Sea Ice Crack Characteristics and Ductile–Brittle Transition Mechanism Under Low Velocity Impact
Abstract
1. Introduction
2. Materials and Methods
2.1. Specimen Preparation
2.2. Test Scheme
2.3. Test Method
2.3.1. Crack Quantification Method
- Crack Enhancement
- 2.
- Identify region deletion rules
- 3.
- Hough transform method
2.3.2. Numerical Simulation
- 1.
- Geometric models and meshes
- 2.
- Constitutive parameter calibration
- 3.
- Feasibility verification
3. Results
3.1. Effect of Impact on Crack Angle
3.2. Effect of Impact on Crack Length
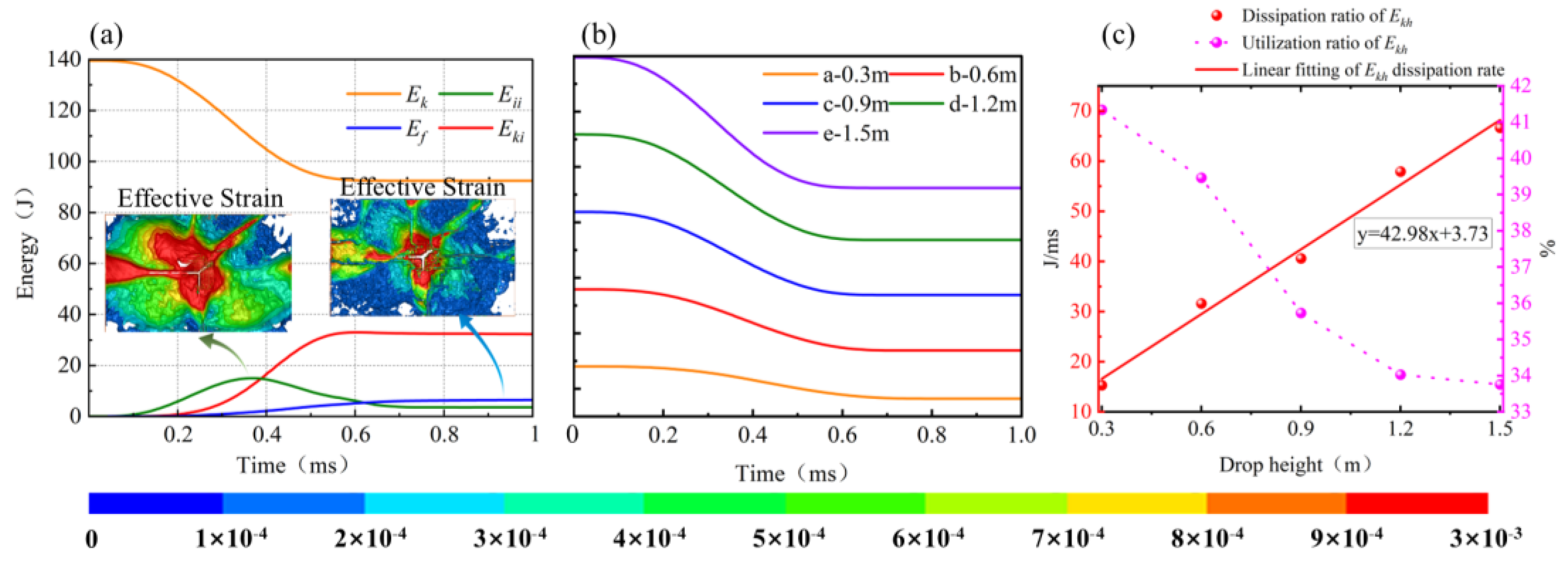
3.3. Analysis of Kinetic Energy Dissipation
3.4. Propagation Law of Crack
4. Discussion
5. Conclusions
Author Contributions
Funding
Data Availability Statement
Conflicts of Interest
Nomenclature
| Nomenclature | Ef | The fracture energy (J) | |
| Ixy | derivative of scale space | gf | Fracture energy of unit volume crack (J) |
| G | Gaussian function | Veff | Effective damage volume (m3) |
| KI | The strength factor of mode I crack | a | Crack length (cm) |
| ρ0 | Material density (kg/m3) | Δt | Time |
| G | Elastic modulus (GPa) | tv | Hough threshold |
| Y | Yield stress (MPa) | Greek symbols | |
| P | Plastic hardening modulus (GPa) | ψ | Space scale factor |
| B | Buik modulus (GPa) | ꞵ | The rate parameter |
| Ekh | The kinetic energy dissipated of impact hammer (J) | η | Kinetic energy conversion rate |
| Eki | The kinetic energy obtained of ice plate (J) | σ | Stress |
| Eii | The internal energy of the ice plate (J) | ε | Strain |
References
- Zhang, X.L.; Zhang, Z.H.; Xu, Z.J.; Li, G.; Sun, Q.; Hou, X.J. Sea ice disasters and their impacts since 2000 in Laizhou Bay of Bohai Sea. China Nat. Hazards 2013, 65, 27–40. [Google Scholar] [CrossRef]
- Schulson, E.M.; Nickolayev, O.Y. Failure of columnar saline ice under biaxial compression: Failure envelopes and the brittle-to-ductile transition. J. Geophys. Res. Atmos. 1995, 1002, 22383–22400. [Google Scholar] [CrossRef]
- Jang, H.-S.; Hwang, S.; Yoon, J.; Lee, J.H. Numerical Analysis of Ice–Structure Impact: Validating Material Models and Yield Criteria for Prediction of Impact Pressure. J. Mar. Sci. Eng. 2024, 12, 229. [Google Scholar] [CrossRef]
- Dong, G.; Lai, R.; Dai, Y.; Guo, Z.; Wu, M. Experimental Study of the Mechanical Properties of River Ice in the Harbin Section of the Songhua River. J. Cold Reg. Eng. 2025, 39, 2. [Google Scholar] [CrossRef]
- Chen, X.; Ji, S.; Wang, A. Comparative study of the brittle-ductile transition between level ice and rafted ice based on uniaxial compression experiments. Int. J. Mater. Struct. Integr. 2021, 14, 255. [Google Scholar] [CrossRef]
- Epifanov, V.P. Rupture and dynamic hardness of ice. Dokl. Physics. 2004, 49, 86–89. [Google Scholar] [CrossRef]
- Banik, A.; Zhang, C.; Khan, M.H.; Wilson, M.; Tan, K.T. Low-velocity ice impact response and damage phenomena on steel and CFRP sandwich composite. Int. J. Impact Eng. 2022, 162, 104134. [Google Scholar] [CrossRef]
- Combescure, A.; Chuzel-Marmot, Y.; Fabis, J. Experimental study of high-velocity impact and fracture of ice. Int. J. Solids Struct. 2011, 48, 2779–2790. [Google Scholar] [CrossRef]
- Dong, J.; Li, Z.; Lu, P.; Jia, Q.; Wang, G.; Li, G. Design ice load for piles subjected to ice impact. Cold Reg. Sci. Technol. 2012, 71, 34–43. [Google Scholar] [CrossRef]
- Matskevitch, D.G. Eccentric impact of an ice feature: Linearized model. Cold Reg. Sci. Technol. 1997, 25, 159–171. [Google Scholar] [CrossRef]
- Kennedy, J.B.; Iyengar, K.J. Rigid-plastic analysis of floating ice sheets under impact loads. Can. J. Civ. Eng. 2011, 8, 409–415. [Google Scholar] [CrossRef]
- Müller, F.; Böhm, A.; Herrnring, H.; von Bock und Polach, R.; Ehlers, S. Influence of the ice shape on ice-structure impact loads. Cold Reg. Sci. Technol. 2024, 221, 104175. [Google Scholar] [CrossRef]
- Zhang, Y.; Liu, R.; Yuan, L.; Li, J.; Jing, C.; Han, D. Ice breaking by low-velocity impact with a rigid sphere. Int. J. Impact Eng. 2023, 182, 104786. [Google Scholar] [CrossRef]
- Yue, J.; Huang, C.; Wu, X. Low-velocity penetration behavior of ice by slender steel projectiles with different noses. Int. J. Impact Eng. 2025, 206, 105438. [Google Scholar] [CrossRef]
- Batto, R.A.; Schulson, E.M. On the ductile-to-brittle transition in ice under compression. Acta Met. Mater. 1993, 41, 2219–2225. [Google Scholar] [CrossRef]
- Wang, C.; Han, D.; Wang, Q.; Wang, Y.; Zhang, Y.; Jing, C. Study of elastoplastic deformation and crack evolution mechanism of single-crystal ice during uniaxial compression using 3D digital image correlation. Eng. Fract. Mech. 2023, 293, 109712. [Google Scholar] [CrossRef]
- Li, Z.J.; Zhang, L.M.; Lu, P.; Leppäranta, M.; Li, G.W. Experimental study on the effect of porosity on the uniaxial compressive strength of sea ice in Bohai Sea. Sci. China Technol. Sci. 2011, 54, 2429–2436. [Google Scholar] [CrossRef]
- Yang, D.; Gao, S.; Feng, W.; Ding, S.; Li, J.; Jiao, H. Effect of prefabricated fractured rock dip angles on mechanical properties and failure modes under dynamic and static loads. Green Smart Min. Eng. 2025, 2, 184–195. [Google Scholar] [CrossRef]
- Rizzo, R.E.; Healy, D.; De Siena, L. Benefits of maximum likelihood estimators for fracture attribute analysis: Implications for permeability and up-scaling. J. Struct. Geol. 2017, 95, 17–31. [Google Scholar] [CrossRef]
- Lu, W.; Løset, S.; Shestov, A.; Lubbad, R. Design of a field test for measuring the fracture toughness of sea ice. In Proceedings of the 23rd International Conference on Port and Ocean Engineering Under Arctic Conditions (POAC ‘15), Trondheim, Norway, 14–18 June 2015. [Google Scholar]
- Yichi, Z.; Lv, W.; Xuedong, L. Defects Detection of Cold-roll Steel Surface Based on MATLAB. In Proceedings of the 2011 International Conference on Measuring Technology and Mechatronics Automation (ICMTMA), Shanghai, China, 6–7 January 2011; IEEE: New York, NY, USA, 2011. [Google Scholar] [CrossRef]
- Shaukat, F.; Raja, G.; Gooya, A.; Frangi, A.F. Fully automatic and accurate detection of lung nodules in CT images using a hybrid feature set. Med. Phys. 2017, 44, 3615–3629. [Google Scholar] [CrossRef]
- Kollem, S.; Reddy, K.R.; Rao, D.S. A novel diffusivity function-based image denoising for MRI medical images. Multimed. Tools Appl. 2023, 82, 32057–32089. [Google Scholar] [CrossRef]
- Tang, S.; Liu, J. Denoising Method for Microscopic Image of Caenorhabditis Elegans Based on Skeleton-pruning. In Proceedings of the 3rd International Conference on Computer Science and Application Engineering, Sanya, China, 22–24 October 2019. [Google Scholar] [CrossRef]
- Talab, A.M.A.; Huang, Z.; Xi, F.; HaiMing, L. Detection crack in image using Otsu method and multiple filtering in image processing techniques. Optik 2016, 127, 1030–1033. [Google Scholar] [CrossRef]
- Xie, D.H.; Lu, M.; Xie, Y.F.; Li, X. A fast threshold segmentation method for froth image base on the pixel distribution characteristic. PLoS ONE 2019, 14, e0210411. [Google Scholar] [CrossRef] [PubMed]
- Lin, Z.; Yu, H. The Pupil Location Based on the OTSU Method and Hough Transform. Procedia Environ. Sci. 2011, 8, 352–356. [Google Scholar] [CrossRef]
- Hamad, S.I. Comparative between the binary thresholding technique and the Otsu method for the people detection. Int. J. Comput. Technol. Sci. 2025, 2, 98–111. [Google Scholar] [CrossRef]
- Mathavan, S.; Vaheesan, K.; Kumar, A.; Chandrakumar, C.; Kamal, K.; Rahman, M.; Stonecliffe-Jones, M.; Kumar, A. Detection of pavement cracks using tiled fuzzy Hough transform. J. Electron. Imaging 2017, 26, 053008. [Google Scholar] [CrossRef]
- Reddy, P.V.G.D.P. Blood vessel extraction in fundus images using hessian eigenvalues and adaptive thresholding. Evol. Intell. 2020, 14, 577–582. [Google Scholar] [CrossRef]
- Cheng, Y.Y.; Liu, L.; Fu, X.M. Eigenvalue Blending for Projected Newton. Comput. Graph. Forum 2025, 44, e70027. [Google Scholar] [CrossRef]
- Yang, S.F.; Cheng, C.H. Fast computation of Hessian-based enhancement filters for medical images. Comput. Methods Programs Biomed. 2014, 116, 215–225. [Google Scholar] [CrossRef]
- Mukhopadhyay, P.; Chaudhuri, B.B. A survey of Hough Transform. Pattern Recognit. 2015, 48, 993–1010. [Google Scholar] [CrossRef]
- Cai, W.; Zhu, L.; Yu, T.X.; Li, Y. Numerical simulations for plate under ice impact based on a concrete constitutive ice model. Int. J. Impact Eng. 2020, 143, 103594. [Google Scholar] [CrossRef]
- Shi, C.; Hu, Z.; Ringsberg, J.; Luo, Y. Validation of a temperature-gradient-dependent elastic-plastic material model of ice with finite element simulations. Cold Reg. Sci. Technol. 2017, 133, 15–25. [Google Scholar] [CrossRef]
- Gogoladze, D.Z.; Bekker, A.T. Numerical Modeling of the Ice-Conical Structure Interaction Process Using Element Erosion Technique. IOP Conf. Ser. Earth Environ. Sci. 2022, 988, 052056. [Google Scholar] [CrossRef]
- Balandin, V.V. Numerical modeling of shock interaction of elastic cylinder with ice. Probl. Strength. Plast. 2017, 79, 93–103. [Google Scholar]
- Carney, K.S.; Benson, D.J.; Dubois, P.; Lee, L. A phenomenological high strain rate model with failure for ice. Int. J. Solids Struct. 2006, 43, 7820–7839. [Google Scholar] [CrossRef]
- Orlov, M.Y.; Orlova, Y.N. Deep penetration of low velocity metal penetrators into ice: Proceedings of the Institution of Mechanical Engineers, Part C. J. Mech. Eng. Sci. 2022, 236, 2949–2956. [Google Scholar] [CrossRef]
- Cangiani, A.; Manzini, G.; Russo, A.; Sukumar, N. Hourglass stabilization and the virtual element method. Int. J. Numer. Methods Eng. 2015, 102, 404–436. [Google Scholar] [CrossRef]
- LSTC. LS-DYNA User’s Manual, version 971 R5; Livermore Soft Technology Corp.: Livermore, CA, USA, 2011. [Google Scholar]
- Grinevich, D.V.; Buznik, V.M.; Nyzhnyi, G.A. Numerical simulation of ice fracture by compression using of the discrete element method. Mater. Phys. Mech. 2023, 51, 75–87. [Google Scholar] [CrossRef]
- Pook, L.P. Linear Elastic Fracture Mechanics for Engineers: Theory and Applications; WIT Press: Southampton, UK, 2000. [Google Scholar]
- Soderholm, K.J. Review of the fracture toughness approach. Dent. Mater. 2010, 26, e63–e77. [Google Scholar] [CrossRef]
- Zhang, Y.; Li, X.; Chen, W.; Wang, Q.; Han, D.; Hu, Y. Dynamic mixed mode I/II fracture toughness and failure behaviour of freshwater ice under impact loading. Theor. Appl. Fract. Mech. 2025, 135, 104769. [Google Scholar] [CrossRef]
- Zhang, Y.H.; Wang, Q.; Han, D.F.; Li, J.B.; Wang, C.Y. Investigation on the mixed mode fracture toughness of freshwater ice using the semi-circular bend method. Cold Reg. Sci. Technol. 2023, 205, 103718. [Google Scholar] [CrossRef]
- Myung, I.J. Tutorial on maximum likelihood estimation. J. Math. Psychol. 2003, 47, 90–100. [Google Scholar] [CrossRef]




















| Test Group | Specimen Number | Falling Height (m) | Impact Velocity (m/s) | Ice Sample Size (cm) |
|---|---|---|---|---|
| 1 | I-3.0-0.3 | 0.3 | 2.43 | 34 × 21.5 × 3 |
| 2 | I-4.5-0.3 | 0.3 | 2.43 | 34 × 21.5 × 4.5 |
| 3 | I-6.0-0.3 | 0.3 | 2.43 | 34 × 21.5 × 6 |
| 4 | I-3.0-0.6 | 0.6 | 3.43 | 34 × 21.5 × 3 |
| 5 | I-4.5-0.6 | 0.6 | 3.43 | 34 × 21.5 × 4.5 |
| 6 | I-6.0-0.6 | 0.6 | 3.43 | 34 × 21.5 × 6 |
| 7 | I-3.0-0.9 | 0.9 | 4.20 | 34 × 21.5 × 3 |
| 8 | I-4.5-0.9 | 0.9 | 4.20 | 34 × 21.5 × 4.5 |
| 9 | I-6.0-0.9 | 0.9 | 4.20 | 34 × 21.5 × 6 |
| 10 | I-3.0-1.2 | 1.2 | 4.85 | 34 × 21.5 × 3 |
| 11 | I-4.5-1.2 | 1.2 | 4.85 | 34 × 21.5 × 4.5 |
| 12 | I-6.0-1.2 | 1.2 | 4.85 | 34 × 21.5 × 6 |
| 13 | I-3.0-1.5 | 1.5 | 5.42 | 34 × 21.5 × 3 |
| 14 | I-4.5-1.5 | 1.5 | 5.42 | 34 × 21.5 × 4.5 |
| 15 | I-6.0-1.5 | 1.5 | 5.42 | 34 × 21.5 × 6 |
| λ1 | λ2 | Image Feature |
|---|---|---|
| −H | −H | Pinpoint-bright |
| +H | +H | Pinpoint-dark |
| L | −H | Linear-bright |
| L | +H | Linear-dark |
| ρ0 (kg/m3) | G (Gpa) | Y (Mpa) | P (Gpa) | B (Gpa) |
|---|---|---|---|---|
| 1020 | 2.2 | 2.12 | 4.26 | 1.96 |
| Specimen Number | ꞵ | Specimen Number | ꞵ | Specimen Number | ꞵ |
|---|---|---|---|---|---|
| I-3.0-0.3 | 0.0291 | I-4.5-0.3 | 0.0329 | I-6.0-0.3 | 0.0268 |
| I-3.0-0.6 | 0.0324 | I-4.5-0.6 | 0.0273 | I-6.0-0.6 | 0.0230 |
| I-3.0-0.9 | 0.0295 | I-4.5-0.9 | 0.0166 | I-6.0-0.9 | 0.0282 |
| I-3.0-1.2 | 0.0331 | I-4.5-1.2 | 0.0317 | I-6.0-1.2 | 0.0378 |
| I-3.0-1.5 | 0.0378 | I-4.5-1.5 | 0.0413 | I-6.0-1.5 | 0.0349 |
Disclaimer/Publisher’s Note: The statements, opinions and data contained in all publications are solely those of the individual author(s) and contributor(s) and not of MDPI and/or the editor(s). MDPI and/or the editor(s) disclaim responsibility for any injury to people or property resulting from any ideas, methods, instructions or products referred to in the content. |
© 2025 by the authors. Licensee MDPI, Basel, Switzerland. This article is an open access article distributed under the terms and conditions of the Creative Commons Attribution (CC BY) license (https://creativecommons.org/licenses/by/4.0/).
Share and Cite
Xu, Z.; Chang, H.; Ren, F.; Zhang, J.; Wang, X.; Liu, W.; Zhao, J. Sea Ice Crack Characteristics and Ductile–Brittle Transition Mechanism Under Low Velocity Impact. J. Mar. Sci. Eng. 2025, 13, 2259. https://doi.org/10.3390/jmse13122259
Xu Z, Chang H, Ren F, Zhang J, Wang X, Liu W, Zhao J. Sea Ice Crack Characteristics and Ductile–Brittle Transition Mechanism Under Low Velocity Impact. Journal of Marine Science and Engineering. 2025; 13(12):2259. https://doi.org/10.3390/jmse13122259
Chicago/Turabian StyleXu, Zhenyang, Hengrui Chang, Fuqiang Ren, Jiuyang Zhang, Xuesong Wang, Wantong Liu, and Jianyu Zhao. 2025. "Sea Ice Crack Characteristics and Ductile–Brittle Transition Mechanism Under Low Velocity Impact" Journal of Marine Science and Engineering 13, no. 12: 2259. https://doi.org/10.3390/jmse13122259
APA StyleXu, Z., Chang, H., Ren, F., Zhang, J., Wang, X., Liu, W., & Zhao, J. (2025). Sea Ice Crack Characteristics and Ductile–Brittle Transition Mechanism Under Low Velocity Impact. Journal of Marine Science and Engineering, 13(12), 2259. https://doi.org/10.3390/jmse13122259

