Abstract
The present work investigates the influence of rectangular deflectors on the performance of a Savonius turbine mounted in an L-shaped channel, which represents a geometry like that found in one oscillating water column (OWC) device. It also performs a geometric investigation of the entrance region of the channel. More precisely, it investigates the effect of the height/length ratio (H1/L1) of the entering region of the channel on the system performance for three different configurations: (1) without the use of deflectors, (2) with just one deflector upstream the turbine, and (3) with one deflector upstream and another downstream the turbine. The geometric investigation is performed based on the constructal design method, and the entering channel area (A1) is the problem constraint. The performance indicators are the mechanical power in the Savonius turbine and the available power in the device. For all cases, it is considered turbulent airflow in the domain, being solved by the unsteady Reynolds Averaged Navier–Stokes mass and momentum equations. The numerical solution was obtained with the finite-volume method using the Ansys FLUENT software (version 2021 R1). The k-ω shear stress transport turbulence closure model is used. The results demonstrated that the mechanical and available powers depend on the H1/L1 ratio, regardless of the usage of deflectors. For instance, differences of up to 16.35% in mechanical power and 7.25% in available power were observed between the best and worst performance configurations in the case without deflectors. The use of deflectors resulted in increases of two and three times in available and mechanical powers, respectively, when the cases with one and two deflectors are compared with those without deflectors. This demonstrates that the enclosed domain and the insertion of the deflectors can enhance the performance of the Savonius turbine.
1. Introduction
In recent decades, efforts have been directed toward mitigating environmental impacts and reducing energy conversion costs by diversifying the energy matrix. The current trend is focused on reducing the use of fossil fuels and transitioning to renewable sources to meet growing energy demands. In this context, harnessing ocean energy for electricity generation has garnered increasing attention in scientific research [1,2,3,4,5,6].
Scientific and technological advances have introduced various alternatives in the field of wave energy converters (WEC), with the oscillating water column (OWC) device emerging as a notable option due to its relatively simple construction, robust power design take-off (PTO), and self-rectifying turbines for the airflow [2]. It generates electricity using a turbine powered by airflow, which results from the conversion of mechanical energy produced by wave motion. In essence, the OWC consists of a hydropneumatic chamber with at least two openings—one connected to the atmosphere and the other to the sea. As the waves move, the water column within the chamber oscillates, causing compression and decompression of the air above the free water surface. During these cycles, air is forced to enter or exit the chamber through an air duct, passing through a turbine–generator system that converts mechanical into electrical energy [3,7]. In addition to the various experimental and numerical research, the importance of the subject has been demonstrated by the construction of several prototypes around the world, such as those seen in Portugal (Pico), Spain (Mutriku), Norway (Tofteshallen), Japan (Sakata), and Scotland (Islay and Lewis), among others [3,8,9,10,11,12,13]. One important motivation in these device studies is understanding the turbulent flow over the turbine inserted in an enclosed domain.
Despite the OWC devices being dominantly equipped with Wells turbines, the Savonius turbines also have similar characteristics, such as the unidirectional rotation regardless of the direction of the incidence of the fluid flow [14,15]. Given its low cost and ability to operate at low-velocity magnitudes, some investigations have explored the Savonius turbine as potentially of use in the design of OWC devices [16,17].
In this sense, some studies have been devoted to understanding the influence of the surrounding walls on the Savonius turbine. Mauro et al. [17] performed a numerical and experimental study of a Savonius turbine placed in a duct to validate the computational model. This model was used to analyze the influence of different angular velocities imposed on the turbine on the power coefficient, as well as the effect of incoming velocity in the duct on the pressure drop caused by the turbine. The authors noticed that the computational model was able to predict the experimental results of the power coefficient and pressure drop as a function of the incoming velocity. Santos et al. [18] simulated turbulent airflow within a chamber/duct housing of a Savonius turbine in the air duct region, mimicking an OWC device. For closure of the unsteady Reynolds averaged Navier–Stokes (URANS) modeling, the k-ω SST was used. The simulations employed two-dimensional domains with imposed rotation in the region where the Savonius turbine was placed, which can be considered suitable for stable conditions of the wave flow. First, the computational model was validated for a scenario with a free turbine, devoid of any surrounding enclosure. Subsequently, simulations were conducted with an enclosure mimicking an OWC device, with a constant velocity imposed on the lower surface of the chamber. In the final case, a velocity with a sinusoidal behavior as a function of time is imposed at the inlet of the domain. The results indicated that enclosing the domain with walls led to a significant increase in the power coefficient (CP) in comparison with the free turbine configuration. Moreover, the imposition of sinusoidal velocity caused a performance comparable to that obtained for a constant velocity. Later, Brusca et al. [16] considered two converging sections with a Bell–Metha profile seeking to increase the mass flow rate on the active side of the Savonius turbine. The results indicated that the power performance increased more than the cases with a plain ducted turbine, regardless of the tip speed ratios tested. Santos et al. [19] developed a complete computational model of an OWC device simulating the wave channel flow to the turbulent airflow in the chamber and duct of the device, considering the insertion of a Savonius turbine. The results indicated that the computational model was promising for representing the OWC device in a complete form. Moreover, under the studied conditions, the turbine did not affect the wave flow that impacted the chamber of the OWC device. It was also noticed that there was an augmentation of the power coefficient of the turbine in comparison with the free stream flow conditions. Important developments have also been found by modeling a complete coupled problem using Wells turbines [20,21]. Recently, Darvishyadegari and Hassanzadeh [22] performed a numerical investigation of a Savonius wind turbine in the vicinity of a building with a circular cross-sectional shape, representing in idealized form the insertion of a turbine placed in an urban area and near a building. In this study, different installation angles of the Savonius turbine around the building with a constant gap scape and incoming wind velocity are analyzed. The results indicated that the maximum power coefficient was obtained for angles of 60° and 90°.
Recent investigations have also been performed about the design of the Savonius turbine [23], the employment of airfoil guide vanes [24,25,26], the use of hybrid turbines such as Darrieus/Savonius and Darrieus/Magnus [27,28], and arrangements of turbines [29,30]. Recent studies have generally demonstrated that the use of guide vanes improves the performance of the Savonius turbine by reducing the high-pressure magnitudes on the convex side of the returning blade. Despite these important investigations, few have been seen related to the influence of the design in enclosed domains, and the influence of deflectors on the Savonius turbine performance. Here, it is defined as a channel geometry that resembles that observed in OWC devices. It is worth noting that the OWC device serves only as a motivation for the present study, with the analysis conducted under simplified conditions, e.g., the imposition of a constant velocity that limits the representation of the physical behavior of fluid flow in an OWC device. Employing a more complex computational model, such as the one studied by Santos et al. [19], would significantly increase the computational effort required for this investigation. In this context, the objective of the current research is to investigate how the insertion of deflectors affects the turbine and available power of a Savonius turbine, as well as the geometry of the L-shaped channel where the turbine is inserted. To do so, the influence of the height/length ratio of the entering region of the channel (H1/L1) on the performance indicators of the problem for three different configurations of deflectors is investigated. First, the analyzed configuration is the L-shaped channel with the Savonius turbine without deflectors. Second, a deflector is added upstream of the turbine. Third, the model has two deflectors, one upstream and one downstream of the turbine, mounted in an alternate form. To the best of the author’s knowledge, this kind of problem has not been previously investigated in the literature.
2. Mathematical Modeling
2.1. Problem Description
The schematic representation of the computational domain of the L-shaped channel geometry with the inserted turbine can be checked in Figure 1. The fluid flow is considered incompressible, turbulent, and in a two-dimensional domain. The depicted domain illustrates two deflectors, which is one of the three configurations studied here. For the other, the computational domain is the same, excepting the deflectors’ arrangement. The fluid flow is caused by the imposition of a constant velocity (Vin) at the lower surface of the channel (Section 1). In the study by Santos et al. [18], a simplified model combining a chamber and a Savonius turbine was analyzed. It was observed that using either a constant velocity profile or a sinusoidal profile resulted in similar behavior for transient and time-averaged power coefficients. Therefore, to reduce computational effort, this study considers only a constant velocity profile at the channel inlet. The imposed velocity varies for the different ratios of H1/L1 in such a way that the same mass flow rate is imposed for all geometric configurations. For H1/L1 = 1.0, Vin = 1.9 m/s, while the other configurations follow the relation Vin·L1 = 13.4040 m2/s. The imposed velocities guaranteed the same velocity of V1 = 7.0 m/s reaching the turbine duct. The imposed velocity for all cases will be shown in the geometric investigation section. The flow exits the computational domain by the turbine duct, where atmospheric pressure is imposed, i.e., a gauge pressure of Pg = 0 atm. In the rotational zone, the light-gray region near the turbine in Figure 1, a constant rotational velocity (ω′) is imposed, and the turbine walls have a no-slip and impermeability boundary condition in comparison with the rotational zone. In every simulation, the turbine rotor tip speed ratio is λ = ω′D/(2V1) = 1.5, and the constant rotor angular velocity is ω′ = 15.5 rad/s. The angular velocity used here is the same as that previously employed in the work of Santos et al. [31], who made some test simulations observing enclosed domains at a displacement of the peak of Cp for higher magnitudes of λ, in comparison with the free Savonius turbine configuration. For all remaining walls, a no-slip and impermeable (u = v = 0 m/s) boundary condition is applied. As initial conditions, it is considered a previous simulation at the steady state with the static turbine, which conducts to velocities of the order of Vin at the inlet region of the channel and L1·Vin/D in the region of the channel where the turbine is placed.
Figure 1.
Schematic representation of the computational domain of the L-shaped channel with a Savonius turbine and two deflectors mounted in alternate configuration.
The dimensions adopted are L2 = 6.0 m, HD = 1.0 m, eD = 0.2 m, D = 2.0 m, and fourteen different magnitudes of H1 and L1 due to the variation of H1/L1 ratio in the range 0.2 ≤ H1/L1 ≤ 1.8. The same magnitudes of HD and eD are used for the case with two deflectors. The deflectors are placed at L2/4 from the center of the Savonius rotor. The positions of the deflectors are defined in such a way that the flow is intensified toward the advance blade. Moreover, the turbine is placed in the exit duct center, L2/2, and is considered to have a diameter of d = 1.8 m. The blades have a thickness of e = 0.0072 m and an overlap of S = 0.144 m, and their chord size is C = 0.972 m, as illustrated in Figure 2.
Figure 2.
Geometrical parameters of the Savonius rotor.
Finite-volume method (FMV) discretization is used in this problem to solve the unsteady time-averaged equations of mass conservation and momentum balancing in the x and y directions [32,33,34].
The mass and momentum equations defined in the Reynolds averaged Navier–Stokes (RANS) modeling for an incompressible flow are given, respectively, by [35,36]:
where xi is the spatial coordinates (m) in i = 1 and 2 representing the x and y directions (m), ui is the velocity components in 1 and 2 directions (m/s), p is the pressure (Pa), and the overbar indicates the time-average operator. The constant thermophysical air density and dynamic viscosity properties are, respectively, ρ = 1.18415 kg/m3 and µ = 1.7894 × 10−5 kg/(m∙s).
The turbulent viscosity term in the k-ω shear stress transport (SST) turbulence model (kg/(m·s)), which relates the Reynolds stresses to the average rate of the deformation field, is given by [37,38]:
The turbulent kinetic energy (k) transport equation is given by:
where is a term that prevents the turbulence generation in stagnation regions and LT is the turbulent length scale (m).
The specific dissipation rate (ω) is calculated by:
The F1 and F2 blending functions are given by:
where CDkω is given by the expression:
and α1 = 5/9, β = 0.09, β1 = 3/40, β2 = 0.0828, σ2 = 0.44, σk = 0.85, σω = 0.5, and σω2 = 0.856.
2.2. Geometrical Investigation
The geometrical investigation is performed in light of the constructal design. This method is used for the application of the constructal law of design and evolution, which is the physical principle used to predict the design and rhythm of any finite-size flow system, animate or inanimate [39,40,41]. More details about the steps of application of the method can be seen in Refs. [39,40,41]. For the application of the method, it is necessary to define the performance indicators, physical and geometrical constraints, and degrees of freedom.
In the present problem, two performance indicators are defined, the available power in the L-shaped channel and the mechanical power in the Savonius turbine, respectively, given by [42,43]:
where ΔP is the pressure drop between the central point of Section 1 of the channel and the exit of the turbine duct (Pa), V1 is the mean air velocity at the duct before the deflectors region (m/s), Q is the flow rate in the turbine duct (m3/s), T is the rotor torque (N·m), d is the rotor diameter (m), and ω′ is the angular velocity imposed to the rotor (rad/s). The main purpose is to maximize Ppneumatic and Pturbine, varying the configuration of the L-shaped channel and using deflectors to guide the oncoming airflow on the Savonius turbine. For the mean velocity (V1) it used an arithmetic mean of the velocity, regardless of vortex generation or influence of detachment or reattachment of the boundary layer.
The power coefficient (CP) is given by:
It is worth noting that the main purpose here is to maximize the Pturbine, since the enclosure and change in geometry can also affect the Ppneumatic. Therefore, the highest magnitude of CP does not represent necessarily the best configuration for the present investigation.
Once there is a time-dependent process, mainly by the rotation of the Savonius turbine, the comparison among the different geometries and use of deflectors is performed using a time average during the interval of 0.0 s ≤ t ≤ 1.75 s, which is the same used in the work of Santos et al. [18]. In the present investigation, it is concerned with guaranteeing similar conditions for comparison among the studied cases. For instance, it is considered that the velocity reaching the duct where the turbine is placed has similar magnitudes for all cases, the same rotational velocity of the turbine is imposed, and the same time interval of analysis is adopted. Moreover, a previous simulation at the steady state was considered to speed up the stabilization of the fluid flow over the turbine and the consequent achievement of Cp. Despite that, future investigations are necessary to better define the time interval for a stabilization of Cp in the turbine.
The constraint used to employ the constructal design method in the present investigation is the chamber area (A1), as given by:
where H1 and L1 are the height and length of the entering region of the L-shaped channel. The area of all investigated cases is constant, A1 = 55 m2. For the closure of Equation (12), the degree of freedom (DOF) H1/L1 is introduced, and the search is performed in the range 0.2 ≤ H1/L1 ≤ 1.8, as illustrated in Figure 3. The configuration that maximizes the Ppneumatic and Pturbine is the once-optimized ratio H1/L1, (H1/L1)o. Table 1 presents the dimensions of the entering region of the channel and the imposed velocity (Vin) for each ratio of H1/L1 analyzed. The aim of this study is to find out the performance of a Savonius turbine when deflectors are inserted. Additionally, it looks at how the geometry of the chamber (H1/L1) influences the problem performance. The domain with the Savonius turbine in the absence of deflectors is the first item to be studied. Next, a deflector is installed in front of the turbine. Third, the exit region of the L-shaped channel is equipped with two deflectors, one upstream and one downstream on alternate sides (top and bottom) of the turbine duct (see Figure 1). It simulated 14 cases for each configuration, totaling 42 simulations.
Figure 3.
Geometric variations analyzed in the present work (out-scale dimensions).
Table 1.
Geometric dimensions of the chamber and inlet velocities for different ratios of H1/L1.
3. Numerical Modeling
The present simulations are based on the FVM using the following parameters: (1) pressure-based solver; (2) the SIMPLE (semi-implicit linked equations) pressure–velocity coupling algorithm; (3) second-order spatial discretization for the pressure; (4) second-order upwind for momentum and first-order upwind for turbulent kinetic energy; (5) first-order implicit for temporal advancement; (6) converged residual solution of 1 × 10−5 for all equations; (7) a maximum number of iterations per time step of 200; and (8) a time step of Δt = 0.00175 s is used, and the total simulations flow time of t = 1.75 s is considered. The used residuals are motivated by the convergence of the k-ω SST turbulence-modeling equations.
A computer equipped with an AMD Ryzen 7 3700X 8-Core Processor @ 4.09 GHz and 16 GB of RAM memory is used to run the simulations. All computational meshes are created using the GMSH software [44], and the conservation equations are solved using the commercial Ansys FLUENT, version 2021 R1 [45]. The computational effort for each case is nearly 3 h.
The used mesh guaranteed a suitable capture of the turbulent boundary layer in the wall regions, with y+ ≤ 1.0. It is also worth noting that the mesh, time step, and numerical parameters are like those used by Santos et al. [18]. Therefore, the grid independence study is not repeated here, and the discretization follows the recommendations reported in [18].
The parameter y+ is given by [36,37,38]:
where y is the normal distance to the wall (m), τw is the surface tension in the wall (N/m2), and υ is the kinematic viscosity (m2/s).
Figure 4 illustrates the mesh generated in the domain and the details A and B with more refined discretization near the walls of the turbine and the lateral surfaces of the channel for a configuration without deflectors. It is constructed in a region near the blades where rectangular finite volumes are inserted. Concerning the interface between the rotational and static regions, it is considered a sliding mesh, which is a special case of prescribed dynamic mesh motion, where the nodes move rigidly in the dynamic mesh zone (rotational region of the domain). Moreover, multiple cell zones are connected to each other through non-conformal interfaces. As the mesh motion is updated in time, the interfaces are updated to reflect the new positions of each zone.
Figure 4.
Mesh generated in the L-shaped domain with detail of discretization near the turbine blades.
The mesh illustrated in Figure 4 has nearly 200,000 rectangular/triangular volumes in the domain. In the blades of the turbine, the internal and external semi-circular curves of the blade have 400 divisions, while in the connections among the semi-circular surfaces of the blades, 30 divisions are used. A boundary layer with a maximum thickness of 6 × 10−3 m, 18 inflation layers in the normal direction of the wall, and a stretched ratio of 1.05 is used in the turbine surfaces. In the static region of the duct, a double-stretched mesh is used to increase the refinement near the walls, using 100 divisions in the vertical lines. Moreover, a boundary layer with a maximum thickness of 18 × 10−3 m, 12 inflation layers in the normal direction of the wall, and a stretched ratio of 1.05 is used. In the interface region, 300 divisions are considered. For other configurations with N = 1 and N = 2, a similar strategy is used.
To verify and validate the adopted computational model (which is the same one used in the work of Santos et al. [18]) a comparison is conducted between the average power coefficient obtained with the present model, i.e., the same mathematical and numerical modeling but considering a free turbine configuration, and the predictions obtained numerically from [46] and experimentally by [47] for a turbulent flow over a free turbine with ReD = 867,000 and overlap ratio of the bucket of S/C = 144 mm/972 mm = 0.148. In the work of Akwa et al. [46], it is also considered a two-dimensional domain, as adopted here. The impact of the blade tip speed ratio (λ) on the power coefficient (Cp) is shown in Figure 5. As can be seen, the predictions of Cp for four different magnitudes of λ agree with the previous numerical results and with the uncertainty of the experimental investigation. Once the results for Cp as a function of λ were in close agreement with that found in the literature for a similar flow basin, an extrapolation with similar conditions for the turbine was adopted for the L-shaped channel with an inserted turbine. It is also worth noting that the aspect ratios between the depth and diameter of the turbine lower than 1.5 can lead to end-of-blade effects, modifying the performance of the turbine and requiring the investigation of three-dimensional domains. However, this kind of investigation is not in the scope of the present work.
Figure 5.
Power coefficient used to verify and validate the computational model for free-configuration Savonius turbine [46,47].
4. Results and Discussion
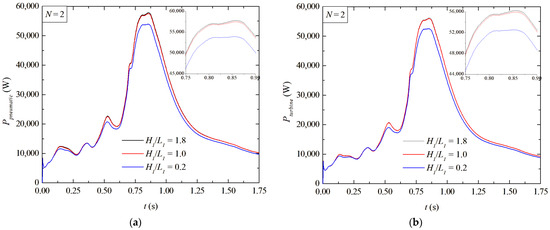
Figure 6 shows the instantaneous available power in the problem and the mechanical power in the turbine for three different magnitudes of H1/L1 = 0.2, 1.0, and 1.8 when two deflectors (N = 2) are mounted in the turbine duct. In general, it can be observed that the Ppneumatic (Figure 6a) and Pturbine (Figure 6b), as a function of time, are similar regardless of the ratio of H1/L1 for N = 2. The only difference is a slight decrease in the magnitude of Ppneumatic and Pturbine for the case with H1/L1 = 0.2. The results also demonstrated that Pturbine is similar to Ppneumatic, with a general magnitude inferior to Ppneumatic.
Figure 6.
Instantaneous behavior of the power for three different magnitudes of H1/L1: (a) available power (Ppneumatic) and (b) Savonius power (Pturbine).
The results in Figure 6 also indicate a strong peak of Ppneumatic = 58.86 kW and Pturbine = 56.27 kW around t = 0.875 s. Before that, there was an increase of Ppneumatic and Pturbine with some oscillation caused by the detachment of the turbulent boundary layer after passing through the upstream deflector. After the main peak, a reduction of magnitude without oscillations is noticed. This smoothed behavior is probably related to the lack of flow impinging on the returning blade of the turbine.
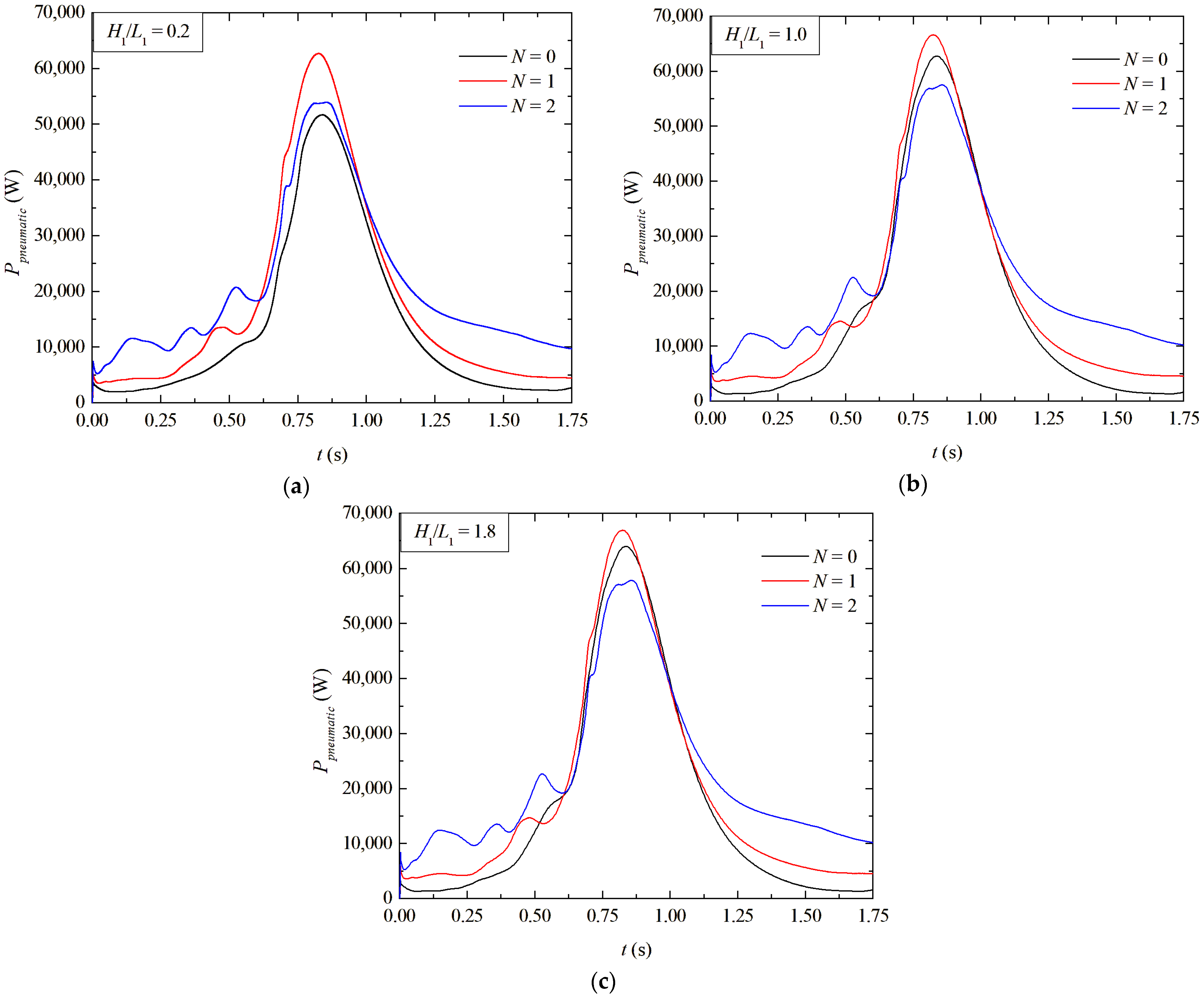
Figure 7a–c illustrates the instantaneous Ppneumatic for three different ratios of H1/L1 = 0.2, 1.0, and 1.8, respectively, comparing the influence of the number of deflectors on the system performance. The case without deflectors is represented by N = 0, while the cases with one and two deflectors are represented by N = 1 and N = 2, respectively. For H1/L1 = 0.2, Figure 7a, N = 0 resulted in the lowest magnitude of Ppneumatic, regardless of the instant of time. Comparing N = 1 and 2, the case with N = 1 resulted in the highest peak of Ppneumatic. However, in the range 0.0 s ≤ t ≤ 0.625 s, and t > 1.00 s the magnitude of Ppneumatic for N = 2 is the highest. Therefore, it was observed that the increase of N from one to two reduced the highest peak of Ppneumatic, but also reduced the difference between the periods of best and worst performance. When the ratio of H1/L1 increases to H1/L1 = 1.0, Figure 7b, and H1/L1 = 1.8, Figure 7c, it is noticed that the peak of Ppneumatic for N = 0 surpassed the peak obtained for N = 2. Despite that, for the time intervals of lower performance, the configuration with N = 2 is better than the other two. Another interesting behavior can be seen for the initial instants of time. Only for N = 1 and 2 are there oscillations in Ppneumatic. For N = 0, the detachment of the turbulent boundary layer happened in the corner between the chamber and the turbine duct in such a way that the unstable flow caused by the boundary layer detachment did not reach the advance blade of the turbine.
Figure 7.
Instantaneous behavior of the available power for different numbers of deflectors and the following ratios of H1/L1: (a) H1/L1 = 0.2, (b) H1/L1 = 1.0, (c) H1/L1 = 1.8.
Figure 8a–c depicts the instantaneous Pturbine for three different ratios of H1/L1 = 0.2, 1.0, and 1.8, similar to that shown in Figure 7 for Ppneumatic. The observations reached for Pturbine are like those noticed for Ppneumatic, with the difference in the magnitudes of Pturbine, which are lower than that reached for Ppneumatic. For H1/L1 = 0.2 (Figure 8a) it seems clear that the inclusion of the deflectors benefited the Pturbine in all instants of time. For H1/L1 = 1.0 and 1.8 (Figure 8b,c) the performances of N = 0 and 1 are quite similar, while N = 2 led to the lowest peak but the best performance outside the peak regions. To define the best configuration in this situation, it is necessary to calculate the mean turbine power during all of the simulated time intervals. This can be observed when the performance for the different N is compared for different instances of time. For instance, for H1/L1 = 0.18 and t = 0.125 s, when N = 2 is Pturbine = 9.66 kW, while for N = 1 and N = 0, it is obtained that Pturbine = 3.74 kW and Pturbine = 0.82 kW, respectively. For the same case, the peak is Pturbine = 60.48 kW, 61.05 kW, and 56.27 kW for N = 0, 1, and 2, respectively.
Figure 8.
Instantaneous behavior of the power in turbine for different numbers of deflectors and the following ratios of H1/L1: (a) H1/L1 = 0.2, (b) H1/L1 = 1.0, (c) H1/L1 = 1.8.
The qualitative behavior of transient flow in the turbine duct for the cases with N = 0, 1, and 2 are illustrated in Figure 9, Figure 10 and Figure 11, respectively. Precisely, it shows the velocity fields for different instants of time during one rotation of the turbine for the three different configurations when H1/L1 = 1.0. It is worth noting that the behavior is similar for the other ratios of H1/L1. Therefore, for the sake of brevity, only one configuration of H1/L1 is presented. The results of Figure 9 indicate a vortex generation in the corner that connects the two channels that define the L-shaped channel. In this sense, the increase in momentum remains restricted above the vortex and far above the advance blade. Figure 9 also depicts high magnitudes of velocity in the gap between the tips of the blades and the duct surfaces.
Figure 9.
Velocity field in the turbine duct region for configuration without deflectors.
Figure 10.
Velocity field in the turbine duct region for the configuration with one deflector.
Figure 11.
Velocity field in the turbine duct region for the configuration with two deflectors.
In Figure 10, when one deflector is inserted upstream of the turbine, it is possible to observe that the vortex generated in the corner of the connection chamber/duct is restricted by the presence of the deflector. Moreover, the momentum is intensified in the region between the upper surface of the deflector and the superior surface of the duct. This intensified flow impinges on the advance blade of the Savonius turbine, which is beneficial to increase the energy conversion at the turbine. It is important to emphasize that, in the present work, the design of the deflector is not investigated, and the rectangular deflector used here caused a vortex detachment behind the deflector, generating some perturbed flow that also impinges on the turbine. This explains, for example, the oscillations observed in Ppneumatic and Pturbine for initial instants of time, as can be seen in Figure 7 and Figure 8.
Figure 11 shows the velocity field for the use of two deflectors. As can be seen, the insertion of the second deflector, downstream of the turbine, caused the displacement of the velocity jet that flows in the gap between the advance blade and the superior surface of the duct. It flows toward the inferior region of the duct following the turbine’s rotation movement. This behavior, in general, tends to increase the mechanical power of the turbine. Also in a general way, there is an indication that the insertion of the deflectors intensifies the flow impinging on the turbine, increasing its performance. It is worth noting that, for the present configurations, the deflectors also generated some instabilities in the flow due to the detachment of the boundary layer in the corners of the deflectors and the vortex generation behind them. Therefore, the results indicated a necessity to investigate the aerodynamic behavior of the deflectors, which is not within the scope of the present work.
To summarize, Figure 12 and Figure 13 show the effect of the ratio H1/L1 on time-averaged Ppneumatic and Pturbine, respectively, for the three different configurations of deflectors investigated. To obtain the time-averaged magnitudes of power, the curves of instantaneous powers, as illustrated in Figure 7 and Figure 8, are averaged in time. This process was carried out for all 42 simulations. Figure 12 indicates that the lowest ratio, H1/L1 = 0.2 led to the worst performance, regardless of the configuration investigated, while the best performance is obtained for the highest magnitude of (H1/L1)o = 1.8. Differences of 7.25%, 4.85%, and 6.25% are noticed between the best and worst configurations in terms of Ppneumatic. It is also observed that, when N = 0, the variation of Ppneumatic is smoother along all of the range of H1/L1 than for N = 1 and N = 2, where a step variation happened in the range 0.2 ≤ H1/L1 ≤ 0.4 followed by almost constant magnitudes of Ppneumatic and Pturbine. It is important to observe that the Ppneumatic was strongly intensified when the deflectors intruded into the domain, indicating that it can be an interesting strategy to improve the performance of the studied problem. The best configuration, obtained for N = 2 and (H1/L1)o = 1.8, led to Ppneumatic = 16.61 kW, which is 119% and 62% superior to the cases with N = 1 and N = 0, respectively. A similar behavior can be viewed in Figure 13 for Pturbine, where the worst performance occurred for the lowest magnitudes of H1/L1 and few differences in the performance are noticed for H1/L1 > 0.4. The only difference here is that the best performance of H1/L1 is reached for H1/L1 = 0.4 when N = 1, instead of H1/L1 = 1.8, which is obtained when N = 1 for available power. For Pturbine, the best performance is achieved for N = 2 and (H1/L1)o = 1.8, where Pturbine = 15.2 kW. The optimal configuration led to a performance of 68% and 130% superior to the best cases reached for N = 1 and N = 0, respectively. Concerning the power coefficients, the magnitudes varied from 0.68 to 0.82, increasing with the augmentation of N. These magnitudes are significantly higher than those obtained for the free turbine configuration. The highest magnitudes of CP are obtained for the lower magnitudes of H1/L1 = 0.4, 0.2, and 0.2 for N = 0, 1, and 2, respectively.
Figure 12.
Effect of the ratio H1/L1 on the Ppneumatic for different configurations of deflectors.
Figure 13.
Effect of the ratio H1/L1 on the Pturbine for different configurations of deflectors.
In general, two mechanisms can explain the increase in performance with the insertion of the deflectors. The first one is the increase in momentum impinging the advance blade, as observed in the velocity fields of Figure 10 and Figure 11. The second one is the increase in pressure drop between the chamber and the turbine duct region of the device due to the increase in flow restriction. For the present motivation, which is to obtain theoretical recommendations on the use of a Savonius turbine in an OWC device, this second mechanism should be investigated considering a device coupled with a wave channel to evaluate if the restriction imposed by the deflectors does not meager the hydropneumatic effect in the chamber. This influence is not considered in the present simulations.
5. Conclusions
In this work, a two-dimensional domain composed of an L-shaped channel with a Savonius turbine placed inside an exhaust duct was studied. The numerical solution modeled a turbulent, incompressible, and transient airflow. The present problem represented a geometry that resembles an OWC device. The main purpose was to insert rectangular deflectors to investigate their influence on the device performance, measured here by Ppneumatic and Pturbine, and evaluate the effect of the height/length of the chamber (see Figure 1), H1/L1, on the system performance in the light of the constructal design method.
Overall, the findings indicated that adding deflectors significantly boosts the device’s power capacity. Differences of around 130% were achieved when the best configuration obtained for the case with two deflectors was compared with the best case obtained for the configuration devoid of deflectors (N = 0). The influence of the deflectors was higher than the influence of the ratio H1/L1 of the chamber, which obtained a peripheral contribution, with differences of nearly 7% when the best and worst configurations were compared. The velocity fields indicated that the use of deflectors intensified the momentum impinging the advance blade, resulting in a significant increase in the performance. For N = 2, the upper jet in the gap turbine and duct is directed toward the lower region of the duct, making the jet follow the rotational advance blade, increasing even more the system performance. The configuration of the rectangular deflectors used here also contributed to a detachment of the boundary layers and vortex generation, mainly in the upstream deflector, generating more perturbed flow, impinging the turbine, and generating oscillations in the conversion on the turbine. Despite that, the results for the insertion of deflectors were promising.
For future work, it is recommended to conduct a geometrical investigation of the deflectors to obtain more aerodynamic patterns, further improving the available and mechanical powers of the device, as well as reducing the instabilities in the flow impacting the turbine. Some improvements in the modeling should be investigated, e.g., the curve of Cp as a function of λ for each case must be investigated to verify whether changes in configuration led to changes in the curve of Cp(λ) and to perform a rigorous investigation of the time interval necessary for stabilization of mean Cp as a function of time for different geometrical configurations. Moreover, it is recommended to simulate the use of deflectors in a device coupled with a wave channel to investigate whether the increase in the pressure drop caused by the deflectors affects the hydropneumatic oscillations in the OWC device.
Author Contributions
Conceptualization, A.L.G.S., J.A.S. and E.D.d.S.; methodology, A.L.G.S. and E.D.d.S.; software, A.L.G.S. and J.C.M.; validation, A.L.G.S., G.d.C.D. and E.D.d.S.; formal analysis, A.L.G.S. and E.D.d.S.; investigation, A.L.G.S. and E.D.d.S.; resources, L.A.I., L.A.O.R., J.A.S. and E.D.d.S.; data curation, L.A.I., G.d.C.D. and E.D.d.S.; writing—original draft preparation, A.L.G.S., J.C.M. and E.D.d.S.; writing—review and editing, L.A.I., G.d.C.D., L.A.O.R. and J.A.S.; visualization, J.C.M., G.d.C.D. and E.D.d.S.; supervision, J.A.S. and E.D.d.S.; project administration, L.A.I., L.A.O.R., J.A.S. and E.D.d.S.; funding acquisition, L.A.I., L.A.O.R., J.A.S. and E.D.d.S. All authors have read and agreed to the published version of the manuscript.
Funding
This research was financed in part by the Coordenação de Aperfeiçoamento de Pessoal de Nível Superior—Brazil (CAPES)—Finance Code 001; the authors E.D.d.S., L.A.I., L.A.O.R., and J.A.S. thank the Conselho Nacional de Desenvolvimento Científico e Tecnológico—Brazil (CNPq) for research grants (processes 308396/2021-9, 309648/2021-1, 307791/2019-0, and 305994/2022-0). The authors also thank CNPq for financial support in the Call Nº 38/2018-CNPq/Equinor Energia Ltd. (Process: 440010/2019-5) and CNPq/MCTI Nº 10/2023-Universal (Process: 403408/2023-7), as well as the Fundação de Amparo à Pesquisa do Estado do Rio Grande do Sul—Brazil (FAPERGS), Public Call FAPERGS 07/2021—Programa Pesquisador Gaúcho—PqG (Process: 21/2551-0002231-0).
Institutional Review Board Statement
Not applicable.
Informed Consent Statement
Not applicable.
Data Availability Statement
The data presented in this study are available upon request from the corresponding author. The data are not publicly available due to privacy reasons.
Acknowledgments
The author A.L.G.S. thanks CNPq for the doctorate scholarship (Process: 440010/2019-5). J.C.M. thanks CAPES for post-doctorate scholarship (Process: 88887.800915/2023-00). The authors L.A.I., L.A.O.R., J.A.S., and E.D.d.S. thank CNPq for the research grant (Processes: 306012/2017-0, 307791/2019-0, 305994/2022-0, and 306024/2017-9). The authors A.L.G.S. and E.D.d.S. thank CNPq for the financial support in the CNPq/Equinor Energia Ltd., Call Nº 38/2018 (Process: 440010/2019-5). All authors thank CNPq for financial support in the Call CNPq/MCTI Nº 10/2023–Universal (Process: 403408/2023-7). L.A.I. thanks FAPERGS (Public Call FAPERGS 07/2021—PqG, Process: 21/2551-0002231-0).
Conflicts of Interest
The authors declare no conflicts of interest. The funders had no role in the design of the study; in the collection, analyses, or interpretation of data; in the writing of the manuscript; or in the decision to publish the results.
References
- Jenniches, S. Assessing the regional economic impacts of renewable energy sources—A literature review. Renew. Sustain. Energy Rev. 2018, 93, 35–51. [Google Scholar] [CrossRef]
- Falcão, A.F.O. Wave Energy Utilization: A Review of the Technologies. Renew. Sustain. Energy Rev. 2010, 14, 899–918. [Google Scholar] [CrossRef]
- Gavathri, R.; Chang, J.-Y.; Tsai, C.-C.; Hsu, T.-W. Wave Energy Conversion through Oscillating Water Columns: A Review. J. Mar. Sci. Eng. 2024, 12, 342. [Google Scholar] [CrossRef]
- Guo, B.; Wang, T.; Jin, S.; Duan, S.; Yang, K.; Zhao, Y. A Review of Point Absorber Wave Energy Converters. J. Mar. Sci. Eng. 2022, 10, 1534. [Google Scholar] [CrossRef]
- Chen, P.; Wu, D. A review of hybrid wave-tidal energy conversion technology. Ocean Eng. 2024, 303, 117684. [Google Scholar] [CrossRef]
- He, G.; Luan, Z.; Zhang, W.; He, R.; Liu, C.; Yang, K.; Yang, C.; Jing, P.; Zhang, Z. Review on research approaches for multi-point absorber wave energy converters. Renew. Energy 2023, 218, 119237. [Google Scholar] [CrossRef]
- Twidell, J.; Weir, T. Renewable Energy Resources, 3rd ed.; Taylor & Francis: Oxford, UK, 2015. [Google Scholar]
- Müller, G.; Whittaker, T.J.T. Field measurements of breaking wave loads on a shoreline wave power station. Proc. ICE Water Marit. Energy 1995, 112, 187–197. [Google Scholar] [CrossRef]
- Müller, G.; Whittaker, T.J.T. An evaluation of design wave impact pressures. J. Waterw. Port Coast. Ocean Eng. 1996, 122, 55–58. [Google Scholar] [CrossRef]
- Patterson, C.; Dunsire, R.; Hillier, S. Development of wave energy breakwater at Siadar, Isle of Lewis. In Proceedings of the ICE Conference Coasts, Marine Structures & Breakwaters, Edinburgh, UK, 16–18 September 2009; pp. 738–749. [Google Scholar] [CrossRef]
- Bryden, I.G. Progress towards a viable UK marine renewable energy. In Proceedings of the ICE Conference Coasts, Marine Structures & Breakwaters, Edinburgh, UK, 16–18 September 2009; pp. 2–13. [Google Scholar] [CrossRef]
- Torre-Enciso, Y.; Ortubia, I.; López de Aguileta, L.I.; Marqués, J. Mutriku Wave Power Plant: From the thinking out to the reality. In Proceedings of the 8th European Wave and Tidal Energy Conference, Uppsala, Sweden, 7–10 September 2009; pp. 319–329. [Google Scholar]
- Torre-Enciso, Y.; Marqués, J.; López de Aguileta, L.I. Lessons learnt. In Proceedings of the 3rd International Conference on Ocean Energy, Bilbao, Spain, 6–8 October 2010; pp. 1–6. [Google Scholar]
- Thakur, N.; Biswas, A.; Kumar, Y.; Basumatary, M. CFD analysis of performance improvement of the Savonius water turbine by using an impinging jet duct design. Chin. J. Chem. Eng. 2019, 27, 794–801. [Google Scholar] [CrossRef]
- Sarma, N.K.; Biswas, A.; Misra, R.D. Experimental and computational evaluation of Savonius hydrokinetic turbine for low velocity condition with comparison to Savonius wind turbine at the same input power. Energy Conv. Manag. 2014, 83, 88–98. [Google Scholar] [CrossRef]
- Brusca, S.; Galvagno, A.; Mauro, S.; Messina, M.; Lanzafame, R. Bell-Metha Power Augmented Savonius turbine as Take-off in OWC Systems. J. Phys. Conf. Ser. 2023, 2648, 012015. [Google Scholar] [CrossRef]
- Mauro, S.; Brusca, S.; Lanzafame, R.; Messina, M. CFD modeling of a ducted Savonius wind turbine for the evaluation of the blockage effects on rotor performance. Renew. Energy 2019, 141, 28–39. [Google Scholar] [CrossRef]
- Santos, A.L.; Fragassa, C.; Santos, A.L.G.; Vieira, R.S.; Rocha, L.A.O.; Conde, J.M.P.; Isoldi, A.L.; Santos, E.D. Development of a Computational Model for Investigation of an Oscillating Water Column Device with a Savonius Turbine. J. Mar. Sci. Eng. 2022, 10, 79. [Google Scholar] [CrossRef]
- Santos, A.L.G.; Petry, A.P.; Isoldi, L.A.; Dias, G.C.; Souza, J.A.; Dos Santos, E.D. Development of a computational model for the simulation of an oscillating water column wave energy converter considering a Savonius turbine. Defect Diffus. Forum 2023, 427, 95–106. [Google Scholar] [CrossRef]
- Guo, P.; Zhang, Y.; Chen, W. Fully Coupled Wave-to-Electricity Model for a Backward Bent Duct Buoy Oscillating Water Column Wave Energy Converter. Energy 2024, 294, 130870. [Google Scholar] [CrossRef]
- Wang, C.; Zhang, Y.; Xu, H.; Chen, W. Multi-stage wave energy conversion and electric power estimation of a chamber-breakwater integrated system with a U-shaped impulse turbine. Energy Convers. Manag. 2024, 313, 118591. [Google Scholar] [CrossRef]
- Darvishyadegari, M.; Hassanzadeh, R. Evaluation of a Savonius wind turbine in the vicinity of a circular cross-sectional building. J. Build. Eng. 2024, 93, 109818. [Google Scholar] [CrossRef]
- Abdullah, M.S.; Ismail, F. Optimization of Savonius rotor blade performance using Taguchi method: Experimental and 3D-CFD approach. Energy 2024, 303, 131801. [Google Scholar] [CrossRef]
- Ghafoorian, F.; Mirmotahari, S.R.; Wan, H. Numerical study on aerodynamic performance improvement and efficiency enhancement of the savonius vertical axis wind turbine with semi-directional airfoil guide vane. Ocean Eng. 2024, 307, 118186. [Google Scholar] [CrossRef]
- Ghafoorian, F.; Mirmotahari, S.R.; Mehrpooya, M.; Akhlaghi, M. Aerodynamic performance and efficiency enhancement of a Savonius vertical axis wind turbine with semi-directional curved guide vane, using CFD and optimization method. J. Braz. Soc. Mech. Sci. Eng. 2024, 46, 443. [Google Scholar] [CrossRef]
- Bizhanpour, A.; Hasanzadeh, N.; Najafi, A.F.; Magagnato, F. Investigation of different deflector geometry and mechanism effect on the performance of an in-pipe hydro Savonius turbine. Appl. Energy 2023, 350, 121697. [Google Scholar] [CrossRef]
- Redchyts, D.; Fernandez-Gamiz, U.; Tarasov, S.; Portal-Porras, K.; Tarasov, A.; Moiseienko, S. Comparison of aerodynamics of vertical-axis wind turbine with single and combine Darrieus and Savonius rotors. Results Eng. 2024, 24, 103202. [Google Scholar] [CrossRef]
- Hendaryati, R.H.; Soegiharto, A.F.H.; Salwansvah, D.; Rahmandika, A.; Jalaali, B. Savonius-Magnus Hybrid Turbine Design Performance Based on Computational Fluid Dynamics. CFD Lett. 2024, 16, 10. [Google Scholar] [CrossRef]
- Martins, K.L.; Silva, R.B.; Silvestre, G.M.; Pinto, V.T.; Dos Santos, E.D.; Isoldi, L.A.; Rocha, L.A.O. Constructal design applied to geometrical analysis of a triangular arrangement of H-Darrieus wind turbines. Int. J. Hydromech. 2020, 3, 155–166. [Google Scholar] [CrossRef]
- Abdel-razak, M.H.; Emam, M.; Ookawara, S.; Hassan, H. Power performance enhancement for a three-turbine cluster of two-stage Savonius rotors using Taguchi approach. Energy 2024, 308, 132903. [Google Scholar] [CrossRef]
- Santos, A.L.G.; Teixeira, F.B.; Isoldi, L.A.; Souza, J.A.; Gomes, M.N.; Rocha, L.A.O.; dos Santos, E.D. Numerical analysis of a Savonius turbine inserted in oscillating water column wave energy converter. In Proceedings of the 26th International Congress of Mechanical Engineering, Florianópolis, Brazil, 24 November 2021; pp. 1–10. [Google Scholar] [CrossRef]
- Patankar, S.V. Numerical Heat Transfer and Fluid Flow; McGraw-Hill: New York, NY, USA, 1980. [Google Scholar]
- Maliska, C.R. Heat Transfer and Computational Fluid Mechanics, 2nd ed.; LTC: Livros Técnicos e Científicos, Federal University of Santa Catarina: Florianópolis, Brazil, 2004. (In Portuguese) [Google Scholar]
- Versteeg, H.K.; Malalasekera, W. An Introduction to Computational Fluid Dynamics—The Finite Volume Method, 2nd ed.; Longman: London, UK, 2007. [Google Scholar]
- Schlichting, H.; Gersten, K. Boundary-Layer Theory, 8th ed.; Springer: Berlin/Heidelberg, Germany, 2000. [Google Scholar]
- Wilcox, D.C. Turbulence Modeling for CFD, 3rd ed.; DWC Industries: La Cañada Flintridge, CA, USA, 2006. [Google Scholar]
- Menter, F.R.; Kuntz, M.; Langtry, R. Ten Years of Industrial Experience with the SST Turbulence Model. In Turbulence, Heat and Mass Transfer; Hanjali’c, K., Nagano, Y., Tummers, M., Eds.; Begell House: Danbury, CT, USA, 2003; Volume 4, pp. 625–632. [Google Scholar]
- Menter, F.R. Zonal Two Equation j–x Turbulence Models for Aerodynamic Flows. In Proceedings of the AIAA 24th Fluid Dynamics Conference, Orlando, FL, USA, 6–9 July 1993. [Google Scholar]
- Bejan, A. Shape and Structure, from Engineering to Nature; Cambridge University Press: New York, NY, USA, 2000. [Google Scholar]
- Bejan, A. Freedom and Evolution: Hierarchy in Nature, Society, and Science; Springer Nature: Cham, Switzerland, 2020. [Google Scholar]
- dos Santos, E.D.; Isoldi, L.A.; Gomes, M.d.N.; Rocha, L.A.O. The Constructal Design Applied to Renewable Energy Systems. In Sustainable Energy Technologies; Rincón-Mejía, E., de las Heras, A., Eds.; CRC Press: Boca Raton, FL, USA, 2017; pp. 45–62. ISBN 978-1-315-26997-9. [Google Scholar]
- Cresesb-Reference Center for Solar and Wind energy Sérgio de Salvo Brito. Wind Energy Principles and Technologies; Cresesb: Rio de Janeiro, Brazil, 2008; Available online: https://www.cresesb.cepel.br/ (accessed on 25 March 2021). (In Portuguese)
- Marjani, A.E.; Castro, F.; Bahaji, M.; Filali, B. 3D Unsteady Flow Simulation in an OWC Wave Converter Plant. In ICREPQ’ 06; GOSP: Palma de Mallorca, Spain, 2006. [Google Scholar]
- Geuzaine, C.; Remacle, J.-F. Gmsh: A 3-D Finite Element Mesh Generator with Built-in Pre and Post-Processing Facilities. Int. J. Numer. Meth. Eng. 2009, 11, 1309–1331. [Google Scholar] [CrossRef]
- ANSYS Inc. ANSYS Fluent Theory Guide; ANSYS Inc.: Canonsburg, PA, USA, 2021. [Google Scholar]
- Akwa, J.V.; Silva Júnior, G.A.; Petry, A.P. Discussion on the Verification of the Overlap Ratio Influence on Performance Coefficients of a Savonius Wind Rotor using Computational Fluid Dynamics. Renew. Energy 2012, 38, 141–149. [Google Scholar] [CrossRef]
- Blackwell, B.F.; Sheldahl, R.E.; Feltz, L.V. Wind Tunnel Performance Data for Two-and Three-Buckets Savonius Rotors; Final Report SAND76-0131; Sandia Laboratories: Albuquerque, NM, USA, 1977. [Google Scholar]
Disclaimer/Publisher’s Note: The statements, opinions and data contained in all publications are solely those of the individual author(s) and contributor(s) and not of MDPI and/or the editor(s). MDPI and/or the editor(s) disclaim responsibility for any injury to people or property resulting from any ideas, methods, instructions or products referred to in the content. |
© 2024 by the authors. Licensee MDPI, Basel, Switzerland. This article is an open access article distributed under the terms and conditions of the Creative Commons Attribution (CC BY) license (https://creativecommons.org/licenses/by/4.0/).












