-section simulations and that validation is performed at the component level (flexible-element FEM and IB–VOF coupling). Integrated system-scale experiments and three-dimensional simulations are required to fully assess practical applicability and are planned as follow-up work.

2. Numerical Model

The proposed system consists of two primary components: a floating breakwater and three flexible wave-dissipating structures. The floating breakwater is composed of a rectangular floating body moored by a tension-leg system, allowing it to move with three degrees of freedom (DOFs) under wave action: surge, heave, and pitch. Attached beneath the floating body are three identical flexible wave-dissipating structures, which are fixed to the lower surface of the breakwater. These flexible structures deform and bend under wave loading, thereby dissipating part of the incident wave energy and enhancing the overall wave attenuation performance of the coupled system.
Considering the geometric regularity of the configuration and the objective of developing a preliminary yet efficient numerical framework, the system is simplified to a two-dimensional (2D) model in the xz plane. This simplification enables a detailed investigation of the coupled hydrodynamic behavior between the floating breakwater and the flexible wave-dissipating structures while significantly reducing computational cost and allowing refined local flow-field analysis.

2.1. Governing Equations and Wave Generation

The numerical simulations are conducted in a 2D numerical wave tank (NWT) based on an incompressible Navier–Stokes (N–S) solver (Figure 3). The flow is governed by the continuity and modified N–S equations as follows:
u i x i = Q
D u i D t = 1 ρ p x i + 2 v D i j x j 2 v 3 Q x i g i γ u i δ i 2 + f i
where xi represents the orthogonal Cartesian coordinates (x, z), and ui = (u, w) are the corresponding velocity components, p represents the pressure, ν is the kinematic viscosity of water, γ is a wave-damping coefficient (non-zero only within sponge layers), δi2 equals 0 and 1 in the x- and z-directions, respectively, Dij is the velocity stress tensor, fi is the body-force term (non-zero only near the immersed boundary), and Q is the wave-source term applied at x = xs. The source is defined as Q = qsource(z,t)/∆xs where ∆xs is the grid spacing at the source, and qsource represents the flux density that gradually increases during the first three wave periods at the start of wave generation [25]. The source term is expressed as:
q source z , t = 1 exp ( 2 t T i ) 2 U 0 η 0 + h η s + h ; t T i 3 2 U 0 η 0 + h η s + h ; t T i > 3
where t is the simulation time, U0 is the horizontal velocity amplitude, and ηs and η0 are the free-surface displacements at the source and the theoretical wave elevation from third-order Stokes theory, respectively. To minimize wave reflection at the generation boundary, the depth-integrated flux qsource is modified by (ηs + h)/(η0 + h), following Ohyama and Nadaoka [26].
The free surface is captured using the Volume of Fluid (VOF) method, governed by the advection equation of the VOF function F:
F t + u i F x = F Q
where F = 1 and F = 0 represent the liquid and gas phases, respectively, and 0 < F < 1 denotes the interface region.
The governing equations are solved numerically using the two-step projection method proposed by Chorin [27,28]. The computational domain is discretized on a rectangular staggered grid, where velocity components are defined at cell faces and pressure at cell centers. The velocity field is first advanced explicitly to an intermediate value, followed by solving the Poisson Pressure Equation (PPE) to obtain the pressure correction. Subsequently, the velocity is updated to the next time level. The Eulerian force term fi acting near the immersed boundaries is evaluated using the Physical Virtual Model (PVM) developed by Lima E Silva et al. [29]. In the PVM framework, the total virtual force is explicitly decomposed into acceleration, inertial, viscous, and pressure components, ensuring stable and accurate representation of fluid–structure interactions. Further details of the numerical implementation can be found in refs. [30,31,32,33].
Although real floating breakwater systems are inherently three-dimensional, the present configuration—comprising a pontoon and vertically oriented flexible wave-dissipating elements—extends continuously in the transverse direction and is subjected to predominantly unidirectional incoming waves. Under this geometric arrangement, the dominant hydrodynamic responses (surge, heave, and pitch of the pontoon and the deformation dynamics of the flexible elements) occur primarily within the vertical xz plane. For these reasons, a two-dimensional (2D) formulation is suitable for resolving the key fluid–structure interaction mechanisms, consistent with previous studies employing 2D models to capture highly resolved local flow features and vortex dynamics. However, this simplification inherently neglects spanwise (y) variations and other three-dimensional (3D) processes.
The present study focuses exclusively on normal-incidence waves and does not account for multi-directional seas or oblique incidence, which may induce yaw, asymmetric loading, and spanwise variability. Such 3D directional effects can significantly influence energy partitioning and flexible-structure deformation in realistic ocean conditions. Extending the present modelling framework to 3D simulations with directional wave spectra is therefore an essential next step.
While the 2D model effectively captures the principal xz-plane physics for laterally extensive systems, several 3D mechanisms are not represented. These include edge-vortex formation at finite-width structures, spanwise flow redistribution that may alter vortex shedding and energy dissipation, lateral diffraction, and enhanced local dissipation due to 3D wave breaking. Accordingly, the quantitative results reported herein should be interpreted within the scope of the assumed 2D configuration. The qualitative mechanisms identified—deformation-induced dissipation and vortex-mediated energy loss—are expected to persist in three dimensions, but accurate engineering design for finite-width systems will require dedicated 3D CFD–FEM simulations and scale-model tests. These efforts are planned as part of our future research.
Moreover, this study focuses on regular (monochromatic) wave forcing to isolate and clarify the underlying fluid–structure interaction mechanisms and to facilitate robust validation. The response to irregular seas, wave groups and multi-directional spectra will be investigated in future work as part of a comprehensive parametric study.

2.2. Hydrodynamic and Motion Model of the Floating Breakwater System

The floating breakwater (FBW) is modeled as a rigid body supported by a tension-leg mooring system and coupled with three flexible wave-dissipating structures. The buoyancy forces acting on the floating body are significantly greater than its self-weight, ensuring that the mooring lines remain in tension throughout the simulation and no slack conditions occur. We assume that the tension-leg mooring lines remain taut throughout the simulations; this assumption is supported by the predominance of buoyancy over self-weight for the chosen floating body and by the intended mooring configuration. The present work therefore neglects slack-line behavior, dynamic tension variability and mooring failure modes. A detailed study of mooring dynamics, including line elasticity, pretension variation, and possible slackening or failure, will be performed in future work to assess their influence on system stability and performance.
The dynamic behavior of the submerged FBW under incident wave action is illustrated schematically in Figure 4. Wave-induced forces acting on the structure are decomposed into horizontal (H) and vertical (V) components applied to the surfaces denoted as H1–H4 and V1–V4, respectively. The total hydrodynamic forces and moments on the breakwater can be obtained by integrating the pressure distributions over these surfaces. Considering the rigid-body motion of the floating breakwater in the xz plane, the equations of motion can be derived from Newton’s second law for translation and rotation as follows:
M c . g = M c g . x + M c g . z + M c g . T = J F B α F B
F X = m α x = H 1 + H 3 H 2 H 4 + 2 ( T 2 cos θ 2 T 1 cos θ 1 )
F Z = m α z = V 1 + V 3 W V 2 V 4 2 ( T 2 sin θ 2 + T 1 sin θ 1 )
where m is the mass of the floating body, αx, and αz are the translational accelerations in the horizontal and vertical directions, respectively, αFB is the angular acceleration about the center of gravity (C.G.), JFB is the mass moment of inertia of the floating body about its C.G., Hi and Vi denote the resultant horizontal and vertical wave forces on each surface, T1 and T2 are the tensile forces acting on the mooring lines, ∑Mcg.x, ∑Mcg.z, and ∑Mcg.T are the moments about the C.G. generated by the horizontal forces, vertical forces, and mooring tensions, respectively.
These coupled equations govern the translational (surge and heave) and rotational (pitch) responses of the floating breakwater under wave excitation. The motion of the floating body in turn affects the surrounding flow field and the deformation of the flexible wave-dissipating structures, forming a two-way fluid–structure interaction (FSI) system.
To ensure numerical stability, the motion equations are solved using a time-marching approach synchronized with the Navier–Stokes solver. At each time step, hydrodynamic pressures on the floating body surfaces are integrated to yield the instantaneous wave forces and moments, which are then substituted into Equations (5)–(7) to update the body’s position and orientation. The updated geometry is subsequently applied to the flow solver via the immersed boundary method (IBM), allowing dynamic coupling between the rigid floating body and the surrounding fluid field.
Potential operational issues such as debris accumulation, entanglement and progressive structural degradation or failure are not treated in the current simulations. These hazards will be examined in future experimental tests and long-term numerical studies that consider debris loading, impact loads and maintenance strategies.

2.3. Finite Element Modeling of the Flexible Wave-Dissipating Structures

The hybrid system considered in this study (see Figure 2, Figure 3 and Figure 4) consists of two main components: (1) a floating breakwater (FBW) modeled as a rigid body, and (2) three flexible wave-dissipating structures (FWDS) attached to the underside of the FBW, as illustrated in Figure 5. Each flexible wave-dissipating structure is modeled as a thin rectangular plate with dimensions of 0.075 m × 0.02 m, uniformly distributed along the bottom surface of the breakwater. The deformation of these flexible structures under wave-induced hydrodynamic loads is simulated using the finite element method (FEM).
Each flexible plate is discretized into 60 four-node rectangular elements and 80 nodes in total. The nodes are numbered sequentially from left to right and bottom to top, ensuring consistent element connectivity. The four-node rectangular element is chosen because of its simplicity, numerical stability, and ability to accurately capture the bending and deformation behavior of thin flexible structures under moderate strains.
For each element, the displacement field is approximated by an interpolation (shape) function derived from the nodal coordinates. This function expresses the displacement components within an element in terms of the nodal displacements, allowing the strain–displacement relationships to be formulated directly. Based on these relationships, the element stiffness matrix [Ke] is obtained through the standard strain energy formulation, while the mass matrix [Me] is derived from the kinetic energy expression. A lumped (concentrated) mass matrix is employed to reduce computational cost and improve numerical efficiency without compromising accuracy for the present problem.
The nodal displacement vector of an individual element can be written as:
q t e ( t ) = u 1 ( t ) v 1 ( t ) w 1 ( t ) u n ( t ) v n ( t ) w n ( t ) T
where ui(t), vi(t), and wi(t) represent the displacement components in the local x-, y-, and z-directions at node i, respectively.
Additionally, applying the principle of virtual work to each finite element yields the following dynamic equilibrium equation:
M e q ¨ t e + C e q ˙ t e + K e q t e = F t e
where [Me], [Ce], and [Ke] are the mass, damping, and stiffness matrices of the element, respectively; F t e is the external load vector containing the hydrodynamic forces exerted by the surrounding fluid.
The damping matrix [Ce] can be determined using Rayleigh damping, expressed as a linear combination of the mass and stiffness matrices, i.e., [Ce] = α[Me] + β[Ke], where α and β are mass- and stiffness-proportional damping coefficients, respectively.
The global stiffness, mass, and damping matrices of the flexible structure are assembled by summing the corresponding element matrices according to the global nodal numbering system:
K = e = 1 n K e M = e = 1 n M e C = e = 1 n C e
where n denotes the total number of elements.
After the application of boundary conditions (e.g., fixed connections between the upper edge of each flexible structure and the bottom of the floating breakwater), the global dynamic equation of motion for the entire flexible system can be expressed as:
M q ¨ t + C q ˙ t + K q t = F t
Here, q t , q ˙ t and q ¨ t denote the global displacement, velocity, and acceleration vectors of all nodes, respectively. The right-hand-side vector F t represents the distributed hydrodynamic loading on the flexible structures, transferred from the flow field through the fluid–structure interaction module.
Once the global motion equation is established, the transient structural responses—nodal displacements, velocities, and accelerations—can be obtained through time-domain integration. Alternatively, for efficiency and modal insight, the system can be transformed into modal coordinates using the mode superposition method, which decouples the global system into a set of independent single-degree-of-freedom equations. The resulting modal responses provide the basis for analyzing the deformation characteristics and energy dissipation behavior of the flexible wave-dissipating structures under different hydrodynamic conditions.

2.4. Overall Numerical Procedure

The coupled solver integrates (i) an incompressible Navier–Stokes solver using the two-step projection method for velocity–pressure coupling, (ii) the Volume-of-Fluid (VOF) method for free-surface tracking, (iii) an immersed boundary method (IBM) to impose moving solid boundaries in an Eulerian fluid grid, and (iv) a finite-element structural solver to compute deformation of the flexible elements. The IBM provides two-way interaction by exchanging forces and kinematic constraints between the fluid and Lagrangian structural representation, while the FEM computes structural internal forces and modal responses for the FWDS.
The complete computational procedure of the present coupled model is summarized in Figure 6, and the main steps are described as follows:
1.
Wave force computation:
Calculate the external hydrodynamic forces acting on the breakwater surfaces (H1H4 and V1V4) by integrating the local pressure field around the floating body.
2.
Floating body motion update:
Determine the translational and rotational displacements of the floating breakwater, and subsequently update the positions of the corresponding Lagrangian points.
3.
Flexible structure deformation:
Compute the deformation of the three flexible wave-dissipating structures using the modal superposition method, and update their instantaneous configurations to reflect the new equilibrium positions.
4.
Immersed boundary forcing:
Evaluate the forcing term fi to impose the solid boundary condition on the fluid field, following the immersed boundary approach described in refs. [30,31].
5.
Fluid field update:
Advance the fluid velocity and pressure fields using the two-step projection method, incorporating the computed virtual forces to ensure dynamic consistency between the fluid and structures.
This iterative procedure continues at each time step until convergence is achieved for both the fluid and structural responses. The framework allows for strong two-way coupling between the flow solver, the floating body motion module, and the finite element model of the flexible structures, ensuring accurate representation of the nonlinear fluid–structure interaction dynamics. Relevant numerical and modeling studies on complex coupled flows and advanced numerical techniques are discussed to provide broader methodological context [34,35,36]. These methods illustrate the diversity of numerical approaches available for strongly coupled multi-physics problems.
In the present 2D simulations we intentionally used a high spatial resolution (Δx = Δz = 0.01 m in the model domain) so that the dominant vortex formation and shedding phenomena at the studied Reynolds numbers are directly resolved, consistent with the approach and validation discussed in refs. [30,31,32,33]. This direct-resolution strategy reduces dependence on turbulence closures for the current cases. However, this does not substitute for three-dimensional turbulence dynamics that arise at higher Reynolds numbers and in full-scale systems; therefore, for future 3D and prototype-scale studies, we plan to adopt appropriate turbulence models (LES or hybrid RANS–LES) and grid-adaptive strategies to ensure fidelity across scales.

3. Model Validation

The numerical model developed in this study builds upon the authors’ previous work, which has already been validated for simulating the hydrodynamic interactions between rigid floating breakwaters and surface waves. Therefore, the present validation focuses exclusively on the model’s capability to simulate the motion and deformation of flexible structures under both static and dynamic loading conditions. Two benchmark cases were conducted: (i) the deflection of a cantilever beam under concentrated loads, and (ii) the motion of a single-stem flexible vegetation model subjected to regular waves.
The validation work presented in Section 3 focuses on the fidelity of the key numerical components employed in this study. Specifically, the finite-element structural model has been verified through static deflection tests of a cantilever beam subjected to concentrated loads, while the IB–VOF fluid solver and the fluid–structure coupling strategy have been validated against experimental measurements of a single flexible stem oscillating under regular wave excitation. These component-level benchmarks confirm the accuracy of the numerical building blocks used in the coupled simulations.
However, it is acknowledged that the present study does not include a system-level experimental validation of the fully integrated floating breakwater equipped with multiple FWDS units. The combined hydrodynamic–structural behavior—such as integrated wave attenuation, global platform motions (surge, heave, and pitch), FWDS deformation, and vortex-shedding patterns—has therefore not yet been assessed through physical testing.
To address this limitation, a scaled laboratory campaign of the complete floating breakwater–FWDS assembly is planned for future work. The forthcoming experiments will quantify wave attenuation, structural responses, and flow features under controlled wave-tank conditions, providing system-level benchmarks for the present numerical framework. In parallel, extended numerical verifications involving multiple interacting flexible elements will be performed to further substantiate model robustness.
Overall, while the current validation confirms the reliability of the structural solver, the IB–VOF fluid solver, and their coupling for flexible-element FSI at the component scale, full experimental validation of the integrated system remains a key direction for future research. The planned laboratory and numerical efforts will serve to refine and strengthen the predictive capability of the model for practical floating breakwater applications.

3.1. Cantilever Beam Test

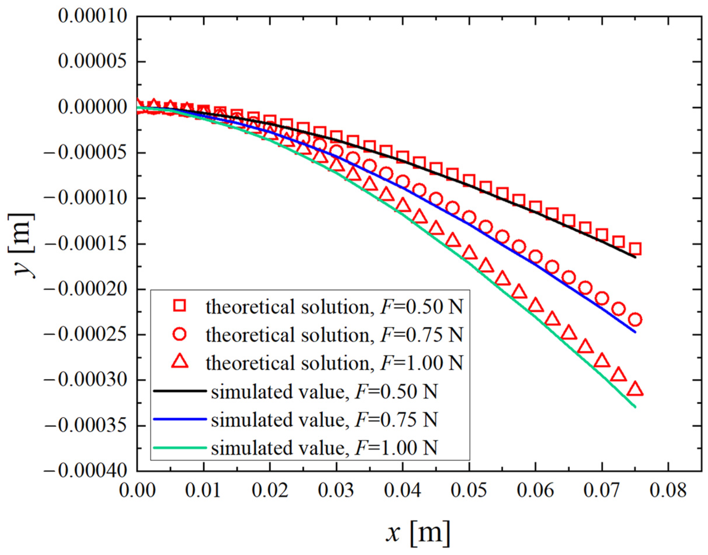
To verify the accuracy of the flexible structural model under static conditions, a cantilever beam subjected to a tip load was analyzed and compared with the theoretical solution for beam deflection. The theoretical expression for the deflection curve is given as:
y = P x 2 6 E I ( 3 l x )
where y is the vertical displacement, P is the concentrated load, E is the elastic modulus, I is the second moment of inertia, l is the beam length, and x is the distance from the fixed end.
In the simulation, the cantilever beam had a rectangular cross-section of 0.075 m × 0.02 m, with E = 2.17 × 106 Pa, ρ = 1.37 × 103 kg/m3, Poisson’s ratio ν = 0.394, and I = 3 × 10−7 m4. Concentrated loads of F = 0.50 N, 0.75 N, and 1.00 N were applied at the free end. The beam was discretized into 60 four-node rectangular finite elements and 80 nodes, ensuring adequate spatial resolution to capture deformation.
Figure 7 presents the comparison between the simulated and theoretical deflection profiles for the three loading cases. The results show an excellent agreement between the two, with only negligible discrepancies. This demonstrates that the proposed finite element model accurately reproduces the static deformation behavior of flexible beams, providing a solid basis for subsequent dynamic analyses under wave-induced loading.

3.2. Single-Stem Flexible Vegetation Test

A second validation case was conducted to assess the model’s capability in simulating the dynamic response of flexible structures in oscillatory flow. The simulation setup follows the experimental conditions of ref. [37], where regular waves with a period T = 4.0 s, height H = 0.2 m, and water depth h = 0.8 m were generated. The computational domain was discretized using a uniform orthogonal grid with Δx = Δz = 0.01 m to ensure numerical stability and resolution.
The flexible vegetation model was positioned downstream of the wave source at x = 1.20 m. It was discretized into 60 finite elements and 80 Lagrangian nodes, enabling accurate tracking of deformation under wave forcing. The time step was set to Δt = 0.005 s, and the total simulation time was 20 s. The structural properties were consistent with those used in Section 3.1, with E = 2.17 × 106 Pa, ρ = 1.37 × 103 kg/m3, and ν = 0.394.
To ensure a realistic initialization, the flexible structure was first subjected to hydrostatic pressure in still water, allowing it to reach a quasi-equilibrium configuration before wave loading commenced. The computed extreme positions of the structure during one wave cycle were compared with the experimental data from refs. [37,38]. Figure 8 illustrates the comparison, showing excellent agreement between the simulated and measured tip displacements. These results demonstrate that the present model can accurately reproduce the motion characteristics of flexible vegetation under wave action. The successful validation under both static and dynamic conditions confirms the robustness and reliability of the coupled finite element–fluid interaction framework, providing a firm foundation for subsequent investigations of flexible wave-dissipating structures integrated with floating breakwaters.

4. Wave Attenuation Performance Evaluation Method

Based on the wave elevation data recorded by Gauge 1, Gauge 2, Gauge 3, and Gauge 5 (see Figure 9), the wave reflection and transmission characteristics of the floating breakwater coupled with flexible wave-dissipating structures were evaluated. The least-squares method [39] in combination with the Fast Fourier Transform (FFT) algorithm was employed to decompose the measured free surface elevation into incident and reflected components. The simulated wave elevations were utilized to calculate the wave reflection coefficient Kr = Hr/H, where Hr and H denote the reflected and incident wave heights, respectively, and the transmission coefficient K t = E t / E i where Et and Ei represent the transmitted and incident wave energies. The wave energy at each location was obtained by integrating the spectral energy over all frequency components, with the amplitude of each frequency extracted through FFT analysis.
The energy loss coefficient, Kloss, was defined to quantify the proportion of wave energy dissipated through viscous effects such as vortex formation, flow separation, and shear-induced damping near the edges of the floating and flexible components. According to the principle of energy conservation, the following relationship can be established among the dimensionless coefficients:
K loss = 1 K t 2 K r 2
In summary, the reflection coefficient (Kr), transmission coefficient (Kt), and energy loss coefficient (Kloss) together provide a comprehensive framework for assessing the wave attenuation performance of the coupled breakwater–flexible structure system. Specifically, Kr quantifies the portion of wave energy reflected by the structure, Kt represents the fraction of wave energy transmitted past it, and Kloss reflects the energy dissipated through viscous damping, vortex shedding, and internal deformation within the flexible components. By systematically analyzing these coefficients under various wave conditions and structural configurations, the underlying mechanisms of wave attenuation—reflection, transmission, and viscous dissipation—can be quantitatively distinguished, providing a solid foundation for subsequent optimization and hydrodynamic performance evaluation of the proposed system.
The decomposition Kloss = 1 − Kt2Kr2 provides a convenient energy balance and remains informative even under nonlinear conditions; however, this formulation implicitly lumps all non-recovered energy into Kloss, including viscous dissipation, turbulence, nonlinear wave–structure energy exchange, and numerical dissipation. When strong nonlinearities, breaking or high-amplitude vortex shedding occur, the estimate of spectral energies via FFT and the least-squares separation may introduce additional uncertainty. We therefore interpret Kloss as a bulk measure of irreversible energy loss rather than a strict separation of distinct physical mechanisms. Where possible, we corroborate energy-loss trends with flow-field diagnostics (vorticity, vortex shedding) to strengthen physical interpretation.

5. Results and Discussion

The present simulations represent a transverse section of a long (or very wide) floating platform and therefore neglect spanwise edge effects and lateral diffraction associated with finite-length bodies. The objective of the current work is to reveal the fundamental coupling mechanisms and dissipation pathways induced by flexible elements in the xz plane; engineering applicability for finite-size systems will require subsequent three-dimensional studies and model tests, which are identified as immediate future research tasks.
A two-dimensional numerical wave tank was established to investigate the hydrodynamic performance of the floating breakwater system. The rectangular computational domain measured 6.00 m × 0.75 m, with 0.80 m-long sponge layers implemented at both ends to effectively minimize wave reflections and boundary interference. The present domain (6.00 m × 0.75 m) with 0.80 m-long sponge layers at each end follows the configuration used in prior validation studies that demonstrated effective reflection damping for the considered wave conditions (see refs. [30,31,32,33]). The wave generation source was positioned at x = 0 m, while the center of the floating breakwater system was located at x = 2.95 m, z = 0.548 m. The numerical simulations were carried out with a time step of Δt = 0.005 s and a total simulation time of 20 s.
To capture the wave evolution throughout the computational domain, five wave gauges were evenly distributed along the tank to record the free surface elevation in real time. The detailed configuration of the computational domain, including the locations of the wave gauges, the wave maker, the floating breakwater, and the absorbing zones, is shown in Figure 9. For clarity, some structural dimensions in the figure are not drawn to scale in order to highlight key regions of interest. The selected computational setup and parameters ensure that the numerical results accurately represent the hydrodynamic behavior of the floating breakwater system under wave excitation.
The floating breakwater (FBW) was modeled as a rigid body with a planform size of 0.40 m × 0.15 m. The long and short sides of the breakwater were discretized by 80 and 30 Lagrangian nodes, respectively. These nodes were coupled to the flow field via the immersed boundary method (IBM), enabling accurate capture of the breakwater’s translational and rotational motions under wave action.
The flexible wave-dissipating structures (FWDS) were attached to the bottom of the floating breakwater. Each flexible structure had a height of 0.075 m and a width of 0.02 m, and all three were evenly spaced along the underside of the breakwater. In the flow field, the flexible structures were represented as solid boundaries using Lagrangian points, consistent with the numerical treatment adopted for the breakwater (see Figure 3, Figure 4 and Figure 5). This configuration allows for the accurate coupling between fluid motion and structural deformation, ensuring that the dynamic response and energy dissipation behavior are faithfully reproduced.
The tension-leg mooring system was modeled with mooring lines anchored to the seabed at an inclination angle of 60°, ensuring that the lines remained taut throughout the wave–structure interaction process. This configuration provided sufficient restoring stiffness to constrain the motion of the floating breakwater, preventing excessive drift or instability.
In all simulations, the still-water depth was set to h = 0.60 m and the wave steepness was fixed at H/L = 0.03. Regular (monochromatic) waves with model-scale periods T = 1.0–2.0 s were used. Under the geometric scale adopted in this study (1:25), these model periods correspond approximately to prototype periods of 5.0–10.0 s, which span a wide range of common nearshore sea states. The chosen steepness represents appreciable nonlinearity while remaining below typical breaking thresholds for the water depths considered; therefore the selected conditions are appropriate for probing the device response in energetic but non-breaking seas and for isolating the principal fluid–structure interaction mechanisms.
We recognize, however, that real ocean conditions are often irregular and may include directional spreading, steep breaking waves, wave groups, and wave–current interactions that can substantially affect performance. The present regular-wave parametric study therefore provides controlled, mechanistic insight rather than comprehensive performance limits. Extension to a broader parameter space—including irregular (spectral) seas, higher steepness and breaking conditions, focused wave groups and wave–current coupling—is planned as part of our future work to assess device behavior under realistic and extreme sea states and to support eventual three-dimensional and experimental validation.
All simulations assume constant fluid properties representative of seawater (1025 kg m−3). The effects of variations in density and viscosity (e.g., freshwater vs. seawater, temperature dependence) are expected to be secondary for the present geometric scales but will be quantified in future sensitivity studies.
To evaluate the influence of the flexible component’s material properties, a series of cases with varying elastic modulus (E) values were conducted, while other parameters—namely the density (ρ = 1.37 × 103 kg/m3) and Poisson’s ratio (ν = 0.394)—were kept constant. This approach isolates the effect of material stiffness on the overall hydrodynamic performance of the coupled floating breakwater–flexible structure system, providing valuable insights into the energy dissipation mechanisms and motion responses induced by wave loading.
The rectangular computational domain is discretized with a uniform orthogonal grid with Δx = Δz = 0.01 m. Including the sponge layers and all computational cells, the total mesh size in the present 2D runs is approximately 51,000 cells. With a time step Δt = 0.005 s and a total simulated physical time of 20 s (4000 time steps), a single simulation required about 6.5 h of wall-clock time on a workstation with an Intel Core i9-9980HK (8 physical cores). These timings reflect the current serial/modestly parallel implementation; for future 3D and large-scale studies, we will employ domain decomposition and MPI/OpenMP parallelization, adaptive mesh refinement in regions of interest (near FWDS tips), and modal reduction techniques for the structural solver to reduce computational cost.

5.1. Wave-Structure Interactions

This section analyzes the interaction process between waves and two types of structures: a conventional floating pontoon breakwater and a composite floating breakwater equipped with Flexible Wave-Dissipating Structures (FWDS). The focus is placed on evaluating the influence of the flexible components on the overall hydrodynamic performance of the floating system.
Figure 10 presents the time series of free surface elevation recorded by wave gauge WG5, located 0.25 m behind the floating breakwater, for both cases with and without the FWDS. As shown, the free surface elevation is significantly reduced when the FWDS are attached. At WG5, the average wave height behind the structure without FWDS is 0.0437 m, while with FWDS it decreases to 0.0269 m. Compared with the incident wave height, the wave attenuation ratio increases from 38.10% (without FWDS) to 48.30% (with FWDS), representing an improvement of 10.20%. This observation indicates that the FWDS effectively modulate the wave energy distribution and propagation path through complex wave–structure interactions, thereby enhancing the overall wave-dissipating performance of the floating breakwater.
By adding submerged flexible elements beneath the floating breakwater, the system’s effective added mass and rotational inertia increase. This additional inertia reduces the amplitude of surge and pitch motions for a given incident wave, thereby decreasing the amplitude of radiation waves generated by the floating body. In this sense, FWDS contribute to the dynamic stability of the FB and reduce motion-induced transmission of wave energy.
Figure 11 and Figure 12 further illustrate the spatial distributions of the velocity field and vorticity field, respectively, under regular wave conditions (h = 0.6 m, T = 1.0 s, H = 0.046 m, H/L = 0.03). The velocity field represents the instantaneous flow motion around the structure, described by the velocity components in the x and z directions (units: m/s). The vorticity, ζ, which quantifies local flow rotation, is defined as follows:
ζ = w x u z w x u z
where u and w are the velocity components in the x- and z-directions, respectively, and ζ has the dimension of s−1. In the vorticity contour plots, black arrows denote the instantaneous velocity vectors, while colors represent the vorticity magnitude and sign—positive (red) indicating counterclockwise rotation and negative (blue) indicating clockwise rotation.
As shown in Figure 11, the interaction between the rectangular floating breakwater and incident waves exhibits strong periodicity. The generation, evolution, and shedding of vortices around the breakwater have been extensively discussed in previous studies (see ref. [31]). Comparatively, Figure 12 reveals a more complex flow pattern in the case with FWDS. When waves propagate from the left, at t = 8.1 s, the floating system remains nearly at equilibrium, with the pontoon level and the flexible structures vertically downward. As the waves advance (Figure 12b), the structure begins to move rightward under wave excitation, forming positive vorticity zones on both the front and rear surfaces due to wave reflection. Meanwhile, negative vortices emerge near the tips of the flexible structures as a result of strong local disturbances.
As the wave crest passes (Figure 12c,d), the pontoon tilts and partial overtopping occurs, but with a significantly smaller volume of overtopped water than that observed in the rigid case (Figure 11c,d). The motion amplitude of the structure reaches its maximum, accompanied by vortex shedding beneath the FWDS tips, which leads to energy dissipation through vortex evolution and detachment. When the structure returns to its equilibrium position (Figure 12f), the vorticity near the leeward side intensifies and detaches from the surface (Figure 12g). The structure then rotates slightly clockwise, producing strong wave reflection on the front face and generating a negative vorticity region behind it. The high negative vorticity zones around the flexible tips transform into positive vorticity regions, consistent with the dynamic deformation of the FWDS. At t = 8.7–8.8 s, the local flow velocity near the flexible components increases, forming a more complex localized flow pattern. When the wave crest passes (Figure 12i,j), the leeward flow field exhibits backflow regions and strong vortex diffusion and shedding, indicating wave energy dissipation as the vorticity propagates outward and decays in the far field.
The flexibility and deformability of the FWDS enable them to adapt to incident wave motion, effectively mitigating wave impact forces and spreading wave energy over a wider area. The velocity field distribution in Figure 11 and Figure 12 confirms that the presence of FWDS reduces peak flow velocities and smooths their spatial distribution. This demonstrates that the dynamic motion of the flexible structures disperses concentrated wave energy, alleviating local flow acceleration and suppressing high-energy zones. In contrast, the rigid pontoon (without FWDS) produces concentrated velocity regions (Figure 11f,g), implying limited energy dissipation and localized hydrodynamic impacts.
Similarly, significant differences are observed in the vorticity field distributions. Without FWDS, strong vortices form near the upper right corner of the structure, caused by viscous flow separation at sharp edges, consistent with findings in previous literature. These intense vortices concentrate wave energy locally and enhance nonlinear flow phenomena such as wave breaking and vortex shedding. When FWDS are included, the vorticity distribution becomes more uniform and spatially extended. Notably, high-vorticity regions shift away from the structural corners toward the sides, reflecting the fluid–structure coupling effect of the flexible components. Through deformation, the FWDS alleviate local velocity gradients, reduce shear effects, and promote a smoother vorticity distribution. This uniformization reduces local hydrodynamic loads, enhances wave energy dissipation, and improves the overall wave-attenuation efficiency of the composite floating breakwater.
The cyclic deformation of FWDS produces alternating flow separation and tip vortices. These vortices detach and evolve into turbulent structures that act to dissipate coherent wave energy via viscous dissipation and turbulent mixing. As a result, vortex generation and shedding are major contributors to Kloss, and the spatial distribution and strength of vorticity are directly correlated with the observed increase in energy dissipation for more flexible or taller FWDS.
It should be noted that the present study intentionally focuses on the essential hydrodynamic interaction between the breakwater and the flexible wave-dissipating structures within a two-dimensional numerical framework. Additional physical processes and extended structural or environmental factors, though important, fall beyond the current scope and will be explored in future extensions of this work.
Further quantitative evaluation is performed through the calculation of reflection (Kr), transmission (Kt), and energy dissipation coefficients (Kloss) for cases with and without FWDS, as shown in Figure 13. Six regular wave conditions are tested with periods ranging from T = 1.0 s to 2.0 s at an interval of 0.2 s, while water depth and wave steepness remain constant. The reflection coefficient Kr shows little dependence on wave period, remaining between 0.2 and 0.3, but increases on average by 51.91% due to the presence of FWDS—particularly under long-period waves. Conversely, the transmission coefficient Kt increases with wave period in both configurations. For shorter waves, limited propagation and weaker excitation lead to low transmission. As the period increases, longer waves induce stronger excitation and larger structural motions, and near the system’s natural frequency, resonance amplifies oscillations, reducing the shielding effect and increasing transmission. Consequently, energy dissipation efficiency decreases with longer wave periods. When T increases from 1.0 s to 1.6 s, the system exhibits the highest dissipation efficiency, as the incident wave energy is concentrated near the free surface and more effectively attenuated by the structure. For longer waves, energy spreads vertically, increasing transmission and causing nonlinear variations in Kt and Kloss. This indicates that the wave-attenuation performance of the FWDS is strongly nonlinear with respect to wave period, showing high sensitivity within specific ranges.

5.2. Influence of Elastic Modulus on the Hydrodynamic Performance of the Composite System

The material properties of the Flexible Wave-Dissipating Structures (FWDS) are expected to have a substantial impact on their overall wave attenuation performance. In this section, the influence of the elastic modulus (E) of the FWDS is investigated in detail. The elastic modulus, representing the stiffness of the material, serves as a key parameter controlling the deformation response of the flexible elements under wave loading. Based on the range reported by Sun et al. [19], six elastic modulus values are considered, from 1.085 × 105 Pa to 2.17 × 1010 Pa, the latter approximating a rigid material. Other material parameters, including density (ρ = 1.37 × 103 kg/m3) and Poisson’s ratio (ν = 0.394), are kept constant throughout the analysis.
A higher elastic modulus corresponds to a stiffer material that undergoes limited deformation, whereas a lower modulus provides greater flexibility, allowing the structure to deform more readily under hydrodynamic excitation. By systematically varying E, the dynamic characteristics of the FWDS can be tuned to optimize wave energy dissipation and control wave propagation.
Figure 11. Instantaneous velocity field and vorticity distribution of the floating breakwater without FWDS under regular waves. The colour bar represents the vorticity field ζ in units of s−1, where positive values indicate counter-clockwise rotation and negative values indicate clockwise rotation. The arrows denote the instantaneous water-particle velocity vectors, with arrow length scaled according to the reference magnitude of 0.25 m/s, as indicated in the legend. The free surface profile is also shown for reference. (h = 0.6 m, T = 1.0 s, H = 0.046 m, H/L = 0.03).
Figure 11. Instantaneous velocity field and vorticity distribution of the floating breakwater without FWDS under regular waves. The colour bar represents the vorticity field ζ in units of s−1, where positive values indicate counter-clockwise rotation and negative values indicate clockwise rotation. The arrows denote the instantaneous water-particle velocity vectors, with arrow length scaled according to the reference magnitude of 0.25 m/s, as indicated in the legend. The free surface profile is also shown for reference. (h = 0.6 m, T = 1.0 s, H = 0.046 m, H/L = 0.03).
Jmse 14 00097 g011
Figure 12. Instantaneous velocity field and vorticity distribution of the floating breakwater with FWDS under regular waves. The colour bar represents the vorticity field ζ in units of s−1, where positive values indicate counter-clockwise rotation and negative values indicate clockwise rotation. The arrows denote the instantaneous water-particle velocity vectors, with arrow length scaled according to the reference magnitude of 0.25 m/s, as indicated in the legend. The free surface profile is also shown for reference. (h = 0.6 m, T = 1.0 s, H = 0.046 m, H/L = 0.03).
Figure 12. Instantaneous velocity field and vorticity distribution of the floating breakwater with FWDS under regular waves. The colour bar represents the vorticity field ζ in units of s−1, where positive values indicate counter-clockwise rotation and negative values indicate clockwise rotation. The arrows denote the instantaneous water-particle velocity vectors, with arrow length scaled according to the reference magnitude of 0.25 m/s, as indicated in the legend. The free surface profile is also shown for reference. (h = 0.6 m, T = 1.0 s, H = 0.046 m, H/L = 0.03).
Jmse 14 00097 g012
Figure 13. Reflection, transmission, and energy dissipation coefficients (Kr, Kt, Kloss) of the floating breakwater with and without FWDS under different wave periods.
Figure 13. Reflection, transmission, and energy dissipation coefficients (Kr, Kt, Kloss) of the floating breakwater with and without FWDS under different wave periods.
Jmse 14 00097 g013
Figure 14 presents the time histories of the free surface elevation measured at WG5 (located on the leeward side of the structure) for different elastic modulus values. As shown, the overall wave elevation patterns remain similar for most cases, except when the elastic modulus is at its minimum value of 1.085 × 105 Pa. In this highly flexible condition, a secondary wave crest emerges following the primary peak, indicating a stronger nonlinear response. This phenomenon suggests that, for low elastic modulus values, the flexible structures exhibit pronounced dynamic deformations and potentially induce vortex-induced vibrations (VIV), leading to complex wave–structure interaction behaviors. Conversely, when the elastic modulus is larger, the deformation of the FWDS is restricted, enhancing the system’s ability to reflect and radiate incident wave energy due to increased structural rigidity.
To further elucidate the hydrodynamic mechanisms associated with the material stiffness, Figure 15 and Figure 16 show the velocity and vorticity field distributions within one wave period for two representative cases: E = 2.17 × 1010 Pa (rigid-like) and E = 1.085 × 105 Pa (highly flexible), respectively.
Despite similarities in the overall flow evolution patterns, the two cases reveal distinct flow characteristics and energy dissipation mechanisms. For the rigid case (Figure 15), limited deformation leads to stronger wave reflection and localized flow disturbances. The surrounding flow field exhibits higher velocity gradients and more pronounced nonlinear behaviors, particularly near the structural edges. The strong reflection and radiation of wave energy generate compact vortex structures along the structure’s front and rear faces, where the formation and detachment of vortices significantly affect local flow velocity and energy dissipation patterns.
In contrast, for the flexible case (Figure 16), the FWDS experience substantial cyclic deformation under wave excitation, resulting in large-scale oscillations and tip motions. At specific moments, such as t = 8.3 s (Figure 16c) and t = 8.7 s (Figure 16g), the flexible components undergo considerable bending and twisting, producing intense vorticity concentrations near the tips. These high-vorticity regions extend along the surface of the FWDS and evolve dynamically as the structures oscillate. The periodic motion of the flexible tips induces alternating flow shear and vortex shedding, promoting a more distributed energy dissipation process. Compared with the rigid case, the vorticity field for the flexible configuration is broader and more diffused (Figure 16h), indicating that energy dissipation occurs over a wider spatial range rather than being confined near the structural boundaries.
Although the flexible structures exhibit a weaker direct reflection capacity compared to the rigid configuration, their ability to absorb and redistribute wave energy through large-scale deformation leads to a more uniform and stable wave attenuation effect.
Overall, the contrasting flow patterns between the rigid and flexible FWDS highlight two distinct energy dissipation mechanisms. Rigid FWDS: Dominated by strong wave reflection and localized vortex generation near the structure, leading to sharp but confined energy losses. Flexible FWDS: Characterized by distributed deformation, wide-ranging vortex evolution, and smoother energy dispersion, resulting in more stable and sustained wave attenuation. The flow field and vorticity evolution patterns directly determine the hydrodynamic performance and wave-dissipating capability of each configuration under different wave conditions.
Figure 17 quantifies the influence of the elastic modulus on three key dimensionless coefficients: the reflection coefficient (Kr), transmission coefficient (Kt), and energy dissipation coefficient (Kloss). These coefficients are calculated using data from wave gauges WG2, WG3, and WG5, representing reflected, incident, and transmitted waves, respectively. Six elastic modulus values are examined: 1.085 × 105 Pa, 2.17 × 105 Pa, 5.425 × 105 Pa, 1.085 × 106 Pa, 2.17 × 106 Pa, and 2.17 × 1010 Pa. The investigated elastic-modulus range (1.085 × 105–2.17 × 1010 Pa) was chosen to span orders of magnitude from highly compliant materials (soft polymers, elastomers) to near-rigid structural materials (metals, rigid composites), thereby revealing the full spectrum of deformation-mediated hydrodynamic responses. Representative examples include soft elastomers and flexible polymers in the lower range (≈105–107 Pa), fiber-reinforced composites and stiff polymers in the mid-range (≈107–109 Pa), and structural metals/composites that approximate the high end (>109 Pa). We emphasize that elastic modulus is only one selection criterion; practical material choice must balance stiffness with durability, corrosion and fouling resistance, manufacturability and cost. The present parametric results supply guidance on the stiffness–performance relationship, which can then be combined with engineering constraints to select candidate materials.
As shown, both Kr and Kt increase with the elastic modulus, especially when E rises from 1.085 × 105 Pa to 5.425 × 105 Pa. In this range, the flexible structures are highly sensitive to wave-induced deformation, resulting in pronounced variations in wave reflection and transmission. Beyond this range, the growth rates of Kr and Kt level off, suggesting that the effect of increasing rigidity becomes saturated. When the structure becomes sufficiently stiff, further increases in E contribute little to additional reflection, as deformation-induced energy absorption diminishes.
This observation has important design implications: for practical engineering applications, an excessively high elastic modulus not only reduces the adaptive capacity of the FWDS but also increases material and construction costs without significant improvement in wave reflection efficiency. Similarly, the transmission coefficient Kt shows an asymptotic behavior, indicating that once the structure achieves a certain stiffness, additional rigidity does not significantly enhance wave transmission, and the transmitted energy remains limited.
The energy dissipation coefficient (Kloss) exhibits the opposite trend, decreasing rapidly with increasing E and then stabilizing. At lower elastic modulus values, the greater deformability of the FWDS allows for enhanced energy absorption and viscous dissipation through complex flow interactions. As the structure becomes more rigid, deformation diminishes, and energy dissipation stabilizes at a lower level.
Integrating the results of free surface deformation, structural response, and energy coefficients, it can be concluded that the elastic modulus exerts a significant influence on wave attenuation performance. Higher stiffness enhances reflection and transmission but reduces energy dissipation, while lower stiffness promotes broader energy dispersion and adaptive damping of incident waves. Although excessively flexible structures may induce local instability or reduced reflection, they exhibit superior adaptability to varying sea states and complex wave environments, providing potential long-term advantages in practical applications.
It is also worth noting that the FWDS in this study possess a finite thickness of 0.02 m, and the lowest tested modulus (1.085 × 105 Pa) still represents a material with moderate stiffness. If either the thickness or the modulus were further reduced, the interaction with the local flow could weaken sharply, resulting in decreased energy dissipation. Therefore, although Kloss increases with decreasing E within the tested range, this does not imply that the smallest possible elastic modulus always yields the best performance. Further parametric studies and high-resolution fluid–structure interaction analyses will be conducted in future work to clarify the broader effects of extreme material flexibility on wave–structure interactions. The above trends can be used as objective functions in an optimization framework (e.g., maximize Kloss while constraining Kr and structural stress). Future work will formulate such design optimizations to produce actionable design maps for practitioners.
The observed trend—decreasing Kr and Kt and increasing Kloss with decreasing elastic modulus—can be explained by the deformation-mediated redistribution of wave energy. Softer materials permit larger cyclic bending and tip motions, which (i) produce time-varying body shapes that absorb incident energy through internal strain and (ii) generate more extended vortex shedding and shear layers that convert coherent wave energy into turbulent and viscous dissipation. By contrast, stiffer FWDS deform little, acting more like rigid obstacles that reflect incident energy and produce localized, strong vortices but less distributed dissipation. Therefore, elastic modulus controls the relative importance of reflection versus distributed viscous dissipation via its effect on deformation amplitude and vortex dynamics.

5.3. Influence of the Height of the Flexible Wave-Dissipating Structures

In the previous section, the height of each flexible wave-dissipating structure was fixed at 0.075 m. To further investigate the influence of structural geometry on hydrodynamic performance, this section examines the case where the height of the flexible structures is increased to 0.15 m, while all other simulation conditions remain the same. The objective is to clarify the effect of structural height on wave attenuation efficiency and to provide theoretical insights for the optimal design of flexible wave-dissipating systems.
Figure 18 illustrates the evolution of the velocity and vorticity fields around the coupled system when the flexible structures have a height of 0.15 m. It can be observed that the taller structures exert a stronger influence on the surrounding flow field. The enhanced wave–structure interaction induces pronounced velocity gradients near the edges and side surfaces of the flexible elements. As the incoming flow encounters the taller structures, local flow separation occurs, forming high-intensity vortices, particularly around the corners and tips (see Figure 18b,f). These vortices not only modify the local hydrodynamics but also enhance the dissipation of wave energy by promoting turbulent mixing and viscous losses.
Moreover, the cyclic excitation from incident waves intensifies the unsteady flow patterns around the structure, producing multiple small-scale vortices at the upper tips of the flexible elements (see Figure 18g,h). The formation and evolution of these vortices indicate a more complex energy conversion process, in which part of the wave energy is transformed into rotational kinetic energy of the fluid. This dynamic process enhances the overall energy dissipation capability of the system and contributes to the reduction of transmitted wave amplitude.
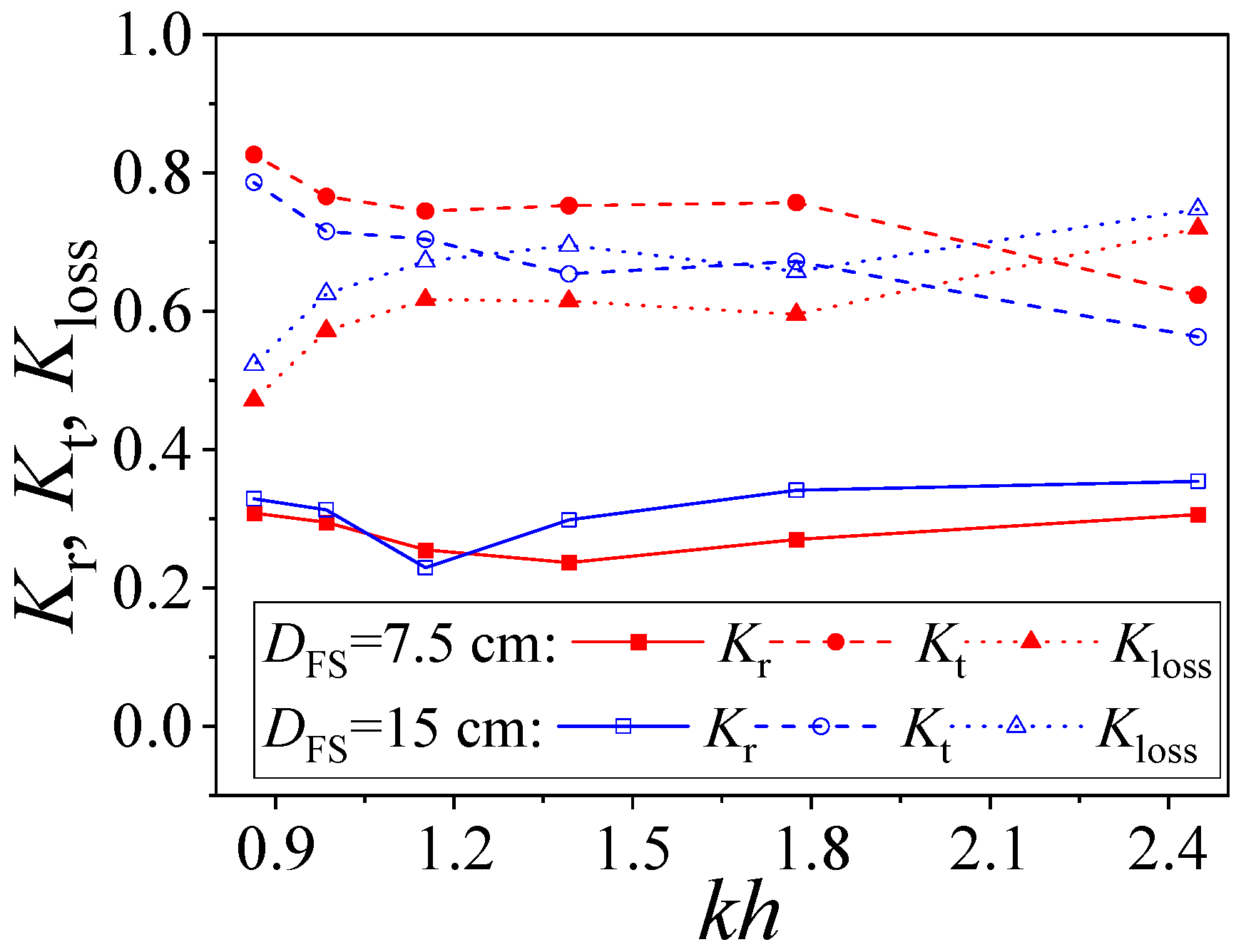
Figure 19 compares the reflection coefficient (Kr), transmission coefficient (Kt), and energy dissipation coefficient (Kloss) for structures with different heights. Overall, as the flexible structure height increases, Kr rises, Kt decreases, and Kloss increases. This trend suggests that taller flexible structures are more effective in reflecting and dissipating incoming wave energy. The increased vertical extent allows the structures to intercept a larger portion of the incident wave front, thereby reducing the transmitted wave energy and enhancing overall wave attenuation performance.
However, the improvement in wave dissipation efficiency becomes less significant under long-period wave conditions. This implies that when the wavelength is much greater than the structure height, the interaction between the wave and the flexible element becomes less pronounced, limiting the incremental benefit of increasing structural height. Therefore, while taller flexible structures can enhance energy dissipation under shorter wave conditions, their efficiency gain diminishes in longer waves, where the hydrodynamic loading is more evenly distributed along the structure. The simulations indicate a diminishing marginal benefit of increased FWDS height for longer period waves: in the present parameter set, this occurs for T ≥ 1.6 s. The physical explanation is that for long wavelengths (relative to structure height), the incident energy is less concentrated near the free surface and therefore the additional vertical extent yields proportionally smaller interaction and dissipation. Increasing height further would shift this threshold toward longer periods, but at the expense of structural cost and potential operational constraints.
Increasing the vertical extent of FWDS strengthens interaction with incident waves by intercepting a larger portion of the wave front and by promoting stronger flow separation and tip-vortex formation. Consequently, reflection Kr and dissipation Kloss increase while transmission Kt decreases. The effect is most pronounced for shorter and intermediate periods (in our scaled tests for T ≤ 1.6 s), whereas for longer waves the incremental benefit of height diminishes because the incoming energy is distributed over greater depths and the relative blockage effect is reduced.
In summary, increasing the height of the flexible wave-dissipating structures can strengthen their interaction with waves and improve the overall dissipation of wave energy, especially for intermediate and short waves. Nevertheless, the optimal design should balance structural dimensions with target wave conditions to achieve effective energy attenuation without excessive material use or hydrodynamic resistance. Although increasing structural stiffness enhances reflection, the extended structural height compensates by amplifying viscous and vortical dissipation, leading to a net increase in energy loss.
The present parametric study focused on regular waves; the effectiveness and potential vulnerability of flexible elements under random seas, energetic wave groups and storm conditions will be the subject of ongoing research. We will investigate transient focusing events, large-amplitude forcing, and associated fatigue and stability issues in our subsequent three-dimensional and experimental campaigns.

5.4. Design Implications and Practical Guidance

To enhance the practical relevance of the parametric findings and address the engineering implications highlighted by the reviewers, Section 5.4 summarizes design-oriented insights derived from the numerical analysis. These guidelines provide qualitative direction for early-stage engineering design and identify the key trade-offs among material stiffness, geometry, and wave dissipation performance.
The parametric investigations conducted in this study reveal several trends useful for the preliminary design of flexible wave-dissipating structures. Although the findings are based on the present two-dimensional numerical framework, they provide qualitative guidance for material selection and geometric configuration in early-stage engineering design.
  • Applications prioritizing wave-energy dissipation.
For configurations where reducing the transmitted wave energy is the primary objective (e.g., protection of downstream offshore installations), flexible materials with a moderate-to-low elastic modulus—within the tested range—are preferable. Such materials facilitate larger structural deformation and promote the formation of vortices around the flexible elements, enhancing distributed energy dissipation. A sufficient vertical extent (height) also supports the development of strong vortex shedding and improves the overall dissipation efficiency.
2.
Applications where increased reflection is acceptable or desirable.
In scenarios where upstream wave reflection is desired (e.g., shoreline protection), stiffer materials and larger frontal areas are more effective. These configurations increase the reflection coefficient Kr but tend to reduce the dissipation coefficient Kloss, indicating a shift from dissipative to reflective performance.
3.
Avoiding excessively stiff materials.
Very high stiffness does not proportionally improve wave reflection and may lead to diminishing returns while increasing structural costs. Overly stiff configurations also reduce deformation-induced dissipation, limiting their hydrodynamic adaptability.
4.
Considering long-term durability and cost trade-offs.
Beyond hydrodynamic performance, practical material selection should account for durability, fatigue resistance, and maintenance cost. Composite materials or coated polymers may offer a balanced combination of moderate stiffness, deformation capacity, and long-term durability.
Figure 18. Instantaneous velocity and vorticity fields around the coupled floating breakwater system with flexible wave-dissipating structures of height 0.15 m at different time instants. The colour bar represents the vorticity field ζ in units of s−1, where positive values indicate counter-clockwise rotation and negative values indicate clockwise rotation. The arrows denote the instantaneous water-particle velocity vectors, with arrow length scaled according to the reference magnitude of 0.25 m/s, as indicated in the legend. The free surface profile is also shown for reference. (h = 0.6 m, T = 1.0 s, H = 0.046 m, H/L = 0.03).
Figure 18. Instantaneous velocity and vorticity fields around the coupled floating breakwater system with flexible wave-dissipating structures of height 0.15 m at different time instants. The colour bar represents the vorticity field ζ in units of s−1, where positive values indicate counter-clockwise rotation and negative values indicate clockwise rotation. The arrows denote the instantaneous water-particle velocity vectors, with arrow length scaled according to the reference magnitude of 0.25 m/s, as indicated in the legend. The free surface profile is also shown for reference. (h = 0.6 m, T = 1.0 s, H = 0.046 m, H/L = 0.03).
Jmse 14 00097 g018
Figure 19. Variation of the reflection coefficient (Kr), transmission coefficient (Kt), and energy dissipation coefficient (Kloss) with different heights of the flexible wave-dissipating structures.
Figure 19. Variation of the reflection coefficient (Kr), transmission coefficient (Kt), and energy dissipation coefficient (Kloss) with different heights of the flexible wave-dissipating structures.
Jmse 14 00097 g019
These qualitative guidelines are intended to support preliminary decision-making. In future work, we will develop a formal multi-objective optimization framework to generate quantitative design charts that simultaneously consider Kloss, Kr, structural stress, material fatigue, and cost.

6. Conclusions

In this study, a two-dimensional numerical model was developed to investigate the hydrodynamic performance of a floating breakwater coupled with flexible wave-dissipating structures (FWDS). The model combines the immersed boundary method with the finite element formulation for flexible structural motion, enabling accurate simulation of the fluid–structure interaction between incident waves, the floating body, and the flexible elements. The numerical scheme was first validated through benchmark tests on cantilever beam deflection under concentrated loads and flexible vegetation motion under wave action, both showing excellent agreement with theoretical and experimental results, thereby confirming the reliability of the proposed approach. The model was then applied to evaluate the effects of structural flexibility and geometric parameters on wave attenuation performance. The key findings can be summarized as follows:
The elastic modulus of the flexible wave-dissipating structures significantly influences the overall hydrodynamic behavior of the coupled system. With decreasing elastic modulus, the FWDS exhibit greater deformation and energy absorption capacity, leading to enhanced wave attenuation. In contrast, stiffer structures generate stronger wave reflection but reduced energy dissipation. The results indicate that an optimal elastic modulus exists that balances reflection, transmission, and dissipation for efficient wave energy reduction.
Analysis of the instantaneous velocity and vorticity fields revealed distinct flow mechanisms associated with structural flexibility. Stiffer configurations produce localized high-vorticity zones and pronounced reflected waves, while softer structures induce larger-scale flow disturbances and distributed energy dissipation through cyclic deformation and vortex shedding near their tips.
Increasing the height of the flexible elements improves wave reflection and reduces wave transmission, particularly for shorter wave periods. However, under long-period wave conditions, the improvement becomes less significant, suggesting that the influence of height is constrained by the wavelength-to-structure-height ratio. Taller flexible structures nevertheless promote stronger flow separation and vortex formation, enhancing localized energy dissipation.
Overall, the proposed coupled model effectively captures the nonlinear hydrodynamic interactions between flexible and rigid components in a floating breakwater system. The results demonstrate that both the elastic modulus and structural height of the flexible wave-dissipating elements play crucial roles in governing wave attenuation performance. These findings provide valuable insights for the optimal design of hybrid floating breakwaters, enabling adaptive control of wave reflection and transmission through structural flexibility. Future research will further explore three-dimensional effects, irregular wave conditions, and the long-term fatigue behavior of flexible components to support their practical application in coastal and offshore engineering.
To address the inherent limitations of the present two-dimensional and component-validated study, future work will extend the numerical framework to fully three-dimensional simulations to resolve spanwise flow, lateral diffraction, and oblique-wave incidence. In parallel, scaled laboratory experiments of the integrated floating-breakwater–FWDS system will be carried out to measure wave attenuation, platform motions, FWDS deformations, and vortex-shedding characteristics under controlled conditions. These combined efforts will provide system-level validation and support the development of practical design guidelines for real-world deployment.
Building upon this, the numerical model will be expanded to include three-dimensional directional wave spectra to quantify yaw motions, spanwise variability, and multi-directional wave loading. Such analyses are essential for assessing the robustness of design recommendations under realistic ocean conditions where waves approach from varying directions.
Moreover, the present study considered only regular waves within a moderate steepness range. Future simulations will incorporate irregular seas, broadband spectra, storm-like wave groups, and extreme events to evaluate device performance under realistic and energetic ocean states. These extensions will allow assessment of reliability, survivability, and hydrodynamic efficiency across a wider range of operational and extreme scenarios.
Beyond hydrodynamic performance, environmental interactions will also be examined. Planned numerical–experimental campaigns in collaboration with coastal geomorphologists and marine ecologists will investigate sediment transport, scour potential, and biological colonization around the integrated system, providing a holistic understanding of ecological impacts and eco-engineering opportunities.
The current configuration, consisting of three identical FWDS units arranged with uniform spacing, was selected to isolate baseline hydrodynamic mechanisms. Future parametric studies will systematically explore the influence of FWDS number, spacing (lateral and longitudinal), orientation (inclined or staggered arrangements), and permeable/porous membrane-type designs on wave reflection, transmission, and dissipation. These investigations aim to generate comprehensive engineering guidance for practical array layouts.
The present simulations assume idealized material properties and do not account for long-term degradation mechanisms such as fatigue, biofouling, UV exposure, or chemical aging. These processes can modify mass, stiffness, and surface roughness, thereby altering hydrodynamic response and dissipation characteristics. Future research will include controlled aging experiments, biofouling tests, and coupled structural-degradation models to evaluate durability, maintenance intervals, and lifecycle performance.
Finally, the model did not include breaking waves, storm-scale forcing, or large variations in water depth. These conditions will be addressed in forthcoming three-dimensional simulations and physical experiments to evaluate extreme loads, survival behavior, and performance sensitivity to depth variations. Collectively, the planned extensions will enable a comprehensive assessment of the system’s behavior under realistic and extreme sea states, supporting safe and efficient design for practical deployment.

Author Contributions

Conceptualization, X.J. and W.P.; methodology, X.J., S.G. and X.Y.; validation, K.W. and S.F.; writing—original draft preparation, X.Y.; writing—review and editing, S.G., K.W., S.F. and W.P. All authors have read and agreed to the published version of the manuscript.

Funding

The research was funded by the National Key R&D Program of China (Grant No. 2024YFB4207000). The authors acknowledge and express their gratitude to the reviewers of this paper for their valuable and constructive comments that helped to improve the quality of the manuscript.

Data Availability Statement

The data presented in this study are available on request from the corresponding author.

Conflicts of Interest

Authors Xianlin Jia, Kangjie Wang, and Sai Fu are employed by the company Power China Hua Dong Engineering Co., Ltd. The remaining authors declare that the research was conducted in the absence of any commercial or financial relationships that could be construed as a potential conflict of interest.

References

  1. Lindeque, P.K.; Cole, M.; Coppock, R.L.; Lewis, C.N.; Miller, R.Z.; Watts, A.J.; Wilson-McNeal, A.; Wright, S.L.; Galloway, T.S. Are we underestimating microplastic abundance in the marine environment? A comparison of microplastic capture with nets of different mesh-size. Environ. Pollut. 2020, 265, 114721. [Google Scholar] [CrossRef]
  2. Zhao, C.; Tang, J.; Shen, Y.; Wang, Y. Study on wave attenuation in following and opposing currents due to rigid vegetation. Ocean Eng. 2021, 236, 109574. [Google Scholar] [CrossRef]
  3. Knutson, P.L.; Brochu, R.A.; Seelig, W.N.; Inskeep, M. Wave damping in Spartina alterniflora marshes. Wetlands 1982, 2, 87–104. [Google Scholar] [CrossRef]
  4. Jadhav, R.S.; Chen, Q. Probability distribution of wave heights attenuated by salt marsh vegetation during tropical cyclone. Coast. Eng. 2013, 82, 47–55. [Google Scholar] [CrossRef]
  5. Jadhav, R.; Chen, Q. Field investigation of wave dissipation over salt marsh vegetation during tropical cyclone. Coast. Eng. Proc. 2012, 1, 41–51. [Google Scholar] [CrossRef]
  6. Jadhav, R.S.; Chen, Q.; Smith, J.M. Spectral distribution of wave energy dissipation by salt marsh vegetation. Coast. Eng. 2013, 77, 99–107. [Google Scholar] [CrossRef]
  7. Dalrymple, R.A.; Kirby, J.T.; Hwang, P.A. Wave diffraction due to areas of energy dissipation. J. Waterw. Port Coast. Ocean Eng. 1984, 110, 67–79. [Google Scholar] [CrossRef]
  8. Mendez, F.J.; Losada, I.J. An empirical model to estimate the propagation of random breaking and nonbreaking waves over vegetation fields. Coast. Eng. 2004, 51, 103–118. [Google Scholar] [CrossRef]
  9. Hu, Z.; Suzuki, T.; Zitman, T.; Uittewaal, W.; Stive, M. Laboratory study on wave dissipation by vegetation in combined current–wave flow. Coast. Eng. 2014, 88, 131–142. [Google Scholar] [CrossRef]
  10. Hu, Z.; Lian, S.; Zitman, T.; Wang, H.; He, Z.; Wei, H.; Ren, L.; Uijttewaal, W.; Suzuki, T. Wave breaking induced by opposing currents in submerged vegetation canopies. Water Resour. Res. 2022, 58, e2021WR031121. [Google Scholar] [CrossRef]
  11. Magdalena, I.; Andadari, G.R.; Reeve, D.E. An integrated study of wave attenuation by vegetation. Wave Motion 2022, 110, 102878. [Google Scholar] [CrossRef]
  12. Liu, H.; Fang, H.; Lin, P. A theoretical model for wave attenuation by vegetation considering current effects. Coast. Eng. 2024, 190, 104508. [Google Scholar] [CrossRef]
  13. Stamos, D.G.; Hajj, M.R.; Telionis, D.P. Performance of hemi-cylindrical and rectangular submerged breakwaters. Ocean Eng. 2003, 30, 813–828. [Google Scholar] [CrossRef]
  14. Diamantoulaki, I.; Angelides, D.C.; Manolis, G.D. Performance of pile-restrained flexible floating breakwaters. Appl. Ocean Res. 2008, 30, 243–255. [Google Scholar] [CrossRef]
  15. Koley, S.; Sahoo, T. Scattering of oblique waves by permeable vertical flexible membrane wave barriers. Appl. Ocean Res. 2017, 62, 156–168. [Google Scholar] [CrossRef]
  16. Guo, Y.C.; Mohapatra, S.C.; Soares, C.G. Experimental study on the performance of an array of vertical flexible porous membrane type breakwater under regular waves. Ocean Eng. 2022, 264, 112328. [Google Scholar] [CrossRef]
  17. Guo, Y.C.; Mohapatra, S.C.; Soares, C.G. An experimental study on the performance of combined membrane breakwaters against incident waves. Ocean Eng. 2023, 280, 114793. [Google Scholar] [CrossRef]
  18. Sun, W.; Nakamura, T.; Cho, Y.; Mizutani, N. Numerical Investigation of Solitary Wave Attenuation by a Vertical Plate-Type Flexible Breakwater Constructed Using Hyperelastic Neo-Hookean Material. J. Mar. Sci. Eng. 2024, 12, 1004. [Google Scholar] [CrossRef]
  19. Sun, B.; Li, C.; Yang, S.; Zhang, H.; Song, Z. Experimental and numerical study on the wave attenuation performance and dynamic response of kelp-box type floating breakwater. Ocean Eng. 2022, 263, 112374. [Google Scholar] [CrossRef]
  20. Wu, J.-P.; Li, C.-R.; Qi, J.-J.; Xu, X.-Y.; Li, J.-N.; Zhang, X.-X.; Qin, Q.; Zhou, Z.-R. Experimental study on the hydrodynamic performance of a side-by-side box-membrane breakwater. Ocean Eng. 2024, 302, 117658. [Google Scholar] [CrossRef]
  21. Meng, Y.; Li, X.; He, M.; Sui, Y.; Zhang, X. Study on wave dissipation performance of ecological breakwater with seagrasses planted on submerged horizontal plate. Ocean Eng. 2025, 43, 189–199. [Google Scholar] [CrossRef]
  22. Zhao, X.; Zhou, Y.; Zong, Y.; Yang, Z.; Luo, M. A CIP-based numerical simulation of wave interaction with a fluid-filled membrane submerged breakwater. Ocean Eng. 2022, 260, 111819. [Google Scholar] [CrossRef]
  23. Li, A.J.; Liu, Y.; Li, H.J.; Fang, H. Analysis of water wave interaction with a flexible submerged perforated semi-circular breakwater. Eur. J. Mech. B-Fluids 2020, 79, 345–356. [Google Scholar] [CrossRef]
  24. Li, A.J.; Liu, Y.; Li, H.J.; Fang, H. Analysis of water wave interaction with a submerged fluid-filled semi-circular membrane breakwater. Ocean Eng. 2020, 197, 106901. [Google Scholar] [CrossRef]
  25. Brorsen, M.; Larsen, J. Source generation of nonlinear gravity waves with the boundary integral equation method. Coast. Eng. 1987, 11, 93–113. [Google Scholar] [CrossRef]
  26. Ohyama, T.; Nadaoka, K. Development of a numerical wave tank for analysis of nonlinear and irregular wave field. Fluid Dyn. Res. 1991, 8, 231–251. [Google Scholar] [CrossRef]
  27. Chorin, A.J. On the convergence of discrete approximations to the Navier-Stokes equations. Math. Comput. 1969, 23, 341–353. [Google Scholar] [CrossRef]
  28. Chorin, A.J. Numerical solution of the Navier-Stokes equations. Math. Comput. 1968, 22, 745–762. [Google Scholar] [CrossRef]
  29. Lima, E.; Silva, A.L.F.; Silveira-Neto, A.; Damasceno, J.J.R. Numerical simulation of two-dimensional flows over a circular cylinder using the immersed boundary method. J. Comput. Phys. 2003, 189, 351–370. [Google Scholar] [CrossRef]
  30. Lee, K.H.; Mizutani, N. A numerical wave tank using direct-forcing immersed boundary method and its application to wave force on a horizontal cylinder. Coast. Eng. J. 2009, 51, 27–48. [Google Scholar] [CrossRef]
  31. Peng, W.; Lee, K.-H.; Shin, S.-H.; Mizutani, N. Numerical simulation of interactions between water waves and inclined-moored submerged floating breakwaters. Coast. Eng. 2013, 82, 76–87. [Google Scholar] [CrossRef]
  32. Peng, W.; Huang, X.; Fan, Y.; Zhang, J.; Ren, X. Numerical analysis and performance optimization of a submerged wave energy converting device based on the floating breakwater. J. Renew. Sustain. Energy 2017, 9, 044503. [Google Scholar] [CrossRef]
  33. Peng, W.; Fan, Y.; Zhang, J. Numerical study on optimization of the float in a shoreline wave energy converter. J. Coast. Res. 2018, 85, 1296–1300. [Google Scholar] [CrossRef]
  34. Soomro, F.A.; Alamir, M.A.; El-Sapa, S.; Haq, R.U.; Soomro, M.A. Artificial neural network modeling of MHD slip-flow over a permeable stretching surface. Arch. Appl. Mech. 2022, 92, 2179–2189. [Google Scholar] [CrossRef]
  35. Raizah, Z.; El-Sapa, S.; Aly, A.M. ISPH simulations of thermosolutal convection in an annulus amongst an inner prismatic shape and outer cavity including three circular cylinders. Case Stud. Therm. Eng. 2022, 30, 101736. [Google Scholar] [CrossRef]
  36. Aly, A.M.; El-Sapa, S. Double rotations of cylinders on thermosolutal convection of a wavy porous medium inside a cavity mobilized by a nanofluid and impacted by a magnetic field. Int. J. Numer. Methods Heat Fluid Flow 2022, 32, 2383–2405. [Google Scholar] [CrossRef]
  37. Maza, M.; Lara, J.L.; Losada, I.J. A coupled model of submerged vegetation under oscillatory flow using Navier–Stokes equations. Coast. Eng. 2013, 80, 16–34. [Google Scholar] [CrossRef]
  38. Chen, H.; Zou, Q.-P. Eulerian-Lagrangian flow-vegetation interaction model using immersed boundary method and OpenFOAM. Adv. Water Res. 2019, 126, 176–192. [Google Scholar] [CrossRef]
  39. Mansard, E.P.D.; Funke, E.R. The measurement of incident and reflected spectra using a least squares method. In Proceedings of the 17th International Conference on Coastal Engineering, Sydney, Australia, 23–28 March 1980; pp. 154–172. [Google Scholar]
Figure 1. Conceptual illustration of a floating photovoltaic farm coupled with flexible wave-dissipating structures.
Figure 1. Conceptual illustration of a floating photovoltaic farm coupled with flexible wave-dissipating structures.
Jmse 14 00097 g001
Figure 2. Conceptual illustration of a floating breakwater integrated with flexible wave-dissipating structures.
Figure 2. Conceptual illustration of a floating breakwater integrated with flexible wave-dissipating structures.
Jmse 14 00097 g002
Figure 3. Computational domain.
Figure 3. Computational domain.
Jmse 14 00097 g003
Figure 4. Dynamics of the floating breakwater integrated with flexible wave-dissipating structures.
Figure 4. Dynamics of the floating breakwater integrated with flexible wave-dissipating structures.
Jmse 14 00097 g004
Figure 5. (a) Two-dimensional schematic diagram of the floating breakwater coupled with flexible wave-dissipating structures, with main geometric dimensions indicated. (b) Finite element mesh discretization and node numbering of a single flexible wave-dissipating structure.
Figure 5. (a) Two-dimensional schematic diagram of the floating breakwater coupled with flexible wave-dissipating structures, with main geometric dimensions indicated. (b) Finite element mesh discretization and node numbering of a single flexible wave-dissipating structure.
Jmse 14 00097 g005
Figure 6. Flowchart of the numerical procedure for the coupled fluid–structure interaction model.
Figure 6. Flowchart of the numerical procedure for the coupled fluid–structure interaction model.
Jmse 14 00097 g006
Figure 7. Comparison of simulated and theoretical deflections of a cantilever beam under concentrated loads of 0.50 N, 0.75 N, and 1.00 N.
Figure 7. Comparison of simulated and theoretical deflections of a cantilever beam under concentrated loads of 0.50 N, 0.75 N, and 1.00 N.
Jmse 14 00097 g007
Figure 8. Comparison of the simulated and experimental extreme displacements [37] of a single flexible stem during one wave cycle.
Figure 8. Comparison of the simulated and experimental extreme displacements [37] of a single flexible stem during one wave cycle.
Jmse 14 00097 g008
Figure 9. Schematic of the computational domain, including the wavemaker, floating breakwater, absorbing zones, and the positions of the five wave gauges. For clarity, the horizontal distances between the wavemaker and the floating breakwater and between the breakwater and the outlet boundary are not drawn to scale, as the figure is intended to highlight the placement of the breakwater and measurement points rather than depict exact geometric proportions.
Figure 9. Schematic of the computational domain, including the wavemaker, floating breakwater, absorbing zones, and the positions of the five wave gauges. For clarity, the horizontal distances between the wavemaker and the floating breakwater and between the breakwater and the outlet boundary are not drawn to scale, as the figure is intended to highlight the placement of the breakwater and measurement points rather than depict exact geometric proportions.
Jmse 14 00097 g009
Figure 10. Comparison of free-surface elevation at the leeward side (WG5) for cases with and without Flexible Wave-Dissipating Structures (FWDS). (h = 0.6 m, T = 1.0 s, H = 0.046 m, H/L = 0.03).
Figure 10. Comparison of free-surface elevation at the leeward side (WG5) for cases with and without Flexible Wave-Dissipating Structures (FWDS). (h = 0.6 m, T = 1.0 s, H = 0.046 m, H/L = 0.03).
Jmse 14 00097 g010
Figure 14. Time histories of free surface elevation at WG5 for different elastic modulus values of the Flexible Wave-Dissipating Structures (FWDS). (h = 0.6 m, T = 1.0 s, H = 0.046 m, H/L = 0.03).
Figure 14. Time histories of free surface elevation at WG5 for different elastic modulus values of the Flexible Wave-Dissipating Structures (FWDS). (h = 0.6 m, T = 1.0 s, H = 0.046 m, H/L = 0.03).
Jmse 14 00097 g014
Figure 15. Instantaneous velocity and vorticity fields around the composite floating breakwater with rigid FWDS (E = 2.17 × 1010 Pa). The colour bar represents the vorticity field ζ in units of s−1, where positive values indicate counter-clockwise rotation and negative values indicate clockwise rotation. The arrows denote the instantaneous water-particle velocity vectors, with arrow length scaled according to the reference magnitude of 0.25 m/s, as indicated in the legend. The free surface profile is also shown for reference. (h = 0.6 m, T = 1.0 s, H = 0.046 m, H/L = 0.03).
Figure 15. Instantaneous velocity and vorticity fields around the composite floating breakwater with rigid FWDS (E = 2.17 × 1010 Pa). The colour bar represents the vorticity field ζ in units of s−1, where positive values indicate counter-clockwise rotation and negative values indicate clockwise rotation. The arrows denote the instantaneous water-particle velocity vectors, with arrow length scaled according to the reference magnitude of 0.25 m/s, as indicated in the legend. The free surface profile is also shown for reference. (h = 0.6 m, T = 1.0 s, H = 0.046 m, H/L = 0.03).
Jmse 14 00097 g015
Figure 16. Instantaneous velocity and vorticity fields around the composite floating breakwater with highly flexible FWDS (E = 1.085 × 105 Pa). The colour bar represents the vorticity field ζ in units of s−1, where positive values indicate counter-clockwise rotation and negative values indicate clockwise rotation. The arrows denote the instantaneous water-particle velocity vectors, with arrow length scaled according to the reference magnitude of 0.25 m/s, as indicated in the legend. The free surface profile is also shown for reference. (h = 0.6 m, T = 1.0 s, H = 0.046 m, H/L = 0.03).
Figure 16. Instantaneous velocity and vorticity fields around the composite floating breakwater with highly flexible FWDS (E = 1.085 × 105 Pa). The colour bar represents the vorticity field ζ in units of s−1, where positive values indicate counter-clockwise rotation and negative values indicate clockwise rotation. The arrows denote the instantaneous water-particle velocity vectors, with arrow length scaled according to the reference magnitude of 0.25 m/s, as indicated in the legend. The free surface profile is also shown for reference. (h = 0.6 m, T = 1.0 s, H = 0.046 m, H/L = 0.03).
Jmse 14 00097 g016
Figure 17. Variation of reflection (Kr), transmission (Kt), and energy dissipation (Kloss) coefficients with different elastic modulus values of the FWDS.
Figure 17. Variation of reflection (Kr), transmission (Kt), and energy dissipation (Kloss) coefficients with different elastic modulus values of the FWDS.
Jmse 14 00097 g017
Disclaimer/Publisher’s Note: The statements, opinions and data contained in all publications are solely those of the individual author(s) and contributor(s) and not of MDPI and/or the editor(s). MDPI and/or the editor(s) disclaim responsibility for any injury to people or property resulting from any ideas, methods, instructions or products referred to in the content.

Share and Cite

MDPI and ACS Style

Jia, X.; Guo, S.; Wang, K.; Fu, S.; Yu, X.; Peng, W. Wave Attenuation Performance of a Floating Breakwater Integrated with Flexible Wave-Dissipating Structures. J. Mar. Sci. Eng. 2026, 14, 97. https://doi.org/10.3390/jmse14010097

AMA Style

Jia X, Guo S, Wang K, Fu S, Yu X, Peng W. Wave Attenuation Performance of a Floating Breakwater Integrated with Flexible Wave-Dissipating Structures. Journal of Marine Science and Engineering. 2026; 14(1):97. https://doi.org/10.3390/jmse14010097

Chicago/Turabian Style

Jia, Xianlin, Su Guo, Kangjie Wang, Sai Fu, Xintong Yu, and Wei Peng. 2026. "Wave Attenuation Performance of a Floating Breakwater Integrated with Flexible Wave-Dissipating Structures" Journal of Marine Science and Engineering 14, no. 1: 97. https://doi.org/10.3390/jmse14010097

APA Style

Jia, X., Guo, S., Wang, K., Fu, S., Yu, X., & Peng, W. (2026). Wave Attenuation Performance of a Floating Breakwater Integrated with Flexible Wave-Dissipating Structures. Journal of Marine Science and Engineering, 14(1), 97. https://doi.org/10.3390/jmse14010097

Note that from the first issue of 2016, this journal uses article numbers instead of page numbers. See further details here.

Article Metrics

Back to TopTop