Abstract
An X-rudder underwater vehicle’s hydrodynamic force acting on its rudder will display asymmetrical characteristics during vertical movement that are absent from a cross-rudder vehicle. This paper presents a novel hydrodynamic expression method based on rotational hydrodynamic transformation through a detailed analysis of the local flow characteristics around the tail attachment during the vertical plane maneuvering of the X-rudder vehicle, given that the conventional Taylor expansion-based hydrodynamic expression method is unable to characterize this asymmetric characteristic. With the help of this technique, a novel expression that can precisely describe the asymmetric hydrodynamic properties during the X-rudder vehicle’s underwater vertical plane maneuvering is created. This paper next concentrates on common vertical plane maneuvering motion situations and performs simulation predictions using both new and conventional expressions based on Taylor expansion. The asymmetric characteristics of the X-rudder underwater vehicle in vertical plane maneuvering have been experimentally confirmed, and the asymmetric characteristics become more pronounced as the speed increases, according to the results, which are compared with those of tests using self-driving models. Overall, the new model accurately describes the asymmetric features of the X-rudder vehicle’s vertical maneuvering motion and correlates well with the experimental findings.
    1. Introduction
During the underwater vertical plane maneuvering of an X-rudder vehicle, the hydrodynamic forces acting on the rudders manifest asymmetric characteristics absent in cross-rudder vehicles. This asymmetry gives rise to a motion phenomenon wherein the X-rudder vehicle demonstrates a tendency for “easier pitch-down than pitch-up” during certain vertical plane maneuvers. This approach has been widely applied to simulate and predict underwater maneuvering motions of various vehicles for a long time, playing a pivotal role in evaluating underwater maneuvering performance and analyzing motion characteristics of vehicles [,,,].
The most authoritative simulation mathematical model for predicting underwater maneuvering motions of vehicles is the Gertler equation proposed by the U.S. Naval Ship Research and Design Center in 1967. Its hydrodynamic forces are characterized by Taylor series expansion, while rudder forces are described by a first-order linear formulation, making it suitable for simulation predictions under conventional small angle-of-attack maneuvering scenarios []. Considering the prominent flow separation on the leeward side of underwater vehicles and severe asymmetric vortex shedding under large angle-of-attack conditions, rendering the continuity assumption invalid, the Taylor expansion fails to accurately characterize the complex hydrodynamic characteristics in such scenarios [,,,]. In 1979, the U.S. Naval Ship Research and Design Center proposed the revised Gertler equation [], which incorporates an integral term for cross-flow drag and a time term for vortex shedding. Thus, this revision enables its application to extremely large angle-of-attack motions, such as unpowered surfacing [,,]. With the exception of variations in the representation of hydrodynamic coefficients and the order of hydrodynamics (certain nonlinear and coupled hydrodynamic orders have reached six), the Russian simulation mathematical model [] is formally consistent with the American version. Furthermore, Russia characterizes rudder force using a nonlinear formulation of the third-order term.
For X-rudder vehicles, the prevailing approach is to adopt the framework of the Gertler equation and integrate X-rudder force predictions, formulating the four rudder forces of X-rudders with linear expressions to replace the yaw rudder and tail elevator terms in the original equation [,,,]. Existing experiments have demonstrated that this method exhibits satisfactory prediction accuracy for low-speed maneuvers with small rudder angles. However, in high-speed vertical plane maneuvers involving large rudder angles, the traditional first-order linear rudder force formulation fails to characterize the asymmetric features of X-rudder forces, leading to notable discrepancies between simulation predictions and model test results.
This study undertakes an in-depth analysis of the asymmetric characteristics in vertical plane maneuvers of X-rudder vehicles. Building on this analysis, an innovative hydrodynamic formulation based on rotational hydrodynamic transformation is proposed to accurately capture the asymmetric hydrodynamic behaviors during underwater vertical plane maneuvers. Subsequent simulations are conducted for vertical plane diving-surfacing maneuvers and rudder jam recovery maneuvers, employing the traditional Taylor expansion-based formulation and the new rotational hydrodynamic transformation-based formulation in sequence, with results compared against self-propelled model test data []. The test results validate the presence of asymmetric characteristics in X-rudder vertical plane maneuvers, which become increasingly pronounced with higher speeds. The new formulation effectively reflects this feature, demonstrating excellent agreement with test results, whereas the traditional formulation, owing to its failure to account for this asymmetry, yields substantial deviations [,].
3. Mathematical Modeling of Vertical Maneuvering Motion of X-Rudder Underwater Vehicle Based on Rotational Hydrodynamic Transformation Expression
This section mainly introduces the new mathematical expressions of the X-rudder vehicle based on the transformation of rotational hydrodynamic forces. Section 3.1 introduces the research object of this paper, and gives the main dimension parameters and coordinate system definition. Section 3.2 introduces the hydrodynamic transformation expression of the coupling between the rudder angle and the angular velocity of the vehicle. Section 3.3 gives the hydrodynamic transformation expression of the coupling between the angle of attack and the angular velocity of the vehicle.
3.1. Coordinate System
This article’s study object is a navigation vehicle with an X-shaped, completely dynamic rudder that has a total length of 6.9 m and an underwater displacement of 2.0 tons. It is made up of a main body, a horizontal rudder at the bow, an X-shaped rudder at the tail, and a propeller.
This article describes the movements of the navigating body using a fixed coordinate system (E-ξηζ) and a ship accompanying coordinate system (O-xyz). The origin E is situated at a certain place on the sea level, and the coordinate system (E-ξηζ) is fixed to the Earth. The primary heading of the navigation vehicle is the positive direction of the ξ axis, and the E-ξη plane is situated at sea level. Perpendicular to the primary heading downward, the ξ axis has a positive direction, and the right-hand system is used to establish this direction. With O situated in the underwater vehicle’s floating center and the O-xz plane situated in its longitudinal section, the (O-xyz) coordinate system is fixedly attached to the underwater vehicle. The right-hand system determines that the y-axis is positive, the z-axis is positive when pointing downhill, and the x-axis is in line with the vehicle’s baseline and points positively towards the head of the vehicle. Figure 4 illustrates the positive directions of the coordinate axes, angles, velocities, forces, and moments in the O-xyz system as well as the link between the two coordinate systems.

      
    
    Figure 4.
      Diagram of coordinate system.
  
Figure 5 illustrates how the X-rudder angle is defined. They are rudder 1# in the upper right corner, rudder 2# in the upper left corner, rudder 3# in the lower left corner, and rudder 4# in the lower right corner when viewed from the tail to the head. Turning the X-rudder produces a hydrodynamic force that is positive in the vertical direction and negative in the opposite direction. It is defined that the vertical component of the hydrodynamic force generated by the forward horizontal rudder after steering is positive when upward, and negative otherwise.
      
    
    Figure 5.
      Definition of X-rudder angle symbol.
  
3.2. Hydrodynamic Transformation Formulation for Rudder Force Correlation
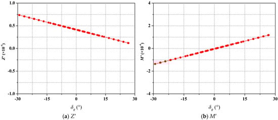
Using the rudder 1# as an example, the hydrodynamic force of varying rudder angle and angular velocity of the navigating body were determined using the CFD numerical prediction method. The dimensionless angular velocity range is −0.6~0.6, while the rudder angle range is −20~20°. Figure 6 displays the numerical calculation result curve.
      
    
    Figure 6.
      Hydrodynamic coefficients of underwater vehicle under various values of rudder angle and variable angular velocity (rudder 1#).
  
The coupled hydrodynamic force depicted in Figure 6 can be described as the changes in local rudder angle Z′(δR1), M′(δR1), and rudder angle Z′(δ1), M′(δ1) (as shown in Figure 7 and Figure 8) using the transformation expression of formulas (3) to (4). Since the data clearly demonstrate a linear relationship between Z′(δ1), M′(δ1), and Z′(δ1), M′(δ1), linear regression can be carried out using the least squares approach. The reason why linear fitting is adopted in this paper is mainly that the shape presented by the hydrodynamic curve has good linearity. The hydrodynamic forces involved in the mathematical model of maneuvering motion all refer to the overall hydrodynamic forces received. How to regress the hydrodynamic coefficients depends on the characteristics of the hydrodynamic curve. If the hydrodynamic curve shows relatively significant linear characteristics, the linear fitting method can be used for fitting. Otherwise, it cannot be used.
      
    
    Figure 7.
      Hydrodynamic variation with local rudder angle (rudder 1#).
  
      
    
    Figure 8.
      Hydrodynamic variation with rudder angle (rudder 1#).
  
The coupled hydrodynamic forces of the 2# to 4# rudders in terms of angle and angular velocity are precisely the same as those of the 1# rudder since their parameters and axial positions are identical to those of the first rudder. In order to obtain the changes Z′(δR2~4), M′ (δR2~4) related to the local rudder angle and the changes Z′(δR2~4), M′ (δR2~4) related to the rudder angle, as illustrated in Figure 9 and Figure 10, the regression process requires subtracting the hydrodynamic forces in the pure rotational state (with a rudder angle of 0). The least squares approach can also be used for linear regression.
      
    
    Figure 9.
      The variation of rotational hydrodynamic force for rudder No. 2 with respect to local rudder angle.
  
      
    
    Figure 10.
      Rotational hydrodynamic force variation of rudder No. 2 with rudder angle.
  
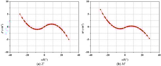
3.3. Expression of Coupling Hydrodynamic Transformation Between Angle of Attack and Angular Velocity of a Sailing Vehicle
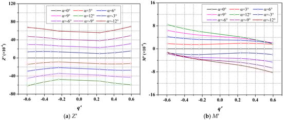
Figure 11 displays the hydrodynamic analysis of the underwater vehicle’s changeable angle of attack and angular velocity. The dimensionless angular velocity range was −0.6~0.6, while the angle of attack range was −12~12°. In the pure turning state, where the angle of attack was zero, the hydrodynamic analysis was subtracted.
      
    
    Figure 11.
      Variation with local angle of attack in rotational hydrodynamics (characterized with rotation speed).
  
Based on the transformation formulations in Equations (9) and (10), the coupled hydrodynamic forces depicted in Figure 11 are decomposed into their respective variations with respect to the local angle of attack ,  and rudder angle , , as illustrated in Figure 12 and Figure 13. The results demonstrate that both pairs ,  and ,  exhibit markedly nonlinear relationships. Thus, second-order term expressions are employed for regression fitting via the least squares method, yielding the derivatives of and with respect to , , , , specifically , , , , , , , and .
      
    
    Figure 12.
      Variation with local angle of attack in rotational hydrodynamics (characterized with local attack angle).
  
      
    
    Figure 13.
      The variation with angle of attack in rotating hydrodynamics.
  
3.4. Hydrodynamic Formulations for Vertical-Plane Maneuvering of X-Rudder Vehicles via Rotational Hydrodynamic Transformation
Hydrodynamic force expressions related to angle of attack and angular velocity:
      
        
      
      
      
      
    
      
        
      
      
      
      
    
Since the rudder force represents the variation caused by steering, its expression should be formulated as follows:
      
        
      
      
      
      
    
      
        
      
      
      
      
    
4. Simulation and Verification of Vertical Maneuvering Motion of X-Rudder Underwater Vehicle Based on Rotational Hydrodynamic Transformation Expression
The results of self-driving model testing were compared and validated with the simulation forecast of typical vertical maneuvering motion based on the newly developed model of vertical maneuvering motion of the X-rudder underwater vehicle. Simulated forecasting using Taylor expansion based on conventional mathematical models was also conducted for comparison’s sake. The experiment was carried out in the large sea-keeping/maneuverability water tank of our unit. The main dimension parameters of the water tank are as follows: length 170 m, width 47 m, water depth 6 m, and the water temperature during the experiment was 15 °C. As it is an indoor water tank and the edge of the tank is equipped with wave-absorbing banks, environmental disturbances affecting the test results were minimized, ensuring the still water environment required for the experiment. During the experiment, the model was positioned at 2.5 m, with distances from both the water surface and the tank bottom exceeding four times the diameter, so that the influences of the water surface and tank bottom could be ignored. The self-propelled model test used a high-precision gyroscope to measure the three-directional attitude angles and angular velocities of the vehicle (angle deviation less than ±0.1°, angular velocity deviation less than ±0.01°/s), a depth sensor to obtain the navigation depth of the vehicle (measurement range: 0~50 m, measurement accuracy 0.25%), a Doppler velocity log (DVL) to test the speed of the vehicle (measurement range 0~9 m/s, test accuracy 0.2%), and the rudder angle was obtained through real-time feedback from the built-in encoder of the rudder actuator (rudder actuator control accuracy ±0.1°, steering rate adjustable from 0~40°/s). A CRIO controller was used to execute the motion control, data acquisition, and storage of the self-propelled model test. The limitations of the self-propelled model test are as follows. Restricted to the time schedule, repeated tests were not carried out. However, based on the preliminary evaluation of the model processing accuracy and the measurement accuracy of testing equipment, the relative uncertainty of a single measurement in the self-propelled model test should be within 2%. Follow-up research in this regard will be strengthened.
4.1. Simulation Prediction and Experimental Verification of Vertical Surface Diving and Floating Maneuvering Motion
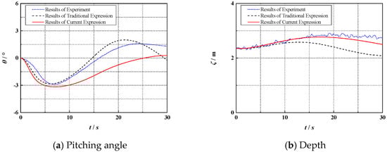
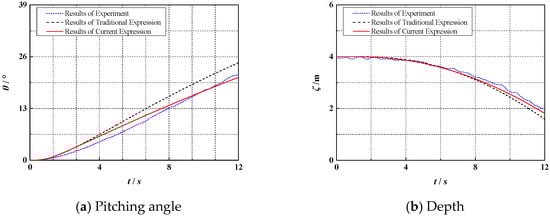
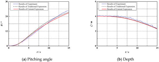
Both novel and conventional mathematical models were used to simulate and forecast two different kinds of underwater maneuvering conditions: 1.5 m/s, X-rudder with four rudders operating at 25° and 3.0 m/s, and X-rudder with four rudders operating at 10°. Figure 14 and Figure 15 display the simulation’s longitudinal inclination and depth time history curves.
      
    
    Figure 14.
      Comparison between simulation and experimental in submerged and floating maneuvering (U = 1.5 m/s, δi = −25°).
  
      
    
    Figure 15.
      Comparison between simulation and experimental in submerged and floating maneuvering (U = 3.0 m/s, δi = −10°).
  
Seen in Table 1 and Table 2, The new model, based on rotational hydrodynamic transformation, has a prediction accuracy of within 7%, demonstrating the effectiveness of the new model’s prediction results, according to a comparison and analysis of the extreme values of longitudinal inclination and depth obtained from the new model, Traditional Expression, and experiments. The Traditional Expression’s prediction deviation is essentially within 5% at a speed of 1.5 m/s, but at a speed of 3.0 m/s, the deviation reaches 15%~20%, indicating that the Traditional Expression has good prediction results at low speeds but has a larger prediction deviation at high speeds.
       
    
    Table 1.
    Comparison between simulation and experiment in submersible and floating maneuvers (U = 1.5 m/s, δi = −25°).
  
       
    
    Table 2.
    Comparison between simulation and experiment in submersible and floating maneuvers (U = 3.0 m/s, δi = −10°).
  
4.2. Simulation Prediction and Experimental Verification of Rudder Jamming Retrieval Maneuvering Motion
The head horizontal rudder and the third and fourth X-rudders are utilized for recovery while the underwater navigation vehicle is traveling at 1.5 m/s, with two rudder jamming conditions of 20° and 3.0 m/s for the 1# and 2# rudder jamming, and 10° for the 1# and 2# rudder jamming. The head horizontal rudder is adaptively regulated, and the 3# and 4# rudders function in reverse with the same rudder angle. Both novel and conventional mathematical models were used in our simulation forecasting, and Figure 16, Figure 17, Figure 18 and Figure 19 display the longitudinal inclination and depth time history curves that were produced by the simulation.

      
    
    Figure 16.
      Rudder jamming retrieval simulation forecast (U = 1.5 m/s, δ1,2 = 20°).
  
      
    
    Figure 17.
      Rudder jamming retrieval simulation forecast (U = 3.0 m/s, δ1,2 = 10°).
  

      
    
    Figure 18.
      Rudder jamming retrieval simulation forecast (U = 1.5 m/s, δ1,2 = 10°).
  
      
    
    Figure 19.
      Rudder jamming retrieval simulation forecast (U = 3.0 m/s, δ1,2 = 20°).
  
By comparing the results of the rudder jam recovery tests at 1.5 m/s and 3.0 m/s, it can be seen that the vertical plane maneuvering motion of the X-rudder vehicle has significant asymmetric characteristics. Even if the No. 3 and No. 4 rudders are operated in the opposite direction with the same rudder angle and the bow horizontal rudder is fully operated, it is difficult to balance the rudder force of the No. 1 and No. 2 rudders. The longitudinal inclination shows a significant motion phenomenon of “easy to bow down but difficult to raise the head”, and with the increase of the navigation speed, the asymmetric characteristics become more obvious.
The maximum pitching angle predicted by the old model at a speed of 1.5 m/s and 20° for the 1# and 2# rudder clamps is in good agreement with the experimental results, according to a comparison and analysis of the new model, Traditional Expression, and experimental results. The over-depth deviation is more than 50%, and the depth and head horizontal rudder time history curves deviate greatly from the experimental findings. Overall, the new model’s predictions for the pitching angle, depth, and head horizontal rudder time history curve correspond well with the experiment; the difference between the pitching angle and super depth is less than 10%, which is better than the results of the conventional model.
The pitching angle, depth, and first horizontal rudder time history curve predicted using Traditional Expressions show significant deviations from the experiment when the rudder jamming angle of 1# and 2# reaches 10° (3.0 m/s). Additionally, the maximum pitching angle deviates from the super depth by more than 30% to 50%. Overall, the prediction results from the new model are much better than those from the conventional model. The pitching angle, depth, and head horizontal rudder curve all match well with the experiment, and the variance between the pitching angle and super depth is within 10%.
Furthermore, it is evident from comparing the outcomes of the rudder jamming retrieval tests at 1.5 and 3.0 m/s that the X-rudder underwater vehicle exhibits a notable asymmetrical feature in its vertical maneuvering motion. Additionally, the pitch angle reflects the “easy to bow but difficult to raise” motion phenomenon, which intensifies with increasing speed.
5. Conclusions
In order to extract the asymmetric characteristics of rudder force and rotational hydrodynamic force, this article proposes a hydrodynamic expression method based on the transformation of rotational hydrodynamic force, performs a thorough analysis and investigation of the local flow characteristics of the tail attachment in the vertical plane maneuvering of the X-rudder underwater vehicle, and builds a new model that can accurately represent the asymmetric characteristics of hydrodynamic force in the vertical plane maneuvering of the X-rudder underwater vehicle.
The vertical surface dive and rudder jamming retrieval maneuvering actions are then the main subject of this study, which simulates and predicts using both novel and conventional models based on Taylor expansion. The outcomes are contrasted with those of tests of self-driving models. The findings demonstrate that the X-rudder undersea vehicle’s asymmetrical features during vertical plane maneuvering have been experimentally verified and that these features intensify with speed. Overall, the new model well describes the asymmetric features of the vertical maneuvering motion of the X-rudder underwater vehicle and fits well with the experimental results. The depth and horizontal rudder angle changes at the bow of the classic model deviate significantly from the experimental results, and the discrepancy progressively grows as speed increases.
The authors conceived the idea of revising the original model after learning that during the high-speed large rudder jam tests conducted by relevant institutions, the test results showed significant discrepancies with the simulation predictions from the traditional model based on Taylor expansion, and the test results were more hazardous in the depth direction. As shown in Table 3 and Table 4 of the main text, the depth predicted by the new model is nearly 50% larger than that of the traditional model, which is consistent with the results of the self-propelled model test. In other words, when the traditional model is used for prediction, it cannot reflect the risks in the actual navigation process, while the new model not only improves the prediction accuracy but also helps to timely identify the hazards in the depth direction, thereby enhancing the safe navigation capability of the vehicle. In addition, the more detailed information concerning the difference between our expression and the existing expressions can be seen in Appendix B.
       
    
    Table 3.
    Simulation prediction and experimental comparison of rudder jamming maneuvering (U = 1.5 m/s, δ1,2 = 20°).
  
       
    
    Table 4.
    Simulation prediction and experimental comparison of rudder jamming maneuvering (U = 3.0 m/s, δ1,2 = 10°).
  
Author Contributions
Conceptualization, Y.L. (Yinghua Li) and Z.P.; methodology, Y.L. (Yinghua Li); software, Y.L. (Yongcheng Li); validation, Y.L. (Yinghua Li) and Z.P.; formal analysis, Y.L. (Yongcheng Li); investigation, Y.L. (Yongcheng Li) and M.Z.; resources, C.S. and M.R.; data curation, Y.L. (Yongcheng Li), Z.P. and M.Z.; writing—original draft preparation, Y.L.; writing—review and editing, Y.L. (Yinghua Li) and C.S.; supervision, Y.L. (Yongcheng Li) and Z.P.; project administration, C.S.; funding acquisition, C.S. All authors have read and agreed to the published version of the manuscript.
Funding
This research was funded by the Natural Science Foundation of China (grant number 52071131).
Data Availability Statement
Data will be available upon the reasonable request from the corresponding author.
Conflicts of Interest
The authors declare no conflicts of interest.
Appendix A. Analysis of the Flow Around the Rear Part of the Underwater Vehicle
In this part, we would like to provide more information concerning the flow around the rear part of the underwater vehicle. When the Coriolis force during the rotation of the fluid medium is not considered, the effect of hydrodynamic force during rotation can be viewed from the perspective of relative motion.
In reality, the water medium is stationary (theoretically, the Coriolis force is zero, so there is no need to consider it), and the vehicle moves in a circular motion relative to the water medium. When viewing this problem from the perspective of relative motion, it can be simplified as the vehicle being stationary, and the water medium moving in a circular motion relative to the vehicle. At this time, rotational flow occurs locally at both the front and rear of the vehicle.
This method of solving rotational hydrodynamic forces using the perspective of relative motion is widely applied in CFD. For example, Figure A1 and Figure A2 adopt the moving reference frame (MRF) method in STAR-CCM+ to solve the flow characteristics of the surrounding water around Suboff in a relatively static environment based on the concept of relative motion. It can be seen from the figures that there are significant rotational water flows at both the front and rear of Suboff.
      
    
    Figure A1.
      Schematic diagram of the flow pattern at the tail of the vehicle when the drift angle is 12°.
  
      
    
    Figure A2.
      Schematic diagram of the flow pattern at the tail of the vehicle when the drift angle is 0°.
  
In addition, the reason why this paper proposes a new hydrodynamic expression based on tail local flow correction is as follows: On the one hand, when a previous unit conducted a rudder lock test on an X-rudder vehicle, the test results showed a large discrepancy with the simulation results of the traditional mathematical model based on Taylor expansion, and the cause has not been found so far. After learning this news, the authors of this paper analyzed, refined, and derived, proposing the view that hydrodynamic forces exhibit asymmetric characteristics during the rotation of the X-rudder vehicle. This phenomenon was reproduced using a vehicle self-developed by the unit. Subsequently, through in-depth analysis of the traditional mathematical model, the authors found that because the traditional model places the coordinate origin representing hydrodynamic forces at the center of gravity (or buoyancy), it is difficult to characterize the asymmetric characteristics of hydrodynamic forces during the rotation of the X-rudder vehicle.
On the other hand, the authors of this paper work in the Circular Arm Water Tank Laboratory of China Ship Scientific Research Center, and have long been engaged in research on rotational hydrodynamic forces and underwater maneuverability simulation and prediction. Through years of research achievements and numerical calculations of hydrodynamic forces with variable angle of attack (drift angle), variable angular velocity, variable rudder angle and variable angular velocity by means of CFD, it is found that during the rotation of the vehicle, the local angle of attack (local rudder angle) is generated at the head and tail due to the action of rotational water flow, which is the main cause of rotational hydrodynamic forces. According to the authors’ years of experience in rotational hydrodynamic research, a small number of vortices in the tail region will not affect the linearity of the overall hydrodynamic forces, so the tail region is regarded as rotational water flow.
Considering that the mechanism of rudder force generation is that the angle between the oncoming flow and the rudder surface causes the rudder surface to generate lift force F, the mechanism of vertical force generation is that there is an angle between the oncoming flow and the central axis of the vehicle. Inspired by this, this paper defines the angles between the local rotational water flow at the tail and the rudder surface, as well as between the local rotational water flow and the central axis of the vehicle as the local angle of attack and local rudder angle, and accordingly establishes a new expression based on coordinate transformation of rotational hydrodynamic forces.
Appendix B. Comparison Between Our Expression and Existing Expressions
In terms of navigation areas, vehicles can be divided into two major categories: surface ships and underwater vehicles (such as UUVs). The differences in navigation areas and environments lead to significant design variations, giving rise to two major categories of mathematical models.
For surface ships, due to their rudder-behind-propeller layout and mainly four degrees of freedom, the MMG model is used for maneuvering motion prediction. The hydrodynamic forces experienced during ship navigation are decomposed into three categories: hull forces, propeller thrust, and rudder forces. Among them, hull hydrodynamic forces are still expressed using Taylor expansion. Rudder forces are characterized by the normal force on the rudder surface, which is then decomposed into axial and lateral forces in the hull coordinate system. Meanwhile, combined with the axial position of the rudder axis relative to the hull coordinate origin, the yaw moment of the rudder force is obtained. Since rudder forces are significantly affected by the propeller, MMG fully accounts for the interference of the hull on the rudder and the propeller on the rudder—especially the non-negligible interference of the propeller on the rudder—when characterizing rudder forces.
For underwater vehicles, due to their rudder-ahead-of-propeller layout and six degrees of freedom, there is no interference from the propeller on the rudder as in surface ships. As for the interference of the vehicle’s main body on the rudder, it can be characterized by the form of overall force increments from rudder operation. Since the curve of hydrodynamic increments from rudder angle changes is linear, a first-order linear expression is used to characterize rudder forces, forming the classic Gertler equation, which is the traditional model mentioned in this paper.
Compared with surface ships, underwater vehicles have an unpowered surfacing limit condition where the axial velocity is zero and the vertical velocity is large. At this time, the oncoming flow angle of attack exceeds 30°, reaching up to 90°. The overall hydrodynamic curve acting on all appendages of the vehicle is no longer linear and no longer satisfies the continuity assumption, making the hydrodynamic expression based on Taylor expansion theoretically inapplicable. Therefore, in 1979, Gertler proposed a revised Gertler equation, which no longer fully characterizes forces as a whole. For hydrodynamic forces in regions with obvious separation in the wake section, they are expressed in integral form, and a time term caused by cross-flow drag is added to represent the periodic off-plane forces in large angle-of-attack conditions.
Because the integral-form hydrodynamic expression is difficult to obtain through experiments, the application scope of the revised Gertler equation is narrower than the classic version. With the rapid development of computer technology, complex hydrodynamic change processes under large angle-of-attack conditions can be obtained through CFD methods without modeling, laying the foundation for the “CFD self-propelled model” technology in underwater vehicle maneuverability.
In terms of small angle-of-attack maneuvering motion prediction, Russia’s mathematical modeling principle is consistent with the Gertler equation, both characterizing various hydrodynamic coefficients in maneuvering through Taylor expansion, but differing in coordinate systems and hydrodynamic expression forms. For large angle-of-attack conditions, Russia abandons the Taylor expansion and does not use integral or cross-flow drag forms, but instead uses trigonometric functions to characterize the large-deformation features with many inflection points and significant distortion in the hydrodynamic curve.
Based on the above analysis, it can be seen that for small angle-of-attack vertical plane maneuvering of underwater vehicles, the Taylor expansion-based hydrodynamic expression is unanimously recognized by the United States and Russia, with significant deviations only appearing in large angle-of-attack hydrodynamic expressions. The vertical plane maneuvering conditions involved in this paper have small angles of attack (up to 6°), and the hydrodynamic curve has good linearity. Therefore, the traditional model based on Taylor expansion is highly representative.
However, our current expression does have limitations. The newly proposed expression is only applicable to maneuvering prediction under small angles of attack, and whether it is applicable under large angles of attack (>30°) has not been studied yet. Follow-up research in this regard will be strengthened.
References
- Pan, Y.; Zhang, H.; Zhou, Q. Numerical prediction of submarine hydrodynamic coefficients using CFD simulation. J. Hydrodyn. 2012, 24, 840–847. [Google Scholar] [CrossRef]
 - Jeon, M.; Yoon, H.; Park, J. Analysis of maneuverability of X-rudder submarine considering environmental disturbance and jamming situations. Appl. Ocean Res. 2022, 121, 103079. [Google Scholar] [CrossRef]
 - Dubbioso, G.; Broglia, R.; Zaghi, S. CFD analysis of turning abilities of a submarine model. Ocean Eng. 2017, 129, 459–479. [Google Scholar] [CrossRef]
 - Uzun, D.; Sezen, S.; Ozyurt, R. A CFD study: Influence of biofouling on a full-scale submarine. Appl. Ocean Res. 2021, 109, 102561. [Google Scholar] [CrossRef]
 - Gertler, M.; Hagen, G. Standard Equations of Motion for Submarine Simulation; AD-653861; Defense Technical Information Center: Fort Belvoir, VA, USA, 1967. [Google Scholar]
 - Shang, J.; Li, W.; Huang, Y. Design and simulation of X-rudder control allocator for Submarine. Chin. J. Ship Res. 2020, 15, 137–142. [Google Scholar]
 - Khan, S.; Fatepurwala, M.; Pathan, K.N. CFD analysis of human powered submarine to minimize drag. Int. J. Mech. Prod. Eng. Res. Dev. 2018, 8. [Google Scholar]
 - Ke, L.; Ye, J.; Liang, Q. Experimental Study on the Flow Field, Force, and Moment Measurements of Submarines with Different Stern Control Surfaces. J. Mar. Sci. Eng. 2023, 11, 2091. [Google Scholar] [CrossRef]
 - MacLin, G.; Hammond, M.; Cichella, V. Modeling, simulation and maneuvering control of a generic submarine. Control Eng. Pract. 2024, 144, 105792. [Google Scholar] [CrossRef]
 - Feldman, J. DTNSRDC Revised Standard Submarine Equations of Motion; DTNSRDC Report SPD-0393-09; 1979, 16, 126–131. Available online: https://apps.dtic.mil/sti/tr/pdf/ADA071804.pdf (accessed on 28 June 2025).
 - Carrica, P.; Kerkvliet, M.; Quadvlieg, F. CFD simulations and experiments of a submarine in turn, zigzag, and surfacing maneuvers. J. Ship Res. 2021, 65, 293–308. [Google Scholar] [CrossRef]
 - Carreño, J.; Mora, J.D.; Pérez, F.L. Mathematical model for maneuverability of a riverine support patrol vessel with a pump-jet propulsion system. Ocean Eng. 2013, 63, 96–104. [Google Scholar] [CrossRef]
 - Liu, D.; Gao, X.; Huo, C. Motion planning for unmanned surface vehicle based on a maneuverability mathematical model. Ocean Eng. 2022, 265, 112507. [Google Scholar] [CrossRef]
 - Ni, G.; Lin, J.; Tang, C.; Qu, D. Applied study of submarine’s standard movement equation of the revise. Ship Sci. Tech. 2013, 35, 41–44. [Google Scholar]
 - Dreyer, J.J.; Boger, D.A. Validation of a free-swimming, guided multibody URANS simulation Tools. In Proceedings of the 28rd Symposium on Naval Hydrodynamics 2010, Pasadena, CA, USA, 12–17 September 2010. [Google Scholar]
 - Martin, J.; Michael, T.; Carrica, P. submarine maneuvers using direct overset simulation of appendages and propeller and coupled CFD/potential flow propeller solver. J. Ship Res. 2015, 59, 31–48. [Google Scholar] [CrossRef]
 - Kiciński, R.; Jurczak, W. Submarine resistance force characteristics determination after modification of depth rudder system. Adv. Sci. Technol. Res. J. 2021, 15, 1–9. [Google Scholar] [CrossRef] [PubMed]
 - Cho, Y.; Seok, W.; Cheon, K.H. Maneuvering simulation of an X-plane submarine using computational fluid dynamics. Int. J. Nav. Arch. Ocean Eng. 2020, 12, 843–855. [Google Scholar] [CrossRef]
 - Yuan, J.; She, Y.; Zhang, Y. Research on L1 Adaptive Control of Autonomous Underwater Vehicles with X-Rudder. J. Mar. Sci. Eng. 2023, 11, 1946. [Google Scholar] [CrossRef]
 - Kun, H.; Yi, X. X-rudder Submarines Mathematical Model of Space Motion Simulation. Comput. Simul. 2005, 22, 50–52. [Google Scholar]
 - Moonesun, M.; Korol, Y.; Brazhko, A. CFD analysis on the equations of submarine stern shape. J. Taiwan. Soc. Nav. Arch. Mar. Eng. 2015, 34, 21–32. [Google Scholar]
 
Disclaimer/Publisher’s Note: The statements, opinions and data contained in all publications are solely those of the individual author(s) and contributor(s) and not of MDPI and/or the editor(s). MDPI and/or the editor(s) disclaim responsibility for any injury to people or property resulting from any ideas, methods, instructions or products referred to in the content.  | 
© 2025 by the authors. Licensee MDPI, Basel, Switzerland. This article is an open access article distributed under the terms and conditions of the Creative Commons Attribution (CC BY) license (https://creativecommons.org/licenses/by/4.0/).