Next Article in Journal
Status and Challenges of Marine Current Turbines: A Global Review
Previous Article in Journal
GL-STGCNN: Enhancing Multi-Ship Trajectory Prediction with MPC Correction
 
 
Font Type:
Arial Georgia Verdana
Font Size:
Aa Aa Aa
Line Spacing:
Column Width:
Background:
Article

State-Transform MPC-SMC-Based Trajectory Tracking Control of Cross-Rudder AUV Carrying Out Underwater Searching Tasks

1
School of Naval Architecture and Ocean Engineering, Huazhong University of Science and Technology, Wuhan 430074, China
2
College of Engineering, Huazhong Agricultural University, Wuhan 430070, China
3
Wuhan Second Ship Design and Research Institute, Wuhan 430025, China
*
Author to whom correspondence should be addressed.
J. Mar. Sci. Eng. 2024, 12(6), 883; https://doi.org/10.3390/jmse12060883
Submission received: 15 April 2024 / Revised: 18 May 2024 / Accepted: 21 May 2024 / Published: 26 May 2024
(This article belongs to the Section Ocean Engineering)

Abstract

In this study, we present a novel dual-loop robust trajectory tracking framework for autonomous underwater vehicles, with the objective of enhancing their performance in underwater searching tasks amidst oceanic disturbances. Initially, a real-world AUV experiment is conducted to validate the efficacy of a cross-rudder AUV configuration in maintaining sailing angle stability during the diving stage, which exhibits a strong capability for straight-line sailing. Building upon the experimental findings, we introduce a state-transform-model predictive guide law to compute the desired velocity for the dynamics loop. This guide law dynamically adjusts the controller across varying depths, thereby reducing model predictive control (MPC) computation while optimizing timing without compromising precision or convergence speed. Subsequently, we incorporate a sliding mode controller with a prescribed disturbance observer into the velocity control loop to concurrently enhance the robustness and convergence rate of the system. This innovative amalgamation of controllers significantly improves tracking precision and convergence rate, while also alleviating the computational burden—a pervasive challenge in AUV MPC control. Finally, various condition simulations are conducted to validate the robustness, effectiveness, and superiority of the proposed method. These simulations underscore the enhanced performance and reliability of our proposed trajectory tracking framework, highlighting its potential utility in real-world AUV applications.

1. Introduction

The escalating demand for ocean exploration and underwater scientific research has underscored the significance of autonomous underwater vehicles (AUVs), garnering considerable attention from both industry and scientific research entities. The multifaceted capabilities of AUVs encompass a wide array of tasks, including seabed exploration [1], underwater mapping [2], subsea facilities inspection [3], and oceanic scientific research [4,5]. Leveraging the efficiency of AUVs not only mitigates the risks associated with oceanic exploration but also enhances exploration efficacy and precision to a commendable extent.
According to the conclusion in [6], the AUV sailing system is categorized as “level 2” due to the prerequisite of environmental search prior to conducting the sailing experiment. Ensuring the safety and efficacy of underwater searching operations conducted by autonomous underwater vehicles (AUVs) necessitates the development of robust trajectory-tracking strategies characterized by high precision. Over the past few decades, considerable research efforts have been dedicated to exploring diverse control methodologies for AUV trajectory tracking. However, given the high levels of uncertainty and the complexity of the underwater environment [7,8], it is imperative that AUV control strategies exhibit a requisite level of robustness and stability.
The conventional PID method offers the advantages of straightforward parameter tuning and a stable adjustment process, making it suitable for addressing basic trajectory tracking challenges. However, its efficacy diminishes as trajectory tracking tasks grow in complexity, particularly within multi-input multi-output (MIMO) systems. Furthermore, fuzzy logic control has been applied in AUV trajectory tracking control [9,10]. Nevertheless, in environments characterized by complexity and diverse trajectory tracking requirements, frequent updates to fuzzy rules are necessary, leading to diminished robustness and applicability of the controller.
Backstepping control (BSC) is a control methodology that decomposes complex nonlinear systems into multiple subsystems and designs Lyapunov functions. This approach has found application in AUV trajectory tracking control [11]. In [12], a backstepping-based integral sliding surface was introduced with the aim of eliminating the reaching stage of the sliding surface. Additionally, to tackle disturbances and parameter uncertainty, an adaptive extreme learning machine (AELM) was devised. Integrating with Lyapunov-based nonlinear model predictive control (NMPC), a backstepping auxiliary law was introduced to expedite trajectory tracking convergence while ensuring overall control strategy stability [13]. However, a limitation of BSC is its inability to effectively suppress the adverse effects of disturbances and parameter uncertainty.
Due to the demanding and intricate operational conditions of AUVs, the imperative consideration of robustness and strong anti-jamming capabilities arises during controller design. Disturbances stemming from factors such as winds, waves, and ocean currents underscore the necessity for robustness [14]. Sliding mode control (SMC) stands as a widely employed strategy for AUVs due to its robust anti-jamming characteristics and notable convergence amidst oceanic disturbances and parameter uncertainties. In [15], a pioneering approach was introduced, namely the super-hyperbolic switching algorithm-based sliding mode controller augmented with a disturbance observer, aimed at enhancing trajectory tracking for X-rudder AUVs. Additionally, a dual-loop integral sliding mode control method was devised to statically compensate for AUV dynamics and mitigate model uncertainty, thereby bolstering controller robustness [16]. Furthermore, an adaptive reaching law was developed within sliding mode control to facilitate fault tolerance in AUV operations, thereby improving convergence times and trajectory tracking accuracy [17]. In [18], a combination of sliding mode feedback law and adaptive line-of-sight was employed, effectively eliminating the need for actual attack angle and compensating for pitch-tracking inaccuracies. Additionally, in reference [19], a novel chattering-free robust predefined-time sliding mode control scheme was proposed to enhance the robustness and tracking precision of a 3-DOF ROV under matched uncertainties conditions. In [20], a robust high-order sliding mode controller was designed to improve the convergence speed of the AUV tracking error. However, a common challenge encountered in sliding mode control pertains to “chattering”, occurring when control inputs are non-consecutive amidst external disturbances [21,22]. Researchers have often addressed this issue by navigating a trade-off between convergence time and chattering, thereby compromising controller efficiency [23].
Model predictive control (MPC) presents an effective methodology for addressing multi-constraint control challenges. This approach entails computing optimal solutions in each step through a target function integrating various control requirements and physical constraints. By leveraging real-time system state information, MPC resolves finite-time domain open-loop control problems and implements the initial step of the optimal control sequence into the real system. A novel distributed model predictive controller utilizing Lyapunov principles, complemented by a rapid finite-time extended state observer, was introduced to optimize velocities and control forces for AUVs across diverse tracking tasks and disturbances [24]. Ref. [25] introduced a linear model predictive control approach enhanced with a fuzzy controller to achieve constrained path following for median and paired fin-propelled robotic fish, resulting in improved precision in path following. Moreover, in [26], the challenge of speed variation and obstacle avoidance in multi-AUV systems was addressed by incorporating compatibility constraints into MPC, thereby limiting uncertainty deviation for each AUV. Although MPC possesses advantages, it is burdened by the substantial computational requirements needed to solve an open-loop optimal control problem. As dimensions of decision variables, control constraints, and prediction horizons increase, computational burdens escalate, potentially compromising operational efficiency. Consequently, common strategies to mitigate this issue include reducing decision variables and prediction horizons [27]. Furthermore, it is noteworthy that the majority of current MPC research in AUVs predominantly focuses on hard constraints, often overlooking or relegating soft constraints to a secondary consideration. However, in certain scenarios, soft constraints offer notable advantages, such as reducing iterations, enhancing control performance, and minimizing AUV energy consumption [28].
Focusing on underwater searching tasks such as underwater mapping or underwater source searching, AUVs commonly descend to a designated depth before undertaking specific tracking tasks [29,30]. The meticulously designed cross-rudder structure facilitates AUV descent to target depths without requiring directional control, thereby reducing the number of decisive variables in MPC design during the diving phase. Consequently, computational workload and calculation time are substantially diminished, addressing a prevalent challenge encountered in MPC implementation. As diving control mainly centers on the vertical movement of AUVs, the movements within the horizontal plane and lateral plane were presumed to be stable and therefore disregarded [31,32]. To simplify the analyzing process of the diving AUV stage, the 3DOF has been selected as offering model simplification without being divorced from reality. This has been adopted in related AUV diving control research literature [33,34]; this research, however, mentioned the assumption without any verification from an real-AUV experiment.
From the aforementioned discussion, it becomes evident that precise and highly robust trajectory tracking control methods are imperative for cross-rudder AUVs. To streamline the analysis process, we chose the three-degrees-of-freedom (3DOF) AUV model in a vertical plane as the target for simulation and experimentation during the diving stage. Real-AUV experiments were conducted to validate this assumption. Furthermore, addressing the challenge of heavy computational workload in the design of the MPC process is crucial. To mitigate this issue, we propose a dual closed-loop control framework that combines 3DOF MPC and 5DOF MPC in the kinematics loop. A key innovation lies in the introduction of a state-transform MPC controller, dynamically transforming two MPCs across different depths within a kinematics loop. Simultaneously, a sliding mode control law with a prescribed time disturbance observer is integrated to enhance robustness, fully leveraging the computational results from MPC, and to mitigate the adverse effects of ocean disturbances. In the context of MPC-based trajectory tracking control, the optimization procedure facilitates the automatic utilization of sliding mode control’s capabilities to generate optimal tracking control and accelerate error convergence speed. The main contributions of this research can be summarized as follows:
(1)
A real-AUV experiment was conducted wherein the cross-rudder AUV was directed to dive to the target depth without lateral motion control. Upon completion of the experiment, it was observed that the AUV successfully dived to the target depth without lateral motion, attributed to its robust straight-line sailing ability. To the best of the authors’ knowledge, a similar experiment has not been carried out.
(2)
We propose a state-transform MPC guide law tailored for the cross-rudder AUV to achieve precise trajectory tracking control within the kinematics loop. Initially, a state-switch MPC controller is introduced to calculate the target velocity in the kinematics loop. Specifically, leveraging the MPC guide law based on state transformation significantly reduces the computational workload. Additionally, to mitigate controller overshoot, the MPC is proactively transformed prior to reaching the target depth. Comparative analysis with conventional MPC reveals superior trajectory tracking performance and minimal control overshoot. For the dynamics loop, a sliding mode controller is employed to augment velocity control effectiveness. This velocity SMC with the prescribed time disturbance observer for the dynamic loop accelerates velocity error convergence, fully leveraging the computational results from MPC, and enhancing anti-jamming capability. Comparison with MPC without sliding mode control demonstrates enhanced maneuverability and adaptability.
(3)
Comparative evaluation against traditional MPC and conventional model predictive controller with sliding mode controller and a disturbance observer underscores the efficacy of the proposed control framework in alleviating computational workload challenges and significantly reducing optimization time. Moreover, the framework exhibits rapid convergence, thereby enhancing the accuracy and stability of cross-rudder AUV control.
The following sections of this paper are organized as follows. Section 2 delineates the 5DOF-AUV model and expounds upon the trajectory tracking control problem, elucidating two distinct steps involved therein. Section 3 expounds upon the design procedure of the proposed control method, encompassing the state-transform MPC guide law for the kinematic loop and the SMC with a disturbance observer for the dynamics loop control, alongside stability analysis. In Section 4, a comparative simulation experiment is conducted, contrasting the efficacy of various controllers. Finally, Section 5 encapsulates the conclusions drawn from this study.

2. Modeling and Problem Formulation

2.1. Preliminaries and Nomenclatures

Lemma 1 [35].
The equilibrium point  x = 0  can be deemed globally finite-time stable if there exists a Lyapunov function that fulfills the following condition:
V ˙ ( x ) + λ 1 V ( x ) + λ 2 V k ( x ) 0
 where  λ 1 > 0 , λ 2 > 0 , 0 < k < 1 . The settling time can be expressed as follows:
t 1 λ 1 ( 1 k ) ln λ 1 V 1 k ( x 0 ) + λ 2 λ 2
 where  V ( x 0 )  is the initial value of V ( x ) .
Lemma 2 [36].
The following disturbance observer is able to maintain the observation error at a defined compact set Ω 0  in a prescribed time   T . The detailed expression of estimate disturbance is shown as follows:
d ^ = ξ + ( K 0 + C 0 ζ ˙ ( t ) ζ ( t ) ) M v
where K 0  and  C 0  are constant matrix.   ξ  is an auxiliary state vector and  ζ ( t )  is a time-varying function which is
ζ ( t ) = exp [ ( ϖ ( T t ) ) ] 1   t [ 0 , T ) exp [ ( ϖ ( t T ) ) ]       t [ T , )
where ϖ ( 0 , ln ( 2 ) / T ] , T > 0 are positive design parameters.

2.2. Frames of Reference

To facilitate motion control analysis, it is imperative to construct a coordinated system for the AUV. This following coordinated system comprises the inertial reference frame denoted as {E} and the body-fixed frame denoted as {I}. The transformation of coordinates enables seamless interconversion between these frames, as depicted in Figure 1.

2.3. Modeling of the Cross-Rudder AUV

In this study, it is assumed that the vehicle exhibits neutral buoyancy and is endowed with a robust hydrodynamic restoring force in the rolling direction [37,38]. Consequently, to simulate the process of underwater searching, both the five-degrees-of-freedom (5DOF) mathematical model and the three-degrees-of-freedom (3DOF) model are employed to elucidate subsequent experiments. Drawing from references [31,39], the equations governing AUV motion are described as follows:
η i = J i v i ( i = 3 , 5 ) M i v ˙ i + C i v i + D i v i = τ i + d i ( i = 3 , 5 )
We select i = 3 , 5 the subscript of the variable to distinguish the variable from the 3DOF and 5DOF models. η i is the derivative of the vehicle’s position vector. J i is the rotation matrix of the AUV. v i is the velocity vector of the AUV. C i , D i , and M i represent the addition matrix, the hydrodynamic damping matrix, and the system inertia matrix respectively. τ i is defined as the force and moment from the propeller and rudders.
From the AUV motion equation, the kinematics and the dynamics model of 5DOF cross-rudder AUV [38] and 3DOF [22] cross-rudder AUV can be formulated as follows:
x ˙ = u cos ( θ ) cos ( φ ) v sin ( φ ) + w sin ( θ ) cos ( φ ) y ˙ = u cos ( θ ) sin ( φ ) + v cos ( φ ) + w sin ( θ ) sin ( φ ) z ˙ = u sin ( θ ) + w cos ( θ ) θ ˙ = q φ ˙ = r / cos ( θ )
x ˙ = u cos ( θ ) + w sin ( θ ) z ˙ = u sin ( θ ) + w cos ( θ ) θ ˙ = q
where x ˙ , y ˙ , z ˙ , θ ˙ , φ ˙ and x ˙ , z ˙ , θ ˙ represent the derivation position and orientation variables, respectively, of the 5DOF cross-rudder AUV model and 3DOF cross-rudder AUV in the inertial reference frame. Additionally, u , v , w , q , r denote the surge, sway, heave, pitch, and yaw in the 5DOF AUV model and 3DOF AUV in {I}, respectively. Moreover, the dynamic model of both the 5DOF and 3DOF cross-rudder AUV can be delineated as follows [15]:
( m X u ˙ ) u ˙ = X u u u u + ( X w q m ) w q + X q q q 2 + X r r r r   + ( X v r + m ) v r + τ u + d u ( m Y v ˙ ) v ˙ = Y v v v v + Y r r r r + ( Y u r m ) u r   + Y u v u v + τ v + d v ( m Z w ˙ ) w ˙ = Z w w w w + Z q q q q + ( Z u q + m ) u q + Z u w u w   + τ w + d w ( I y y M q ˙ ) q ˙ = M w w w w + M q q q q + M u q u q   + M u w u w + τ q + d q ( I z z N r ˙ ) r ˙ = N v v v v + N r r r r + N u r u r + N u v u v   + τ r + d r
( m X u ˙ ) u ˙ = X u u u u + ( X w q m ) w q + X q q q 2 + τ u + d u ( m Z w ˙ ) w ˙ = Z w w w w + Z q q q q + ( Z u q + m ) u q + Z u w u w + τ w + d w ( I y y M q ˙ ) q ˙ = M w w w w + M q q q q + M u q u q + M u w u w + τ q + d q
where u ˙ , v ˙ , w ˙ , q ˙ , r ˙ denote the derivation of surge, sway, heave, pitch, and yaw of AUV in the body-fixed frame, respectively. A o and A o o ( A = X , Y , Z , K , M , N , o = u , v , w , q , r ) are the hydrodynamic coefficients corresponding to the direction. m denotes the mass of the cross-rudder AUV; τ o ( o = u , v , w , q , r ) are the forces and moments exerted by the propeller and rudders, respectively; I y y and I z z denote the vehicle moments of inertia in the body-fixed frame.
Assumption 1.
The unknown oceanic disturbances  d o ( o = u , v , w , q , r )  are characterized as continuous and bounded by unknown upper limits [40].
Assumption 2.
The buoyancy force exerted on the AUV is equilibrated by the gravitational force acting upon it. Furthermore, the center of buoyancy aligns exactly with the center of gravity, located at the origin point of the AUV [34,41].
Assumption 3.
All state variables of the kinematics and dynamics model in Equation (5) through Equation (9) are measurable.
Remark 1.
Assumption 3 stipulates the measurability of the cross-rudder AUV. In challenging and unpredictable underwater environments, AUVs are typically outfitted with a suite of sensors including a depth gauge, inertial navigation system (INS), Doppler velocity log (DVL), Global Positioning System (GPS), and various others. These sensors constitute an integral component of the AUV’s navigational system, continuously providing real-time data on key parameters such as velocity and position.

2.4. Problem Formulation

As the mission objectives of the AUV vary significantly between the diving stages and the searching stage, a clear definition and categorization of the tasks accordingly has become quite essential. As depicted in Figure 2, the missions involving trajectory tracking of underwater searching are segmented into the diving stage and the searching stage. In the diving stage, the AUV dives to the target depth as specified by the operator. Upon reaching the designated depth, the AUV transitions to the searching stage. Here, the AUV follows a predetermined search path determined by the searching area and the location of underwater resources.
Based on the depiction in Figure 3, it is evident that conventional AUV configurations are characterized by the presence of vertical and horizontal rudders, which afford independent control over depth and lateral motion, respectively. Notably, these control mechanisms operate devoid of significant coupling effects. Consequently, AUVs endowed with robust straight-line sailing capabilities can effectively navigate to the desired depth while concurrently maintaining a consistent sailing heading within narrow margins. Thus, we posit the following assumption in light of the aforementioned observation.
Remark 2.
To further validate the conclusions drawn and the results obtained from the subsequent simulations, the 3DOF AUV model is chosen to represent the diving stage, while the 5DOF AUV model serves as the underwater searching model.
Assumption 4.
As depicted in Figure 3, the distinctive structure of the cross-rudder AUV effectively mitigates the coupling effect. The vertical and horizontal rudders are designated to control the depth and sailing angle, respectively. Endowed with robust straight-line sailing ability and stability, the cross-rudder AUV demonstrates the capability to navigate to the target depth without necessitating directional control.
To validate the assumption, a real-AUV sailing experiment was conducted in a controlled water pool environment. In this experiment, the dual-loop PID method was employed for depth control, while direction motion control was disabled to ascertain the AUV’s ability to descend to the target depth and maintain a bounded sailing angle simultaneously. The control framework is depicted in Figure 4.
The target depths were configured at 2 m and 3 m. In the pitch transform control PID, the K p , K i and K d parameters were set to −5.6, 0, and 0. For the pitch control PID system, the corresponding K p , K i and K d PID parameters were chosen as 1.2, 0.8, and 0.2. The control effects at depths of 2 m and 3 m are presented in Figure 5 and Figure 6, respectively.
Based on the experiment data presented above, it was evident that the cross-rudder AUV successfully descended to the target depth while maintaining the sailing angle within narrow bounds, all without requiring directional control. This conclusion underscores the capability of the cross-rudder AUV, characterized by robust straight-line sailing ability, to synchronize depth control and maintain the sailing angle concurrently.
With the above conclusion, the further variables are defined. To distinguish the variable from the 3DOF and 5DOF models, we select the subscript of the variable. We define the actual position state as p i ( i = 3 , 5 ) and the desired vector as p i d ( i = 3 , 5 ) . We define the position state of the 5DOF AUV as p 5 = ( α 5 x , α 5 y , α 5 z , α 5 θ , α 5 φ ) T , and the desired vector p 5 d = ( α 5 x d , α 5 y d , α 5 z d , α 5 θ d , α 5 φ d ) T . The desired AUV altitude α 5 θ d   α 5 φ d can be calculated by the following, which is shown in [42,43].
α θ d = arctan ( z ˙ d x ˙ d + y ˙ d ) α φ d = arctan ( y ˙ d x ˙ d )
Similarly, the AUV’s position and the desired position of the 3DOF vertical AUV model are defined as p 3 = ( α 3 x , α 3 z , α 3 θ ) T and p 3 d = ( α 3 x d , α 3 z d , α 3 θ d ) T . The α 3 θ d is defined as α 3 θ d = arctan ( z ˙ 3 d x ˙ 3 d ) .
Therefore, considering the altitude and the position error, the AUV trajectory tracking error is defined as P 5 e = ( α x e , α y e , α z e , α θ e , α φ e ) T , P 3 e = ( α x e , α z e , α θ e ) T , which is calculated by the following:
P 5 e = α x e = α x α x d α y e = α y α y d α z e = α z α z d α θ e = α θ α θ d α φ e = α φ α φ d P 3 e = α x e = α x α x d α z e = α z α z d α θ e = α θ α θ d
The primary objective in cross-rudder AUV underwater searching missions such as seafloor mapping or resource searching is the design of a robust controller capable of driving the position error vector to converge to zero in the presence of unknown oceanic disturbances. The control objective can be articulated as follows: achieving error convergence to zero as time approaches infinity through the utilization of the proposed controller.
lim t ( P 5 e , P 3 e ) = 0
Remark 3.
From Assumption 4, it follows that if the AUV exhibits strong rectilinear navigation capabilities, it can descend to the target depth with minimal deviation from the initial sailing angle. Consequently, during the diving phase, the selection of a 3DOF vertical model is justified for simulating the AUV’s behavior in underwater search missions. The 3DOF AUV model, as presented in reference [31], accounts for the AUV’s descent dynamics without incorporating explicit sailing control, aligning with the context of seafloor mapping simulations in this study. The subsequent controllers adhere to Assumption 4. A similar assumption has been posited in prior works [32,33,34], albeit without empirical validation through real-world AUV experimentation. In pursuit of confirming the accuracy of these assertions, real-world AUV experimentation was conducted, the results of which remain pending verification.
Remark 4.
Acknowledging that the experiment was conducted in a controlled test pool environment, it is important to recognize that environmental disturbances in this setting may not mirror the intensity experienced in natural environments. While Assumption 4 offers a valuable initial standpoint for further theoretical analysis, its applicability may necessitate refinement under specific conditions. For instance, in scenarios where the vehicle exhibits limited straight-line sailing ability or encounters stronger natural disturbances, a more nuanced evaluation of Assumption 4 becomes imperative.

3. Controller Design

In pursuit of the control objective and to fulfill the requirements of trajectory tracking for cross-rudder AUVs, a dual closed-loop controller is proposed. The first loop entails kinematics control, employing MPC with a transformation function to compute the target velocity. The second loop, known as the dynamics loop, comprises a robust SMC mechanism designed to ensure rapid convergence of the velocity state to the target velocity while minimizing overshoot or maintaining it at negligible levels. The configuration of the proposed controller is depicted in Figure 7.
Within the kinematics loop, the target reference p i d ( i = 3 , 5 ) and predictive state Y ˜ i ( i = 3 , 5 ) are acquired, enabling the determination of predictive errors. Subsequently, the target velocity v i d ( i = 3 , 5 ) is computed utilizing state-transformed model predictive control, with controller types discerned based on the AUV’s depth. Furthermore, velocity errors v i e ( i = 3 , 5 ) are mitigated via the sliding mode controller, facilitating the calculation of actual inputs τ i ( i = 3 , 5 ) . X i ( k + l | k ) is the AUV’s predictive state and the vector X i ( k | k ) is the initial state to calculate the Y ˜ i which is the predictive position state of the AUV.

3.1. Kinematics Predictive Model

To simulate the AUV underwater searching task, the 3DOF predictive model and 5DOF predictive model are chosen as the diving stage model and the searching stage model, respectively. These two predictive models are derived from distinct kinematics models. To control the motion, the kinematic model is reformulated using the LTI state-space representation framework, integrating a sampling period T , which is demonstrated in [44,45]:
G ( k + 1 ) = G ( k ) + T J ( k ) v ( k )
where G i ( k ) , v i ( k ) , and J i ( k ) are the position state, velocity state, and the rotation matrix in k th sampling time respectively. Therefore, G 5 ( k ) = ( α 5 x ( k ) , α 5 y ( k ) , α 5 z ( k ) , α 5 θ ( k ) , α 5 φ ( k ) ) T , G 3 ( k ) = ( α 3 x ( k ) , α 3 z ( k ) , α 3 θ ( k ) ) T , v 5 ( k ) = ( u 5 ( k ) , v 5 ( k ) , w 5 ( k ) , q 5 ( k ) , r 5 ( k ) ) T , and v 3 ( k ) = ( u 3 ( k ) , w 3 ( k ) , q 3 ( k ) ) T . The rotation matrix of 5DOF model J 5 ( k ) and 3DOF model J 3 ( k ) can be calculated by the kinematics model with
J 5 ( k ) = cos ( θ 5 ( k ) ) cos ( φ 5 ( k ) ) sin ( φ 5 ( k ) ) sin ( θ 5 ( k ) ) cos ( φ 5 ( k ) ) 0 0 cos ( θ 5 ( k ) ) sin ( φ 5 ( k ) ) cos ( φ 5 ( k ) ) sin ( θ 5 ( k ) ) sin ( φ 5 ( k ) ) 0 0 sin ( θ 5 ( k ) ) 0 cos ( θ 5 ( k ) ) 0 0 0 0 0 1 0 0 0 0 0 1 / cos ( θ 5 ( k ) ) J 3 ( k ) = cos ( θ 3 ( k ) ) sin ( θ 3 ( k ) ) 0 cos ( θ 3 ( k ) ) sin ( θ 3 ( k ) ) 0 0 0 1
To address this issue, an incremental version that incorporates the input vector is defined as:
u i ( k ) = v i ( k ) v i ( k 1 )
Therefore, the representation of the discrete model is illustrated with:
X ( k + 1 ) = A ( k ) X ( k ) + B ( k ) u ( k ) Y ( k ) = C X ( k )
where X i ( k ) = G i ( k ) v i ( k 1 ) , A i ( k ) = I i × i T J i ( k ) O i × i I i × i , B i ( k ) = T J i ( k ) I i × i , and Q i = I 3 × 3 O 3 × ( 2 i 3 ) . In A i ( k ) , B i ( k ) and Q i , the I and O stand for the unit matrix and the zeros matrix. In accordance with the definition of model predictive control, the prediction state sequence X ˜ i ( k ) of the AUV can be computed by advancing the prediction model over N P samplings with the sequence of control inputs u i ( k ) , which N P is designated as the prediction horizon. To ensure precise notation, the kinematics input u i ( k ) and the prediction state sequence X ˜ i ( k ) are denoted as follows:
u i ( k ) = u i ( k | k ) u i ( k + 1 | k ) u i ( k + 2 | k ) u i ( k + N P 1 | k ) X ˜ i ( k ) = X i ( k | k ) X i ( k + 1 | k ) X i ( k + 2 | k ) X i ( k + N P 1 | k )
where u i ( k + l 1 | k ) ( l = 1 N P ) and X i ( k + l 1 | k ) ( l = 1 N P ) represent the input sequence and the prediction state at the k -th sampling time, respectively. Utilizing the discrete model in Equation (10), the prediction state X i ( k + l 1 | k ) at the k -th sampling time can be computed as follows:
X i ( k + l 1 | k ) = A i ( k ) i X i ( k | k ) + j = 0 l 1 A i ( k ) l 1 j B i ( k ) u i ( k + j | k ) ( l = 1 , N P )
where X i ( k | k ) is the initial state at k -th sampling time. Therefore, the prediction of the position vectors Y ˜ i ( k ) can be re-expressed as:
Y ˜ i ( k ) = Y i ( k | k ) Y i ( k + 1 | k ) Y i ( k + 2 | k ) Y i ( k + N P 1 | k )
From Equations (17)–(19), the model can be re-constructed as follows:
X ¯ i ( k + 1 ) = A ¯ i ( k ) X i ( k ) + B ¯ i ( k ) u i ( k )
where A ¯ i ( k ) = [ A i ( k ) A i ( k ) 2 A i ( k ) N ] T and B ¯ i ( k ) is
B ¯ i ( k ) = B i ( k ) 0 0 A i ( k ) B i ( k ) B i ( k ) 0 A i ( k ) N P 1 B i ( k ) A i ( k ) N P 2 B i ( k ) B i ( k )
Remark 5.
Despite the differing degrees of freedom in the two models, both the discrete method and the linearized method utilized remain identical. The sole disparity between the two models lies in their state-space representation dimensions.

3.2. State-Transform MPC Design

3.2.1. Controller Design

At the core of MPC lies the determination of an optimal solution to the optimization problem. This problem is recurrently solved to minimize a predicted performance cost function by adjusting the current and future inputs of the system while adhering to system constraints. Formulated by combining the target reference and the AUV state at the time kth, the predicted performance cost function encompasses the state error. Upon solving the optimization problem, the very first element from each predictive velocity sequence is employed as the target velocity for dynamics control, while the remaining elements are reserved for subsequent optimization. This iterative process is meticulously repeated at each time step.
Considering the AUV depth and the target depth, the logic can be illustrated as follows:
s t a g e = 1   depth K target   depth 2   depth   < K target   depth
Here, K denotes a constant that is less than 1, with “stage” representing the current stage of operation. Specifically, a value of 1 corresponds to the diving stage, while 2 indicates the searching stage. The transition between stages facilitates the adjustment of control strategies accordingly. Initiating control actions before reaching the target depth can mitigate overshoot, as the more precise 5DOF controller is engaged.
Upon stage determination, both the 3DOF and 5DOF controllers undergo identical computational procedures. Despite their differing degrees of freedom, both MPC controllers share identical cost functions and state constraints. The primary distinction between these models lies in the dimensions they consider. Specifically, the 3DOF MPC does not account for sway and yaw, in contrast to the 5DOF MPC.
With the above definition of the position vector p i ( k ) and desired vector p i d ( k ) at the kth sampling time, the stage cost of the objective function is shown as follows:
p i ( k + l | k ) p i d ( k + l ) 2   Q i x + u i ( k + l 1 | k ) 2   Q i u
where the stage cost consists of the position error quadratic objective function and the input quadratic objective function, which is:
p i ( k + l | k ) p i d ( k + l ) 2   Q i x u i ( k + l 1 | k ) 2   Q i u
The objective function of the MPC controller at the k -th time is constructed as follows:
W i ( k ) = l = 1 N P p i ( k + l | k ) p i d ( k + l ) 2   Q i x + u i ( k + l 1 | k ) 2   Q i u ( i = 3 , 5 ) u min ( i ) u i ( k + l ) u max ( i ) ( i = 3 , 5 ) X min ( i ) X i ( k + l ) X max ( i ) ( i = 3 , 5 )
where i is used to distinguish the variables from the 3DOF controller and 5DOF controller; x 2   Q = x T Q x ; N P represents the prediction horizon and control horizon; and u i ( k + l 1 | k ) denotes the system inputs at time k + 1 . Q i x and Q i u are the weighting matrices; X min ( i ) and X max ( i ) signify the upper and lower horizon of the AUV state at time k , while u min ( i ) and u max ( i ) represent the upper and lower increment horizons of the AUV state at time k -th.
The design of the cost function aims to ensure both trajectory convergence speed and optimal utilization of the controller’s capabilities. By solving the aforementioned optimization problem, the optimal input sequence Δ v i ( k , k + N P 1 | k ) is obtained, with the first element utilized as the dynamics control input.
Δ v i ( k ) = Δ v i ( k , k )
From Equation (26), the target velocity vector at k , the time for the dynamics calculating, can be obtained as follows [46]:
v i d ( k ) = v i ( k ) = Δ v i ( k ) + v i ( k 1 ) ( h = 3 , 5 )
By translating the state constraints X min ( i ) , X max ( i ) into the input constraints u min ( i ) , u max ( i ) , the input and constraints can be reconstructed as follows:
A ¯ i ( k ) X i ( k ) + B ¯ i ( k ) u i ( k ) X ¯ max ( i ) A ¯ i ( k ) X i ( k ) B ¯ i ( k ) u i ( k ) X ¯ min ( i ) u i ( k ) U ¯ max ( i ) u i ( k ) U ¯ min ( i )
where X ¯ max ( i ) and X ¯ min ( i ) are the state constraints of the whole prediction vector respectively. U ¯ max ( i ) and U ¯ min ( i ) are the input constraints of the whole prediction vector, respectively. Considering the above constraints, the linear constraints form is shown as follows:
L i u i ( k ) H i
where
L i = I i × i I i × i B ¯ i ( k ) B ¯ i ( k ) , H i = U ¯ max ( i ) U ¯ min ( i ) X ¯ max ( i ) A ¯ i ( k ) X i ( k ) X ¯ min ( i ) + A ¯ i ( k ) X i ( k ) ( i = 3 , 5 )

3.2.2. Stability Analysis

Assumption 5 [47].
In each period, under the constraints of Equation (29), the system Equation (25) has a feasible solution. Furthermore, only the initial optimal controller  u i ( k )  is applied for optimal control.
Theorem 1.
If Assumption 5 holds, the system Equation (25) is stable.
Proof.
Select the  W 5 ( k )  as the candidate Lyapunov function V 1 . Define V 1 * ( k ) as the minimum function of V 1 . Therefore, the V 1 * ( k ) is:
V 1 * ( k ) = min l = 1 N P p 5 ( k + l | k ) p 5 d ( k + l ) 2   Q 5 x + u i ( k + l 1 | k ) 2   Q 5 u
From the above expression, we can conclude that when k = 0 , V 1 * ( k ) = 0 , while k 0 , V 1 * ( k ) > 0 . Since the objective function in each period is larger than 0, it is obvious to draw the conclusion that V 1 * ( k ) = min W 5 ( k ) W 5 ( k ) . Therefore, this W 5 ( k + 1 ) is expressed as:
W 5 ( k + 1 ) = l = 1 N P p 5 ( k + 1 + l | k + 1 ) p 5 d ( k + 1 ) 2   Q 5 x + u i ( k + 1 + l 1 | k + 1 ) 2   Q 5 u = l = 1 N P p 5 * ( k + l | k ) p 5 d   * ( k + l | k ) 2   Q 5 x + u i * ( k + l 1 | k ) 2   Q 5 u     p 5 * ( k | k ) p *   5 d ( k ) 2   Q 5 x u i * ( k | k ) 2   Q 5 u = V 1 * ( k ) p 5 * ( k | k ) p *   5 d ( k ) 2   Q 5 x u i * ( k | k ) 2   Q 5 u
Since p 5 * ( k | k ) p *   5 d ( k ) 2   Q 5 x u i * ( k | k ) 2   Q 5 u is a quadratic objective function, it is easy to draw the conclusion that p 5 * ( k | k ) p *   5 d ( k ) 2   Q 5 x u i * ( k | k ) 2   Q 5 u 0 . Since V 1 * ( k + 1 ) = min W 5 ( k + 1 ) W 5 ( k + 1 ) the following conclusion is obtained:
V 1 * ( k + 1 ) W 5 ( k + 1 )   V 1 * ( k )
With the above conclusion, the Lyapunov function is monotonically decreasing and the system (25) is stable. The objective function W 3 ( k ) has the same proof process, which will not be depicted here.
From the aforementioned, the AUV employs distinct MPC control laws corresponding to different operational stages determined by depth, which means they will not affect the stability of each other. Only one MPC controller is adopted at one moment, and the whole kinematic controller stability can be ensured and deducted because the task nature does not frequently switch. Therefore, to ensure the stability of the state-transform MPC, it suffices for each MPC to be stable. By incorporating the state-transform controller alongside the 3DOF MPC and 5DOF MPC, the overall stability of the kinematics closed-loop controller is guaranteed. □
Remark 6.
The state-transform MPC is engineered to expedite optimization time across all three dimensions. In accordance with the findings outlined in [27], reducing the number of decisive variables is a pivotal strategy for optimization time reduction. Leveraging the intrinsic characteristics of the cross-rudder AUV, a notable reduction in optimization time is achieved through the decreased number of decisive variables. This addresses a longstanding challenge in AUV trajectory tracking MPC.
Remark 7.
To mitigate overshoot and enhance the precision of AUV trajectory tracking, a state-transform function is integrated with the MPC. Through the utilization of the transform function, significant enhancements in tracking efficiency have been observed, particularly with the implementation of the 5DOF MPC, for its heightened tracking/following efficacy. Consequently, the amalgamation of the state-transform function and MPC not only bolsters efficiency but also ensures controller stability. Additionally, the transform constant  K  can be adjusted to accommodate varying target depths.

3.3. Dynamics Controller Development

3.3.1. Controller Design

To enhance the anti-jamming ability and robustness of the cross-rudder AUV controller, a sliding mode controller is introduced, utilizing the calculation outcomes from the MPC guide law. Also, the dynamics controller encompasses both a 5DOF sliding mode controller and a 3DOF sliding mode controller.
From Equation (24), defining the target velocity v i d ( i = 3 , 5 ) and the velocity state v i ( i = 3 , 5 )   v 5 d = [ u 5 d , v 5 d , w 5 d , q 5 d , r 5 d ] T , v 3 d = [ u 3 d , w 3 d , q 3 d ] T and v 5 = [ u 5 , v 5 , w 5 , q 5 , r 5 ] T , v 3 = [ u 3 , w 3 , q 3 ] T , the error vector can be calculated as follows:
v 5 e = v 5 v 5 d = [ u 5 e , v 5 e , w 5 e , q 5 e , r 5 e ] T v 3 e = v 3 v 3 d = [ u 3 e , w 3 e , q 3 e ] T
To simplify the illustration, v i e ( i = 3 , 5 ) represents the error vector of the 3DOF controller and 5DOF controller, respectively. To depict each error v i e ( i = 3 , 5 ) , we use e i a ( i = 3 , 5 ) ( a = 1 , 2 , 3   or   1 , 2 , 3 , 4 , 5 ) to depict the a -th row in v i e . When i = 3 , a = 1 , 2 , 3 . When i = 5 , a = 1 , 2 , 3 , 4 , 5 . The following variables are following these rules.
In addition, a sliding mode surface s i a ( i = 3 , 5 ) ( a = 1 , 2 , 3   or   1 , 2 , 3 , 4 , 5 ) is designed individually to consider the error vectors as follows:
s i a = e i a + C i a 0 t e i a d t +   C i a 0 t ( s i g n ( e i a ) e i a ) r i a d t
where C i a is the ath row in C i constant Matrix and r i a is the ath row in r i constant Matrix whose range is from 0 to 1.
From the dynamics model, the SMC law is designed as the following:
τ i = M i ( v ˙ i d ε i ) + C i v i + D i v i d ^ i ( i = 3 , 5 )
where d ^ i is the estimation of the disturbances. Based on the theory in Lemma 2, the estimation model is depicted as follows:
d ^ i = ξ i + ( K 0 ( i ) + C 0 ( i ) ζ ˙ ( t ) ζ ( t ) ) M i v i
The detailed expression ξ i is depicted in Ref. [36]. ε i is the sliding-mode-achieving law which is derived as follows:
ε i = C i v i e + C i ( s i g n ( v i e ) v i e ) r i + k i 1 s i + k i 2 ( s i g n ( s i ) s i ) r i
where k i 1 and k i 2 are two designed constant matrices. For further analysis, define τ i a and ε i a present the a -th row in τ i and ε i .
By employing the sliding mode control law τ i , the velocity errors v i e are globally finite-time stable. The 3DOF sliding mode controller has the same design process as that of the 5DOF sliding mode controller, and therefore will not be delineated in this section.

3.3.2. Stability Analysis

Theorem 2.
The velocity tracking error  v i e ( i = 3 , 5 )  is globally finite-time stable with the utilization of the proposed sliding mode velocity control law and the disturbance observer.
For simplicity, consider the first error vector of the 3DOF system, which is e 31 in Equation (32). Constructing the following sliding mode surface s 31 and Lyapunov function V 2 for e 31 :
V 2 = 1 2 s 31   2
Differentiating the above function, the following form can be derived:
V ˙ 2 = s 31 s ˙ 31
Based on the calculation results in Equation (35), s ˙ 31 can be calculated as the following:
s ˙ 31 = e ˙ 31 + C 31 e 31 + C 31 ( s i g n ( e 31 ) e 31 ) r 31
where r 31 stands for the first row in r 3 and C 31 denotes the first row in C 3 . Therefore, Equation (40) is calculated as follows:
V ˙ 2 = s 31 ( e ˙ 31 + C 31 e 31 + C 31 ( s i g n ( e 31 ) e 31 ) r 31   )
The dynamics model e ˙ 31 is constructed as follows:
e ˙ 31 = ( C 31 u 3 D 31 u 3 + τ 31 + d 31 d ^ 31 ) v ˙ 3 d 1
where C 31 , D 31 , d 31 , d ^ 31 , and v 3 d 1 stand for the first row of C 3 , D 3 , d 3 , d ^ 3 , and v 3 d . Defining disturbance estimation error as d ˜ 31 = d 31 d ^ 31 , based on the dynamics model, V ˙ 2 can be further calculated as the following:
V ˙ 2 = s 31 ( e ˙ 31 + C 31 e 31 + C 31 ( s i g n ( e 31 ) e 31 ) r 31   )   = s 31 ( ( C 31 u 3 D 31 u 3 + τ 31 + d ˜ 31 ) v 3 d 1 + C 31 e 31 + C 31 ( s i g n ( e 31 ) e 31 ) r 31   )
From Equation (36), τ 31 is calculated as
τ 31 = C 31 u 3 + D 31 u 3 + M 31 ( v ˙ 3 d 1 ε 31 )
where, ε 31 , M 31 , and v ˙ 3 d 1 are the first row of ε 3 , M 3 and v ˙ 3 d 1 . Therefore, V ˙ 2 can be further calculated as follows:
V ˙ 2 = s 31 ( e ˙ 31 + C 31 e 31 + C 31 ( s i g n ( e 31 ) e 31 ) r 31   )   = s 31 ( ( M 31 ( v ˙ 3 d 1 ε 31 ) + d ˜ 31 ) / M 31 v ˙ 3 d 1 + C 31 e 31 + C 31 ( s i g n ( e 31 ) e 31 ) r 31 )     = s 31 ( ε 31 + d ˜ 31 / M 31 + C 31 e 31 + C 31 ( s i g n ( e 31 ) e 31 ) r 31 )
Since ε 31 = C 31 e 31 + C 31 ( s i g n ( e 31 ) e 31 ) r 31 + k 311 s 31 + k 321 ( s i g n ( s 31 ) s 31 ) r 31 , the above equation can be further calculated as
V ˙ 2 = s 31 ( C 31 e 31 C 31 ( s i g n ( e 31 ) e 31 ) r 31 k 311 s 31 k 321 ( s i g n ( s 31 ) s 31 ) r 31     + d ˜ 31 / M 31 + C 31 e 31 + C 31 ( s i g n ( e 31 ) e 31 ) r 31 )   = s 31 ( d ˜ 31 / M 31 k 311 s 31 k 321 ( s i g n ( s 31 ) s 31 ) r 31 )   = k 311 s 31 2 k 321 s 31 r 31 + 1 + s 31 d ˜ 31 / M 31
From the conclusion of Yang’s equality, we can obtain:
V ˙ 2 = k 311 s 31 2 k 321 s 31 r 31 + 1 + s 31 d ˜ 31 / M 31   k 311 s 31 2 k 321 s 31 r 31 + 1 + 1 2 α s 31 2 + α 2 ( d ˜ 31 / M 31 ) 2   = s 31 2 ( k 311 + 1 2 α ) k 321 s 31 r 31 + 1 + 1 2 α s 31   2 + α 2 ( d ˜ 31 / M 31 ) 2   = 2 ( k 311 1 2 α ) V 2 2 r 31 + 1 2 k 321 V 2 r 31 + 1 2 + α 2 ( d ˜ 31 / M 31 ) 2
Based on Lemma 2, we can draw the conclusion that α 2 ( d ˜ 31 / M 31 ) 2 can converge to zero in a prescribed time T . Therefore, V ˙ 2 can be further calculated as:
V ˙ 2 = 2 ( k 311 1 2 α ) V 2 2 r 31 + 1 2 k 321 V 2 r 31 + 1 2
Based on the conclusion from Lemma 1, s 31 can converge to zero within a prescribed finite time t 1 by τ 31 , and the expression of t 1 is shown as:
t 1 t r + 1 2 ( k 311 1 2 α ) ( 1 r 31 + 1 2 ) ln 2 ( k 311 1 2 α ) V 2     r 31 + 1 2 ( 0 ) + 2 r 31 + 1 2 2 r 31 + 1 2
From the above deduction, s 31 can converge to zero. When s 31 = 0 , the expressions of e ˙ 31 is shown as follows:
e ˙ 31 = C 31 e 31 C 31 ( s i g n ( e 31 ) e 31 ) r   31
Consequently, the construction of the second Lyapunov candidate function is as follows:
V 3 = 1 2 e 31   2
Combining the aforementioned calculation results and Young’s equality, the differentiating results V 2 can be derived as follows:
V ˙ 3 = e 31 e ˙ 31   = e 31 [ C 31 e 31 C 31 ( s i g n ( e 31 ) e 31 ) r 31 ]   = 2 C 31 V 3 2 r 31 + 1 2 C 31 V 3   r 31 + 1 2
Based on the conclusion from Lemma 1, the velocity error e 31 can converge to zero within a prescribed finite time by the proposed law τ 31 , which can be calculated as the following:
t 2 t r + 1 2 ( k 311 1 2 α ) ( 1 r 31 + 1 2 ) ln 2 ( k 311 1 2 α ) V 2     r 31 + 1 2 ( 0 ) + 2 r 31 + 1 2 2 r 31 + 1 2   + 1 2 C 31 ( 1 r 31 + 1 2 ) ln 2 C 31 V 3     r 31 + 1 2 ( 0 ) + 2 r 31 + 1 2 C 31 2 r 31 + 1 2 C 31
Consequently, the conclusion can be deduced that the error e 31 convergence within a prescribed finite time with the control law τ 31 . Similarly, the other velocity errors v i e ( i = 3 , 5 ) can be proven to be finite-time stable with the corresponding control laws. Thus, the stability of the dynamics system is established.
Taking into account the dual-loop controller discussed earlier, the overall closed-loop stability is guaranteed when both the entire MPC controller and the dynamics velocity system are asymptotically stable [42,48]. Thus, the stability of the dual-loop control framework in the diving stage and searching stage, which combines state-transform MPC and SMC with the disturbance observer, is validated.
Remark 8.
Referring to the conclusion in [27], it is evident that variations in parameters lead to decreased tracking efficiency and slower convergence speeds. However, owing to the optimization procedure, the controller autonomously harnesses the full extent of its control capability to generate the most effective tracking control aligned with the target velocity from MPC. Consequently, the fusion of state-transform MPC and SMC with the disturbance observer not only alleviates the substantial computational workload but also enhances tracking efficacy and accelerates convergence speed.

4. Simulation

In this section, comparative simulation experiments are conducted to validate the efficiency and superiority of the proposed controller. The simulation setup is outlined in Section 4.1, followed by robustness testing and verification of the state-transform function in Section 4.2 and Section 4.3, respectively. Finally, the trajectory following the experiment is presented, comprising individual diving experiments and underwater searching trajectory tracking experiments.

4.1. Simulation Introduction

Numerical simulations are conducted using both the 3DOF AUV model and the 5DOF AUV model. The REMUS AUV parameters are chosen, which are shown in Refs. [38,49]. The main simulation parameters of 5DOF MPC and 3DOF MPC are depicted in the following tables (Table 1, Table 2 and Table 3), respectively.
The computing hardware utilized in the simulation includes the 12th Gen Intel Core i7-12700H processor running at a clock speed of 2.30 GHz. The simulation tool employed is MATLAB, utilizing FMINCON function for optimization. The initial state vector for all subsequent simulation experiments is denoted by η ( 0 ) = ( 0 . 5   0   0   0   0 ) T , and the initial velocity vector is represented as v ( 0 ) = ( 0   0   0   0   0 ) T . To evaluate the efficacy of the proposed controller, we compare it against two alternative methods: the 5DOF controller combined with both 5DOF-SMC and 5DOF-MPC, labeled as MPC-SMC, and the 5DOF-MPC alone, labeled as MPC for brevity.
The primary performance metric employed in this study is the position tracking error, which represents the difference between the actual and desired locations in three-dimensional space. The position tracking error at the k th sampling point is defined as follows:
e ( k ) = ( x ( k ) x d ( k ) ) 2 + ( y ( k ) y d ( k ) ) 2 + ( z ( k ) z d ( k ) ) 2
where x ( k ) , y ( k ) , and z ( k ) are the actual position of AUV at the k th time. x d ( k ) , y d ( k ) , and z d ( k ) are the target position of AUV at the k th time.

4.2. Robustness Test

To validate the trajectory tracking capabilities and anti-jamming resilience, robustness testing is conducted using ocean current disturbances and ocean wave disturbances, as described in [50]. The details of these disturbances, denoted as D 1 and D 2 , respectively, are defined as follows:
D 1 = d u = 0.5   m / s d v = 0.3   m / s d w = 0.5   m / s d q = 0.2   m / s d r = 0   m / s D 2 = d u = 1.5 cos ( t )   m / s d v = 0.5 cos ( 2 t )   m / s d w = cos ( t )   m / s d q = 1.3 cos ( t )   m / s d r = 0.2 cos ( t )   m / s
In the first experiment, the reference path is defined as follows:
Y d = 4 sin ( 0.25 t )   m 0.25 t   m 4 sin ( 0.25 t ) 13   m
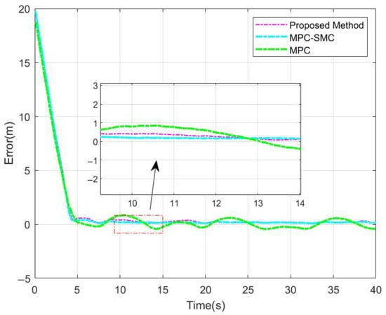
Figure 8 illustrates the 3D-trajectory AUV tracking performance under the influence of ocean current disturbances D 1 and ocean wave disturbances D 2 . As depicted in Figure 8, the AUV effectively tracks the reference path in real time despite the presence of these disturbances. For a clearer assessment of the path tracking performance, Figure 9 presents the tracking performance along the YZ and XY axes with the negative effect of the oceanic disturbances. The simulation underscores the robust anti-jamming capabilities of the proposed controller.
To further assess the convergence speed of the proposed controller, we computed the position tracking error and the error along each axis to evaluate the state convergence performance. As depicted in Figure 10 and Figure 11, the error converges to a stable state within 3 s. These results indicate a strong ability to maintain state stability and robustness, aligning with the AUV’s requirement for strong anti-jamming capabilities. In conclusion, the proposed control algorithm provides swift and precise trajectory tracking, while maintaining stability and robustness in the face of oceanic disturbances. In complex underwater environments, the proposed method stands as a favorable choice for AUV underwater search tasks.

4.3. Transform Method Test

To mitigate the overshoot of the AUV and demonstrate its superiority, a state-transform method is proposed to complement the proposed approach, which is validated through the subsequent simulation experiment. The second experiment aims to simulate the scenario in which the AUV descends to the target depth and conducts the search tasks. Precision and accuracy in controlling the motion and direction of the AUV are essential for this task. Moreover, minimizing the overshoot of the controller is crucial to enhance the effectiveness of the control system. The desired sailing path in the second experiment is defined as the following:
Y d 1 = 4 t   m 0   m 20   m Y d 2 = 4 sin ( 0.25 t )   m t   m   4 sin ( 0.25 t ) m
where Y d 1 and Y d 2 denote the desired path in diving stage and searching stage, respectively. The 3D tracking results and 2D tracking results in the YZ and XY axis are shown in Figure 12 and Figure 13, respectively.
Based on the aforementioned experiment results, the transform method demonstrates a significant reduction in overshoot, particularly in the Z direction. By prompting the controller to anticipate the desired trajectory, the transform method enhances both the efficiency and accuracy of calculations, leveraging the higher precision of the 5DOF controller. For a more intuitive understanding of tracking performance, we calculated the position tracking error and the error in each axis to assess state convergence. The overall tracking error and the errors in the X, Y, and Z axis are depicted in Figure 14 and Figure 15, respectively. These figures illustrate smaller tracking errors and reduced overshoot, particularly evident in the Z axis, compared to the algorithm without the transform method, thereby aligning with the control requirements of underwater searching tasks.
With the presented work, the overshoot observed in the controller without the transform method is significantly larger compared to the controller with the transform method. This indicates that the transform method effectively enhances tracking efficiency and precision. In real-world AUV underwater searching scenarios, the effectiveness of the transform method is validated, demonstrating its feasibility and practical utility.

4.4. Underwater Research Task Simulation Experiment

The final segment of this study involves simulating the effectiveness and the consumed optimization time during underwater research tasks. This experiment comprises individual diving experiments and underwater research trajectory tracking experiments. The individual diving experiments incorporate two desired trajectories: a straight line and a sinusoidal wave. These reference trajectories are represented by R d 1 and R d 2 , respectively.
R d 1 = 4 t   m 0   m t   m R d 2 = 4 sin ( 0.25 t )   m t   m   4 sin ( 0.25 t ) m
The overall tracking results R d 1 are illustrated in Figure 16. The overall tracking error and X- and Z-axis tracking error are shown in Figure 17 and Figure 18, respectively. The overall tracking results R d 2 are shown in Figure 19, and the overall tracking error and tracking error in the X and Z axis are displayed in Figure 20 and Figure 21, respectively. The optimization time comparison of the two situations’ results are illustrated in Figure 22 and Figure 23, respectively.
To further determine the advantages of the proposed controller, the underwater searching task is simulated, with the reference path in the underwater searching experiment defined as the following:
T d 1 = 2 t   m 0   m 20   m T d 2 = 4 sin ( 0.5 t )   m 2 t   m 4 sin ( 0.5 t ) m
where T d 1 and T d 2 denote the desired path in the diving stage and searching stage. The 3D- and 2D-trajectory tracking simulation results are shown in Figure 24 and Figure 25, respectively. The tracking error results are illustrated in Figure 26 and Figure 27, respectively. The optimizing time comparison between different controllers is illustrated in Figure 28.
From the aforementioned experiments, several conclusions can be drawn. Firstly, the proposed controller exhibits higher precision and faster convergence speed. Leveraging the combination of state-transform MPC and SMC with the disturbance observer, the SMC with the disturbance observer effectively utilizes the optimization results from MPC, resulting in enhanced convergence speed. Additionally, the incorporation of SMC with the disturbance observer enables faster convergence and stronger robustness compared to conventional MPC algorithms.
Moreover, the proposed method demonstrates a notable reduction in optimization time across different trajectory-following scenarios. Specifically, in line-following experiments, the proposed method shows an average reduction in optimization time of approximately 31% and 48% compared to alternative methods. Similarly, in the sine-wave-following experiments, the proposed method achieves an average reduction in optimization time of about 27% and 38% compared to alternative methods. Furthermore, in the final simulation experiment, the proposed method exhibits an average reduction in optimization time of about 24% and 30% compared to alternative methods. The decrease in optimization time highlights the effectiveness of the proposed controller in mitigating the computational burden typically associated with MPC.
Despite the increased complexity of reference paths, the proposed method outperforms alternative approaches, demonstrating rapid and stable error convergence while maintaining robustness and stability in the presence of complex oceanic disturbances. In real-world underwater searching scenarios, the proposed method significantly enhances control performance while meeting requirements for high robustness and strong anti-jamming ability. Overall, the proposed method represents a more efficient control strategy for various underwater application environments, offering considerable potential for use in a wide range of AUV underwater searching tasks.

5. Conclusions

This article presents a controller that combines state-transform MPC and SMC to enhance the precision of path-tracking, improve tracking efficiency, and reduce the optimization time for AUV underwater searching tasks amidst complex oceanic disturbances. Initially, a real-AUV experiment validates the ability of a cross-rudder AUV with strong straight sailing to maintain a sailing angle without direction control during the diving stage. Building upon this, a state-transform MPC guide law algorithm is proposed in the kinematics loop to compute the target velocity for dynamics calculation. This reduction in degrees of freedom significantly reduces optimization time during the diving stage while ensuring kinematics tracking accuracy, addressing a prevalent issue in AUV MPC trajectory tracking control.
The dynamics controller employs an SMC with the disturbance observer to fully exploit the advantages of the MPC guide law and enhance anti-jamming ability in the presence of oceanic disturbances, thereby improving tracking precision and convergence rate. The controller stability is demonstrated through the existence of a feasible solution sequence of the MPC and the selection of a cost function as a Lyapunov function, establishing the asymptotic stability of the nominal system. Furthermore, by employing finite-time stable theory, the dynamics velocity tracking error is proven to converge to zero within a finite time.
A comparison of simulation results among the proposed controller, a 5DOF controller, and a conventional MPC controller emphasizes the efficacy of the proposed approach. The first experiment confirms precise tracking control in the presence of diverse oceanic disturbances. The second experiment highlights the effectiveness of the transform method. The final experiment demonstrates advantages in optimization time reduction, tracking accuracy, and robustness.
However, limitations exist, such as reliance on AUV straight sailing ability and sensor accuracy. X-rudder AUVs may not meet control requirements due to coupling effects from different rudders. Additionally, the efficacy of the proposed control tactics may be undermined in situations involving malfunctioning sensors. Future research directions could explore optimization time reduction for X-rudder AUVs, fault-tolerant control under sensor faults, and a combination of soft and hard functions in various task scenarios. Additionally, real-world AUV experiments can be conducted in more complex environments, such as lakes or seas. Moreover, enhancing the robustness of MPC control for AUVs under such conditions is a key concern, which can be addressed through the integration of a novel disturbance observer.

Author Contributions

Conceptualization, H.H. and G.X.; Data curation, Z.Y. and J.L.; Formal analysis, H.H. and Y.X.; Funding acquisition, Y.X.; Investigation, H.H. and K.X.; Methodology, H.H. and J.L.; Project administration, Y.X. and K.X.; Resources, K.X.; Software, H.H. and J.L.; Supervision, G.X. and Y.X.; Visualization, Z.Y.; Writing—original draft, H.H.; Writing—review and editing, H.H., G.X. and Y.X. All authors have read and agreed to the published version of the manuscript.

Funding

This research was funded by [National Natural Science Foundation of China] grant number [52001132].

Institutional Review Board Statement

Not applicable.

Informed Consent Statement

Not applicable.

Data Availability Statement

Data are contained within the article.

Conflicts of Interest

Author Kan Xu was employed by the company Wuhan Second Ship Design and Research Institute. The remaining authors declare that the research was conducted in the absence of any commercial or financial relationships that could be construed as a potential conflict of interest.

Glossary

The primary abbreviation.
AbbreviationDefinition
AUVAutonomous underwater vehicles
SMCSliding mode controller
MPCModel predictive controller
DOFDegree of freedom
LTILinear time-invariant
NomenclatureDefinition
η i   ( i = 3 , 5 ) Position Vector
η i   ( i = 3 , 5 ) Derivation of Position Vector
u , v , w , q , r Surge, Sway, Heave, Pitch, and Yaw
v i   ( i = 3 , 5 ) Velocity Vector
x , y , z , θ , φ Position Variables in each DOF
τ i   ( i = 3 , 5 ) Input Vector
d i   ( i = 3 , 5 ) Environmental Disturbances Vector
p i d   ( i = 3 , 5 ) Desired Position Vector
p i   ( i = 3 , 5 ) Position Vector
P i e   ( i = 3 , 5 ) Position Error Vector
v i d   ( i = 3 , 5 ) Desired Velocity Vector
v i   ( i = 3 , 5 ) Velocity Vector
v i e   ( i = 3 , 5 ) Velocity Error Vector
u i   ( k ) Optimal Input Sequence

References

  1. Wang, R.; Li, Y.; Me, T.; Cong, Z.; Gong, Y.; Xu, P. Improvements to Terrain Aided Navigation Accuracy in Deep-Sea Space by High Precision Particle Filter initialization. IEEE Access 2020, 8, 13029–13042. [Google Scholar]
  2. Singh, H.; Can, A.; Eustice, R.; Lerner, S.; McPhee, N.; Roman, C. Seabed AUV offers a new platform for high-resolution imaging. EOS Transac. Am. Geophys. Union 2011, 85, 289–296. [Google Scholar] [CrossRef]
  3. Sahoo, A.; Dwivedy, S.K.; Robi, P. Advancements in the field of autonomous underwater vehicle. Ocean Eng. 2019, 181, 145–160. [Google Scholar] [CrossRef]
  4. Marini, S.; Gjeci, N.; Govindaraj, S.; But, A.; Sportich, B.; Ottaviani, E.; Márquez, F.P.G.; Bernalte Sanchez, P.J.; Pedersen, J.; Clausen, C.V. Enduruns: An Integrated and Flexible Approach for Seabed Survey through Autonomous Mobile Vehicles. J. Mar. Sci. Eng. 2020, 8, 633. [Google Scholar] [CrossRef]
  5. Ryu, J.H. Prototyping a Low-Cost Open-Source Autonomous Unmanned Surface Vehicle for Real-Time Water Quality Monitoring and Visualization. Hardwarex 2022, 12, e369. [Google Scholar] [CrossRef]
  6. Wiseman, Y. Autonomous Vehicles. In Encyclopedia of Information Science and Technology, 5th ed.; Khosrow-Pour, M., Ed.; IGI Global: Hershey, PA, USA, 2020; Volume 1, Chapter 1; pp. 1–11. [Google Scholar]
  7. Li, D.; Du, L. Auv Trajectory Tracking Models, and Control Strategies: A Review. J. Mar. Sci. Eng. 2021, 9, 1020. [Google Scholar] [CrossRef]
  8. Jeon, M.; Yoon, H.K.; Park, J.; You, Y. Analysis of maneuverability of X-rudder submarine considering environmental disturbance and jamming situations. Appl. Ocean Res. 2022, 121, 103079. [Google Scholar] [CrossRef]
  9. Liang, X.; Wan, L.; Blake, J.I.; Shenoi, R.A.; Townsend, N. Path Following of an Underactuated Auv Based On Fuzzy Backstepping Sliding Mode Control. Int. J. Adv. Robot. Syst. 2016, 13, 122. [Google Scholar] [CrossRef]
  10. Li, X.; Liu, Y. A New Fuzzy SMC Control Approach to Path Tracking of Autonomous Underwater Vehicles with Mismatched Disturbances. In Proceedings of the OCEANS 2022-Chennai, Chennai, India, 21–24 February 2022. [Google Scholar]
  11. Cervantes, J.; Yu, W.; Salazar, S.; Chairez, I.; Lozano, R. Output Based Backstepping Control for Trajectory Tracking of an Autonomous Underwater Vehicle. In Proceedings of the 2016 American Control Conference (ACC), Boston, MA, USA, 6–8 July 2016. [Google Scholar]
  12. Liu, S.; Song, J.; Zhang, L.; Tan, Y. Adaptive Finite-Time Backstepping Integral Sliding Mode Control of Three-Degree-of-Freedom Stabilized System for Ship Propulsion-Assisted Sail Based on the Inverse System Method. J. Mar. Sci. Eng. 2024, 12, 348. [Google Scholar] [CrossRef]
  13. Shen, C.; Shi, Y.; Buckham, B. Trajectory Tracking Control of an Autonomous Underwater Vehicle Using Lyapunov-Based Model Predictive Control. IEEE Tran. On Indu. Elec. 2018, 65, 7. [Google Scholar] [CrossRef]
  14. Von Ellenrieder, K.D. Dynamic Surface Control of Trajectory Tracking Marine Vehicles with Actuator Magnitude and Rate Limits. Automatica 2019, 105, 433–442. [Google Scholar] [CrossRef]
  15. Huang, Z.; Xia, Y.; Wang, W.; Xu, G.; Xaing, X.; Xu, K. SHSA-based adaptive roll-safety 3D tracking control of a X-Rudder AUV with actuator dynamics. Ocean Eng. 2022, 265, 112514. [Google Scholar] [CrossRef]
  16. Ju, Y.; Cai, W.; Liu, Z.; Zhang, M. Dual-Loop Integral Sliding Mode Control-Based Path Tracking with Reaction Torque for Autonomous Underwater Vehicle. J. Mar. Sci. Eng. 2024, 12, 404. [Google Scholar] [CrossRef]
  17. Li, J.; Wang, Y.; Li, H.; Liu, X.; Chen, Z. Sliding Mode Control with Adaptive-Reaching-Law-Based Fault-Tolerant Control for AUV Sensors and Thrusters. J. Mar. Sci. Eng. 2023, 11, 2170. [Google Scholar] [CrossRef]
  18. Liu, C.; Xiang, X.; Duan, Y.; Yang, L.; Yang, S. ADRC-SMC-based disturbance rejection depth-tracking control of underactuated AUV. J. Field Robt. 2024, 41, 4. [Google Scholar] [CrossRef]
  19. Hosseinabadi, P.; Sharif Abadi, A.; Mekhilef, S.; Pota, H. Chattering-free trajectory tracking robust predefined-time sliding mode control for a remotely operated vehicle. J. Cont. Auto. Elect. Sys. 2020, 31, 1177–1195. [Google Scholar] [CrossRef]
  20. Salgado-Jimenez, T.; Spiewak, J.M.; Fraisse, P.; Jouvencel, B. A robust control algorithm for AUV: Based on a high order sliding mode. In Proceedings of the Oceans’ 04 MTS/IEEE Techno-Ocean’04, Kobe, Japan, 9–12 November 2004; Volume 1, pp. 276–281. [Google Scholar]
  21. Ahmad, S.; Uppal, A.A.; Azam, M.R.; Iqbal, J. Chattering Free Sliding Mode Control and State-Dependent Kalman Filter Design for Underground Gasification Energy Conversion Process. Electronics 2023, 12, 876. [Google Scholar] [CrossRef]
  22. Xia, Y.; Xu, K.; Li, Y.; Xu, G.; Xiang, X. Improved line-of-sight trajectory tracking control of under-actuated auv subjects to ocean currents and input saturation. Ocean Eng. 2019, 174, 14–30. [Google Scholar] [CrossRef]
  23. Cui, R.; Zhang, X.; Cui, D. Adaptive sliding-mode attitude control for autonomous underwater vehicles with input nonlinearities. Ocean Eng. 2016, 123, 45–54. [Google Scholar] [CrossRef]
  24. Yan, Z.; Zhang, M.; Zhou, J.; Yue, L. Distributed Lyapunov-Based Model Predictive Control for AUV Formation Systems with Multiple Constraints. J. Mar. Sci. Eng. 2024, 12, 363. [Google Scholar] [CrossRef]
  25. Pan, J.; Liu, J.; Yu, J. Path-Following Control of an Amphibious Robotic Fish Using Fuzzy-Linear Model Predictive Control Approach. In Proceedings of the 2020 IEEE International Conference on Mechatronics and Automation (ICMA), Beijing, China, 13–16 October 2020. [Google Scholar]
  26. Wang, L.; Xu, X.; Han, B.; Zhang, H. Multiple Autonomous Underwater Vehicle Formation Obstacle Avoidance Control Using Event-Triggered Model Predictive Control. J. Mar. Sci. Eng. 2023, 11, 2016. [Google Scholar] [CrossRef]
  27. Shen, C.; Shi, Y. Distributed Implementation of Nonlinear Model Predictive Control for AUV Trajectory Tracking. Automatica 2020, 115, 108863. [Google Scholar] [CrossRef]
  28. Mayne, D. Model predictive control: Recent developments and future promise. Automatica 2014, 50, 2967–2986. [Google Scholar]
  29. Zhu, D.; Li, W.; Yan, M.; Yang, S. The Path Planning of AUV Based on D-S Information Fusion Map Building and Bio-Inspired Neural Network in Unknown Dynamic Environment. Int. J. Adv. Rob. Syst. 2014, 11. [Google Scholar] [CrossRef]
  30. Du, J.; Zhou, D.; Wang, W.; Arai, S. Reference Model-Based Deterministic Policy for Pitch and Depth Control of Autonomous Underwater Vehicle. J. Mar. Sci. Eng. 2023, 11, 588. [Google Scholar] [CrossRef]
  31. Xia, Y.; Xu, K.; Wang, W.; Xu, G.; Xiang, X.; Li, Y. Optimal robust trajectory tracking control of a X-rudder AUV with velocity sensor failures and uncertainties. Ocean Eng. 2020, 198, 106949. [Google Scholar] [CrossRef]
  32. Zhou, H.; Liu, K.; Li, P.; Ren, Z. Dynamic sliding mode control based on multi-model switching laws for the depth control of an autonomous underwater vehicle. Int. J. Adv. Rob. Syst. 2015, 12, 106. [Google Scholar] [CrossRef]
  33. Zhou, H.; Liu, K.; Feng, X. Selected optimal control from controller database according to diverse AUV motions. In Proceedings of the 2011 9th World Congress on Intelligent Control and Automation, Taipei, Taiwan, 21–25 June 2011. [Google Scholar]
  34. Tanakitkorn, K.; Wilson, P.; Turnock, S.; Phillips, A. Depth control for an over-actuated, hover-capable autonomous underwater vehicle with experimental verification. Mechatronics 2017, 41, 67–81. [Google Scholar] [CrossRef]
  35. Yu, S.; Yu, X.; Shirinzadeh, B. Continuous finite-time control for robotic manipulators with terminal sliding mode. Automatica 2005, 41, 1957–1964. [Google Scholar] [CrossRef]
  36. Li, J.; Xiang, X.; Dong, D.; Yang, S. Prescribed time observer based trajectory tracking control of autonomous underwater vehicle with tracking error constraints. Ocean Eng. 2023, 274, 114018. [Google Scholar] [CrossRef]
  37. Yu, S.; Qu, T.; Xu, F.; Chen, H.; Hu, Y. Stability of finite horizon model predictive control with incremental input constraints. Automatica 2017, 79, 265–272. [Google Scholar] [CrossRef]
  38. Xia, Y.; Huang, Z.; Xu, K.; Xu, G.; Li, Y. Three-Dimensional Trajectory Tracking for a Heterogeneous XAUV via Finite-Time Robust Nonlinear Control and Optimal Rudder Allocation. J. Mar. Sci. Eng. 2022, 10, 1297. [Google Scholar] [CrossRef]
  39. Fossen, T.I. Handbook of Marine Craft Hydrodynamics and Motion Control; John Wiley & Sons: Hoboken, NJ, USA, 2011. [Google Scholar]
  40. Xia, Y.; Xu, K.; Huang, Z.; Wang, W.; Xu, G.; Li, Y. Adaptive Energy-Efficient Tracking Control of a X Rudder AUV with Actuator Dynamics and Rolling Restriction. Appl. Ocean. Res. 2022, 118, 102994. [Google Scholar] [CrossRef]
  41. Li, J.; Xia, Y.; Xu, G.; He, Z.; Xu, K.; Xu, G. Three-Dimensional Prescribed Performance Tracking Control of UUV via PMPC and RBFNN-FTTSMC. J. Mar. Sci. Eng. 2023, 11, 1357. [Google Scholar] [CrossRef]
  42. Yuan, J.; She, Y.; Zhang, Y.; Xu, J.; Wan, L. Research on L1 Adaptive Control of Autonomous Underwater Vehicles with X-Rudder. J. Mar. Sci. Eng. 2023, 11, 1946. [Google Scholar] [CrossRef]
  43. Fossen, T.I.; Pettersen, K.Y. On uniform semiglobal exponential stability (usges) of proportional line-of-sight guidance laws. Automatica 2014, 50, 2912–2917. [Google Scholar] [CrossRef]
  44. Zhang, Y.; Liu, X.; Luo, M.; Yang, C. MPC-based 3-D trajectory tracking for an autonomous underwater vehicle with constraints in complex ocean environments. Ocean Eng. 2019, 189, 106369. [Google Scholar] [CrossRef]
  45. Yan, Z.; Gong, P.; Zhang, W.; Wu, W. Model Predictive Control of Autonomous Underwater Vehicles for Trajectory Tracking with External Disturbances. Ocean. Eng. 2020, 217, 107884. [Google Scholar] [CrossRef]
  46. Yan, Z.; Yan, J.; Cai, S.; Yu, Y.; Wu, Y. Robust MPC-based trajectory tracking of autonomous underwater vehicles with model uncertainty. Ocean Eng. 2023, 286, 115167. [Google Scholar] [CrossRef]
  47. Li, W.; Zhang, J.; Wang, F.; Zhou, H. Model Predictive Control Based on State Space and Risk Augmentation for Unmanned Surface Vessel Trajectory Tracking. J. Mar. Sci. Eng. 2023, 11, 2283. [Google Scholar] [CrossRef]
  48. Slotine Jean-Jacques, E.; Li, W. Applied Nonlinear Control; Prentice-Hall: Englewood Cliffs, NJ, USA, 1991. [Google Scholar]
  49. Wang, R.; Tang, L.; Yang, Y.; Wang, S.; Tan, M.; Xu, C. Adaptive Trajectory Tracking Control with Novel Heading Angle and Velocity Compensation for Autonomous Underwater Vehicles. IEEE Trans. Intell. Veh. 2023, 8, 2135–2147. [Google Scholar] [CrossRef]
  50. Ding, W.; Zhang, L.; Zhang, G.; Wang, C.; Chai, Y.; Mao, Z. Research on 3D trajectory tracking of underactuated AUV under strong disturbance environment. Comput. Electr. Eng. 2023, 111, 108924. [Google Scholar] [CrossRef]
Figure 1. Coordinate system.
Figure 1. Coordinate system.
Jmse 12 00883 g001
Figure 2. AUV seafloor working mission.
Figure 2. AUV seafloor working mission.
Jmse 12 00883 g002
Figure 3. Layout of the cross-rudder.
Figure 3. Layout of the cross-rudder.
Jmse 12 00883 g003
Figure 4. AUV-experiment control frame.
Figure 4. AUV-experiment control frame.
Jmse 12 00883 g004
Figure 5. 3 m diving experiment.
Figure 5. 3 m diving experiment.
Jmse 12 00883 g005
Figure 6. 2 m diving experiment.
Figure 6. 2 m diving experiment.
Jmse 12 00883 g006
Figure 7. Proposed method control frame.
Figure 7. Proposed method control frame.
Jmse 12 00883 g007
Figure 8. The 3D trajectory tracking performance of robustness test.
Figure 8. The 3D trajectory tracking performance of robustness test.
Jmse 12 00883 g008
Figure 9. The 2D trajectory tracking performance of robustness test.
Figure 9. The 2D trajectory tracking performance of robustness test.
Jmse 12 00883 g009
Figure 10. The overall trajectory tracking error in robustness test.
Figure 10. The overall trajectory tracking error in robustness test.
Jmse 12 00883 g010
Figure 11. The trajectory tracking error in the X, Y, and Z axis in robustness test.
Figure 11. The trajectory tracking error in the X, Y, and Z axis in robustness test.
Jmse 12 00883 g011aJmse 12 00883 g011b
Figure 12. The 3D trajectory tracking of the transform method.
Figure 12. The 3D trajectory tracking of the transform method.
Jmse 12 00883 g012
Figure 13. The 2D trajectory tracking performance of the transform method.
Figure 13. The 2D trajectory tracking performance of the transform method.
Jmse 12 00883 g013
Figure 14. The overall trajectory tracking error in transform method test.
Figure 14. The overall trajectory tracking error in transform method test.
Jmse 12 00883 g014
Figure 15. The trajectory tracking error in the X, Y, and Z axis in transform method test.
Figure 15. The trajectory tracking error in the X, Y, and Z axis in transform method test.
Jmse 12 00883 g015
Figure 16. The trajectory tracking of the line.
Figure 16. The trajectory tracking of the line.
Jmse 12 00883 g016
Figure 17. The tracking error of the line.
Figure 17. The tracking error of the line.
Jmse 12 00883 g017
Figure 18. The line tracking error in the X and Z axis.
Figure 18. The line tracking error in the X and Z axis.
Jmse 12 00883 g018
Figure 19. The trajectory tracking of sine wave.
Figure 19. The trajectory tracking of sine wave.
Jmse 12 00883 g019
Figure 20. The overall tracking error of sine wave.
Figure 20. The overall tracking error of sine wave.
Jmse 12 00883 g020
Figure 21. The tracking error of sine wave in the X and Z axis.
Figure 21. The tracking error of sine wave in the X and Z axis.
Jmse 12 00883 g021
Figure 22. The optimization time of straight line.
Figure 22. The optimization time of straight line.
Jmse 12 00883 g022
Figure 23. The optimization time of sine wave.
Figure 23. The optimization time of sine wave.
Jmse 12 00883 g023
Figure 24. The 3D trajectory tracking of underwater searching.
Figure 24. The 3D trajectory tracking of underwater searching.
Jmse 12 00883 g024
Figure 25. The 2D trajectory tracking of underwater searching.
Figure 25. The 2D trajectory tracking of underwater searching.
Jmse 12 00883 g025
Figure 26. The overall tracking error of underwater searching.
Figure 26. The overall tracking error of underwater searching.
Jmse 12 00883 g026
Figure 27. The tracking error of underwater searching in 3-axis.
Figure 27. The tracking error of underwater searching in 3-axis.
Jmse 12 00883 g027
Figure 28. The optimizing time comparison.
Figure 28. The optimizing time comparison.
Jmse 12 00883 g028
Table 1. Main simulation parameters.
Table 1. Main simulation parameters.
K = 0.9 N p = 5 ϖ = 0.02 T = 0.1
Table 2. 5DOF controller parameters.
Table 2. 5DOF controller parameters.
Q 5 x = d i a g ( 10 5 , 10 5 , 10 5 , 10 5 , 10 5 ) Q 5 u = d i a g ( 10 4 , 10 4 , 10 4 , 10 4 , 10 4 ) r 5 = 0 . 05 d i a g ( 1 , 1 , 1 , 1 , 1 )
X M A X ( 5 ) = 200   200   200   2 π   2 π   10   10   10   π 20   π 25 T X M I N ( 5 ) = 200   200   200   2 π   2 π   10   10   10   π 20 π 25 T C 5 = 0.3   0.15   0.45   0.3   0.45 T
U M I N ( 5 ) = 0.8   0.8   0.8   0.8   0.8 T U M A X ( 5 ) = 0.8   0.8   0.8   0.8   0.8 T k 52 = 0 . 05 d i a g ( 1 , 1 , 1 , 1 , 1 )
k 51 = 0 . 4 d i a g ( 1 , 1 , 1 , 1 , 1 ) K 0 ( 5 ) = d i a g ( 25 , 25 , 25 , 25 , 25 ) C 0 ( 5 ) = d i a g ( 1 , 1 , 1 , 1 , 1 )
Table 3. 3DOF controller parameters.
Table 3. 3DOF controller parameters.
Q 3 x = d i a g ( 10 5 , 10 5 , 10 5 ) Q 3 u = d i a g ( 10 4 , 10 4 , 10 4 ) r 3 = 0 . 05 d i a g ( 1 , 1 , 1 )
X M A X ( 3 ) = 200   200   2 π   10   10   π 25 T X M I N ( 3 ) = 200   200   2 π   10   10   π 25 T C 3 = 0.3   0.45   0.3 T
U M I N ( 3 ) = 0.8   0.8   0.8   T U M A X ( 3 ) = 0.8   0.8   0.8 T k 32 = 0 . 05 d i a g ( 1 , 1 , 1 )
k 31 = 0 . 4 d i a g ( 1 , 1 , 1 ) K 0 ( 3 ) = d i a g ( 25 , 25 , 25 ) C 0 ( 3 ) = d i a g ( 1 , 1 , 1 )
Disclaimer/Publisher’s Note: The statements, opinions and data contained in all publications are solely those of the individual author(s) and contributor(s) and not of MDPI and/or the editor(s). MDPI and/or the editor(s) disclaim responsibility for any injury to people or property resulting from any ideas, methods, instructions or products referred to in the content.

Share and Cite

MDPI and ACS Style

Hong, H.; Yang, Z.; Li, J.; Xu, G.; Xia, Y.; Xu, K. State-Transform MPC-SMC-Based Trajectory Tracking Control of Cross-Rudder AUV Carrying Out Underwater Searching Tasks. J. Mar. Sci. Eng. 2024, 12, 883. https://doi.org/10.3390/jmse12060883

AMA Style

Hong H, Yang Z, Li J, Xu G, Xia Y, Xu K. State-Transform MPC-SMC-Based Trajectory Tracking Control of Cross-Rudder AUV Carrying Out Underwater Searching Tasks. Journal of Marine Science and Engineering. 2024; 12(6):883. https://doi.org/10.3390/jmse12060883

Chicago/Turabian Style

Hong, Haochen, Zhiqiang Yang, Jiawei Li, Guohua Xu, Yingkai Xia, and Kan Xu. 2024. "State-Transform MPC-SMC-Based Trajectory Tracking Control of Cross-Rudder AUV Carrying Out Underwater Searching Tasks" Journal of Marine Science and Engineering 12, no. 6: 883. https://doi.org/10.3390/jmse12060883

APA Style

Hong, H., Yang, Z., Li, J., Xu, G., Xia, Y., & Xu, K. (2024). State-Transform MPC-SMC-Based Trajectory Tracking Control of Cross-Rudder AUV Carrying Out Underwater Searching Tasks. Journal of Marine Science and Engineering, 12(6), 883. https://doi.org/10.3390/jmse12060883

Note that from the first issue of 2016, this journal uses article numbers instead of page numbers. See further details here.

Article Metrics

Back to TopTop