Numerical Investigation of Flow Field Characteristics Around a Monopile Foundation with Collar Protection
Abstract
1. Introduction
2. Methods
2.1. Simulation Scenarios
2.2. CFD Simulation Method and Theory
2.3. Numerical Setup
2.3.1. Computational Domain
2.3.2. Numerical Model and Boundary Conditions
2.3.3. Vorticity Calculation
2.3.4. Turbulence Intensity Calculation and Sampling Duration
2.4. Model Validation
- Downstream flow: The flow was highly turbulent, and although local deviations existed, the LES captured the overall trend with errors generally below 20%.
3. Results and Discussion
3.1. Flow Field Distribution Around the Monopile
3.1.1. Velocity Distribution Under Flat-Bed Conditions
3.1.2. Velocity Distribution Under Scour Equilibrium Conditions
3.2. Distribution of Time-Averaged Vortices
3.2.1. Vortex Distribution Under Flat-Bed Conditions
3.2.2. Vortex Distribution Under Scour Equilibrium Conditions
3.3. Turbulence Intensity Around the Monopile
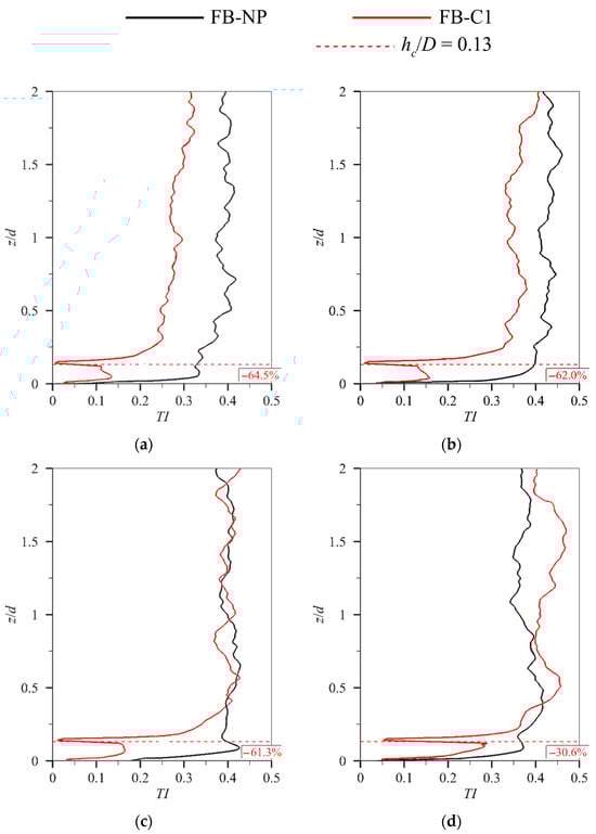
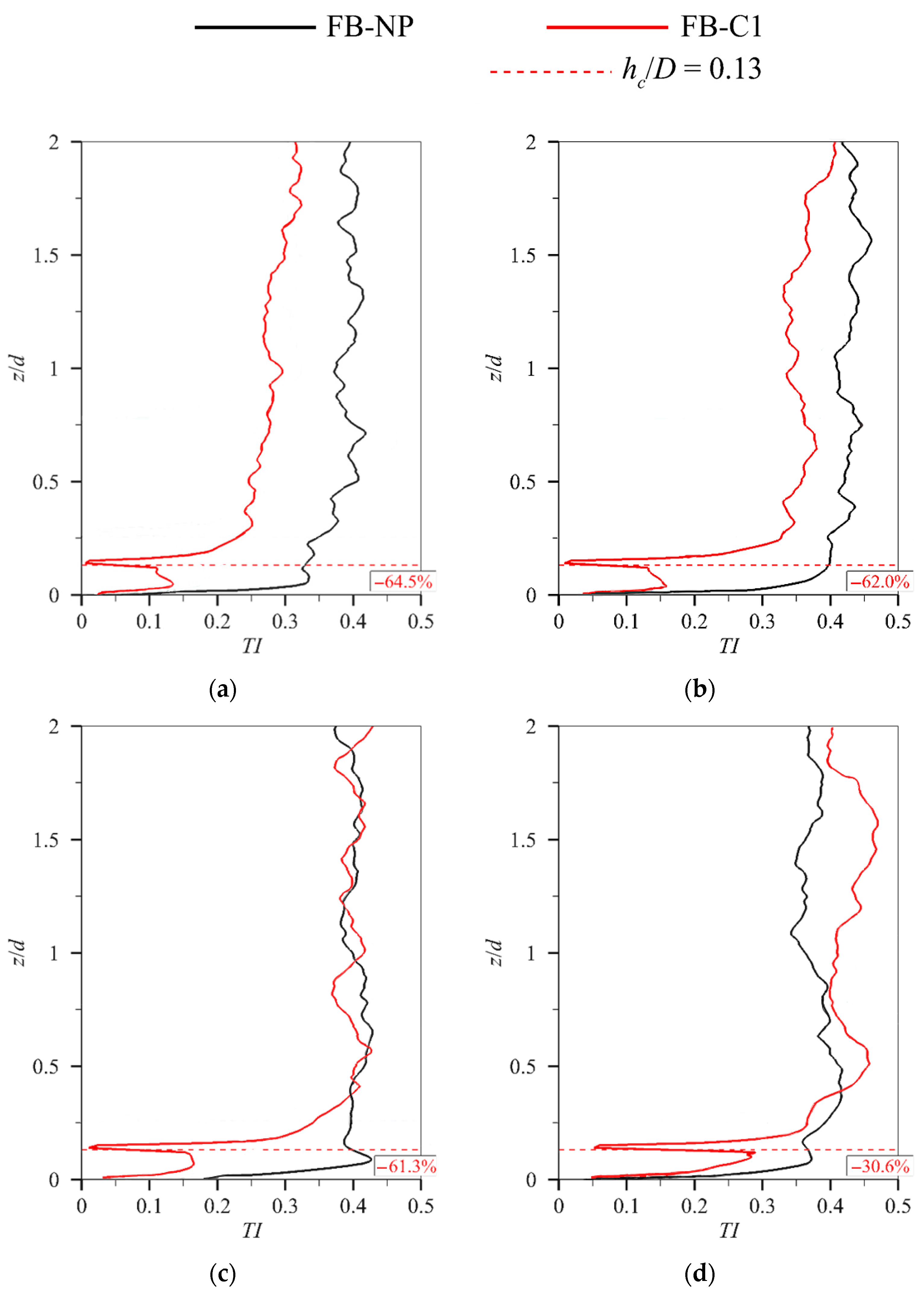
3.3.1. Distribution of Turbulence Intensity Under Flat-Bed Conditions
3.3.2. Distribution of Turbulence Intensity Under Scour Equilibrium Conditions
4. Conclusions
- The flat-bed results indicate that, compared with the unprotected case, the collar strongly suppresses flow beneath it, delaying scour initiation, inhibiting horseshoe vortices, and reducing turbulence. In this study, we further found that the suppression is stronger in the vertical direction than in the streamwise direction.
- When a scour pit forms, we conclude from our analysis that the collar functions through two mechanisms: flow suppression, which reduces flow intensity, and bed shielding, which isolates the bed from disturbance. Both effects weaken with increasing inflow velocity. Our results show that the collar markedly reduces pile-front acceleration and prevents downflow, while its partitioning effect also moderates pile-side flow, maintaining relatively stable velocities beneath the collar.
- Vortex analysis shows that, without protection, the scour pit contains a complex vortex system. This study finds that under collar protection, an energy-dissipating vortex forms beneath the collar, rotating opposite to the main vortex. It dissipates local kinetic energy, weakens the main vortex, and simplifies near-bed vortex structures, representing a primary mechanism for scour mitigation. As inflow velocity increases, both scour depth and the energy-dissipating vortex expand. These observations address features that are difficult to capture in physical model experiments.
- Finally, our results indicate that under collar protection, turbulence at the pile front and sides is substantially reduced, while the wake is relatively unaffected. As inflow velocity increases, the pile sides become the most turbulence-prone region; a 14% increase in inflow velocity leads to a 159% rise in turbulence intensity, highlighting that scour along the pile sides should be a primary focus when employing collar protection.
Author Contributions
Funding
Data Availability Statement
Conflicts of Interest
References
- Ben, B.; Emerson, C.; Ladwa, R.; Mullin, S.; Jayasurya, F.; Hutchinson, M.; Qiao, L.; Williams, R.; Han, W.; Liang, W.; et al. Global Wind Report 2025; Global Wind Energy Council: Brussels, Belgium, 2025. [Google Scholar]
- Zhang, B.M.; Shen, D.C.; Wei, J.M. Current status and development plan of wind energy utilization in China. Agric. Mach. 2001, 15–17. [Google Scholar]
- Yao, Z.; Melville, B.; Shamseldin, A.Y.; Wang, R.; Guan, D. New insights into local scour characteristics around vibrating monopiles under combined wave-current conditions. Ocean Eng. 2025, 315, 119812. [Google Scholar] [CrossRef]
- Guan, D.W.; Xie, Y.X.; Chiew, Y.M.; Ding, F.; Ferradosa, T.F.; Hong, J. Estimation of local scour around monopile foundations for offshore structures using machine learning models. Ocean Eng. 2024, 296, 116951. [Google Scholar] [CrossRef]
- Tang, Z.; Melville, B.; Singhal, N.; Shamseldin, A.; Zheng, J.H.; Guan, D.W.; Cheng, L. Countermeasures for local scour at offshore wind turbine monopile foundations: A review. Water Sci. Eng. 2022, 15, 15–28. [Google Scholar] [CrossRef]
- Tu, X.Y.; Wu, T.S.; Chen, R.L.; Wu, M.W. Application of riprap method in pier scour protection engineering. Guangdong Water Resour. Hydropower 2010, 2, 1–4. [Google Scholar]
- Bi, M.J.; Liu, J.C.; Su, R.; Wang, H.; Liu, S. Experimental study on scour characteristics and protective measures of monopile foundations on sandy coasts. South. Energy Constr. 2020, 7, 103–111. [Google Scholar]
- Cong, M.; Chen, L.Z.; Chen, B. Analysis of strength development in soft clay stabilized with cement-based stabilizer. Constr. Build. Mater. 2014, 71, 354–362. [Google Scholar] [CrossRef]
- Meng, H.; Guan, D.; Cheng, L.; Zhang, X.; Xu, Z.; Wei, C. Effect of seawater curing on the mechanical properties of solidified high-water content marine dredged clay. Constr. Build. Mater. 2025, 463, 140111. [Google Scholar] [CrossRef]
- Parker, G.; Toro-Escobar, C.; Voigt, R.L. Countermeasures to Protect Bridge Piers from Scour; St. Anthony Falls Laboratory: Minneapolis, MN, USA, 1998. [Google Scholar]
- Ma, C.; Sheng, C.; Lian, J.; Liu, F. Solidification sludge as a scour countermeasure in ocean engineering. Ocean Eng. 2022, 244, 110423. [Google Scholar] [CrossRef]
- Ahenkorah, I.; Rahman, M.M.; Karim, M.R.; Beecham, S. Enzyme induced calcium carbonate precipitation and its engineering application: A systematic review and meta-analysis. Constr. Build. Mater. 2021, 308, 125000. [Google Scholar] [CrossRef]
- Li, H.; Barkdoll, B.; Kuhnle, R. Bridge abutment collar as a scour countermeasure. In Proceedings of the World Water and Environmental Resources Congress, Anchorage, AK, USA, 15–19 May 2005. [Google Scholar]
- Melville, B.W.; Hadfield, A.C. Use of sacrificial piles as pier scour countermeasures. J. Hydraul. Eng. 1999, 125, 1221–1224. [Google Scholar] [CrossRef]
- Obied, N.A.; Khassaf, S.I. Experimental study for protection of piers against local scour using slots. Int. J. Eng. 2019, 32, 217–222. [Google Scholar] [CrossRef]
- Chow, K.H.; Ooi, S.K. Scour Protection Around a Bridge Pier. Ph.D. Thesis, Nanyang Technological University, Singapore, 1997. [Google Scholar]
- Hamidifar, H.; Nasrabadi, M.; Omid, M.H. Using a bed sill as a scour countermeasure downstream of an apron. Ain Shams Eng. J. 2018, 9, 1663–1669. [Google Scholar] [CrossRef]
- Chen, S.C.; Tfwala, S.; Wu, T.Y.; Chan, H.C.; Chou, H.T. A hooked-collar for bridge piers protection: Flow fields and scour. Water 2018, 10, 1251. [Google Scholar] [CrossRef]
- Pandey, M.; Azamathulla, H.M.; Chaudhuri, S.; Pu, J.H.; Pourshahbaz, H. Reduction of time-dependent scour around piers using collars. Ocean Eng. 2020, 213, 107632. [Google Scholar] [CrossRef]
- Alabi, P. Time Development of Local Scour at a Bridge Pier Fitted with a Collar. Master’s Thesis, University of Saskatchewan, Saskatoon, SK, Canada, 2006. [Google Scholar]
- Kumar, V.; Raju, K.G.R.; Vittal, N. Reduction of local scour around bridge piers using slots and collars. J. Hydraul. Eng. 1999, 125, 1302–1305. [Google Scholar] [CrossRef]
- Zhang, Z.S.; Cui, G.X.; Xu, C.X. Theory and Application of Large Eddy Simulation of Turbulence; Tsinghua University Press: Beijing, China, 2008. [Google Scholar]
- Smagorinsky, J. General circulation experiments with the primitive equations: I. Basic Exp. Mon. Weather Rev. 1963, 91, 99–164. [Google Scholar] [CrossRef]
- Iqbal, S.; Haider, R.; Pasha, G.A.; Zhao, L.; Abbas, F.M.; Anjum, N.; Murtaza, N.; Abbas, Z. Numerical investigation of flow around partially and fully vegetated submerged spur dike. Water 2025, 17, 435. [Google Scholar] [CrossRef]
- Sarker, M.A. Flow measurement around scoured bridge piers using Acoustic-Doppler Velocimeter (ADV). Flow Meas. Instrum. 1998, 9, 217–227. [Google Scholar]
- Roulund, A.; Sumer, B.M.; Fredsøe, J.; Michelsen, J. Numerical and experimental investigation of flow and scour around a circular pile. J. Fluid Mech. 2005, 534, 351–401. [Google Scholar] [CrossRef]
- Sturm, T.W.; Ettema, R.; Melville, B.W. Evaluation of Bridge-Scour Research: Abutment and Contraction Scour Processes and Prediction; The National Academies Press: Washington, DC, USA, 2011. [Google Scholar]
- Fredsøe, J.; Sumer, B.M. The Mechanics of Scour in the Marine Environment; World Scientific Publishing Company: Singapore, 2002. [Google Scholar]
- Kothyari, U.C.; Garde, R.J.; Ranga Raju, K.G. Temporal variation of scour around circular bridge piers. J. Hydraul. Eng. 1992, 118, 1091–1106. [Google Scholar] [CrossRef]
- Ghaderi, A.; Saeed, A. CFD simulation of local scouring around airfoil-shaped bridge piers with and without collar. Sādhanā 2019, 44, 216. [Google Scholar] [CrossRef]
- Gupta, L.K.; Pandey, M.; Anand Raj, P. Numerical simulation of local scour around the pier with and without airfoil collar (AFC) using FLOW-3D. Environ. Fluid Mech. 2024, 24, 631–649. [Google Scholar] [CrossRef]
- Guan, D.; Chiew, Y.-M.; Wei, M.; Hsieh, S.C. Characterization of horseshoe vortex in a developing scour hole at a cylindrical bridge pier. Int. J. Sediment Res. 2019, 34, 118–124. [Google Scholar] [CrossRef]
- Harasti, A.; Gilja, G.; Potočki, K.; Lacko, M. Scour at bridge piers protected by the riprap sloping structure: A review. Water 2021, 13, 3606. [Google Scholar] [CrossRef]














| Condition | ID | Protection | Inflow Velocity U0 (m/s) | U0/Uc | Collar Elevation hc (cm) | hc/D |
|---|---|---|---|---|---|---|
| Flat bed | FB-NP | No protection | 0.28 | 0.7 | --- | --- |
| Flat bed | FB-C1 | With collar | 0.28 | 0.7 | 1.5 | 0.13 |
| Equilibrium scour | ES-NP | No protection | 0.28 | 0.7 | --- | --- |
| Equilibrium scour | ES-C1-V7 | With collar | 0.28 | 0.7 | 0 | 0 |
| Equilibrium scour | ES-C2-V8 | With collar | 0.32 | 0.8 | 0 | 0 |
Disclaimer/Publisher’s Note: The statements, opinions and data contained in all publications are solely those of the individual author(s) and contributor(s) and not of MDPI and/or the editor(s). MDPI and/or the editor(s) disclaim responsibility for any injury to people or property resulting from any ideas, methods, instructions or products referred to in the content. |
© 2025 by the authors. Licensee MDPI, Basel, Switzerland. This article is an open access article distributed under the terms and conditions of the Creative Commons Attribution (CC BY) license (https://creativecommons.org/licenses/by/4.0/).
Share and Cite
Wu, L.; Meng, H.; Sun, H.; Yu, L.; Chen, D.; Zhao, X.; Guan, D. Numerical Investigation of Flow Field Characteristics Around a Monopile Foundation with Collar Protection. J. Mar. Sci. Eng. 2025, 13, 1841. https://doi.org/10.3390/jmse13101841
Wu L, Meng H, Sun H, Yu L, Chen D, Zhao X, Guan D. Numerical Investigation of Flow Field Characteristics Around a Monopile Foundation with Collar Protection. Journal of Marine Science and Engineering. 2025; 13(10):1841. https://doi.org/10.3390/jmse13101841
Chicago/Turabian StyleWu, Lei, Hao Meng, Haifei Sun, Lingfei Yu, Dake Chen, Xiyu Zhao, and Dawei Guan. 2025. "Numerical Investigation of Flow Field Characteristics Around a Monopile Foundation with Collar Protection" Journal of Marine Science and Engineering 13, no. 10: 1841. https://doi.org/10.3390/jmse13101841
APA StyleWu, L., Meng, H., Sun, H., Yu, L., Chen, D., Zhao, X., & Guan, D. (2025). Numerical Investigation of Flow Field Characteristics Around a Monopile Foundation with Collar Protection. Journal of Marine Science and Engineering, 13(10), 1841. https://doi.org/10.3390/jmse13101841

