Improved YOLO-Based Corrosion Detection and Coating Performance Evaluation Under Marine Exposure in Zhoushan, China
Abstract
1. Introduction
2. Materials and Methods
2.1. Data
2.1.1. Dataset Collection
2.1.2. Dataset Augmentation and Image Annotation
2.2. Improved YOLOv5
2.3. Corrosion Area Quantification Method
2.4. Evaluation Metrics
2.4.1. Evaluation Metrics for Object Detection
2.4.2. Evaluation Metrics for Corrosion Area Assessment
3. Results
3.1. Model Performance Evaluation
3.2. Comparative Analysis of Corrosion Severity for Coated Specimens in Different Corrosive Environments
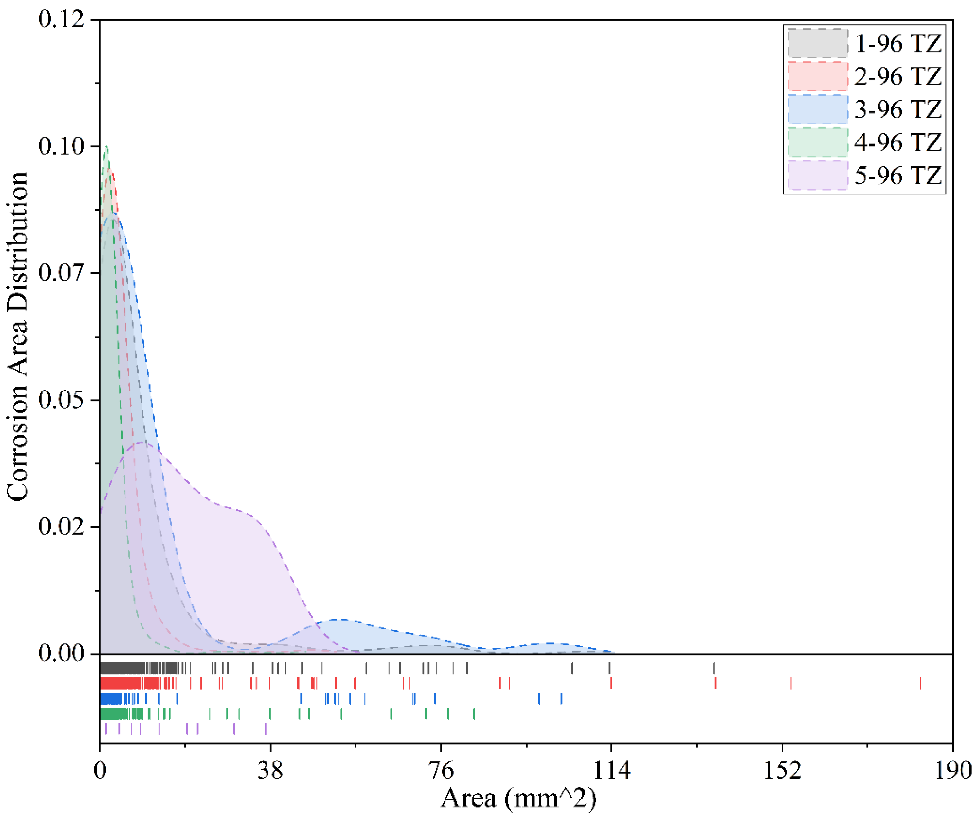
3.2.1. Comparison of 96-Month Exposure Test Results
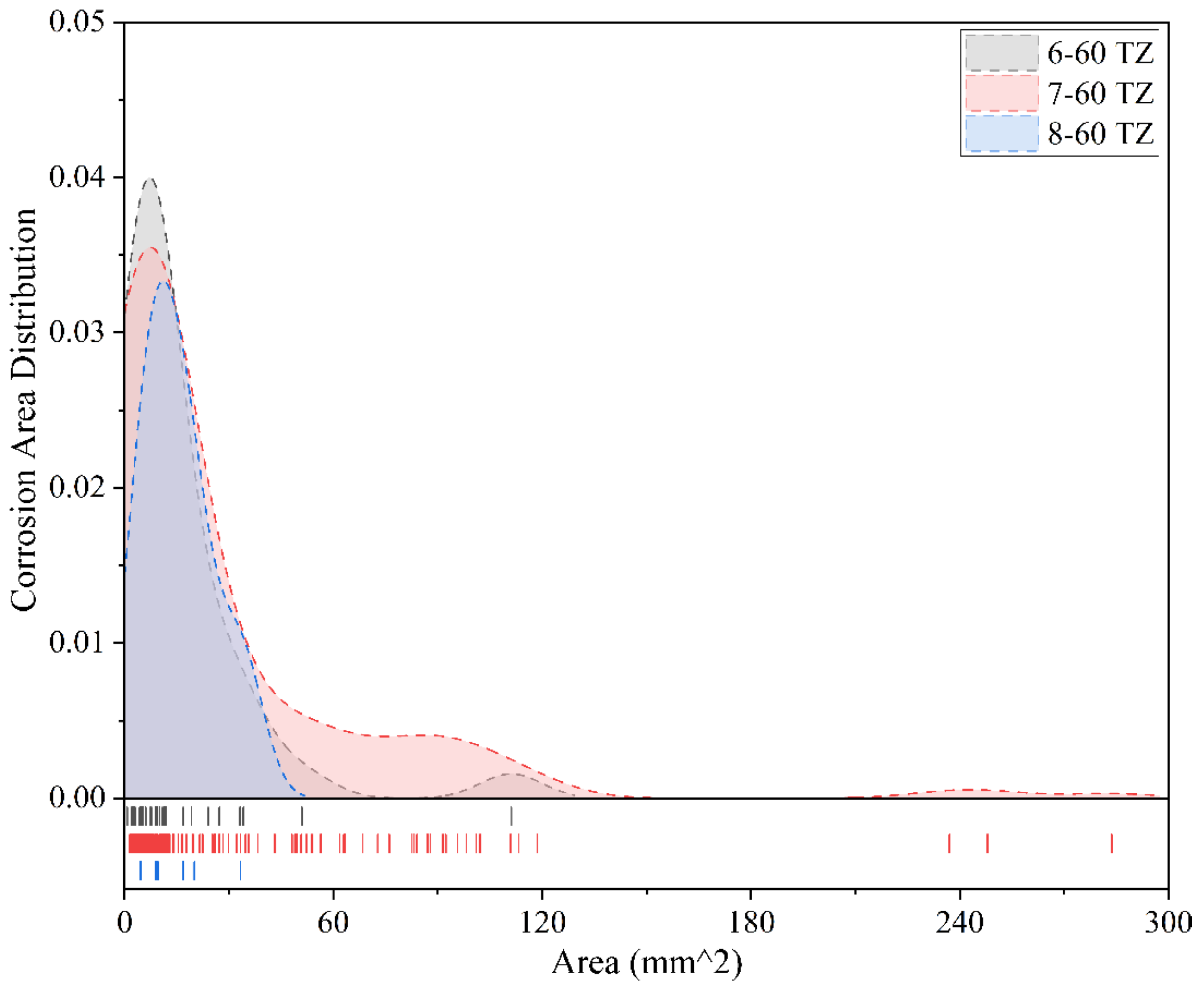
3.2.2. Comparison of 60-Month Exposure Test Results
3.2.3. Comparison of 24-Month Exposure Test Results
3.3. Comparative Analysis of Corrosion Severity Among Different Coatings in the Same Corrosive Environment
3.3.1. Analysis of Corrosion Severity for Different Coatings in Tidal Zone
3.3.2. Analysis of Corrosion Severity for Different Coatings in Full Immersion Zone
3.4. Quantitative Analysis of Corrosion Severity Grades
3.4.1. Analysis of Corrosion Severity Grades for All Specimens
3.4.2. Analysis of Corrosion Grades for Different Coated Specimens at 96 Months
3.4.3. Analysis of Corrosion Grades for Different Coated Specimens at 60 Months
3.4.4. Analysis of Corrosion Grades for Different Coated Specimens at 24 Months
4. Discussion
4.1. Discussion on Performance of the Proposed Model
4.2. Discussion on Corrosion Severity of Coated Specimens Under Different Corrosive Environments
4.3. Discussion on Corrosion Severity of Coated Specimens Under the Same Corrosive Environment
4.4. Discussion on Corrosion Grades Analysis for Different Coated Specimens
5. Conclusions
Author Contributions
Funding
Data Availability Statement
Acknowledgments
Conflicts of Interest
References
- Abbas, M.; Shafiee, M. An overview of maintenance management strategies for corroded steel structures in extreme marine environments. Mar. Struct. 2020, 71, 102718. [Google Scholar] [CrossRef]
- Jeffrey, R.; Melchers, R.E. Effect of vertical length on corrosion of steel in the tidal zone. Corrosion 2009, 65, 695–702. [Google Scholar] [CrossRef]
- Chandler, K.A. Marine and Offshore Corrosion: Marine Engineering Series; Elsevier: Amsterdam, The Netherlands, 2014. [Google Scholar]
- Agarwala, V.S.; Reed, P.L.; Ahmad, S. Corrosion detection and monitoring—A review. In Proceedings of the NACE CORROSION 2000 Conference, Orlando, FL, USA, 26–31 March 2000. NACE-00271. [Google Scholar]
- Watanabe, T.; Trang, H.T.H.; Harada, K.; Hashimoto, C. Evaluation of corrosion-induced crack and rebar corrosion by ultrasonic testing. Constr. Build. Mater. 2014, 67, 197–201. [Google Scholar] [CrossRef]
- Edalati, K.; Rastkhah, N.; Kermani, A.; Seiedi, M.; Movafeghi, A. In-service corrosion evaluation in pipelines using gamma radiography–a numerical approach. Insight-Non-Destruct. Test. Cond. Monit. 2004, 46, 396–398. [Google Scholar] [CrossRef]
- Wright, R.F.; Lu, P.; Devkota, J.; Lu, F.; Ziomek-Moroz, M.; Ohodnicki, P.R., Jr. Corrosion sensors for structural health monitoring of oil and natural gas infrastructure: A review. Sensors 2019, 19, 3964. [Google Scholar] [CrossRef] [PubMed]
- Xia, D.H.; Deng, C.M.; Macdonald, D.; Jamali, S.; Mills, D.; Luo, J.L.; Hu, W. Electrochemical measurements used for assessment of corrosion and protection of metallic materials in the field: A critical review. J. Mater. Sci. Technol. 2022, 112, 151–183. [Google Scholar] [CrossRef]
- Dabous, S.A.; Feroz, S. Condition monitoring of bridges with non-contact testing technologies. Autom. Constr. 2020, 116, 103224. [Google Scholar] [CrossRef]
- Liao, K.W.; Lee, Y.T. Detection of rust defects on steel bridge coatings via digital image recognition. Autom. Constr. 2016, 71, 294–306. [Google Scholar] [CrossRef]
- Hoang, N.D. Image processing-based pitting corrosion detection using metaheuristic optimized multilevel image thresholding and machine-learning approaches. Math. Probl. Eng. 2020, 2020, 6765274. [Google Scholar] [CrossRef]
- Wang, X.; Zhang, W.; Lin, Z.; Li, H.; Zhang, Y.; Quan, W.; Yu, Z. Current status of image recognition technology in the field of corrosion protection applications. Coatings 2024, 14, 1051. [Google Scholar] [CrossRef]
- Pidaparti, R.M.; Hinderliter, B.; Maskey, D. Evaluation of corrosion growth on SS304 based on textural and color features from image analysis. Int. Sch. Res. Not. 2013, 2013, 376823. [Google Scholar] [CrossRef]
- Li, Z.; Zhu, H.; Huang, M. A deep learning-based fine crack segmentation network on full-scale steel bridge images with complicated backgrounds. IEEE Access 2021, 9, 114989–114997. [Google Scholar] [CrossRef]
- Jiang, P.; Ergu, D.; Liu, F.; Cai, Y.; Ma, B. A review of YOLO algorithm developments. Procedia Comput. Sci. 2022, 199, 1066–1073. [Google Scholar] [CrossRef]
- Terven, J.; Córdova-Esparza, D.M.; Romero-González, J.A. A comprehensive review of YOLO architectures in computer vision: From YOLOv1 to YOLOv8 and YOLO-NAS. Mach. Learn. Knowl. Extract. 2023, 5, 1680–1716. [Google Scholar] [CrossRef]
- Jocher, G.; Nishimura, K.; Mineeva, T.; Vilariño, R. YOLOv5; GitHub Repository. 2020. Available online: https://github.com/ultralytics/yolov5 (accessed on 15 May 2024).
- Liu, W.; Anguelov, D.; Erhan, D.; Szegedy, C.; Reed, S.; Fu, C.Y.; Berg, A.C. SSD: Single shot multibox detector. In Proceedings of the European Conference on Computer Vision (ECCV), Amsterdam, The Netherlands, 11–14 October 2016; pp. 21–37. [Google Scholar]
- Wang, S.; Hao, X. YOLO-SK: A lightweight multiscale object detection algorithm. Heliyon 2024, 10, 2. [Google Scholar] [CrossRef]
- Yang, X.; del Rey Castillo, E.; Zou, Y.; Wotherspoon, L. UAV-deployed deep learning network for real-time multi-class damage detection using model quantization techniques. Autom. Constr. 2024, 159, 105254. [Google Scholar] [CrossRef]
- Zhang, Y.; Cai, W.; Fan, S.; Song, R.; Jin, J. Object detection based on YOLOv5 and GhostNet for orchard pests. Information 2022, 13, 548. [Google Scholar] [CrossRef]
- Lawal, O.M. YOLOv5-LiNet: A lightweight network for fruits instance segmentation. PLoS ONE 2023, 18, e0282297. [Google Scholar] [CrossRef]
- Liu, L.; Wang, L.; Ma, Z. Improved lightweight YOLOv5 based on ShuffleNet and its application on traffic signs detection. PLoS ONE 2024, 19, e0310269. [Google Scholar] [CrossRef]
- Wang, J.; Chen, Y.; Dong, Z.; Gao, M. Improved YOLOv5 network for real-time multi-scale traffic sign detection. Neural Comput. Appl. 2023, 35, 7853–7865. [Google Scholar] [CrossRef]
- Chen, J.; Pan, S.; Chan, Y.; Ni, Y.; Ye, D. A new method based on YOLOv5 and multiscale data augmentation for visual inspection in substation. Sci. Rep. 2024, 14, 9362. [Google Scholar] [CrossRef]
- Liu, J.; Sun, H.; Liu, H.; Yue, Q.; Xu, Z.; Jia, Y.; Wang, S. Recognition and quantification of apparent damage to concrete structure based on computer vision. Measurement 2024, 226, 115635. [Google Scholar]
- Liu, J.; Zhan, J.; Zhang, J.; Chen, J.; Song, Y.; Tang, L.; Guo, Y. Robust scale fusion and edge-aware feature attention network for remote sensing UAV road detection under harsh weather. Results Eng. 2025, 19, 106172. [Google Scholar] [CrossRef]
- Zhou, J.; Su, T.; Li, K.; Dai, J. Small Target-YOLO v5: Enhancing the algorithm for small object detection in drone aerial imagery based on YOLO v5. Sensors 2024, 24, 134. [Google Scholar] [CrossRef] [PubMed]
- Shan, C.; Liu, H.; Yu, Y. Research on improved algorithm for helmet detection based on YOLO v5. Sci. Rep. 2023, 13, 18056. [Google Scholar] [CrossRef]
- Liu, J.; Cai, Q.; Zou, F.; Zhu, Y.; Liao, L.; Guo, F. BiGA-YOLO: A lightweight object detection network based on YOLO v5 for autonomous driving. Electronics 2023, 12, 2745. [Google Scholar]
- Li, A.; Sun, S.; Zhang, Z.; Feng, M.; Wu, C.; Li, W. A multi-scale traffic object detection algorithm for road scenes based on improved YOLOv5. Electronics 2023, 12, 878. [Google Scholar] [CrossRef]
- Wang, S.; Fan, X.; Zhao, Z.; Qiao, Z.; Wang, N.; Qiu, Y.; Jia, X. Research on steel surface defect detection system based on YOLOv5s-SE-CA model and BEMD image enhancement. Nondestruct. Test. Eval. 2024, 39, 1–20. [Google Scholar] [CrossRef]
- Fu, M.; Jia, Z.; Wu, L.; Cui, Z. Detection and recognition of metal surface corrosion based on CBG-YOLOv5s. PLoS ONE 2024, 19, e0300440. [Google Scholar]
- Huang, B.; Liu, J.; Liu, X.; Liu, K.; Liao, X.; Li, K.; Wang, J. Improved YOLOv5 network for steel surface defect detection. Metals 2023, 13, 1439. [Google Scholar] [CrossRef]
- Sumi, L.; Dey, S. Improved bounding box regression loss for weapon detection systems using deep learning. Int. J. Inf. Technol. 2024, 16, 1–17. [Google Scholar] [CrossRef]
- Jing, Z.; Li, P.; Wu, B.; Yuan, S.; Chen, Y. An adaptive focal loss function based on transfer learning for few-shot radar signal intra-pulse modulation classification. Remote Sens. 2022, 14, 1950. [Google Scholar] [CrossRef]
- Cui, Y.; Jia, M.; Lin, T.Y.; Song, Y.; Belongie, S. Class-balanced loss based on effective number of samples. In Proceedings of the IEEE/CVF Conference on Computer Vision and Pattern Recognition (CVPR), Long Beach, CA, USA, 16–20 June 2019; pp. 9268–9277. [Google Scholar]
- Nisa, U. Image augmentation approaches for small and tiny object detection in aerial images: A review. Multimed. Tools Appl. 2025, 84, 21521–21568. [Google Scholar] [CrossRef]
- Zhu, C.; Wang, Z. Entropy-based matrix learning machine for imbalanced data sets. Pattern Recognit. Lett. 2017, 88, 72–80. [Google Scholar] [CrossRef]
- Xie, Z.; Shu, C.; Fu, Y.; Zhou, J.; Chen, D. Balanced loss function for accurate surface defect segmentation. Appl. Sci. 2023, 13, 826. [Google Scholar] [CrossRef]
- Zhang, Y.F.; Ren, W.; Zhang, Z.; Jia, Z.; Wang, L.; Tan, T. Focal and efficient IOU loss for accurate bounding box regression. Neurocomputing 2022, 506, 146–157. [Google Scholar] [CrossRef]
- Tong, Z.; Chen, Y.; Xu, Z.; Yu, R. Wise-IoU: Bounding box regression loss with dynamic focusing mechanism. arXiv 2023, arXiv:2301.10051. [Google Scholar]
- Gevorgyan, Z. SIoU loss: More powerful learning for bounding box regression. arXiv 2022, arXiv:2205.12740. [Google Scholar] [CrossRef]
- Cheng, H.; Kang, F. Corrosion detection and grading method for hydraulic metal structures based on an improved YOLOv10 sequential architecture. In Proceedings of the 2024 3rd International Conference on Automation, Robotics and Computer Engineering (ICARCE), Shanghai, China, 13–15 January 2024; IEEE: Piscataway, NJ, USA, 2024. [Google Scholar]
- Liu, X.; Luo, Y.; Lu, Y.; Jin, Y.; Vu, Q.V.; Kong, Z. A dual attention network for automatic metallic corrosion detection in natural environment. J. Build. Eng. 2023, 75, 107014. [Google Scholar] [CrossRef]
- Zhang, S.J.; Deng, X.; Lu, Y.; Hong, S.; Kong, Z.; Peng, Y.; Luo, Y. A channel attention based deep neural network for automatic metallic corrosion detection. J. Build. Eng. 2021, 42, 103046. [Google Scholar] [CrossRef]
- Guo, J.; Wang, L.; Hua, L. Efficient metal corrosion area detection model combining convolution and transformer. Appl. Sci. 2024, 14, 9900. [Google Scholar] [CrossRef]
- Chliveros, G.; Tzanetatos, I.; Kontomaris, S.V. A deep learning image corrosion classification method for marine vessels using an eigen tree hierarchy module. Coatings 2024, 14, 768. [Google Scholar] [CrossRef]
- Bertolini, L.; Carsana, M.; Gastaldi, M.; Lollini, F.; Redaelli, E. Corrosion assessment and restoration strategies of reinforced concrete buildings of the cultural heritage. Mater. Corros. 2011, 62, 146–154. [Google Scholar] [CrossRef]
- Zhang, Y.C.; Du, Y.L.; Yi, T.H.; Zhang, S.H. Automatic rebar picking for corrosion assessment of RC bridge decks with ground-penetrating radar data. J. Perform. Constr. Facil. 2024, 38, 04023069. [Google Scholar] [CrossRef]
- Zhang, H.; Qi, J.; Zheng, Y.; Zhou, J.; Qiu, J. Characterization and grading assessment of rebar corrosion in loaded RC beams via SMFL technology. Constr. Build. Mater. 2024, 411, 134484. [Google Scholar] [CrossRef]
- Yan, J.; Lu, D.; Khou, I.; Zhang, S. Faster RSTRENG: A more efficient effective area method algorithm for corrosion assessment. J. Press. Vessel Technol. 2023, 145, 031502. [Google Scholar] [CrossRef]
- Wang, J.; Zhang, T.; Cheng, Y.; Al-Nabhan, N. Deep learning for object detection: A survey. Comput. Syst. Sci. Eng. 2021, 38, 165–182. [Google Scholar] [CrossRef]
- Wang, S. Automated non-PPE detection on construction sites using YOLOv10 and transformer architectures for surveillance and body worn cameras with benchmark datasets. Sci. Rep. 2025, 15, 27043. [Google Scholar] [CrossRef]
- Mittal, P. A comprehensive survey of deep learning-based lightweight object detection models for edge devices. Artif. Intell. Rev. 2024, 57, 242. [Google Scholar] [CrossRef]
- Ali, M.L.; Zhang, Z. The YOLO framework: A comprehensive review of evolution, applications, and benchmarks in object detection. Computers 2024, 13, 336. [Google Scholar] [CrossRef]
- Yu, Q.; Han, Y.; Gao, X.; Lin, W.; Han, Y. Comparative analysis of improved YOLO v5 models for corrosion detection in coastal environments. J. Mar. Sci. Eng. 2024, 12, 1754. [Google Scholar] [CrossRef]
- Huang, Z.; Wang, X.; Huang, L.; Huang, C.; Wei, Y.; Liu, W. CCNET: Criss-cross attention for semantic segmentation. arXiv 2020, arXiv:1811.11721. [Google Scholar] [CrossRef]
- ASTM D610-08; Standard Practice for Evaluating Degree of Rusting on Painted Steel Surfaces. ASTM International: West Conshohocken, PA, USA, 2008.
- ASTM B537-70; Standard Practice for Rating of Electroplated Panels Subjected to Atmospheric Exposure. ASTM International: West Conshohocken, PA, USA, 2013.






















| Serial Number | Name | Label | Test Times (Months) | Thickness (60 μm) |
|---|---|---|---|---|
| 1 | Epoxy Coating-1 | Q235 Steel (substrate)/Inorganic zinc-rich primer (70 μm)/Epoxy mica iron (150 μm)/epoxy topcoat (60 μm) | 96 | 280 |
| 2 | Chlorinated Rubber-1 | Q235 Steel/Inorganic Zinc-Rich Primer (75 μm)/Sealer/Solvent-Free Epoxy Thick Intermediate Layer (400 μm) | 96 | 475 |
| 3 | Chlorinated Rubber-2 | Q235 Steel/Epoxy Zinc-Rich Primer (120 μm)/Epoxy mica iron (300 μm)/Thick Film Chlorinated Rubber | 96 | 420 |
| 4 | Fluorocarbon Coating-1 | Q235 Steel/Epoxy Zinc-Rich Primer (75 μm)/Sealed Thick Paste Epoxy Asphalt (600 μm)/Fluorocarbon (60 μm) | 96 | 735 |
| 5 | Fusion-Bonded Epoxy Coating | Fusion-Bonded Epoxy Coating (1000 μm) | 96 | 1000 |
| 6 | Fluorocarbon Coating-2 | Q235 Steel/Epoxy Zinc-Rich Primer (70 μm)/Sealer/Thick Paste Epoxy Asphalt (300 μm)/Fluorocarbon (60 μm) | 24/60 | 430 |
| 7 | Epoxy Coating-2 | Q235 Steel/Inorganic Zinc-Rich Primer (70 μm)/Epoxy mica iron (150 μm)/Epoxy Topcoat (70 μm) | 24/60 | 290 |
| 8 | Powder Epoxy Coating | Q235 Steel/Powder Epoxy (700 μm) | 24/60 | 700 |
| 9 | Chlorinated Rubber-3 | Q235 Steel/Inorganic Zinc-Rich Primer (70 μm)/Sealer/Solvent-Free Epoxy Thick Intermediate Layer (430 μm) | 24 T or 60 F | 500 |
| 10 | Wuxi anti-Fouling Coating | Q235 Steel/Epoxy Zinc-Rich Primer (70 μm)/Epoxy mica iron (230 μm)/Non-Tin Anti-fouling Coating (150 μm) | 24 | 450 |
| Corrosion Rating | Corrosion Area Ratio Range (%) |
|---|---|
| 10 | <0.01 |
| 9 | 0.01~0.03 |
| 8 | 0.03~0.10 |
| 7 | 0.10~0.30 |
| 6 | 0.30~1.00 |
| 5 | 1.00~3.00 |
| 4 | 3.00~10.00 |
| 3 | 10.00~16.00 |
| 2 | 16.00~33.00 |
| 1 | 33.00~50.00 |
| 0 | 50.00~100.00 |
| Model | Precision | Recall | F1-Score | FPS (Hz) | Pre-Process (ms) | Inference (ms) | NMS (ms) | Prediction Probability |
|---|---|---|---|---|---|---|---|---|
| YOLO v5 | 0.73 | 0.61 | 0.67 | 35 | 0.7 | 23.4 | 4.2 | 0.66 |
| YOLO v5-EfficientViT | 0.70 | 0.60 | 0.66 | 69 | 0.5 | 9.1 | 4.8 | 0.64 |
| YOLO v5-EfficientViT-NWD | 0.75 | 0.61 | 0.67 | 70 | 0.4 | 8.2 | 5.6 | 0.67 |
| YOLO v5-EfficientViT-NWD-CCA | 0.76 | 0.60 | 0.67 | 62 | 0.4 | 10.3 | 5.5 | 0.70 |
| Coatings | Tested Samples | Test Times (Months) | Appearance Description |
|---|---|---|---|
| Epoxy Coating-1 | ![]() | 96 | No significant changes |
| Chlorinated Rubber-1 | ![]() | 96 | There are many bulges and a lot of rust spots |
| Chlorinated Rubber-2 | ![]() | 96 | There are many small bumps and a small amount of rust |
| Fluorocarbon Coating-1 | ![]() | 96 | No significant changes |
| Fusion-Bonded Epoxy Coating | ![]() | 96 | No significant changes |
| Fluorocarbon Coating-2 | ![]() | 60 | Glossy, rust free, covered with 1–3 mm blisters |
| Epoxy Coating-2 | ![]() | 60 | There are many bubbles and a few small rust spots |
| Powder Epoxy Coating | ![]() | 60 | No significant changes |
| Fluorocarbon Coating-2 | ![]() | 24 | Glossy, rust free, covered with 1–4 mm blisters |
| Epoxy Coating-2 | ![]() | 24 | No significant changes |
| Powder Epoxy Coating | ![]() | 24 | No significant changes |
Disclaimer/Publisher’s Note: The statements, opinions and data contained in all publications are solely those of the individual author(s) and contributor(s) and not of MDPI and/or the editor(s). MDPI and/or the editor(s) disclaim responsibility for any injury to people or property resulting from any ideas, methods, instructions or products referred to in the content. |
© 2025 by the authors. Licensee MDPI, Basel, Switzerland. This article is an open access article distributed under the terms and conditions of the Creative Commons Attribution (CC BY) license (https://creativecommons.org/licenses/by/4.0/).
Share and Cite
Yu, Q.; Han, Y.; Huang, X.; Gao, X. Improved YOLO-Based Corrosion Detection and Coating Performance Evaluation Under Marine Exposure in Zhoushan, China. J. Mar. Sci. Eng. 2025, 13, 1842. https://doi.org/10.3390/jmse13101842
Yu Q, Han Y, Huang X, Gao X. Improved YOLO-Based Corrosion Detection and Coating Performance Evaluation Under Marine Exposure in Zhoushan, China. Journal of Marine Science and Engineering. 2025; 13(10):1842. https://doi.org/10.3390/jmse13101842
Chicago/Turabian StyleYu, Qifeng, Yudong Han, Xukun Huang, and Xinjia Gao. 2025. "Improved YOLO-Based Corrosion Detection and Coating Performance Evaluation Under Marine Exposure in Zhoushan, China" Journal of Marine Science and Engineering 13, no. 10: 1842. https://doi.org/10.3390/jmse13101842
APA StyleYu, Q., Han, Y., Huang, X., & Gao, X. (2025). Improved YOLO-Based Corrosion Detection and Coating Performance Evaluation Under Marine Exposure in Zhoushan, China. Journal of Marine Science and Engineering, 13(10), 1842. https://doi.org/10.3390/jmse13101842












