Abstract
The problem of periodic oscillations of a dipole, specifically its strength, along the principal axes in a three-dimensional frozen channel is considered. The key points of the problem are taking into account the linear thickness of ice across the channel and ice porosity within Darcy’s law. The fluid in the channel is inviscid and incompressible; the flow is potential. It is expected that the oscillations of a small radius dipole well approximate the oscillations of a small radius sphere at a sufficient depth of immersion of the dipole. It was found that during oscillations along the channel and vertical oscillations, waves are generated in the channel, propagating along the channel with a frequency equal to the frequency of dipole oscillations. These waves decay far from the dipole, and the rate of decay depends on the porosity coefficient.
Keywords:
dipole; oscillations; channel; ice plate; porous ice; ice deflections; hydroelastic waves; strains 1. Introduction
Problems describing the behavior of ice covers have been actively studied since the second half of the last century [,,]. Many studied problems are related to the propagation of flexural–gravity waves in ice sheets of infinite extent [,,,,,,]. The problems concerning the behavior of ice covers in channels are of major interest for research, because they have practical importance for studying ice breakup in rivers during spring or for the safe transportation along a frozen channel. Frozen rivers in northern regions can be used for transportation in the winter time [,,,,,]. To ensure safe transportation, it is necessary to evaluate maximum stresses that will be generated in the ice cover and determine whether they will lead to ice breaking. On the other hand, there is a problem of effective ice breaking by moving loads. The ice can be broken, for example, in order to prevent floods. Air-cushion vehicles or hovercraft can be used as moving loads [,,,]. Moreover, most laboratory experiments are conducted in experimental ice tanks that have finite dimensions and rectangular cross-sections, which significantly influences the ice response. But the papers [,,,,] modeled ice cover as one-dimensional system along the river only. The first paper we know where ice was modeled by finite element analysis as a 2D plate was published by []. But even in that paper, vibrations across the river was not considered properly.
Mathematical models with proper 2D modeling of the ice sheet were considered, for example, in [,,,,,]. Typically, an ice cover is modeled as a thin elastic [], viscoelastic [,] or poroelastic plate within the linear theory of hydroelasticity. Models of poroelastic plates were studied primarily in 2D formulations of the problem with a plate modeled by a beam (see []). The presence of walls and the limited sizes of ice plates lead to the introduction of new boundary conditions and a substantial complication of the problem.
It is known that ice behaves differently in various situations, and this behavior is strongly influenced by its characteristics such as structure, temperature, thickness, and porosity. The interaction of gravitational waves with thin porous structures is of significant interest [,]. Examples of such structures include vertical wave absorbers and horizontal floating or submerged plates. Studies of such structures typically focus on analyzing their characteristics to enhance wave energy dissipation. Most of these problems are investigated in a two-dimensional formulation. In [] a three-dimensional problem was solved. It was found that wave energy dissipation due to porosity initially increases as the plate becomes more porous, reaching a maximum, and then gradually decreases with further increases in porosity. The model of the porous ice cover is constructed without taking into account hydrostatic pressure, which is similar to the case of a fully submerged plate in water.
Linear waves generated by a given external periodic load acting on a floating poroelastic plate were investigated in []. The assumption was made that the rate of fluid penetration into the floating porous plate is proportional to the total liquid pressure at the ice–fluid interface, including the hydrostatic pressure component. In [], a comparison was made between the models used in [], without accounting for hydrostatic pressure in Darcy’s law, and used in [], with total liquid pressure in Darcy’s law. It was found that the wave attenuation rate is non-monotonic with respect to porosity. It was shown that both models give the same results for high frequencies and small porosity values. The non-monotonic behavior of the wave attenuation rate was also observed in [], where an alternative form of the dispersion relation was obtained, which has a more explicit dependence on porosity. Studying ice characteristics such as porosity is important both for understanding and improving methods for ice cover destruction. Many models in well-known works usually consider only elastic effects when investigating stresses in the ice cover. Results of studies on ice destruction can be found in, for example, [,]. The conventional multi-yield-surface plasticity model with the state-based peridynamics was studied to simulate the stress and crack formation of ice under impact in [].
Alongside the considered models, another significant class of problems involves studying the interaction between ice and a body submerged in liquid. The impact of a submerged body on the ice cover and the influence of the ice cover on the fluid flow near the body were investigated in [,]. Effects of hydrodynamic forces acting on an oscillating circular cylinder during its motion in infinitely deep fluid covered by compressed ice were studied in []. One important parameter in studying such models is the thickness of an ice cover. In many studies, cases of uniform ice with constant thickness are considered. However, in natural conditions, the ice cover is not homogeneous, making it important to study models where the ice thickness varies [,]. The challenges associated with wave generation in a liquid, whether covered by ice or not, represent significant theoretical and practical interest. Methods for solving such problems, based on modeling perturbation sources localized within the liquid volume through hydrodynamic singularities, were developed in classical hydrodynamics [,]. Research in this area is actively expanding, extending this approach to cases involving liquid covered by ice [,,]. In [], problems of a point source with variable strength in a liquid layer covered with ice were considered, and general expressions for the velocity potential were obtained. Special cases were examined for impulsive and constant sources as well as a source pulsating harmonically. Asymptotic expressions for the velocity potential of a steady flow were provided at large distances from the source. In [], using the stationary phase method, an asymptotic representation for waves generated in the ice cover under the influence of such a source was derived. In [], three cases of dipole dynamics were considered: a dipole moving horizontally at a constant speed at some depth, a dipole making horizontal oscillations, and a dipole moving and oscillating. The problem was treated as a simplified model of the motion of a circular cylinder (or a highly elongated body) in water under an ice cover. It was found that the nature of the solutions varies for different ranges of the parameters, and possible cases were classified and described in detail. In [], a two-dimensional problem of a pulsating point source placed in an infinitely deep liquid was investigated. The solution was obtained as a superposition of standing and propagating waves. It was demonstrated that the frequencies of these waves were equal to the frequency of the source’s oscillations. The amplitudes and wave numbers of the obtained hydroelastic waves strongly depended on the thickness and elastic properties of the ice.
In [], a three-dimensional problem was considered concerning disturbances arising in the ice cover when a dipole moves uniformly and rectilinearly for a long time. As known, a dipole represents a model of a sphere moving in a fluid [,]. The ice cover was considered as a thin elastic plate of constant thickness, floating on the fluid’s surface. It was shown that a dipole modeling a sphere moving in a fluid can initiate various disturbances in the ice cover depending on its speed. When the dipole moves with a subcritical speed, the disturbance in the ice cover takes the form of a local deflection and quickly decays with distance from the dipole. Disturbances of a wave type can arise in the ice cover only at supercritical dipole speeds.
The solution of the problem of the uniform motion of a submerged sphere beneath a free liquid surface using the method of multipole expansions was obtained in [,]. In the work [], these results were extended to the case where the liquid is covered by an ice sheet. It was demonstrated that all flow characteristics significantly depend on the ratio of the body’s velocity to the critical velocity of flexural-gravity waves.
This paper studies the problem of dipole oscillations in a frozen channel. A point dipole is considered, which is submerged to a sufficient depth to model the oscillations of a rigid sphere with a small radius.
The ice thickness is assumed to be linear and symmetric with respect to the center line of the channel. Porous ice is considered, with porosity accounted for through the velocity of liquid penetration into the ice plate within the Darcy model. Oscillations along the principal axes are considered, i.e., across the channel, along the channel, and vertically. The primary investigated parameters of the problem are the deflections of the ice cover and the distribution of strains generated by dipole oscillations in each of the three considered cases of vibrations along the principal axes. The main goal of the article is to study the influence on the deflections and strains of the following parameters: (1) the porosity of the ice plate within the considered model; (2) the variable, symmetric and linear thickness of the ice across the channel; (3) the combined effect of these two parameters, i.e., the impact of changing the linear thickness with a sufficiently high porosity of ice.
2. Formulation of the Problem
The response of an elastic porous ice cover in a frozen channel to oscillations of a submerged body is considered. The channel has a rectangular cross-section with a width of and depth of , and it is unbounded in the x direction. Here, denotes the Cartesian coordinate system. Liquid in the channel is inviscid, incompressible and covered with a thin ice sheet. Flow in the channel is considered to be potential. The thickness of the ice cover is described by the function . Along the channel, in the x direction, the ice thickness does not change. Across the channel, in the y direction, the ice thickness is a linear function. For all considered cases, the ice thickness is much smaller than the characteristic size of the channel, for which the width of the channel is chosen, . The channel depth H is of the same order as its width. Oscillations of the ice cover are generated by periodic oscillations of the submerged body.
Resulting ice deflections are assumed to have a small curvature, and the amplitude of the generated hydroelastic waves is much smaller than the wavelength of these waves. In this case, the problem can be solved within the linear theory of hydroelasticity. The ice cover is modeled as a thin elastic plate with variable rigidity that changes depending on the ice thickness. The ice deflections (vertical displacement of the ice plate from state of rest) are described by the equation of a thin elastic plate
where is the following differential operator
where = , is the density of ice, is the flexural rigidity defined by formula , E is the Young’s modulus and is the Poisson’s ratio, and is the pressure of the liquid on the ice/liquid boundary, including the pressure generated by oscillations of the underwater body.
A case of symmetric thickness variation with respect to the center of the channel is considered, . Its maximum value is achieved at the channel walls, while the minimum is achieved at the center line of the channel; see Figure 1. The primary parameters of the thickness are its average value and the dimensionless slope coefficient , describing the linear variation of ice thickness. Thus, can be written in the following form
where is the minimum value and is the maximum value of the ice thickness, which are calculated by the formulas

Figure 1.
The shape of the ice cover across the channel.
The dimension slope of the surface across the channel is calculated as . For all the sets of parameters considered in this article, this slope is significantly less than 1, . This allows for using the dynamic condition (1) within the linear approximation.
The submerged body is modeled as a three-dimensional dipole placed in the channel beneath the ice cover. In unbounded liquid, the potential of the dipole is
where q is the dipole strength, and , where is the direction vector, and is the unit vector. It is known that during steady-state motion, the dipole describes the motion of a rigid sphere; see [,]. Tkacheva in [] showed that the dipole accurately models the motion of a sphere for a dipole submerged more than 1.5 radii of the described sphere. Similar results are expected for oscillatory processes; see, for example, []. For a sphere of radius a, the dipole strength is given by , where U is the dipole velocity (see, for example, []). In this article, oscillations of a small-radius dipole, , with a constant frequency will be considered. The dipole oscillations are caused by the periodic variation of its velocity and, accordingly, strength, , where , and A is the amplitude of oscillations. The radius a remains constant. During dipole oscillations along the Cartesian axes in unbounded fluid, the velocity potential has the form
To determine the shape of the corresponding submerged body, it is necessary to construct the potential of the dipole in the channel with rigid walls. This potential satisfies the Laplace equation in the channel and decays to zero at infinity, as . The normal derivative of the potential is equal to 0 at the walls , at the bottom and at the ice/liquid interface . The potential is constructed using the method of mirror images. First, images from vertical walls of the channel are constructed, satisfying the boundary conditions at . Then, we obtain the potential in the form of a series
where and is equal to , or depending on the direction of the dipole oscillations. In the case where the dipole oscillates along the y direction, it is necessary to take into account the antiphase of the reflected dipole, i.e., for the terms indicated by ±, the “−” sign should be chosen. In cases of oscillations along other directions, the “+” sign should be chosen for the same terms. The next step is to construct images of the potential (3) from the planes and to satisfy the corresponding boundary conditions. Then, we obtain the potential corresponding to the submerged body oscillating in the channel
In the last equation, it is also necessary to consider the antiphase reflection of the dipole in the case of dipole oscillations along the z direction: for the terms indicated by ±, the “−” sign should be chosen; in cases of oscillations along other axes, the “+” sign should be chosen for the same terms.
In the result, the potential of the total liquid flow caused by the motion of the dipole and the ice deflections reads
where is the correction potential describing the liquid flow according to plate oscillations. The potential satisfies the Laplace equation in the liquid flow region and the no-slip boundary conditions
The fluid pressure, as well as the kinematic condition, for a dipole with a small radius a and a small inclination angle , can be written in a linearized form. See the corresponding discussions in [,]. The fluid pressure at the ice/liquid interface is described by the linearized Bernoulli integral
where g is the acceleration of gravity and is the density of the liquid.
We consider a porous plate, meaning that fluid can penetrate into the ice plate through the ice/liquid interface. The velocity of the liquid penetrating into the plate can be obtained using Darcy’s law []
where K is the permeability coefficient, is the dynamic viscosity and is the dynamic pressure. In the linear theory of hydroelasticity, for the kinematic condition, only the vertical velocity is required. For a thin plate, where for all y, the pressure gradient can be calculated by the formula , where and are the pressures on the lower and upper surfaces of the ice plate. On the upper surface of the plate, there is no liquid, meaning is equal to the air pressure. On the lower surface, the pressure is equal to the sum of the dynamic pressure of the liquid and the air pressure. In this article, we are considering the following equation for
The question about whether it is needed to account for static pressure is also open. Following straightforward logic, on the upper surface of the plate, there is no fluid, so the static pressure acting on the lower surface should be taken into account in (6). However, if the plate is submerged in water, the static pressure from different sides compensates for each other; see []. Some studies of porous plates floating on the surface of a liquid have considered formulations that do not account for static pressure; see, for example, []. In this paper, a model of a porous plate with Darcy’s law in the form of (6) is used. A similar model was used in the study conducted by Zavyalova et al. in [].
Summarizing, the potential satisfies the Laplace’s equation
in the fluid flow region, excluding a small vicinity of the dipole with a radius a, whose center is located at the point . It also satisfies the no-slip conditions at the channel walls and bottom
The potentials and satisfy the boundary and linearized kinematic conditions at , respectively,
We consider the case where the ice cover is frozen to the channel walls, which is modeled by clamped conditions
The scheme of the problem is shown in Figure 2.

Figure 2.
Scheme of the problem.
The problem (1)–(10) is solved in dimensionless variables. The channel’s half-width b is taken as the length scale and is taken as the time scale. The dimensionless channel depth is denoted by h. The relations between dimensional and dimensionless parameters and functions are
where represents the potential equal to and is computed considering the direction of oscillations and mirror images using Equations (3) and (4). Here, corresponds to oscillations in the x direction, corresponds to oscillations in the y direction, and corresponds to oscillations in the z direction. Solutions for all three cases are constructed separately.
The solution for w and are sought in the form of periodic functions oscillating with the frequency
where and are the scales of the ice deflection and the potential velocity, respectively. The ice deflection scale is
In dimensionless variables, the formulation of the problem reads (tildes are omitted hereafter)
The solution of the problem (11)–(15) depends on five dimensionless parameters: the dimensionless porosity , the dimensionless rigidity , where , the dimensionless frequency , the mass ratio and the inclination angle of the ice thickness . The solution also depends on the dipole position . The radius of the sphere a and the amplitude of the oscillations A are presented in the scales of the investigated functions. We will determine the deflections and strains in the ice cover for some characteristic values of these parameters and for all three cases of dipole oscillations along the principal directions. The focus of the study will be on analyzing the effect of the porosity parameter and the inclination angle on the obtained results.
Strains Calculations
This study investigates strains in the ice cover using a method that involves calculating the maximum deformations in the plate. This method is considered within the linear theory of hydroelasticity, where deformations are linearly dependent on the thickness of the plate and are zero at the center of the plate []. Consequently, deformations have maximum values either on the upper or lower surface, depending on the thickness of the plate. This work considers only positive strains, corresponding to the elongation and stretching of the ice cover. The strain tensor describing the deformation field in the ice plate is given by
where is a dimensionless coordinate along the thickness of the ice, with . Tensor (16) describes the strain field in the ice cover. To find the maximum strains, one needs to determine the eigenvalues of tensor (16) and select the maximum. In the linear theory of hydroelasticity, this method of analysis is correct if the condition is satisfied, and the strains do not exceed the critical value . The critical value, or yield strain, of the material is defined as the value of deformation at which the material starts to deform plastically. The value of the yield strain was used before in []. If strains in ice exceed a critical value in some point, it is assumed that the ice breaks at that point. However, the nature of the breaking is not specified. The considered model cannot be applied further because the problem geometry and edge conditions should be changed. According to the introduced dimensionless variables, strains are scaled by the value of . Therefore, for different values of , the value of and the scale of the strains will be different. To compare results for different values of , only dimensional strains will be discussed. The questions of ice destruction and the determination of critical amplitudes and oscillation radius are not discussed in this article.
3. Method of the Solution
The problem is solved using a method similar to the one employed in [] to investigate the motion of an external load on the upper surface of an ice cover in a channel. The differences is in the more complex kinematic condition, resulting in a different calculation of the added mass matrix, and in the fact that the ice deflections are caused by the action of a submerged body, not the movement of an external load. In both problems, time is treated as a parameter, which later disappears in the equations. Due to the oscillations of the submerged body along different coordinates, the computation of the final integrals has specific features depending on the case.
The problem (11)–(15) is solved using the Fourier transform in the x direction. Applying the Fourier transform to the plate Equation (11) and using the boundary conditions (12), the transformed plate equation reads
where
Here, is the parameter of the Fourier transform.
The Fourier transform of the dipole potential is computed analytically. All terms in the formula for the dipole potential can be described by a single standard expression
Notations X and r are the same as in (3). For oscillations along the y and z directions, the pressure distribution on the ice surface will be symmetric with respect to x. Therefore, to determine , it is necessary to compute a series of integrals in the form
which are equal to (see [])
where or depending on oscillations along the y or z axis, respectively. The function is real and even with respect to . In the case of oscillations along the x axis, the pressure will be asymmetric, and in this case, it is necessary to compute a series of integrals in a different form
which are equal to
where . Here, is a modified Bessel function of the second kind. In this case, the function is purely imaginary and odd with respect to .
Is is convenient to seek the solution for the Fourier image of the ice deflections by expanding it into a series of spectral functions , which are referred to as the normal modes of vibration of a beam with variable thickness
These functions were calculated in [] for the shape of the ice thickness considered in this article. The functions are solutions of the spectral problem
The analytical solution of Equation (20) is a combination of Bessel functions
where , , and J, Y, I, K are Bessel functions. The coefficients , , , and are determined by the boundary conditions and orthogonality conditions for the functions .
The solution of (20) can be both even and odd functions . Since we are considering a case of the symmetric linear variation of ice thickness, we can seek the solution on the interval from to and then extend it by even or odd symmetry accordingly. To do this, additional boundary conditions need to be formulated at . For even modes, these conditions are zero slope and zero shear forces, and for odd modes, the function is zero, and the corresponding bending moment is zero.
Thus, substituting (21) into the boundary conditions, we obtain a system of equations to find the coefficients , , , and for even modes and the spectral parameter .
where , and
The coefficients , , , and , and the spectral parameter for odd modes are found from the same system of equations with the replacement of the boundary conditions (24) and (25) with the following
The systems of Equations (22)–(27) are used to express 3 out of 4 coefficients through the remaining one and to find the spectral parameter . This parameter is computed as the value at which the matrix of the corresponding matrix problem changes its sign. The functions are orthogonal with respect to the following weighted inner product, where the weight function is equal to
and the remaining constant is chosen in such a way that the integral in (27) is equal to 1 when .
The kinematic condition (14) provides that we can seek the Fourier image of the velocity potential in the form
where potentials in the RHS are solutions of the boundary problems
We seek the potential in the form of a series with same principal coefficients
where are solutions of the boundary problem
The solution to this boundary problem is
where
The “even” , , , and “odd” coefficients , , , are determined independently of each other. The coefficients for even functions, , are determined as solutions of the following infinite system of equations
where . The system of Equation (31) is solved using a reduction method, with the number of terms in the sum limited by the value . The system can then be written in matrix form and solved as a matrix equation, taking into account the separation into real and imaginary parts. The system is complicated by the presence of the function as a multiplier in some terms but not all of them. It gives that the corresponding matrix will not be symmetric. If , it can be easily shown that the matrix will not only be symmetric but also diagonal; i.e., the system will decompose into separate equations with respect to each coefficient . Coefficients , for the odd part of the potential are determined in the same way. The system of equations for finding is
The solution for the potential can be found in the same way by the method of separation of variables
where coefficients and are solutions of following system of equations derived from the corresponding boundary kinematic condition
Solutions of (32) and (33) are also obtained by the reduction method. The infinite systems of equations for and are reduced to the same number of equations, . For coefficients and , the number of equations is different in order to achieve a sufficient accuracy of approximation of the pressure caused by the dipole.
Substituting the solutions for the Fourier transforms of ice deflections and the velocity potential in the form of (19) and (30) into the plate in Equation (17), multiplying both sides of the equation by , and integrating over y, we arrive at the infinite system of algebraic equations for finding the expansion coefficients
where
and
is the Fourier image of the pressure distribution over the lower surface of ice plate, which is corrected by the porous term in the kinematic condition. The system of Equation (34) can be written in the matrix form
where is a diagonal matrix with elements , , , , and , is the identity matrix, and is a column vector with components . All matrices in (34), except for the matrix , are symmetric. The matrix is not symmetric due to the peculiarities of computing its coefficients; see (31) and (32). All elements of these matrices, except for the elements of the matrix , are real. The right-hand side of equation (35) is a complex value.
To solve the matrix problem (35), the number of modes is limited to a finite number . Then, the vector is decomposed into its real and imaginary parts, . By splitting the problem accordingly, we obtain a system of two nonhomogeneous matrix equations for and . The problems for the real and imaginary parts are coupled.
The deflections are determined using the inverse Fourier transform (18). In the case of oscillations along the y or z-axis, the equation for deflections takes the form
The final dimensionless ice deflections, depending on time, are determined by the formula
In the case of dipole oscillations in the x direction, the formulas for deflections take the form
Integrals over are computed numerically. The derivatives , , necessary for determining strains, are also numerically computed. The derivatives and are computed analytically.
4. Numerical Results and Discussion
Calculations of the ice response were carried out for parameters of the channel corresponding to the experimental ice tank at the Sholem Aleichem Amur State University in Birobidzhan (see []): depth m, width m, and the ice thickness in the tank is approximately equal to m. The parameters of ice and liquid in the calculations were kg/m3, kg/m3, , and Pa. The angle of inclination of the linear ice thickness and the porosity parameter change in the calculations. The dipole location in the x direction, , is equal to 0. All results will be discussed for the frequency of oscillations s−1 and the fixed dipole’s location in the cross-section of the channel, and . The average thickness in all calculations did not change and is equal to m. All results presented further are shown in non-dimensionless variables for s unless otherwise specified; tildes are omitted.
The precision of the calculations of the pressure applied by the dipole is dependent on the number of terms included in the series (3) and (4). The terms describing mirror images from the channel walls decay with an increase in their number. The corresponding sums converge relatively quickly depending on the direction of oscillations. For instance, consider oscillations along the z direction. Mirror images from the horizontal walls are described by Equation (4). The accuracy of calculations of the dipole potential at the plane depends on the term ; the remaining terms for the same m balance each other on the plane . To satisfy the boundary condition at the plane with an accuracy of at least , it is necessary to consider the number of terms, which in our case is approximately equal to 23. Mirror images from the vertical walls for the case of dipole oscillations along the z direction converge faster. All the results of calculations presented further on will be conducted for the parameters in Equations (3) and (4). The corresponding pressure shapes are shown in Figure 3.

Figure 3.
Shapes of pressure caused by dipole oscillations in the (a) x, (b) y and (c) z directions. Here, , and .
The precision of calculations of the ice deflections depends on the integration parameters—integration limit and step of integration in (36) and (37)—and on the number of modes . Our test calculations indicate that a value of in a range from 7 to 10 yields numerical results with sufficient accuracy for small frequencies, . The range of the frequencies for these modes can be different for other channels. The selection of and is very important for oscillations along the channel and vertical oscillations. The selection of these parameters was carried out to ensure that the integrand functions were sufficiently smooth and corresponding functions tend to 0 on the selected intervals of integration.
The dimensionless porosity parameter depends on the frequency and the dimensional porosity parameter, which is denoted as , . The dynamic viscosity in the calculations is equal to . The permeability coefficient K, in general, depends on the specific properties of the ice. In [], a formula for determining K is derived, which depends on the brine volume fraction of ice. This value is also denoted as total porosity in []. The permeability value changes exponentially relative to the total porosity. In this article, the ice response will be investigated for permeability values ranging from to . The value approximately corresponds to the ice cover with a porosity value of . The value corresponds to the ice with a porosity value of .
Cases and are not considered in this article. It is expected that as , ice deflections tend to the corresponding deflections for an ice cover of constant thickness; see []. As , the response of the ice cover is expected to approach the response of an ice cover with zero porosity; see [].
4.1. Oscillations across the Channel
The typical dimensionless ice deflections and corresponding distribution of dimensionless strains in the ice cover are shown in Figure 4 for parameters and . For oscillations across the channel, there are no hydroelastic waves propagating from the dipole. The ice deflections are concentrated across the channel in the vicinity of the dipole’s location. The shape of the ice deflections is close to the shape of the pressure applied by the dipole onto the lower surface of the ice plate. Maximum strains in this case are achieved at the channel walls. It is noteworthy that during oscillations across the channel with a dipole located at the central line, strains on this line are absent, and ice deflections are zero due to the odd symmetry with respect to y of the applied pressure.

Figure 4.
Typical dimensionless ice deflections (a) and dimensionless strains (b) in the ice cover for the oscillations of the dipole across the channel.
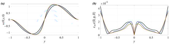
The further results of the calculations will be presented for some of the parameters shown in Table 1. The calculation results showed that for a small angle of inclination of the linear thickness of ice, changing the porosity does not lead to noticeable changes in the ice deflections and distribution of strains (cases IA–ID in Table 1). For a fixed small porosity, the ice deflections and strains are subject to changes in the inclination angle of the linear thickness. The results of the calculations for cases AI–AIII are shown in Figure 5. Dimensionless deflections are shown in Figure 5a, and dimensional strains for and m are shown in Figure 5b. The black color corresponds to the case AI, blue corresponds to AII, and orange corresponds to AIII. An increase in the parameter leads to a decrease in the ice thickness at the center of the channel and its increase at the channel walls. For example, in the case AIII, cm, and cm. With an increase in , the amplitude of the ice deflections decreases near the walls, and locations of maximum amplitudes shift toward the center of the channel, where the ice becomes thinner. The values of maximum strains, in general, decrease across the width of the channel with an increase in except for a small vicinity of the central line of the channel.

Table 1.
Parameters of calculations.

Figure 5.
Dimensionless ice deflections (a) and dimensional strains (b) in the ice cover for the oscillations of the dipole across the channel. Black color corresponds to the case AI, blue color corresponds to the case AII, and orange color corresponds to the case AIII (for notations, see Table 1).
The effect of the porosity for different angles of inclinations of the linear symmetrical thickness are shown in Figure 6, illustrating the difference in the dimensionless ice deflections, Figure 6a, and dimensional strains, Figure 6b, across the channel at . Black color corresponds to the difference between the cases IA and ID, blue color corresponds to the difference between the cases IIA and IID, and orange color corresponds to the difference between cases IIIA and IIID. The largest difference in the ice deflections is achieved with high and high porosity. However, this difference is no more than 3 percent of the initial values for the ice cover with a small linear change in the ice thickness. For small , the largest difference in strains is noticeable near the walls and in the vicinity of . With an increase in , strains increase mostly in the vicinity of the dipole’s location, .

Figure 6.
The absolute difference in the dimensionless ice deflections (a) and the absolute difference in the dimensional strains (b) for the oscillations of the dipole across the channel. Black color corresponds to the difference between IA and ID, blue color corresponds to the difference between IIA and IID, and orange color corresponds to the difference between IIIA and IIID (for notations, see Table 1).
From a practical point, for oscillations across a sufficiently long channel with rigid walls, changes in the linear symmetric thickness and accounting for porosity do not lead to critically different results. Maximum strains occur on the walls opposite the dipole, making this type of oscillation effective if the aim is to break ice on the walls opposite the oscillating sphere.
4.2. Oscillations along the Channel
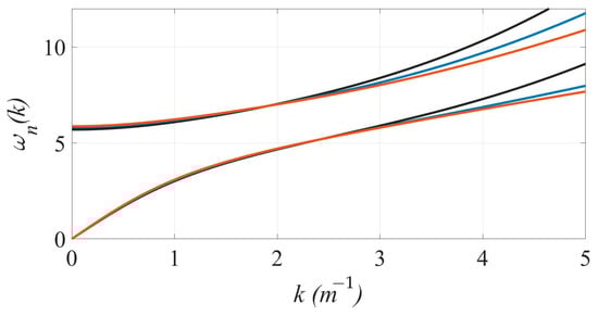
For the oscillations of the dipole along the channel and vertically, hydroelastic waves are generated in the channel, propagating with the frequency of the dipole’s oscillations. To determine the characteristics of these hydroelastic waves, it is necessary to consider the problem of periodic hydroelastic waves propagating in a channel with symmetric linear thickness, as seen in []. It is known that in the channel, there is a countable number of such hydro elastic waves. Dispersion relations for the considered channel and for the first two even modes with the lowest frequencies are shown in Figure 7. Results for are shown by black lines, those for are shown by blue lines, and those for are shown by orange lines. These characteristics are computed without considering porosity. Waves with are most affected by the symmetric linear thickness, as discussed in []. It can be seen that waves in the channel exist at any frequency of the dipole’s oscillations. The number of waves depends on the number of intersections of the horizontal frequency line with the dispersion relations. In this article, we limit ourselves to the case where only one wave propagates, i.e., s−1. The wave number for long waves at such frequencies is lightly dependent of the parameter . The limit of these frequencies before the appearance of a second wave depends on the parameters of the channel and, in particular, on the angle of inclination of the ice thickness .

Figure 7.
Dispersion relations for the considered channel for the first two even modes with the lowest frequency. Results for are shown by black lines, those for are shown by blue lines, and those for are shown by orange lines.
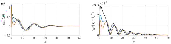
The typical dimensionless ice deflections and the corresponding distribution of dimensionless strains for the oscillations along the channel are shown in Figure 8 for the parameters and . The hydroelastic wave propagates along the channel from the dipole in both positive and negative x-directions. In the considered case, the dimensionless wave number , where , corresponding to a dimensionless wavelength of . These waves are clearly observed in the figures. Maximum strains are achieved at the channel walls and exhibit periodic behavior. Also, noticeable strains are observed in the vicinity of the dipole’s location in the center of the channel. Similar to the case of oscillations across the channel, due to the oddness of the pressure in the x direction, the ice deflections and strains are zero above the dipole. The primary contribution to the wave profile across the channel comes from the first mode .

Figure 8.
Typical dimensionless deflections (a) and dimensionless strains (b) in the ice cover for the oscillations of the dipole along the channel.
The dimensionless ice deflections and dimensional strains for different values of the porosity are shown in Figure 9. The ice deflections along the central line of the channel are shown in Figure 9a, while strains along the central line and along the walls are shown in Figure 9b and Figure 9c, respectively. Calculations for the case IA are shown by black lines, those for IC are shown by blue lines, and those for ID are shown by orange lines. The dimensional strains are shown for amplitude and the sphere of radius m. Strains in the vicinity of the dipole location for cases IA, IC, and ID are shown in Figure 9d–f, respectively. The porosity has a damping effect on the oscillations, which was also observed in, for example, []. With a non-zero porosity, hydroelastic waves in the channel damp out as . The damping rate depends on the ice permeability parameter K. In the absence of porosity, these waves do not damp, and the integrals in (37) become singular at the point . As a result, it is necessary to reduce the step size and compute the integrals more carefully when the porosity is small. With an increase in the porosity parameter, strains in the ice cover decrease at a distance from the dipole. In the vicinity of the dipole (, approximately equal to 7.5 of sphere radius), maximum strains are observed in the center of the channel and rapidly decay regardless of the porosity; see Figure 9e–f. At a short distance, , maximum ice deflections and strains are observed for an intermediate value of the porosity in the case IC. Maximum strains at the walls in this case can be 1.25 times larger. The minor effect of porosity also involves a slight change in the wavelength. The calculation results for the case IB are not shown on these figures. However, the results for this case are visually almost indistinguishable from the case IA. The greatest difference in the results is noticeable when changing the impermeability parameter K in the up-range from to .

Figure 9.
Dimensionless ice deflections along the central line (a) and dimensional strains along the central line (b) and along the walls (c). Results for the case IA are shown by black lines, those for IC are shown by blue lines, and those for ID are shown by orange lines. Figures (d–f): Dimensional strains near the dipole’s location for the cases IA, IC, and ID (for notations, see Table 1).
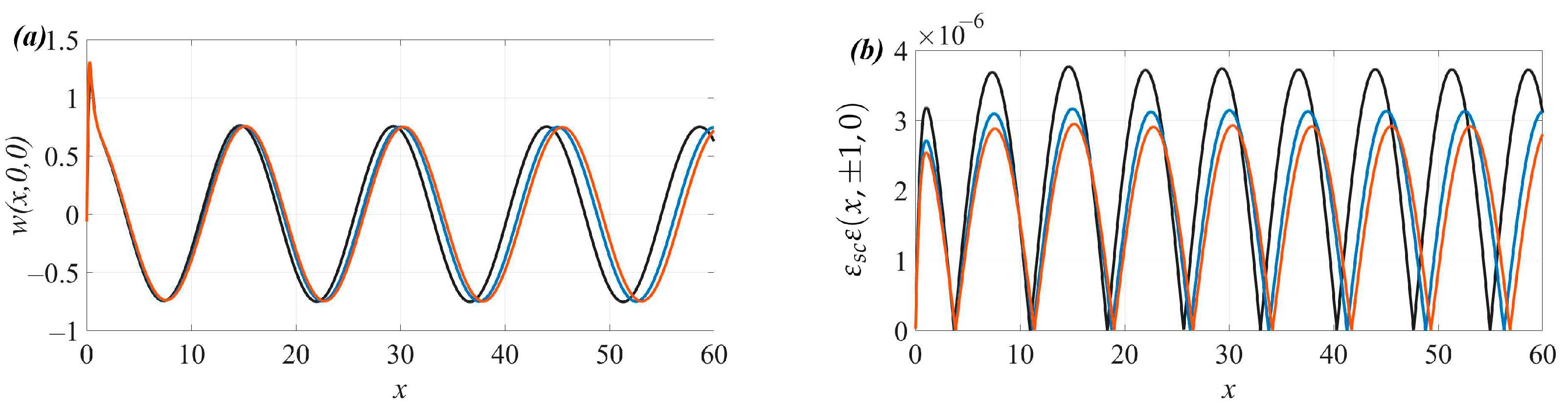
The effect of changing the linear symmetric thickness of ice in the channel is shown in Figure 10. The dimensionless deflections along the central line of the channel are shown in Figure 10a, and the dimensional strains along the walls are shown in Figure 10b. Results for AI are shown by black lines, those for AII are shown by blue lines, and those for AIII are shown by orange lines. Amplitudes of the ice deflections near the dipole slightly increase, while in the far field, they remain unchanged. Amplitudes of strains decrease with an increase in linearity of the ice thickness. This conclusions hold for both the shown strains along the walls and strains between the walls. A minor effect is the change in the wave number . For long waves propagating in this case, the wavelength slightly increases; see Figure 7.

Figure 10.
Dimensionless ice deflections along the central line of the channel (a) and dimensional strains along the walls (b) in the ice cover for the dipole’s oscillations along the channel. Results for AI are shown by black lines, those for AII are shown by blue lines, and those for AIII are shown by orange lines (for notations, see Table 1).
The combined effect of changing the linear symmetric thickness of ice and high porosity, , is shown in Figure 11. The dimensionless ice deflections along the central line of the channel are shown in Figure 11a, and the dimensional strains along the walls are shown in Figure 11b. Results for DI are shown by black lines, those for DII are shown by blue lines, and those for DIII are shown by orange lines. The ice deflections in the vicinity of the dipole () are largest for an intermediate value of the angle of inclination among the considered ones. The main differences are in the range , i.e., in the area between local ice deflections above the dipole’s location and the area with formed wave patterns. The linear change in ice thickness reduces the ice deflections and strains in this area. For the considered parameters of the problem, the difference in the ice deflections and strains for different agnles of inclinations can be more than threefold.

Figure 11.
Dimensionless deflections along the central line of the channel (a) and dimensional strains along the walls (b) in the ice cover for the dipole’s oscillations along the channel. Results for DI are shown by black lines, those for DII are shown by blue lines, and those for DIII are shown by orange lines (for notations, see Table 1).
From a practical point, oscillations along the channel are beneficial when it is necessary to create wave motions in front of and behind the dipole’s location. In this case, maximum strains are achieved at the walls distant from the dipole and exhibit a periodic behavior at low porosity. If the aim is to break the ice, one can expect the ice to fracture off the walls over a long distance. For sufficiently porous ice, ice fracturing may occur in a localized area near the walls at a short distance from the dipole’s location. For both dipole oscillations along and across the channel, the local ice region above the dipole remains mostly undisturbed, which can be intresting for practical applications.
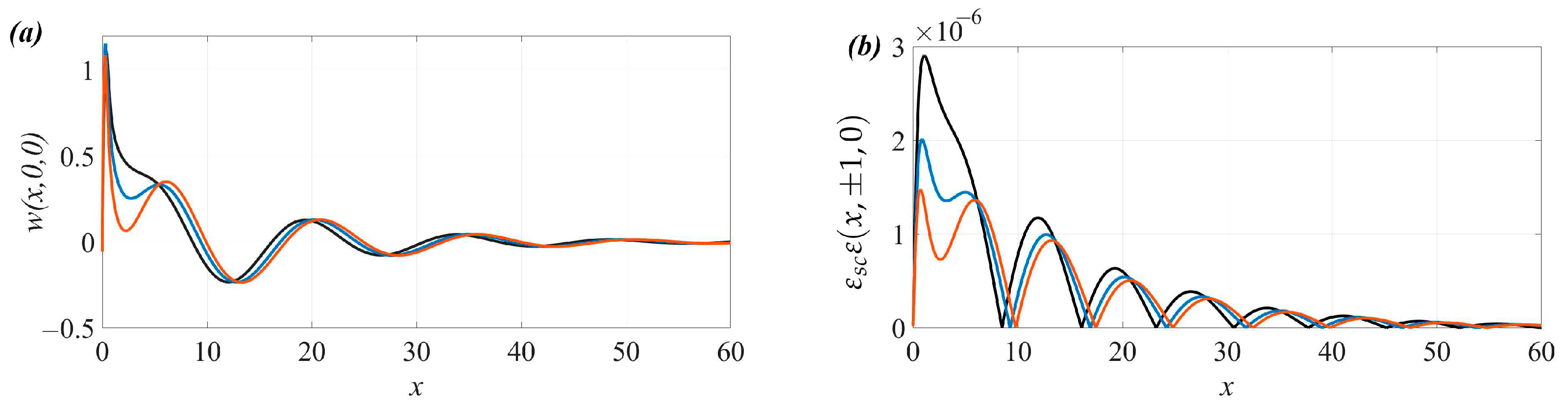
4.3. Vertical Oscillations
The typical dimensionless ice deflections and corresponding distribution of dimensionless strains in the ice cover for the vertical oscillations of the dipole in the channel are shown in Figure 12 for parameters , . As in the case of the oscillations along the channel, the hydroelastic wave is generated and propagates from the dipole’s location in the positive and negative x-directions. However, the amplitudes of these waves and amplitudes of the strains generated by them are approximately four times smaller than those for the oscillations along the channel. In the vertical case, maximum amplitudes of strains are achieved above the dipole’s location at the center line of the channel. The observed hydroelastic waves have the same frequency and wave number and behave similarly to the waves in the case of dipole’s oscillations along the channel. With increasing porosity, these waves dampen in a similar way. Therefore, we will limit further investigation to the ice deflections and strains in the small vicinity of the dipole.

Figure 12.
Typical dimensionless ice deflections (a,c) and dimensionless strains (b,d). In the far field from the dipole—(a,b), in the vicinity of the dipole—(c,d).
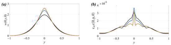
Similar to the two previously considered directions of the oscillations, for the vertical oscillations of the dipole, porosity has a small effect on the ice deflections and strains in the ice cover in the small vicinity of the dipole location and for the small angles of inclination of the ice thickness, . The ice deflections and strains are more susceptible to the effect of changing the linear symmetrical thickness of ice. The results are shown in Figure 13. The dimensionless ice deflections across the channel at are shown in Figure 13a, and the corresponding dimensional strains are shown in Figure 13b. The results for AI are shown by black lines, those for AII are shown by blue lines, and those for AIII are shown by orange lines. Amplitudes of the ice deflections above the dipole location increase with the parameter . Amplitudes of the strains in the case of vertical oscillations also increase with . However, they will not be maximal for the largest considered value of .

Figure 13.
Dimensionless ice deflections (a) and dimensional strains (b) across the channel in the ice cover for the vertical oscillations of the dipole, . The results for AI are shown by black lines, those for AII are shown by blue lines, and those for AIII are shown by orange lines (for notations, see Table 1).
The combined effect of changing the linear symmetric thickness of ice and high porosity, , is shown in Figure 14. Dimensionless deflections across the channel at are shown in Figure 14a, and the corresponding dimensional strains are shown in Figure 14b. The results for DI are shown by black lines, those for DII are shown by blue lines, and those for DIII are shown by orange lines. The ice with high porosity is more affected by the changes of linear thickness compared to the ice with low porosity. The maximum ice deflections and strains are achieved above the dipole’s location for an intermediate value of the inclination angle .

Figure 14.
Dimensionless ice deflections (a) and dimensional strains (b) across the channel in the ice cover for the vertical oscillations of the dipole, . The results for IIIA are shown by black lines, those for IIIC are shown by blue lines, and those for IIID are shown by orange lines (for notations, see Table 1).
From a practical point of view, vertical oscillations are most useful when the aim is to break the ice above the dipole’s location. In such oscillations, waves are also generated along the channel, but their amplitudes and corresponding maximum strains in the ice cover are smaller compared to those generated by oscillations along the channel. Therefore, the latter are better for generating such waves. During vertical oscillations, the vicinity of the ice above the dipole’s location is most affected by the oscillations, and this is where maximum strains are achieved. Changing the linear symmetric thickness of ice can increase or decrease these strain values depending on the porosity.
5. Conclusions
The problem of oscillations of a dipole in a frozen channel is considered, taking into account porous ice with linear thickness across the channel. The thickness is symmetric with respect to the channel’s center line. The dipole oscillations are triggered by variations of its velocity and, consequently, strength. Oscillations of the dipole across, along the channel and vertically are studied. The case of the dipole placed at the center of the channel cross-section is considered.
It was found that for the dipole’s oscillations across the channel, between two rigid walls, the following apply:
- The ice deflections and strain distributions in the ice cover are concentrated in the local vicinity of the dipole’s location and have a form similar to the form of applied pressure. Hydroelastic waves propagating along the channel are not generated;
- Changes in the porosity and in the angle of inclination of the linear ice thickness do not lead to significant changes in the ice response. Maximum strains in the ice cover are achieved at the channel walls;
For the dipole’s oscillations along the channel, the following apply:
- Hydroelastic waves are generated in the channel, propagating from the dipole’s location with the frequency of its oscillations. The number of such waves varies depending on the frequency. The case where only one wave is generated was studied;
- Porosity has a damping effect, leading to the attenuation of generated waves. For ice with a small linear variation of its thickness, changes in porosity do not provide a significant effect in the vicinity of the dipole’s location. In the region between the small local area above the dipole and the area with formed hydroelastic waves, changes in porosity can result in a substantial increase or decrease in the ice deflections and strains depending on the linear thickness;
For the vertical dipole’s oscillations, the following apply:
- Hydroelastic waves are also generated in the channel, propagating from the dipole’s location with the frequency of its oscillations. For oscillations along the channel, amplitudes of the ice deflections and strains, generated by these waves, are several times greater than those for the vertical oscillations;
- Maximum amplitudes of the ice deflections and strains are achieved above the dipole’s location. Changing the angle of inclination of the linear thickness of ice results in an increase in the ice deflections. Simultaneously, maximum strains occur for an intermediate value of the inclination angle but not for the maximum one considered.
- The effect of high porosity, combined with the effect of linear thickness, is analogous to the case of oscillations along the channel. A high porosity value may lead to an increase or decrease in the ice deflections and strains, depending on the angle of inclination of the linear thickness of ice.
From a practical point of view regarding ice cover destruction, if the aim is to break the ice at the walls opposite the dipole’s location, oscillations across the channel should be used. On the other hand, if the aim is to generate hydroelastic waves propagating from the dipole and break the ice away from the dipole at the walls, oscillations along the channel should be employed. In both of these cases, the ice above the dipole is minimally affected by the oscillations; for breaking the ice above the dipole, vertical oscillations are necessary.
Author Contributions
Conceptualization, K.S. and T.K.; methodology, K.S. and T.K.; software, K.S.; validation, K.S., T.S. and K.N.; formal analysis, K.S., T.S., K.N. and T.K.; investigation, K.S. and T.S.; resources, K.S. and T.K.; writing—original draft preparation, K.S., T.S. and K.N.; writing—review and editing, K.S., T.S. and T.K.; and visualization, T.S. and K.N. All authors have read and agreed to the published version of the manuscript.
Funding
This work is supported by the National Natural Science Foundation of China (Nos. 52350410468, 52192693 and 52192690).
Institutional Review Board Statement
Not applicable.
Informed Consent Statement
Not applicable.
Data Availability Statement
Data of numerical calculations are available upon request.
Conflicts of Interest
The authors declare no conflicts of interest.
References
- Kheysin, Y. Moving load on an elastic plate which floats on the surface of an ideal fluid. Izv. Akad. Nauk SSSR Otd. Tekh. Nauk Mekh. Mashinostr. 1963, 1, 178–180. (In Russian) [Google Scholar]
- Squire, V.A.; Hosking, R.; Kerr, A.; Langhorne, P.J. Moving Loads on Ice Plates; Kluwer: Dordrecht, The Netherlands, 1996. [Google Scholar]
- Squire, V.A. Ocean wave interactions with sea ice: A reappraisal. Ann. Rev. Fluid Mech. 2020, 52, 37–60. [Google Scholar] [CrossRef]
- Pogorelova, A.V.; Kozin, V.M. Flexural-gravity waves due to unsteady motion of point source under a floating plate in fluid of finite depth. J. Hydrodyn. 2010, 22, 71–76. [Google Scholar] [CrossRef]
- Kozin, V.M. Resonant Method of an Ice Cover Destruction; Natural Sciences Academy: Moscow, Russia, 2007; 354p. [Google Scholar]
- Sturova, I.V. Motion of a Load over an Ice Sheet with Non-Uniform Compression. Fluid Dyn. 2021, 56, 503–512. [Google Scholar] [CrossRef]
- Tkacheva, L.A. Motion of a sphere submerged in water under an ice cover with nonuniform compression. J. Appl. Mech. Tech. Phys. 2022, 63, 187–198. [Google Scholar] [CrossRef]
- Stepanyants, Y.A.; Sturova, I.V. Waves on a compressed floating ice caused by motion of a dipole in water. J. Fluid Mech. 2021, 907, A7. [Google Scholar] [CrossRef]
- Bukatov, A.E.; Zharkov, V.V. Hydrodynamic Pressure of Liquid in the Process of Motion of a Region of Constant Disturbances over the Floating Ice Cover. Phys. Oceanogr. 2005, 15, 1–13. [Google Scholar] [CrossRef]
- Bukatov, A.E. Waves in a Sea with a Floating Ice Cover; Marine Hydrophysical Institute of RAS: Sevastopol, Russia, 2017. (In Russian) [Google Scholar]
- Daly, S.F. Wave propagation in ice-covered channels. J. Hydraul. 1993, 119, 895–910. [Google Scholar] [CrossRef]
- Xia, X.; Shen, H.T. Nonlinear interaction of ice cover with shallow water waves in channels. J. Fluid Mech. 2002, 467, 259–268. [Google Scholar] [CrossRef]
- Beltaos, S. Wave-generated fractures in river ice covers. Cold Reg. Sci. Technol. 2004, 40, 179–191. [Google Scholar] [CrossRef]
- Nzokou, F.; Morse, B.; Robert, J.L.; Richard, M.; Tossou, E. Water wave transients in an ice-covered channel. Can. J. Civ. Eng. 2011, 38, 404–414. [Google Scholar] [CrossRef]
- Nzokou, F.; Morse, B.; Quach-Thanh, T. River ice cover flexure by an incoming wave. Cold Reg. Sci. Technol. 2009, 55, 230–237. [Google Scholar] [CrossRef]
- Hinchey, M.; Colbourne, B. Research on low and high speed hovercraft icebreaking. Can. J. Civ. Eng. 1995, 22, 32–42. [Google Scholar] [CrossRef]
- Zhestkaya, V.D. Numerical solution of the problem of an ice sheet under a moving load. J. Appl. Mech. Tech. Phys. 1999, 40, 770–775. [Google Scholar] [CrossRef]
- Zhestkaya, V.D.; Kozin, V.M. Ice Breaking with Air-Cushion Vessels Using a Resonant Method; Dalnauka: Vladivostok, Russia, 2003; 160p. [Google Scholar]
- Kozin, V.M.; Zhestkaya, V.D.; Pogorelova, A.V.; Chizhumov, S.D.; Dzhabailov, M.P.; Morozov, V.S.; Kustov, A.N. Applied Problems of the Dynamics of Ice Cover; Academy of Natural Sciences: Moscow, Russia, 2008; 329p. (In Russian) [Google Scholar]
- Fuamba, M.; Bouaanani, N.; Marche, C. Modeling of dam break wave propagation in a partially ice-covered channel. Adv. Water Resour. 2007, 30, 2499–2510. [Google Scholar] [CrossRef]
- Korobkin, A.A.; Khabakhpasheva, T.I.; Papin, A.A. Waves propagating along a channel with ice cover. Eur. J. Mech. B Fluids 2014, 47, 166–175. [Google Scholar] [CrossRef]
- Ren, K.; Wu, G.X.; Li, Z.F. Hydroelastic waves propagating in an ice-covered channel. J. Fluid Mech. 2020, 886, A18. [Google Scholar] [CrossRef]
- Shishmarev, K.A.; Khabakhpasheva, T.I.; Korobkin, A.A. The response of ice cover to a load moving along a frozen channel. Appl. Ocean Res. 2016, 59, 313–326. [Google Scholar] [CrossRef]
- Khabakhpasheva, T.I.; Shishmarev, K.A.; Korobkin, A.A. Large-time response of ice cover to a load moving along a frozen channel. Appl. Ocean Res. 2019, 86, 154–165. [Google Scholar] [CrossRef]
- Zeng, L.D.; Korobkin, A.A.; Ni, B.Y.; Xue, Y.Z. Flexural-gravity waves in ice channel with a lead. J. Fluid Mech. 2021, 921, A10. [Google Scholar] [CrossRef]
- Zeng, L.D.; Korobkin, A.A.; Ni, B.Y.; Xue, Y.Z. Moving load in an ice channel with a crack. Appl. Ocean Res. 2022, 121, 103086. [Google Scholar] [CrossRef]
- Wu, Q.Y.; Khabakhpasheva, T.I.; Ni, B.Y.; Korobkin, A.A. Small-amplitude waves in a floating poroelastic plate forcing by vertical pitching plate. J. Phys. Fluids 2023, 35, 117127. [Google Scholar] [CrossRef]
- Zhenga, S.; Meylan, M.; Zhua, G.; Greavesa, D.; Iglesiasc, G. Wave scattering from multiple circular floating porous elastic plates. In Proceedings of the 35th International Workshop on Water Waves and Floating Bodies, Seoul, Republic of Korea, 26–29 April 2020. [Google Scholar]
- Mondal, D.; Banerjea, S. Scattering of water waves by an inclined porous plate submerged in ocean with ice cover. Q. J. Mech. Appl. Math. 2016, 69, 195–213. [Google Scholar] [CrossRef]
- Meylan, M.; Bennetts, L.; Peter, M. Water-wave scattering and energy dissipation by a floating porous elastic plate in three dimensions. Wave Motion 2017, 70, 240–250. [Google Scholar] [CrossRef]
- Zavyalova, K.N.; Shishmarev, K.A.; Korobkin, A.A. The response of a poroelastic ice plate to an external pressure. J. Sib. Fed. Univ. Math. Phys. 2021, 14, 87–97. [Google Scholar] [CrossRef]
- Chen, H.; Gilbert, R.P.; Guyenne, P. Dispersion and attenuation in a porous viscoelastic model for gravity waves on an ice-covered ocean. Eur. J. Mech. B Fluids 2019, 78, 88–105. [Google Scholar] [CrossRef]
- Kozin, V.M.; Zemlyak, V.L.; Rogozhnikova, E.G. Increasing the efficiency of the resonance method for breaking an ice cover with simultaneous movement of two air cushion vehicles. J. Appl. Mech. Tech. Phys. 2017, 58, 349–353. [Google Scholar] [CrossRef]
- Yuan, G.Y.; Ni, B.Y.; Wu, Q.G.; Xue, Y.Z.; Han, D.F. Ice breaking by a high-speed water jet impact. J. Fluid Mech. 2022, 934, A1. [Google Scholar] [CrossRef]
- Song, Y.; Zhang, L.; Li, S.; Li, Y. A Multi-Yield-Surface Plasticity State-Based Peridynamics Model and its Applications to Simulations of Ice-Structure Interactions. J. Mar. Sci. Appl. 2023, 3, 395–410. [Google Scholar] [CrossRef]
- Wu, G.X. Radiation and diffraction by a submerged sphere advancing in water waves of finite depth. Proc. R. Soc. Lond. Ser. A 1995, 448, 29–54. [Google Scholar]
- Stepanyants, Y.; Sturova, I. Hydrodynamic Forces Exerting on an Oscillating Cylinder under Translational Motion in Water Covered by Compressed Ice. Water 2021, 13, 822. [Google Scholar] [CrossRef]
- Sturova, I.V.; Tkacheva, L.A. Wave motion in a fluid under an inhomogeneous ice cover. J. Phys. Conf. Ser. 2017, 894, 012092. [Google Scholar] [CrossRef]
- Shishmarev, K.; Zavyalova, K.; Batyaev, E.; Khabakhpasheva, T. Hydroelastic waves in a frozen channel with non-uniform thickness of ice. Water 2022, 14, 281. [Google Scholar] [CrossRef]
- Lamb, H. Hydrodynamics; Cambridge University Press: Cambridge, UK, 1932. [Google Scholar]
- Kochin, N.E.; Kibel, I.A.; Roze, N.V. Theoretical Hydrodynamics; Fizmatlit: Moscow, Russia, 1948; Volume 1, p. 584. [Google Scholar]
- Chowdhury, R.G.; Mandal, B.N. Motion due to Fundamental Singularities in Finite Depth Water with an Elastic Solid Cover. Fluid Dyn. 2006, 38, 224–240. [Google Scholar] [CrossRef]
- Lu, D.Q.; Dai, S.Q. Generation of Transient Waves by Impulsive Disturbances in an Inviscid Fluid with an Ice-Cover. Arch. Appl. Mech. 2006, 76, 49–63. [Google Scholar] [CrossRef]
- Lu, D.Q.; Dai, S.Q. Flexural- and Capillary-Gravity Waves due to Fundamental Singularities in an Inviscid Fluid of Finite Depth. Int. J. Eng. Sci. 2008, 46, 1183–1193. [Google Scholar] [CrossRef]
- Savin, A.A.; Savin, A.S. Waves generated on an ice cover by a source pulsating in fluid. Fluid Dyn. 2013, 48, 303–309. [Google Scholar] [CrossRef]
- Savin, A.A.; Savin, A.S. Three-Dimensional Problem of Disturbing an Ice Cover by a Dipole Moving in Fluid. Fluid Dyn. 2015, 50, 613–620. [Google Scholar] [CrossRef]
- Wu, G.X.; Taylor, R.E. Radiation and diffraction of water waves by a submerged sphere at forward speed. Proc. R. Soc. Lond. Ser. A 1988, 417, 433–461. [Google Scholar]
- Sturova, I.V. The motion of a submerged sphere in a liquid under an ice sheet. J. Appl. Math. Mech. 2012, 76, 293–301. [Google Scholar] [CrossRef]
- Shishmarev, K.A.; Khabakhpasheva, T.I.; Korobkin, A.A. Ice response to an underwater body moving in a frozen channel. Appl. Ocean Res. 2019, 91, 101877. [Google Scholar] [CrossRef]
- Darcy HPG. Les Fontaines Publiques de la Ville de Dijon; Dalmont: Paris, France, 1856. [Google Scholar]
- Taylor, G. Fluid flow in regions bounded by porous surfaces. Proc. R. Soc. Lond. Ser. A 1956, 234, 456–475. [Google Scholar]
- Timoshenko, S.; Woinowsky-Krieger, S. Theory of Plates and Shells; McGraw-Hill Book Company, Inc.: New York, NY, USA; Toronto, ON, Canada; London, UK, 1959. [Google Scholar]
- Shishmarev, K.; Khabakhpasheva, T.; Oglezneva, K. Steady-State Motion of a Load on an Ice Cover with Linearly Variable Thickness in a Channel. J. Mar. Sci. Eng. 2023, 11, 1045. [Google Scholar] [CrossRef]
- Abramowitz, M.; Stegun, I.A. Handbook of Mathematical Functions: With Formulas, Graphs, and Mathematical Tables; Dover Books on Advanced Mathematics; Dover Publications: New York, NY, USA, 1965; p. 1046. [Google Scholar]
- Pogorelova, A.V.; Zemlyak, V.L.; Kozin, V.M. Moving of a submarine under an ice cover in fluid of finite depth. J. Hydrodyn. 2019, 31, 562–569. [Google Scholar] [CrossRef]
- Eicken, H.; Grenfell, T.C.; Perovich, D.K.; Richter-Menge, J.; Frey, K. Hydraulic controls of summer Arctic pack ice albedo. J. Geophys. Res. 2004, 109. [Google Scholar] [CrossRef]
- Petrich, C.; Langhorne, P.J.; Sun, Z.F. Modelling the interrelationships between permeability, effective porosity and total porosity in sea ice. Cold Reg. Sci. Technol. 2006, 44, 131–144. [Google Scholar] [CrossRef]
Disclaimer/Publisher’s Note: The statements, opinions and data contained in all publications are solely those of the individual author(s) and contributor(s) and not of MDPI and/or the editor(s). MDPI and/or the editor(s) disclaim responsibility for any injury to people or property resulting from any ideas, methods, instructions or products referred to in the content. |
© 2024 by the authors. Licensee MDPI, Basel, Switzerland. This article is an open access article distributed under the terms and conditions of the Creative Commons Attribution (CC BY) license (https://creativecommons.org/licenses/by/4.0/).