Next Article in Journal
Study on the Classification Perception and Visibility Enhancement of Ship Navigation Environments in Foggy Conditions
Previous Article in Journal
Exploring the Unique Characteristics of High-Pore-Volume Waterflooding and Enhanced Oil Recovery Mechanisms in Offshore Sandstone Reservoirs Using Nuclear Magnetic Resonance Technology
 
 
Font Type:
Arial Georgia Verdana
Font Size:
Aa Aa Aa
Line Spacing:
Column Width:
Background:
Article

Flow Characteristics of the Rip Current System near a Shore-Normal Structure with Regular Waves

1
State Key Laboratory of Coastal and Offshore Engineering, Dalian University of Technology, Dalian 116024, China
2
College of Transportation Engineering, Dalian Maritime University, Dalian 116026, China
3
Centre for Ports and Maritime Safety, Dalian Maritime University, Dalian 116026, China
*
Authors to whom correspondence should be addressed.
J. Mar. Sci. Eng. 2023, 11(7), 1297; https://doi.org/10.3390/jmse11071297
Submission received: 13 May 2023 / Revised: 18 June 2023 / Accepted: 22 June 2023 / Published: 26 June 2023
(This article belongs to the Section Coastal Engineering)

Abstract

Rip currents are the strong narrow seaward current produced by waves breaking on the coast. Of the many types of rip currents, the present study investigates, experimentally and numerically, the rip current system produced by the wave reflection on a finite-length shore-normal structure (corresponding to groin, jetty and headland in a real-word environment) with strong wave reflection strength. The incident wave condition of an obliquely propagating monochromatic surface gravity wave is considered for the bottom topographies of planar and barred beaches without or with a rip channel. The corresponding laboratory experiment was conducted and used to validate the numerical model. A set of higher order Boussinesq equations is used to reproduce the experimental observation and produce the results for the related prototype cases, with the latter considering more factors which may influence the formation and evolution of rip current flow patterns. The resulting rip current system contains two parts: the node rips formed due to the presence of the longshore standing wave in the wave reflection field and the deflection rip formed due to the interaction between the incoming longshore current and the reflection wave field mentioned above. A new formation mechanism of the deflection rip has been proposed, i.e., the deflection rip is formed by the meeting and then deflection of the longshore current and lateral flow. The effects of different wave reflection strengths of the structure, wave incident angles and bathymetric conditions on the pattern and flow volume of the deflection rip are also studied.

1. Introduction

Rip currents are narrow, strong, seaward flows frequently occurring in coastal regions, which extend from close to the shoreline, through the surf zone, and exit offshore or form closed flow circulations. This type of current is critical for transporting and cross-shore mixing of heat, sediments, pollutants, nutrients and biota, and also has social importance for beach safety and lifeguarding. On the base of dominant control factors involved in the currents, three rip currents have been classified in the previous studies [1,2]: (i) Hydrodynamic-control, which is described by Peregrine [3] theoretically and may be observed in wave breaking of crossing wave field or shore crest wave filed; (ii) Bathymetrical-control, which appears over an almost permanent location near the topography anomalies; and (iii) Boundary-control, which occurs in the region adjacent to natural structures (headlands, rock outcrops, etc.) or the anthropogenic structures (groins, jetties, piers, etc.). The present study examines the characteristics of the rip flow associated with presence of a finite-length shore-normal structure (groin, jetty and headland), for which the mixed influence of above control factors is involved.
Over recent decades, the related research has greatly enhanced the understanding on the formation and dynamics of rip currents. For the hydrodynamically-controlled rip currents, Peregrine [3] developed the generation mechanism which states that the macro vortex is produced where the large alongshore gradients in wave height exist (such as those at the two ends of a breaking crest segment of short-crested wave). Due to the continuous injection of vorticity companying wave breaking, the resulting macro vortex is able to persist for much longer time (more than 25 min) and lead to rip currents exiting offshore or forming a rip cell [4]. Even for alongshore uniform bathymetry, such a flow pattern can also exist, if the incident wave spectrum includes a range of wave frequencies and directions. A typical example of such a short-crested wave condition is the steady crossing wave field, produced by superimposing two incident wave trains with the same phase but different directions. Dalrymple [5] conducted an experiment to study the rip current system in the crossing wave field, which is formed by the superposition of an obliquely incident wave train and its reflection wave on a vertical wall (the similar wave field studied by the present study). Postacchini et al. [6] presented the vortex motions produced due to wave breaking of crossing waves, which are a result of mutual advection between oppositely signed vortices and also have the onshore and longshore vortex movements except the offshore movement. Clark et al. [7] presented a field measurement on the rip flows by deploying a circular array of current meters in surf zone at Duck, North Carolina, and measured the generated vortices at the individual crest ends formed by normally incident and directionally spread waves. They found that the vortices persisted for 40 s to 60 s. Choi and Roh [8] used the particle tracking method to observe the vortices generated around the ends of breaking wave crests in intersecting wave trains. Wei and Dalrymple [9] presented the related numerical study by applying the Smoothed Particle Hydrodynamics (SPH) model to examine the rip current filed produced by the intersecting wave field and found that there are multiple secondary circulation cells for the case of smaller angle of incident waves. Johnson and Pattiaratchi [10] investigated the transient state of rip current by computing the flow field for a random, directionally spread wave field over a planar beach and found that the duration and intensity of the transient rip associated with vortex pairs generated within the surf zone are dependent on both the beach slope and incident wave spectra. Another type of transient rip current flows is that produced by the shear instability of longshore current [11], the initially-longshore array of vortices companying the longshore current eventually evolves into offshore drifting macro vortices and induces the rip current of transient type [12].
For the bathymetrically-controlled rip currents, the flows can be observed at variant topographies, rip channel (channel rip), rhythmic shoreline (multiple shoreline rips) and the region near shoreline (the vortices with self-advection). Haller et al. [13,14] performed a comprehensive laboratory experiments to study the channel rip current with normally incident regular waves. The corresponding numerical simulations were performed by Chen et al. [12] with using a second-order fully nonlinear extended Boussinesq model. The field measurement of rip currents through two rip channels on the barred beach of Egmond ann Zee, Netherlands, was presented by Winter et al. [15]. The multiple rips on transverse barred beach of Sand City, Monterey Bay, Carolina, were observed by MacMahan et al. [16,17].The similar field examinations on the mophynogic beach at Truc Vert Beach, France, were conducted by Castelle and Bonneton [18] and Castelle et al. [19]. The rip currents on crescent bathymetry at Perranporth beach, Cornwall, UK, were observed by Austin et al. [20] and Pitman et al. [21]. The 3-D rip currents on double-barred beach at Duck, North Carolina were studied numerically by Uchiyama et al. [22]. For the above rip currents, apart from the driving of local longshore reduction in mean water level and longshore gradient of radiation stress ( S y y ) (leading to the longshore currents converging into the depth-decreasing region), the large scale vortices due to the rapid depth change in topography form another driving; for example, two oppositely signed vortices (such as those appearing at two edges of rip channel) will produce the mutual advection of the vortices. The low frequency oscillations of rip current were commonly found in the above studies, which may have multiple unstable modes with frequency range of 0.005–0.01 Hz and can be predicted by analyzing the linear stability of shear flow in rip current [23].
For the boundary controlled rip currents, previous studies have presented two types of rip current which appear at the upstream (the deflection rip) and downstream (the shadow rip) sides of a shore-normal structure (groin, headland) [24,25,26,27,28,29]. Both rips have the common formation mechanism: the flow direction deflection of longshore current. The former corresponds to the offshore deflection and the latter to the onshore deflection. A similar deflection rip was examined by Wind and Vreugdenhil [24] experimentally and numerically, which was produced along a vertical wall with angle 20° to the shore-normal on a 1:50 planar beach due to action of the incident wave propagating parallel to the structure. A shadow rip in the lee side of a groin was studied by Pattiaratchi et al. [25] in the field survey. They found that the geometric shadow of the groin causes alongshore variations in wave height and mean water level and creates the alongshore flow towards the groin. Castelle and Coco [26,27] numerically studied the rip current near a headland in pocket beach using the spectral wave model SWAN and the XBeach and showed that with increasing coast length, the ratio of the deflection rip to the shadow rip increases for a given wave incident angle; the larger the angle (but less than 45°), the larger both the deflection rip and the shadow rip. Scott et al. [29] showed that when the groin extends beyond the surf zone, the seaward extent of the offshore-directed rip current increases with increasing  L g / x b  ( L g  and  x b  are the groin length and the surf zone width). Van Rijn [30] pointed out that the groin with permeability < 10% largely acts as an impermeable groin.
In a general rip flow field, multiple types or mixed types of rip current may appear, which involves a more complex flow pattern. One simple example is the case of short groin with the small ratio  L g / x b < 1 . In this case, the deflection rip in the upstream side of the groin can pass through the groin tip and turn back to the coast in the downstream side, meeting with the shadow rip there and forming a complex circulation pattern. On the contrary, if the groin is long enough to reflect totally or partially the incoming wave, a longshore standing wave field will form in the region near the structure. Then, the rip currents will also appear at the node points of the standing wave due to wave breaking. In this case, the resulting rip current system will consist of two parts: the deflected longshore current appearing near the reflection wave field and the circulation cells containing the rips at node points in the reflection wave region. The latter type of rip has only been examined for the longshore uniformed standing wave field, such as that by Wei and Dalrymple [9], and not yet investigated for the longshore ununiformed standing wave field present with a shore-normal structure. For such a mixed rip current system, the interaction of different currents may exist. This is the phenomenon that inspires the present study.
The present study examines the mixed type of rip current system near a shore-normal structure, but the focus is on the interaction between the incoming longshore current and the reflection wave field close to a shore-normal structure (with strong reflection). The study is performed experimentally and numerically with the numerical simulations conducted by applying a set of higher order Boussinesq equations. The actions of obliquely propagating monochromatic surface gravity waves are considered for different wave reflection strengths of the structure, different wave incidences and different topographies (planar beach and barred beach without and with a rip channel) in order to illustrate the characteristics of the examined rip current system. The paper is organized as follows. Following the Introduction, the experimental layout and measurements are presented in Section 2. Section 3 introduces the numerical model. Section 4 presents the experimental results and the validation of numerical model. In Section 5, the numerical simulations are applied to extend the experimental study to the corresponding prototype to display the detailed flow features of rip current system for different wave and bathymetry cases. Finally, in Section 6, the major conclusions are drawn.

2. Experimental Methods

The experiment was designed to reveal the rip current flow features near a shore-normal structure under the action of obliquely propagating waves and validate the numerical model with the following research goals:
(1)
Observing the features of the rip current system on a planar beach;
(2)
Studying the effect of a sand bar without channel;
(3)
Studying the effect of a rip channel on the barred beach.

2.1. Experiment Layouts

Figure 1 presents the experiment layout on the planar and barred beach. The adopted experiment conditions are listed in Table 1. The experiment was performed in the wave basin of the State Key Laboratory of Coastal and Offshore Engineering, Dalian University of Technology. The basin is 55 m long, 34 m width and 0.7 m deep. A piston-type multi-paddle wave generator is located at the one end of the basin and at the other end is an absorbing beach. Three concrete-covered straight beach models with slope 1:40 were adopted, one being a planar beach named as Test P and the others being barred beaches with and without a rip channel, named Test B and Test C, with the bar of Gaussian section profile being superimposed on the planar beach at the central location of 5 m from the shoreline. The rip channel, with the width 1.36 m and the central line located also 1.36 m away from the structure (at the 1st node), is formed by cutting off a segment of the bar. As shown in Figure 1, the beach was rotated 30° relative to the wave maker with the smallest distance between the beach and the wave maker being 8 m and the wave maker only produced the normal propagation wave, so that the produced wave has the propagation angle of 30° relative to the shore-normal. For the planar beach (Figure 1a), the water depth at the horizontal bottom is 0.275 m and for the barred beaches (Figure 1b), it is 0.45 m. The former water depth is formed by reducing the water depth for the barred beach from 0.45 m to 0.275 m with the bar being out of water.
The shore-normal structure is made of a straight concrete-covered smooth solid wall with 0.6 m height, 0.1 m width and 18 m length. Its finite cross-shore extension from shore to horizontal bottom allows the area covered by the reflection wave (reflection wave area) to be limited within a triangle area. A coordinate system (x, y) with the origin at the cross point of still water shoreline and the structure was adopted; its x-axis and y-axis point offshore and away from the structure, respectively.

2.2. Wave Field Pattern

As mentioned above, the oblique incident regular waves with the propagation angle 30° relative to the shore-normal are produced in the experiment and the wave reflection on the structure leads to a longshore standing wave field, which has the free surface elevation of the following form,
η ( x , y , t ) = 2 A cos ( k y sin α ) cos ( k x cos α + ω t ) ,
where  ω   ( = 2 π / T )  and  k   ( = 2 π / L )  are the frequency and wave number (calculated by the dispersion relation  ω 2 = g k tanh ( k h )  with h the still water depth) with T and L being the period and the wave length, A and  α  are the incident wave amplitude and propagation angle. For the case of sloping bottom considered here, the wave number k will change with different locations due to shoaling effect, but the above pattern of the longshore standing wave still remains unchanged as indicated by the Snell’s law  k sin α = k 0 sin α 0  (the subscript zero indicates the value at offshore boundary, the horizontal bottom). Therefore, the node points and anti-node points will be located along fixed straight lines, the node lines and the anti-node lines, and the theoretical wave length of longshore standing wave (the distance between two nodes) determined by  λ = L 0 / ( 2 sin α 0 )  will be constant. Figure 2 shows such wave fields for regular wave with period  T = 1.5   s  on the planar beach. Due to the finite length of the structure, the reflection wave area has a limited extent and the number of node points (or node lines) of the longshore standing waves are thus finite, depending on water depth, wave period and incident angle. The effect of wave period is not considered here by presenting only the experimental result for a fixed wave period,  T = 1.5   s . The wave height corresponding to the wave period was chosen to be different for different experimental cases, as shown in Table 1.

2.3. Measurements of Wave and Velocity Field

The cross-shore distributions of wave height H and mean water level  < η >  ( < >  indicates the time averaged value) along the theoretical node lines and anti-node lines were obtained with using 46 capacitance wave gauges. The gauges were mounted on three measuring beams (Beam I, II and III). Beam I has 18 gauges covering 19 m, and Beam II and III each have 14 gauges covering 10 m. They were used in different ways for the planar beach and the barred beach, as shown in Figure 3. For the barred beach, only Beam I was used for all the measurements by moving it to a node line or an anti-node line. The alongshore extent of the measurement was set to be 15 m, which is outside the reflection wave area, in order to measure the incident wave. For the planar beach, since the reflection wave area is smaller, the measurement was simplified by using Beam II and III at the same time for the waves along node and anti-node lines, with Beam I being only used for the measurement at a fixed location (y = 9 m) to give the incident wave information. The data collection interval was 50 Hz and the total number of samples was 8192 (164 s). The time series of 30–150 s was used to calculate the wave height H and mean water level  < η > . Data collection began several seconds before the wave generating in order to record the still water level, which is needed for determination of mean water level.
Twelve acoustic-doppler velocity meters (ADVs) were used to measure the flow velocity. For the barred beach, the measurements include: (1) The longshore distribution of velocities along the bar crest (x = 5 m) with the interval 0.15 m of ADVs and the longshore extent y = 0–14 m, for measuring onshore and offshore velocities over the bar crest. (2) The velocity distribution at longshore sections x = 4, 4.5, 5, 5.5 and 6 m with the interval 0.15 m of ADVs and the longshore extent x = 0–4.6 m, for measuring the large-scale vortex at two edges of the channel. (3) The longshore flow between the bar and shoreline at 10 cross-shore sections, including 5 anti-node lines, with the interval 0.4 m of ADVs and the cross-shore extent x = 0–4.6 m, for measuring the longshore time-mean velocity to examine the interaction between incoming longshore current and reflection wave field. Figure 3b shows the distribution of ADVs for these measurements. The details of these measurements can refer to Yan [31]. For the planar beach, the measurements were simplified, considering that the detailed measurements had already been performed for the barred beach. The measurements include: (1) The longshore distribution of velocity along wave breaking line (x = 3 m) with the interval 0.15 m of ADVs and the longshore extent y = 0–9 m, to obtain onshore and offshore mean velocities cross this line; (2) the velocity distribution at longshore sections x = 2, 4, 5 and 6 m with the interval 0.15 m of ADVs and the longshore shore extent y = 0–2 m, to obtain the vortex distribution over the rectangular area near the structure. All the ADVs were placed at 1/3 local water depth from the bottom to obtain the depth-averaged velocity below wave trough level. The velocity measurements were sampled at 20 Hz, the range of total sample duration was 720 s and the time series of 120–720 s was used to obtain the time-averaged values.

3. Numerical Model

3.1. Governing Equations

The higher-order Boussinesq equations, the model of N2D4, developed by Zou and Fang [32] are applied for the numerical simulations, which read
η t + [ ( h + η ) u ¯ ] = 0 ,
u ¯ t + ( u ¯ ) u ¯ + g η = P ( 2 ) + P ( 4 ) + R ,
where
P ( 2 ) = P ( 2 ) + L 1 ( Γ C ) ,
P ( 4 ) = P ( 4 ) L 2 C ˜ ,
P ( 2 ) = 1 2 d { d 2 D [ 2 3 d u ¯ + h u ¯ ] } h D ( 1 2 d u ¯ + h u ¯ ) ,
P ( 4 ) = 1 24 h 3 ( h u ¯ t ) + 1 12 h 2 [ h ( h u ¯ t ) ] + 1 120 h 4 u ¯ t 1 36 h 2 [ h 2 u ¯ t ] ,
L 1 ( α 2 α 1 ) h 2 α 2 h h ,
L 2 ( β 1 β 2 ) h 4 2 + β 2 h 3 2 h ,
Γ = 1 2 h [ ( h u ¯ t ) ] 1 6 h 2 ( u ¯ t ) ,
D = t + u ¯ ,
C ˜ = u ¯ t + g η ,
C = u ¯ t + ( u ¯ ) u ¯ + g η ,
in which  d = h + η  is the total water depth,  η  is the surface elevation,  u ¯ = ( u ¯ ,   v ¯ )  is the depth averaged velocity vector ( u ¯ = h η u d z / ( h + η ) ), with  u ¯  and  v ¯  being velocity components in x- (offshore) and y- (longshore) direction, respectively, the subscript t denotes the partial differentiation with respect to time,  = ( / x ,   / y )  is the horizontal gradient operator. The coefficients  α 1 β 1 α 2  and  β 2  are set to be 1/9, 1/945, 0.146488 and 0.001996, respectively, for optimizing the dispersion and shoaling properties.  R  is the sum of the terms to account for bottom friction ( R f ), subgrid lateral turbulent mixing ( R e ) and energy dissipation due to wave breaking ( R b ). The bottom friction  R f  has the expression
R f = f w d u ¯ u ¯ ,
where bottom friction coefficient  f w  is set to be constant,  f w = 0.008 . The subgrid lateral turbulent mixing  R e  can be calculated by
R e x = 1 d { ν s [ ( d < u ¯ > ) x ] x + 1 2 [ ν s ( ( d < u ¯ > ) y + ( d < v ¯ > ) x ) ] y }
R e y = 1 d { ν s [ ( d < v ¯ > ) y ] y + 1 2 [ ν s ( ( d < u ¯ > ) y + ( d < v ¯ > ) x ) ] x }
where superscripts x and y represent the directions in the horizontal plane, subscript x and y denote spatial differentials, and  ν s  is the eddy viscosity due to the subgrid turbulence.
ν s = C m Δ x Δ y [ ( < u ¯ > x ) 2 + ( < v ¯ > y ) 2 + 1 2 ( < u ¯ > y + < v ¯ > x ) 2 ] 1 / 2
in which  Δ x  and  Δ y  are the grid spacing in the x- and y- directions, respectively, and  C m  is the mixing coefficient  C m  with a  R e  default value of 2.0. The energy dissipation due to wave breaking  R b  has the same form of  R e , which read
R b x = 1 d { ν [ ( d < u ¯ > ) x ] x + 1 2 [ ν ( ( d < u ¯ > ) y + ( d < v ¯ > ) x ) ] y } ,
R b y = 1 d { ν [ ( d < v ¯ > ) y ] y + 1 2 [ ν ( ( d < u ¯ > ) y + ( d < v ¯ > ) x ) ] x } ,
in which  ν  is the eddy viscosity localized on the front face of the breaking wave, and is defined as
ν = B σ 2 d η t ,
in which  σ = 2.0  here is a mixing length coefficient. The quantity B that controls the occurrence of energy dissipation with a smooth transition from 0 to 1 is given by
B = 0 η t < η t * η t η t * 1 η t * η t < 2 η t * 1 η t 2 η t * ,
η t *  in the above expression is defined as
η t * = η t F , t t 0 T * η t I + t t 0 T * ( η t F η t I ) , 0 t t 0 < T *
where  T *  is the transition time,  t 0  is the time when wave breaking occurs and  t t 0  is the age of the breaking event. The values of them are  R b  set to be  T * = 5 h / g , and  η t ( I ) = 0.45 g h  (the wave breaking initiation parameter),  η t ( F ) = 0.05 g h  (the wave breaking cease parameter) for planar beach,  η t ( I ) = 0.35 g h  and  η t ( F ) = 0.15 g h  for barred beach,  T * = 5 h / g σ . These coefficients were determined by comparing the simulated results with the experiment data (see Section 4). Note that, these expressions for all the terms contained in R are similar to those in FUNWAVE [33,34,35,36].
As the numerical model has the higher order dispersion and fully nonlinear properties, the model is appropriate for the application to the present numerical simulations: the former property allows the model to consider the wave motions from offshore region to nearshore region (shallow water region), and the latter property allows the model to simulate the wave motions close to breaking point where the waves show strong nonlinearity.
To improve the computational efficiency, the GPU (Graphic Processing Unit) parallel version (called the N2D4-GPU model hereafter) of the N2D4 model presented above was developed based on the CUDA (Compute Unified Device Architecture) and C language. The present configurations of the hardware for the present simulations are as following:
CPU: Intel i3-9100f, with 4 cores, 4 threads and a main frequency of 3.6 GHz.
GPU: NVIDIA GeForce RTX 2060 graphics card, with Turing 104 architecture, 1920 CUDA cores and 1755 MHz of core frequency.
By applying the above N2D4-GPU model, the computational efficiency was found improved by about 20 times compared to the original N2D4 model (i.e., CPU serial model) mentioned above. This acceleration ratio is consistent with previous researchers who developed the GPU parallel model of Boussinseq equations based on the CUDA and FORTRAN language [37]. Due to the paper space limitations, a further detailed introduction and validation of the N2D4-GPU model will not be given here.

3.2. Numerical Scheme and Boundary Conditions

Equations (2) and (3) are solved numerically by the finite difference scheme on non-staggered rectangular grids with  ( u ¯ , v ¯ )  and  η  defined at grid nodes. A composite fifth-order Adams–Bashforth predictor and sixth-order Adams–Moulton corrector scheme (ABM technique) is used to step the model forward in time, with  ( u ¯ , v ¯ )  being obtained by solving pentadiagonal linear equations [38] and  η  by solving an algebraic expression. All these treatments are similar to those of Gobbi and Kirby [39].
A rectangle computation domain is adopted with its size and four boundaries set according to the computation task. Figure 4 illustrates the computation domain used for the present study. The coordinate system (x, y) is set with the origin at the downstream end of still water shoreline, the x-axis directing offshore and y-axis away from the structure (the same as in the experiment). The slot technique is applied for the moving shoreline boundary and the internal wave making technique is used for the incident wave boundary [39]. The parameters for slot shape controlling are chosen to be  δ s = 0.01  and  λ s = 60  [12].The offshore boundary behind the wave making line is taken to be the sponge layer of one wave length width to absorb the wave, with its damping coefficient  D s  taken in the following form [40]:
D s = tan h 6 ( k s d s S ) .
where S is the width of sponge layer,  d s  (=0–S) is the distance from the sponger layer starting edge (at the domain boundary) to a point in the sponger layer,  k s ( > 0 )  is an adjustable parameter. It can be found that the value of  D s  has the range zero (at the sponger layer starting edge) to  tan h 6 k s  (at the sponger layer end edge). Therefore, the damping of the waves, the surface elevation and the velocities, can be realized by multiplying them by  D s  at each time step. For this boundary condition, it has been validated that the chosen of  k s = 6  and  S = L 0  can make the sponger layer absorb the wave efficiently. The other boundaries are the two lateral boundaries. As the longshore current is needed in the present simulation, produced by the obliquely propagating long crest wave, the upstream lateral boundary is set to be a continuous flow boundary. The downstream lateral boundary is formed by the shore-normal structure with some permeability. The permeability is modeled by adding two grid width of sponge layer within the structure, and the damping coefficient  D s  of the sponge layers is taken in the similar form of (23), which read
D s = tan h 6 k s ( 1 + d s S ) .
The damping mechanism is the same as above, but the value of  k s  and  S (= 2 Δ y ) is different.  k s = 1000 , 4.4 and 3.6 are taken here to simulate the total, stronger and weaker wave reflection strength of the structure. The value  k s = 1000  has the same function of  k s = +  with leading to  D s = 1 ; therefore, this choice corresponds to the non-damping of the waves (total boundary reflection). The other two partial reflection cases with ks = 4.4 and 3.6 have been validated by giving the standing wave heights at the anti-nodes, as can be seen in Section 5.1.

4. Features of the Rip Current System

In this section, the main features of the present rip current system are given, including both the observation in the experiment and the simulated results. The former can also be used to validate the numerical model.

4.1. Observation in the Experiment

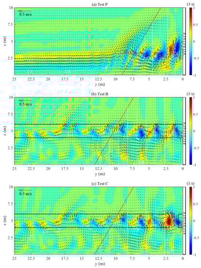
Figure 5 presents the measured wave height, mean water level and velocity vectors in the experiment for Test P, B and C. Some features about the wave and the flow field can be observed in the figure. Firstly, the formation of longshore standing wave is found for all the tests in the wave reflection area, and the wave heights at anti-node lines decrease away from the structure instead of uniformed ones appearing for the crossing waves in open sea. Secondly, the decrease in the wave set up near the shoreline is also found in the figure. Thirdly, the alternating offshore flow and onshore flow can be observed at the nodes and the anti-nodes, with the former known as the node rips which are driven by the longshore gradients of water level. Note that, the node rips are not always located at the theoretical nodes. For example, the node rips appear on the left side of the nodes for Test P (Figure 5a).
Apart from the above three common features for the three Tests, there are also some different characteristics among them. Firstly, the larger offshore flows are also found near the wave reflection boundary (called the deflection rip hereafter) for Test P (see Figure 5a), which are not found for Test B and C. The reason is the larger longshore current for Test P induced by the longer development space for this case as stated in Section 2. Secondly, the strong upstream longshore current between the sandbar and the shoreline (called the lateral flow hereafter) can be found for Test B. Thirdly, the effect of the channel that strengthen the first node rip and weaken the lateral flow can be found for Test B and C (Figure 5b,c). Due to the limitation of the measurements, the flow features of the node rips and the deflection rip will be illustrated by applying the numerical model in the following.

4.2. Illustration of the Flow Features with Using Numerical Model

Numerical simulations corresponding to the experimental cases are performed with the same wave conditions and beach topography. The computation domain and computation parameters are set as the same as those given in the previous section. To ensure the shoreline length facing the incoming wave in the computation being similar to that in the experiment (16 m for barred beach and 20 m for planar beach), the location of the upstream boundary is chosen to be y = 40 m (to ensure the influence area of the upstream shadow wave is outside this shoreline length) and is confirmed by the nearly same wave height distribution and the nearly same cross-shore and longshore velocities outside reflection wave region (measured at y = 14 m) between the computation and the measurements (presented in the following). The downstream boundary (at y = 0) is formed by the shore-normal structure of the same length as in the experiment and the total wave reflection condition is set by taking  k s = 1000  (leading to the same wave reflection effect as taking  k s = + ). The incident wave with 30° angle is produced by the internal wave making at line x = 25.4 m for barred beach and x = 18 m for planar beach, which is taken to let the wave making line have enough distance (one wavelength) from the structure down end. As a result, the computation domain is 31 m long at the offshore direction and 40 m width at the longshore direction.
It is generally recognized that the wave pattern can be accurately predicted when there are more than 30 grid points within a wavelength [41,42]. Therefore, the grid sizes in the x-direction and y-direction should not be larger than 0.1 m for the present tests, with the wavelength in these two directions being both 2.73 m. Considering both the computational efficiency and accuracy, the grid sizes in the x- and y- directions are set to be  Δ x = 0.05   m  and  Δ y = 0.1  m, respectively. The selection of the time step is  Δ t = 0.01   s , and this satisfies the relation  Δ t 0.5 * min ( Δ x 2 + Δ y 2 ) / g h ) = 0.025   s  (courant stability condition), which makes the computation model stable for longtime simulation as pointed out in [36]. These data are crucial to obtain the accurate and reasonable numerical results. It is also noteworthy that these choices are consistent with those using by the other researchers [12,43] who simulated the rip current system on the barred beach with rip channels. With these grid sizes chosen, there are 621 grid points in the x-direction, 401 grid points in the y-direction and a total of about 250,000 grid points in the computation domain.
For the present tests, the simulation duration was taken as 720 s and the time series of 120–720 s was used to calculate the time-averaged values, which are the same as those in the experiment. It was found that the terminal times required for the present N2D4-GPU model were about 2.2 h to complete the simulation duration 720 s in the computation domain mentioned above.
Presented for the validation against the experimental measurements, the numerical results can also be used to illustrate the features of wave field and rip current flow patterns in the experiment. For these purposes, the numerical results presented here include: (1) Wave height and time-mean surface elevation. This validation demonstrates the accuracy of wave quantities which produces the driving forces for the mean flow. (2) Time-mean Eulerian velocity field. The results can be compared directly to the time-mean values of ADVs’ record in the experiment, as the velocity output in the numerical model is the Eulerian depth-averaged velocity.
Figure 6 presents the measured and computed cross-shore variations of wave heights and mean water levels at anti-nodes and nodes for Tests P, B and C. The wave field features found in the experiment are well reproduced by the numerical results. The good agreements can be found in the figure which demonstrate the breaking parameters chosen in Section 3.1 are suitable for simulating the breaking waves.
Figure 7 presents the calculated vorticity field, mean water level and velocity field for Tests P, B and C. For comparison with the measurements, the velocity vectors obtained by the ADVs are also given. The good agreements between them can be seen in the figure. Therefore, the features of the velocity fields stated above (in Section 4.2) can be analyzed more clearly with the help of numerical results. Firstly, the rip current system is composed of deflection rip current and node rip current for all the three tests. However, the deflection rip currents for Test B and C were not measured by the ADVs because it is located far away from the structure (Figure 7b,c). The difference between them can be seen from the mean flow circulation formed by them in Figure 7a. The deflection rip current flows out of the surf zone and does not turn back to the shore region (for the limited computation area here, it flows into the wave making region and then leaves the computation domain through the offshore boundary); it is an “exit flow”. However, the node rip current does not flow out of the surf zone: it turns back at the anti-node and forms a pair or a group of the circulation cells (large-scale vortices); the node rip is not “exit flow” but a “circulatory flow”.
Secondly, the new formation mechanism of the deflection rip can be found on the planar beach for Test P: it is formed by the meeting and then deflection of the longshore current and lateral flow. The lateral flow, as the resistance of the longshore current penetration into the reflection wave area, now can be seen clearly from the numerical results in Figure 7a. This flow can also be seen for Test B and Test C, which has been validated from the good agreements to the results of ADVs. The formation of the lateral flow is due to the longshore decrease in the mean water level. This type of deflection rip is different from that studied in previous research [24,25,26,27,28,29], which was found just close to the structure due to the weak reflection of the structure. The effect of the wave reflection strength of the structure will be discussed in detail in the next Section.
Thirdly, the deviation of the node rips for Test P can be explained by the asymmetric vortex pairs on the two sides of the nodes. It is found that the magnitude and extent of the clockwise vortex (negative value) is much larger than that of the anticlockwise vortex (positive value). Moreover, the strength of the first node rip due to the presence of the channel for Test C can also be explained by the larger vorticity on the two sides of the first node. This larger vorticity is due to the superposition of the node rip and channel rip with the latter driven by the reduction in wave height in the channel and thus the longshore gradients toward channel region of radiation stress and mean water level [14].
Due to the limitation of the experiment conditions, some other effect factors on the flow features of the mixed type of rip current system, especially the deflection rip stated above, will be discussed in the next Section by applying the numerical model.

4.3. The Accuracy of Numerical Results

In order to further validate the numerical results, Figure 8 presents the corresponding time-averaged cross-shore and longshore velocity components ( < u ¯ > < v ¯ > ) along the wave breaking line x = 3 m for the planar beach and bar crest line x = 5 m for the barred beach. It is seen that the velocity distribution of the numerical results, both the velocity amplitudes and the locations of the node rips, agree very well with the measured data. These agreements demonstrate the bottom friction coefficient  f w  and mixing coefficient  C m  given in Section 3.1 are suitable in the present model.
For the above comparisons between numerical results and measurements, the quantitative description of agreements can be made by introducing the following error index WIA [44],
W I A = 1 i = 1 n [ z c ( i ) z t ( i ) ] 2 i = 1 n [ z c ( i ) z ¯ t + z t ( i ) z ¯ t ] 2 ,
where  z c ( i )  and  z t ( i )  are the simulated and measured results, respectively, overbar indicates the corresponding mean value, and n is the number of datapoints. A perfect agreement between model and data corresponds to WIA = 1. It is generally confirmed that the model has practical prediction function only when WIA is greater than 0.6. Table 2 lists the values of the index WIA for wave height H, mean water level  < η > , and cross-shore currents  < u ¯ >  and longshore currents  < v ¯ >  for the planar and barred beach. The average value of index WIA is larger than 0.8 for all the Tests, which indicates the good agreements between the simulated and measured results.

5. Further Analysis of the Deflection Rip

The results presented above are limited by the experimental conditions, such as the limited length of wave basin; as the numerical model has been validated above, the corresponding numerical simulations are employed to extend the experimental results in order to obtain a comprehensive picture of the rip current system near a shore-normal vertical structure. This allows the effect of longshore current (for the barred beaches) and other factors to be examined for more general cases. As seen for the planar beach case mentioned above, a direct result of the inclusion of longshore current is the formation of a strong offshore “exit flow”, which is the deflection rip as mentioned earlier. Here, the formation process of this rip is examined in more details and the focus is on the influence of different factors involved, including the wave reflection strength of the structure, wave incident angles and bottom topographies (with or without sandbar and different rip channels). In order to be closer to the real world condition, the simulations are conducted for a prototype case, and are performed by mapping the water depth and wave conditions in the present experiment to the prototype with the scale 1:16. Therefore, the prototype case considered has the water depth  h 0 = 7.2   m , the wave height  H 0 = 0.8   m  and the period  T = 6   s , the normal case present in the field. This wave condition corresponds to only one set of experimental wave height and period,  H 0 = 5   cm  and  T = 1.5   s . The effects of different wave heights and periods are not considered due to the limited paper scope.
In the computation, the downstream boundary still corresponds to the experiment, the shore-normal structure with the length  L s  = 363 m of the prototype. The upstream boundary is the continuous flow boundary, located at y = 1200 m far enough from the structure in order to form a fully-developed longshore-uniformed longshore current outside the reflection wave area. The wave making line is set at x = 406.4 m, according to Figure 4. The other settings and considerations for the simulations include: the grid sizes in x- and y- directions are 0.8 m and 1.6 m, respectively, and the time step is 0.04 s. Therefore, there are 621 grid points in the x-direction, 751 grid points in the y-direction and a total of about 500,000 grid points in the computation domain. The simulation duration is taken as 1200 s and the time series of 240–1200 s (160 wave periods) was used to obtain the time-averaged values (for wave height, surface elevation and flow velocity). The results obtained over such a time period correspond to the first development stage of the rip current system, which can generally represent the features of the present rip current system. With these computation costs considered, the terminal times required for the present N2D4-GPU model were found about 1.8 h to complete the simulation duration 1200 s.

5.1. Effects of Wave Reflection

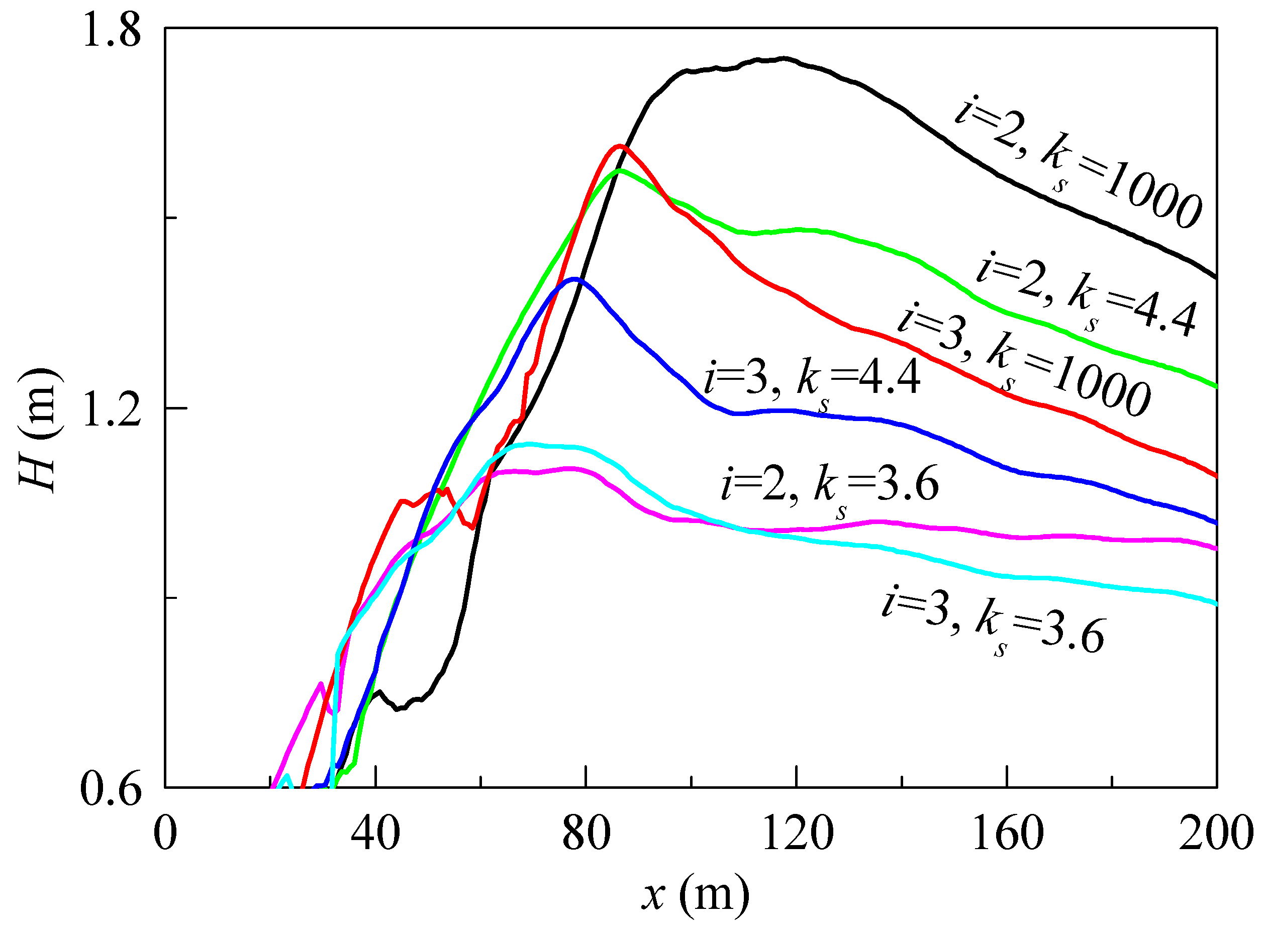
In the present experiment, the wave reflection strength of the shore-normal structure is the total reflection corresponding to  k s = +  in (23) ( k s = 1000  in the numerical simulation). In the simulations here, this boundary condition is extended to the other two wave reflection strengths,  k s = 4.4  and  k s = 3.6 ; the resulting differences in the computed wave height distribution are shown in Figure 9, in which the cross-shore distributions of wave heights along the 2nd and 3rd anti-node lines for these three wave reflection strengths are presented. It is seen in the figure that the differences are remarkable: with  k s  reduced from 1000 to 4.4, the wave heights are reduced by about 30% in average and from 1000 to 3.6 by about 50%. Here, these three wave reflection strengths,  k s = 1000 , 4.4 and 3.6, are used to represent the three different wave reflection cases: the total reflection ( k s = 1000 ), the stronger reflection ( k s = 4.4 ) and the weaker reflection ( k s = 3.6 ).
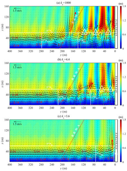
Figure 10 shows the simulated results, wave heights, mean water levels and corresponding mean velocity fields, for the above three wave reflection strengths on the planar beach. The results are given for a fixed incident angle 30°, with the other angles considered in the following subsection. It is seen that for the three wave reflection strengths two different rip current flow patterns appear. With  k s = 3.6 , the flow pattern forms with only the deflection rip current, the concentrated offshore flow appears through the deflection of incoming longshore current. The incoming longshore current can penetrate into the total wave reflection area. This type of deflection rip is just similar to that studied in the previous researches [24,25,26,27,28,29]. With  k s  increasing to 4.4 and 1000, the rip flows at the node points in the reflection wave area begin to appear and the incoming longshore current is now deflected at the location far away from the structure with the penetration extent into the reflection wave area dependent on the strength of the wave reflection. For the stronger reflection  k s = 4.4 , the deflection appears in the central region of reflection wave area, with two node points being overlapped by the penetration current; for the total reflection  k s = 1000 , it appears near the boundary of reflection wave area, with only one node point being overlapped by the penetration current.
To describe the above deflection rip quantitatively, the offshore flow volume rate of it is examined here, as it is an effective measure of the flow strength of the “exit flow” of the rip current system. One important thing for this examination is that it is not equal to the flow volume rate of incoming longshore current, although this rip flow is formed by the offshore deflection of this longshore current. This means that there are other contributions to the flow volume rate and the sources of these contribution are the concern here, from which the formation mechanism of deflection rip flow can be found. For this examination, the longshore extension of the deflected longshore current needs to be defined first and this is illustrated in Figure 11, which presents the longshore profiles of the cross-shore velocity along wave breaking line  x = x b  (determined according to the beginning of wave breaking outside the wave reflection area). The node rip can be identified in the figure by the alternative appearing of offshore (positive value) and onshore (negative value) velocities: the extent and value of offshore velocity indicate the width and magnitude of the node rip, and the deflection rip can be identified as the flow with only a single sign, the positive sign (flowing offshore). According to this, a cross-shore dividing line which going through the point of last zero velocity,  y = y b 1 , can be drawn as the boundary between the node rip and the deflection rip, which is called the deflection rip down boundary hereafter. The area between it and the structure is called the inner domain hereafter, as it contains only the node rips. Apart from this boundary, another boundary, the deflection rip upper boundary, also needs to be defined, and this is demonstrated by the line  y = y b 2 , which is defined as the position beyond which the reducing of uniform cross-shore volume flux of longshore current is less than 5%. The area between the above two lines is the area of deflection rip and is called the outer domain hereafter (the area beyond  y = y b 2  is the domain of uniform incoming longshore current). Based on the above definitions, the amount of offshore flow volume rate of deflection rip can be calculated by the depth integration of offshore (positive) velocity on the segment of line  x = x b  between above two vertical lines, i.e.,
Q d e f = y b 1 y b 2 < u ¯ + > ( h + < η > ) d y   at   x = x b
where  < u ¯ + >  is the offshore flow velocity components (the positive parts of Eulerian velocity  < u ¯ > ).
Apart from the incoming longshore current, one of the other contributions to the deflection rip flow volume is the Stokes drift. For shore-normal wave incidence, the Stokes drift is balanced by the offshore mean flow (the undertow), but for the obliquely incident wave considered here, it merges into the deflection rip current, forming the horizontal two-dimensional circulation flow in outer domain. Its flow volume along the offshore boundary of outer domain can be calculated by
Q S t o = y b 1 y b 2 < ( u ¯ < u ¯ > ) ( η < η > ) >   d y   at   x = x b
Another feeding flow to the deflection rip is the flow volume through the lateral boundary  y = y b 1  (see Figure 11 for the strong wave reflection cases  k s = 1000  and 4.4), the mean longshore current flowing from the inner domain into the outer domain, called the lateral flow as mentioned in Section 4. This flow volume rate can be calculated by
Q l a t = 0 x b < v ¯ > ( h + < η > ) d y   at   y = y b 1
With this flow included, the flow volume balance in the outer domain can be realized, that is,
Q d e f = Q l + Q S t o + Q l a t ,
where  Q l  ( = 0 x b < ( h + η ) v ¯ > d x  at  y = y b 2 ) is the volume rate through the lateral boundary  y = y b 2  of the incoming longshore current.
Table 3 presents the values of flow volume rate components contained in (29) for different wave conditions. The values are given non-dimensionally, divided by the incoming longshore current volume rate  Q l , in order to see their magnitudes relative to the incoming longshore current. The corresponding relative net rate  Q n e t / Q l  = ( Q d e f Q l Q S t o Q l a t ) / Q l  is also listed in the table for checking the error with using (29). Its absolute value is less than 5%, meaning this error is negligible. The table shows that the relative value of  Q d e f / Q l  is 2.88, meaning that the deflection rip has the volume rate which is more than two times than that of incoming longshore current. Subtracting the longshore current contribution 1.0 gives the contributions of Stokes drift and lateral flow, 1.88, with the former possessing 1.23 and the latter 0.68. This demonstrates that the lateral is as important as the Stokes drift for the formation of deflection rip for the strong wave reflection on the structure. For the stronger reflection  k s = 4.4 , these two contributions reduce to 1.03 and 0.03, respectively, leading to  Q d e f  reducing to 2.03. For the weaker reflection  k s = 3.6 , the Stokes drift contribution reduces to 0.51 and the lateral flow contribution is absent (because the inner domain is absent), leading to  Q d e f  equal to 1.16. That is, the deflection rip is almost totally from the longshore current. The above results show that the contribution of Stokes drift and the lateral flow increase with increasing structure wave reflection. The former can be explained by the theoretical formula of this flow flux through unit width,  Q s t o = E / ( ρ c )  with  E = ρ g H 2 / 8  ( ρ  is the fluid density and c the wave celerity). This means that this flow volume increases linearly with squared wave height, so the stronger the wave reflection strength, the larger the wave height and the larger the contribution of Stokes drift. The latter can be explained by the more rapid decrease in longshore direction of wave height of the longshore standing wave for the stronger structure wave reflection. Moreover, more words need to be added about this contribution. As mentioned before, for the case of normal wave incidence ( α = 0 ) the Stokes drift also has the contribution to the offshore flow, the undertow (the flow going offshore just beneath the Stokes drift flow), and leads to a vertical circulation. However, for the oblique wave incidence ( α 0 ) considered here, the undertow does not form and the Stokes drift flow merges into the longshore current and goes offshore finally as a part of the deflection rip.
Apart from making a contribution to the flow volume balance in outer domain, the lateral flow also has the dynamic effect on the outer domain: it exerts the resistance to the longshore current, preventing it from penetrating further into the wave reflection area. The description of this is given by the values of penetration rate for different wave reflections, defined as the ratio of penetration distance ( L p e n ) to shoreline side length ( L r e f ) of reflection wave triangle (the area covered by the reflection wave), with  L p e n  ( = L r e f y b 1 ) measured from the end of shoreline side of reflection wave triangle to the meeting point of downstream longshore flow and upstream longshore flow. It is seen that for the total reflection  k s = 1000 , the penetration rate is 0.33, and for the stronger reflection  k s = 4.4 , the rate increases to 0.56, meaning that the penetration is very sensitive to the wave reflection strength of the structure. Actually, this rate is dependent on the magnitude of the lateral flow volume  Q l a t . The smaller this magnitude, the smaller the resistance to the longshore current and the larger the penetration. For the weaker reflection  k s = 3.3 Q l a t  is smaller than zero, and this corresponds to the near nonresistance produced by the lateral flow, so the longshore current can go directly to the region very close to the structure and is deflected offshore there ( L p e n / L r e f  = 1). For the strong reflections  k s = 4.4  and 1000,  Q l a t  becomes 0.03 and 0.68, so the lateral flow can produce larger resistance to the longshore current, and the longshore current cannot reach to the structure, being deflected half way to the structure, with  L p e n / L r e f  = 0.33 and 0.56, respectively.

5.2. Effects of Wave Incident Angle

To examine the effects of wave incident angle, the other two incident angles,  α = 15 °  and 45°, are considered with the same wave height and period as before. The comparison is made with the above  α = 30 °  case but only for the total wave reflection case, as the interaction between the incoming longshore current and the reflection wave field is strongest for this case. It is known theoretically that with the increasing or decreasing in wave incident angle, the incoming longshore current will be increased or decreased accordingly (being proportional to  sin α  [45]). The reflection wave area will also be increased or decreased accordingly (the wave reflection angle is equal to the wave incident angle).
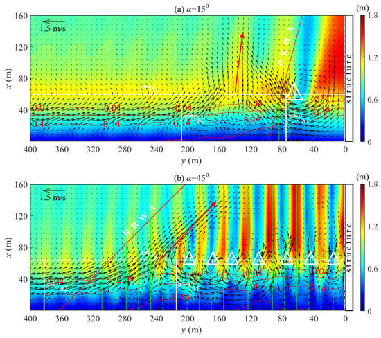
Figure 12 presents the flow patterns for these two wave angles. Comparing to the case of  α = 30 ° , the reflection wave area becomes smaller and the standing wave length becomes larger for the smaller angle  α = 15 ° , so there is only one theoretical node and one node rip appearing in the inner domain. More important is that there is a stem wave appearing (see Yoon et al. [46] for the stem wave), which has the width about half the longshore extent of the reflection wave area. This leads to the 1st node deviating away largely from the theoretical node line by about half the standing wavelength and the flow pattern of inner domain mainly characterized by a single large-scale vortex, with the larger offshore directed velocity of the vortex serving as the node rip current. The deflection rip current is also affected largely by such a flow feature of inner domain, that is, the longshore current is deflected at the location outside the wave reflection area, with no overlapping of deflection rip current with the node rip. The lateral flow (indicated visually by the large upstream directed velocity vectors in Figure 12a) plays significant role for this phenomenon, as seen from its merging into the deflection rip after leaving the inner domain.
On the contrary, for the larger angle  α = 45 ° , the reflection wave area is much larger and contains a larger number of nodes (ten), the incoming longshore current penetrates into the reflection wave area a large distance and leads to three node rips being covered by the deflection rip current, with only seven node rips remained in the inner domain. Another special flow feature is the extra offshore current appearing near the structure, called structure rip hereafter. This flow is apparently not a node rip, as the location of it being near the 1st anti-node along the structure wall (the onshore flow over this anti-node disappears). This flow also leads to the 1st node rip becoming an offshore “exit flow” due to the two flows being very close to each other. As such a flow is not found for the mid large wave angle  α = 30 °  (see Figure 11), its appearance is apparently due to the large wave incident angle. To give the detailed description of this flow, the other larger wave incident angles up to  60 °  are considered, the corresponding longshore distributions of cross-shore velocities  < u ¯ >  at x = 120 m together with the result of  α = 45 °  are given in Figure 13. The results show that the condition for appearing of structure rip is  α = 40 ° 50 ° , indicated by  < u ¯ >  being offshore directed for these cases but being directed onshore for  α = 35 °  and  α 55 °  (the normal onshore flow at an anti-node). The reason for the appearance of this type of offshore flow is the shifting of 1st node rip towards the structure. The similar shifting also appears for the case  k s = 3.6  in Figure 11. This shifting can attribute to the reduced wave reflection on the structure, as for the strong wave reflection  k s = 1000  there is not such a shifting (as seen in the same figure). However, the shifting here is due to the stronger longshore current in the outer domain and the weaker lateral flow in the inner domain which appears companying the increasing in wave angle. This can be confirmed in Table 3 for  α = 45 ° : with increasing wave angle, the former increases to 27.1 m3/s in magnitude and the latter reduces to 0.53.
Table 3 presents the corresponding flow volume rate of deflection rip current for the three wave incident angles and the total wave reflection  k s = 1000 , including the flow volume rate of deflection rip  Q d e f / Q l  and its constitute components,  Q S t o / Q l  and  Q l a t / Q l . The results show that  Q d e f / Q l Q S t o / Q l  and  Q l a t / Q l  all decrease with increasing wave incident angles. For  α  increasing from  α = 15 °  to  30 ° , the decrease in  Q S t o / Q l  can be explained by the larger wave height caused by the appearance of stem wave at smaller wave angle  α = 15 °  and the increase in  Q l a t / Q l  by the larger longshore gradient of mean water level caused mainly by the stem wave. However, for  α  increasing from  α = 30 °  to  45 ° , the decreasing in  Q S t o / Q l  is due to the cross-shore wave orbital velocity  u m  decreasing with increasing wave angle for both the propagation wave and the reflection wave and the resulting longshore standing wave (from the wave theory,  u m  is the projection on cross-shore direction of the total velocity vector and contains the factor  cos α  in amplitude). The decreasing in  Q l a t / Q l  is due to the smaller longshore gradient of mean water level for larger wave angle caused by the slow longshore decreasing in longshore standing wave height. The different widths of outer domain,  y b 2 y b 1 , for different wave angles may also be a reason. However, this is not a determinant because the difference is not sufficiently large to change the above conclusion. All these decreases in constitute components leads to the decrease in  Q d e f / Q l , as the former is the feeding flow to the latter (see (29)).

5.3. Effects of Sand Bar

The discussions above are only for a simplest bottom topography, the planar beach; here, it is extended to the case of barred beach in order to examine the sensitivity of the deflection rip flow to the bottom topography. Here, the discussion is only for the barred beach without rip channel, leaving the more complex topography case, the barred beach with a rip channel, discussed in the next subsection. The barred beach has the similar form to that in the experiment: a bar of Gaussian type section with width 32 m and height 1.28 m which is superimposed on the planar beach. The merit for the discussion without rip channel involved is that the flow pattern does not contain the rip current caused by the rip channel, leaving the flow system consisting of only the deflection rip and the node rip as discussed before for the planar beach. Therefore, the effect of sand bar can be examined in a direct way and this simplifies the problem investigated.
Different from the case of planar beach, the wave motion on the barred beach is sensitive to the water level: the location of breaking point measured from shoreline will be different for different wave levels (this is not the case for planar beach, for which the breaking point is the same for different wave levels observed from shoreline). Therefore, three water levels are chosen here in order to illustrate the effect of water level on rip current flow pattern, which are 7.2 m, 8.0 m and 8.8 m, representing low tide, mid tide and high tide, respectively. The corresponding locations of sandbar crests from the still water shoreline are at x = 80 m, 112 m and 144 m, respectively. The corresponding breaking points (at the 2nd anti-node) are at the offshore side of the bar (at x = 90 m), the bar crest (at x = 112 m) and the planar slope beyond the bar (at x = 70 m) for the above three water levels, respectively. Figure 14 presents the mean flow velocity vectors together with corresponding wave height field and mean water level for the three water levels. As the different water levels lead to different extents of surf zone and, thus, the different longshore currents, Figure 15 shows the cross-shore profiles of the incoming longshore currents corresponding to the three water levels. It is seen in Figure 15 that, different from the low water level, the longshore currents for the mid and high water levels do not appear over the bar region but appear over the planar beach region close to shoreline. This is because the breaking points shift shoreward beyond the bar region for the latter two levels, as mentioned above. This means that the effect of sand bar on the incoming longshore current is weaker for the two higher water levels, which will be further discussed in the following section. With the above differences in wave breaking points, the offshore boundary of the outer and inner domains is defined a little bit differently for different water levels: the offshore boundary is selected at the bar crest for the low and mid water levels, whereas it is at the wave breaking point (x = 70 m) for the high water level.
It is seen in Figure 14 that for different water levels the flow patterns of rip currents have large differences. The obvious difference is that for the low water level, the offshore flowing mean current over the bar region outside the wave reflection region is continuously distributed along the bar crest, but for the mid and high water levels, the flows become concentrated distribution, forming the deflection rips, as in the case without the bar (planar beach). For the latter two rips, the difference also exists, the major one is in the rip flow locations. For the mid water level, the longshore current is deflected outside wave reflection area (a distance from wave reflection area), being unable to penetrate into wave reflection area, whereas for the high water level it is deflected within reflection wave area, being able to penetrate into wave reflection area, similarly to the case for planar beach shown in the upper panel in Figure 10. This failure of the penetration for the mid water level is because the sand bar effect is stronger than the high water level and this leads to the strength of upstream longshore lateral flow increasing from the high water level to the mid water level. This increase can be seen visually from the longshore extent of lateral flow: the lateral flow extends upstream to x = 310 m for the high water level but increases to x = 448 m for the mid water level. This increase is a reflection of the bar effect: For the mid water level, the bar effect is stronger, as the wave breaking is over the bar. For the high water level, the bar effect is weaker, as the wave breaking is not over the bar (beyond the bar), at a topography that is similar to the plane slope, the bottom without the bar. Therefore, the bar strengthened the lateral flow. In fact, the appearance of the continuous offshore flow instead of a concentrated offshore flow for low water levels is also a bar effect. The bar effect is stronger than the mid water level (for the latter, the concentrated offshore flow appears, as mentioned previously). This strong bar effect leads to the longshore extent of lateral flow increasing to x = 563.2 m, and leads to the offshore deflection of longshore current occurring over large distance over the bar, which forms the continuous deflection flow.
Table 4 lists the relative offshore volume flux of deflection rip  Q d e f / Q l  and its components,  Q S t o / Q l Q l a t / Q l  and  Q E u l / Q l  for the three water levels. It is seen that  Q l  for the low water level has a smaller value comparing to that of planar beach (about 20 m3/s), but for the mid water level, this value increases to near 35 m3/s, whereas for the high water level, it decreases to near 26 m3/s, which is still larger than that for the planar beach. This variation trend is related to the difference in velocity profile of longshore current for different water levels, as shown in Figure 15.
Table 4 also demonstrates that although the value of  Q d e f  does not keep increasing with decreasing water level, its relative value and its components  Q d e f / Q l Q S t o / Q l  and  Q l a t / Q l  do so. The reason for this is because the width of deflected current increases with decreasing water level, as indicated by the value of  y b 2  in the table.

5.4. Effects of Rip Channel

To investigate the channel effect on the rip current flow pattern, the above analysis is extended by cutting a channel through the bar to allow the mean flow pattern to be influenced by the channel. The existence of the channel reduces the mean water level and wave height over the channel area, thus producing the time-mean offshore flow (the channel rip) converging towards the channel. Four channel widths are chosen to examine the channel rip, which are  0.5 λ λ 1.5 λ  and  2 λ  ( λ  is the wavelength of the longshore standing wave), respectively. The central lines of all the channels are located at the 3rd theoretical anti-node point (87.2 m away from the structure). As the anti-node is the location where the onshore flow will occur, the location of the rip channel chosen above will invert the flow by inducing a channel rip. This is because the decrease in the mean water level and wave height induced by the channel was larger than that owing to the location being an anti-node. Only the low water level is considered because the effect of the bar in this case is the strongest among the three water levels, as seen in the previous section.
Figure 16 shows the simulated velocity field, vorticity field, and mean water level for different channel widths. The presence of a rip channel will lead to an incoming longshore current deflecting offshore directly along the channel. Therefore, the boundaries between the inner and outer domains ( y = y b 1 ) must be selected at the channel edge near the structure.
Compared to the rip currents on the barred beach without a rip channel, an obvious flow feature is the appearance of the channel rip. The volume flow rate through the channel was calculated using the following formula:
Q c h a = y c 1 y c 2 < u ¯ + > ( h + < η > ) d y ,
where  y c 1  and  y c 2  are the locations of the channel’s two lateral boundaries. Now the corresponding deflection rip should include the channel rip, as this “exit flow” now contains two parts, the part flowing through the channel and the part flowing over the bar crest, which is present for the case without the channel. Therefore, the definition of a deflection rip (20) needs to be changed by setting the inner domain boundary to be  y b 1 = y c 1 (as mentioned above). To see the effect of channel width on the deflection current, Table 4 presents the flow volume rates of deflection rip  Q d e f / Q l  and its components,  Q S t o / Q l Q l a t / Q l  and  Q c h a / Q l  for different channel widths. It is seen that  Q c h a / Q l  and  Q d e f / Q l  do not increase significantly with increasing the channel width. Especially for the channel rip, its flow volume rate does not increase when the channel width is larger than  λ . This is because the two main components of the feeding flow for the deflection rip, the incoming longshore current and the Stokes drift, nearly do not vary for different channel widths (the former does not depend on the presence of the channel, and the latter is nearly fixed with the small increase in the length of deflection current area caused by increasing channel width). This means that the appearance of channel rip nearly does not lead to the increase in the total amount of offshore flow volume of the whole flow system (the deflection rip).
The corresponding physical process can be found in Figure 16. For all these channel widths, only the 1st node rip is remained, with the others disappearing. This disappearance is due to the overlap of the node rips with the channel rip. For  W c h a = 0.5 λ , the channel width is smaller than the wavelength of the standing wave, and the 2nd and 3rd node rips merge into the channel rip because they are close to the edges of the channel. The 4th node rip is directly overlapped by the longshore current that penetrated the inner domain. The large offshore flow volume discharged by the channel deflects the incoming longshore current along the channel. This also drives the formation of a new large-scale vortex centered at the channel edge near the structure, with its offshore flow serving as the rip flow in the channel. For  W c h a = λ , the channel width is equal to the wavelength of the standing wave, similar to  W c h a = 0.5 λ , all the node rips except for the 1st one disappear owing to the penetration of the longshore current, and a new large-scale vortex centered at the channel edge near the structure forms, accompanied by the longshore current flowing into the channel. The difference from  W c h a = 0.5 λ  is that the flow volume rate of deflection rip  Q d e f  increases from 136.8 to 140.2 m3/s due to the increase in channel width. For these cases of channel width larger than the standing wavelength  W c h a = 1.5 λ  and  2 λ , the channel rip is concentrated over a narrow region, which is much smaller than the channel width; thus, the increase in channel width does not lead to an increase in the channel rip width. This is particularly evident for  W c h a = 2 λ : the channel rip only has a width similar to that of  W c h a = 0.5 λ . For this largest width, the absolute and relative volumes ( Q d e f  and  Q d e f / Q l ) are even smaller than those of the width  0.5 λ  (6.58 vs. 6.77), owing to the decrease in the component  Q l a t / Q l  (1.20 vs. 0.91). This is because a larger channel width causes the onshore flow of the new large-scale vortex to be within the channel and cancels the offshore flow of the new large-scale vortex during the calculation of the flow volume rate through the offshore boundary; this is particularly true for  W c h a = 2 λ .

6. Conclusions

The characteristics of the rip current system near a shore-normal vertical structure are experimentally and numerically studied. The mixed type of rip current system consisting of the deflection rip and node rips is found due to the total wave reflection strength of the structure. The former is due to the longshore standing wave field formed by the superposition of the incident and reflected waves, and the latter is due to the meeting and then deflection of the longshore current and lateral flow induced by the nonuniform standing wave in the wave reflection area. The flow patterns of the deflection rip induced by the new formation mechanism stated above is just the focus of the present research. With the effects of different wave reflection strengths, wave incoming incidences and topographies (planar and barred beaches with and without a rip channel) on the patterns and flow volume rates of the deflection rip examined, the following conclusions are drawn.
(1) The wave reflection strength of the structure is the essential factor that determines the flow patterns of the deflection rip. For the weaker wave reflection, the rip current system is only composed of deflection rip which is formed by the longshore current deflected offshore after meeting the structure; however, for the total or stronger wave reflection, the deflection rip is formed by the co-deflection of the longshore current and the lateral flow.
(2) Due to the special composition of the deflection rip, the feeding flow for the deflection rip includes the incoming longshore current (the major contributor), the Stokes drift and the lateral flow. The Stokes drift induces undertow flow for normal incident waves but now accompanies the longshore current for oblique incident waves. Depending on the wave conditions, the maximum contribution of Stokes drift flow is approximately 50%. The lateral flow is approximately 25%.
(3) Both the flow volume rate and the location of the deflection rip are determined by the nondimensional lateral flow volume (divided by the longshore current flow volume). The larger the latter, the larger the flow volume rate of the deflection rip and the further the deflection rip to the boundary of the reflection wave field. It is found that the stronger reflection strength and the smaller wave incident angle correspond to a larger nondimensional lateral flow volume.
(4) The effect of the sandbar on the deflection rip depends on the water level (tide level). At low tide, the deflection rip becomes a continuous offshore flow distributed along the bare crest, i.e., the deflection current; with increasing the water level to the mid and high tides, the deflection current recovers to the concentrated deflection rip as of that on the planar beach.
(5) The presence of a rip channel leads to the incoming longshore current deflecting offshore directly along the channel. Therefore, the corresponding deflection rip includes the channel rip. However, because the flow volume of the feeding flow (the sum of the flow volumes of the incoming longshore current and Stokes drift) for the rip current system is fixed, the channel rip can only share the total feeding flow volume with node rips. Consequently, when the channel width is sufficiently large (larger than the wavelength of the longshore standing wave), a further increase in the channel width does not lead to an increase in the flow volume of both the channel rip and deflection rip.
In the feature research the effect of irregular waves on the same rip current system will be studied. The flow volume balance in the inner domain will be analyzed. The effect of the present rip current system on the coastal erosion will also be checked with applying the present numerical model.

Author Contributions

Conceptualization, J.X. and Z.Z.; methodology, J.X. and S.Y.; software, J.X. and K.F.; validation, J.X., S.Y. and Z.Z.; formal analysis, J.X., S.Y. and Z.Z.; investigation, J.X.; resources, Z.Z.; data curation, J.X. and Y.W.; writing—original draft preparation, S.Y., Z.Z., C.C. and J.X.; writing—review and editing, J.X., C.C., Z.Z. and S.Y.; visualization, S.Y.; supervision, Z.Z.; project administration, Z.Z.; funding acquisition, S.Y. and Z.Z. All authors have read and agreed to the published version of the manuscript.

Funding

This work is funded by the National Natural Science Foundation of China (Grant No: 52201308 and 51879033), and China Postdoctoral Science Foundation (Grant No: 2022M720632).

Institutional Review Board Statement

Not applicable.

Informed Consent Statement

Not applicable.

Data Availability Statement

The data presented in this study are available on request from the corresponding author.

Conflicts of Interest

The authors declare no conflict of interest. The funders had no role in the design of the study; in the collection, analyses or interpretation of data; in the writing of the manuscript; or in the decision to publish the results.

References

  1. MacMahan, J.H.; Thornton, E.B.; Reniers, A.J.H.M. Rip Current Review. Coast. Eng. 2006, 53, 191–208. [Google Scholar] [CrossRef]
  2. Castelle, B.; Scott, T.; Brander, R.W.; McCarroll, R.J. Rip Current Types, Circulation and Hazard. Earth-Sci. Rev. 2016, 163, 1–21. [Google Scholar] [CrossRef]
  3. Peregrine, D.H. Surf Zone Currents. Theor. Comput. Fluid Dyn. 1998, 10, 295–309. [Google Scholar] [CrossRef]
  4. Geiman, J.D.; Kirby, J.T.; Reniers, A.J.H.M.; MacMahan, J.H. Effects of Wave Averaging on Estimates of Fluid Mixing in the Surf Zone. J. Geophys. Res. Ocean. 2011, 116, 1–20. [Google Scholar] [CrossRef]
  5. Dalrymple, R.A. A Mechanism for Rip Current Generation on an Open Coast. J. Geophys. Res. 1975, 80, 3485–3487. [Google Scholar] [CrossRef]
  6. Postacchini, M.; Brocchini, M.; Soldini, L. Vorticity Generation Due to Cross-Sea. J. Fluid Mech. 2014, 744, 286–309. [Google Scholar] [CrossRef]
  7. Clark, D.B.; Elgar, S.; Raubenheimer, B. Vorticity Generation by Short-Crested Wave Breaking. Geophys. Res. Lett. 2012, 39, 24604. [Google Scholar] [CrossRef]
  8. Choi, J.; Roh, M. A Laboratory Experiment of Rip Currents between the Ends of Breaking Wave Crests. Coast. Eng. 2021, 164, 103812. [Google Scholar] [CrossRef]
  9. Wei, Z.; Dalrymple, R.A. SPH Modeling of Short-Crested Waves. In Proceedings of the 12th International SPHERIC Workshop, Ourense, Spain, 13–15 June 2017. [Google Scholar]
  10. Johnson, D.; Pattiaratchi, C. Boussinesq Modelling of Transient Rip Currents. Coast. Eng. 2006, 53, 419–439. [Google Scholar] [CrossRef]
  11. Oltman-Shay, J.; Howd, P.A.; Birkemeier, W.A. Birkemeier Shear Instabilities of the Mean Longshore Current: 2. Field Observations. J. Geophys. Res. 1989, 94, 18031–18042. [Google Scholar] [CrossRef]
  12. Chen, Q.; Dalrymple, R.A.; Kirby, J.T.; Kennedy, A.B.; Haller, M.C. Boussinesq Modeling of a Rip Current System. J. Geophys. Res. Ocean. 1999, 104, 20617–20637. [Google Scholar] [CrossRef]
  13. Haller, M.C.; Dalrymple, R.A.; Svendsen, I.A. Rip Channels and Nearshore Circulation. Coast. Dyn.-Proc. Int. Conf. 1997, 97, 594–603. [Google Scholar]
  14. Haller, M.C. Experimental Study of Nearshore Dynamics on a Barred Beach with Rip Channels. J. Geophys. Res. 2002, 107, 14-1–14-21. [Google Scholar] [CrossRef]
  15. Winter, G.; van Dongeren, A.R.; de Schipper, M.A.; van Thiel de Vries, J.S.M. Rip Current Observations at Egmond Aan Zee. In Proceedings of the Jubilee Conference Proceedings, Enschede, The Netherlands, 13–16 March 2012. [Google Scholar]
  16. MacMahan, J.H.; Thornton, E.B.; Stanton, T.P.; Reniers, A.J.H.M. RIPEX: Observations of a Rip Current System. Mar. Geol. 2005, 218, 113–134. [Google Scholar] [CrossRef]
  17. MacMahan, J.; Brown, J.; Brown, J.; Thornton, E.; Reniers, A.; Stanton, T.; Henriquez, M.; Gallagher, E.; Morrison, J.; Austin, M.J.; et al. Mean Lagrangian Flow Behavior on an Open Coast Rip-Channeled Beach: A New Perspective. Mar. Geol. 2010, 268, 1–15. [Google Scholar] [CrossRef]
  18. Castelle, B.; Bonneton, P. Modélisation Du Courant Sagittal Induit Par Les Vagues Au-Dessus Des Systèmes Barre/Baïne de La Côte Aquitaine (France). Comptes Rendus-Geosci. 2006, 338, 711–717. [Google Scholar] [CrossRef]
  19. Castelle, B.; Bonneton, P.; Dupuis, H.; Sénéchal, N. Double Bar Beach Dynamics on the High-Energy Meso-Macrotidal French Aquitanian Coast: A Review. Mar. Geol. 2007, 245, 141–159. [Google Scholar] [CrossRef]
  20. Austin, M.; Scott, T.; Brown, J.; Brown, J.; MacMahan, J.; Masselink, G.; Russell, P. Temporal Observations of Rip Current Circulation on a Macro-Tidal Beach. Cont. Shelf Res. 2010, 30, 1149–1165. [Google Scholar] [CrossRef]
  21. Pitman, S.; Gallop, S.L.; Haigh, I.D.; Masselink, G.; Ranasinghe, R. Wave Breaking Patterns Control Rip Current Flow Regimes and Surfzone Retention. Mar. Geol. 2016, 382, 176–190. [Google Scholar] [CrossRef]
  22. Uchiyama, Y.; McWilliams, J.C.; Akan, C. Three-Dimensional Transient Rip Currents: Bathymetric Excitation of Low-Frequency Intrinsic Variability. J. Geophys. Res. Ocean. 2017, 122, 2017–2033. [Google Scholar] [CrossRef]
  23. Haller, M.C.; Dalrymple, R.A. Rip Current Instabilities. J. Fluid Mech. 2001, 433, 161–192. [Google Scholar] [CrossRef]
  24. Wind, H.G.; Vreugdenhil, C.B. Rip-Current Generation near Structures. J. Fluid Mech. 1986, 171, 459–476. [Google Scholar] [CrossRef]
  25. Pattiaratchi, C.; Olsson, D.; Hetzel, Y.; Lowe, R. Wave-Driven Circulation Patterns in the Lee of Groynes. Cont. Shelf Res. 2009, 29, 1961–1974. [Google Scholar] [CrossRef]
  26. Castelle, B.; Coco, G. The Morphodynamics of Rip Channels on Embayed Beaches. Cont. Shelf Res. 2012, 43, 10–23. [Google Scholar] [CrossRef]
  27. Castelle, B.; Coco, G. Surf Zone Flushing on Embayed Beaches. Geophys. Res. Lett. 2013, 40, 2206–2210. [Google Scholar] [CrossRef]
  28. McCarroll, R.J.; Brander, R.W.; Turner, I.L.; Power, H.E.; Mortlock, T.R. Lagrangian Observations of Circulation on an Embayed Beach with Headland Rip Currents. Mar. Geol. 2014, 355, 173–188. [Google Scholar] [CrossRef]
  29. Scott, T.; Austin, M.; Masselink, G.; Russell, P. Dynamics of Rip Currents Associated with Groynes–Field Measurements, Modelling and Implications for Beach Safety. Coast. Eng. 2016, 107, 53–69. [Google Scholar] [CrossRef]
  30. Van Rijn, L.C. Coastal Erosion and Control. Ocean Coast. Manag. 2011, 54, 867–887. [Google Scholar] [CrossRef]
  31. Yan, S. Study on the Features of Longshore Currents on Mild Beaches and Boundary Rip Current Systems (in Chinese). Ph.D. Thesis, Dalian University of Technology, Dalian, China, 2021. [Google Scholar]
  32. Zou, Z.L.; Fang, K.Z. Alternative Forms of the Higher-Order Boussinesq Equations: Derivations and Validations. Coast. Eng. 2008, 55, 506–521. [Google Scholar] [CrossRef]
  33. Gao, J.; Ma, X.; Dong, G.; Chen, H.; Liu, Q.; Zang, J. Investigation on the Effects of Bragg Reflection on Harbor Oscillations. Coast. Eng. 2021, 170, 103977. [Google Scholar] [CrossRef]
  34. Gao, J.; Ma, X.; Zang, J.; Dong, G.; Ma, X.; Zhu, Y.; Zhou, L. Numerical Investigation of Harbor Oscillations Induced by Focused Transient Wave Groups. Coast. Eng. 2020, 158, 103670. [Google Scholar] [CrossRef]
  35. Gao, J.; Shi, H.; Zang, J.; Liu, Y. Mechanism Analysis on the Mitigation of Harbor Resonance by Periodic Undulating Topography. Ocean Eng. 2023, 281, 114923. [Google Scholar] [CrossRef]
  36. Kennedy, B.A.B.; Chen, Q.; Kirby, J.T.; Dalrymple, R.A. Boussinesq Modeling of Wave Transformation, Breaking, and Runup, I: 1D. J. Waterw. Port Coast. Ocean Eng. 2000, 2, 39–47. [Google Scholar] [CrossRef]
  37. Kim, B.; Oh, C.; Yi, Y.; Kim, D.H. GPU-Accelerated Boussinesq Model Using Compute Unified Device Architecture FORTRAN. J. Coast. Res. 2018, 85, 1176–1180. [Google Scholar] [CrossRef]
  38. Xia, A.; LI, C.; Hu, B.; Wang, R.; Yanna, L. The Solution of Penta-Diagonal Linear Equations by Thomas Method. JounrnM Acad. Mil. Transp. 2008, 10, 87–89. [Google Scholar]
  39. Gobbi, M.F.; Kirby, J.T. Wave Evolution over Submerged Sills: Tests of a High-Order Boussinesq Model. Coast. Eng. 1999, 37, 57–96. [Google Scholar] [CrossRef]
  40. Larsen, J.; Dancy, H. Open Boundaries in Short Wave Simulations—A New Approach. Coast. Eng. 1983, 7, 285–297. [Google Scholar] [CrossRef]
  41. Li, B.; Anastasiou, K. Efficient Elliptic Solvers for the Mild-Slope Equation Using the Multigrid Technique. Coast. Eng. 1992, 16, 245–266. [Google Scholar] [CrossRef]
  42. Ramos, J.I. Explicit Finite Difference Methods for the EW and RLW Equations. Appl. Math. Comput. 2006, 179, 622–638. [Google Scholar] [CrossRef]
  43. Fang, K.Z.; Yin, J.W.; Zou, Z.L.; Liu, Z.B.; Dong, P. Reproducing Laboratory-Scale Rip Currents on a Barred Beach by a Boussinesq Wave Model. J. Mar. Sci. Technol. 2014, 22, 231–239. [Google Scholar] [CrossRef]
  44. Willmott, C.J. On the Validation of Models. Phys. Geogr. 1981, 2, 184–194. [Google Scholar] [CrossRef]
  45. Longuet-Higgins, M.S. Longshore Currents Generated by Obliquely Incident Sea Waves: 2. J. Geophys. Res. 1970, 75, 6790–6801. [Google Scholar] [CrossRef]
  46. Yoon, S.B.; Lee, J.I.; Kim, Y.T.; Shin, C.H. Laboratory and Numerical Experiments on Stem Waves Due to Monochromatic Waves along a Vertical Wall. Nonlinear Process. Geophys. 2018, 25, 521–535. [Google Scholar] [CrossRef]
Figure 1. Horizontal layout of the experiment on the planar beach (a) for Test P and barred beach (b) for Test B and Test C. Red lines planar beach; blue lines sandbar; green lines vertical structures; yellow lines sponge layers; pink lines the reflection wave area.
Figure 1. Horizontal layout of the experiment on the planar beach (a) for Test P and barred beach (b) for Test B and Test C. Red lines planar beach; blue lines sandbar; green lines vertical structures; yellow lines sponge layers; pink lines the reflection wave area.
Jmse 11 01297 g001
Figure 2. The photo of wave field for Test P in the experiment. The nodes of the standing wave are indicated by the black arrows in the photo.
Figure 2. The photo of wave field for Test P in the experiment. The nodes of the standing wave are indicated by the black arrows in the photo.
Jmse 11 01297 g002
Figure 3. Diagram of the layouts of wave gages (red circles) and ADVs (green crosses) for the measurements of free surface elevation and flow velocity. (a) Planar beach; (b) barred beach (Test B or C, without or with a channel). The sandbar is indicated by the blue lines.
Figure 3. Diagram of the layouts of wave gages (red circles) and ADVs (green crosses) for the measurements of free surface elevation and flow velocity. (a) Planar beach; (b) barred beach (Test B or C, without or with a channel). The sandbar is indicated by the blue lines.
Jmse 11 01297 g003
Figure 4. The computation domain and its boundaries. The reflection wave area and the wave shadow area are indicated by the shadow area.
Figure 4. The computation domain and its boundaries. The reflection wave area and the wave shadow area are indicated by the shadow area.
Jmse 11 01297 g004
Figure 5. Wave height (filled color), mean water level (white curves), and velocity vectors (arrows) in the experiment for Test P (a), Test B (b), and Test C (c). Vertical dashed lines, nodes; vertical solid lines, anti-nodes; oblique red line, the boundary of reflection wave area; black dashed line, sandbar.
Figure 5. Wave height (filled color), mean water level (white curves), and velocity vectors (arrows) in the experiment for Test P (a), Test B (b), and Test C (c). Vertical dashed lines, nodes; vertical solid lines, anti-nodes; oblique red line, the boundary of reflection wave area; black dashed line, sandbar.
Jmse 11 01297 g005
Figure 6. Comparison of wave height (a,c,e) and mean water level (b,d,f) between numerical results (curves) and measurements (scatters) for Tests P, B and C.
Figure 6. Comparison of wave height (a,c,e) and mean water level (b,d,f) between numerical results (curves) and measurements (scatters) for Tests P, B and C.
Jmse 11 01297 g006
Figure 7. The simulated vorticity (filed color), mean water level (white curves) and velocity field (black arrows) for planar beach (a) and barred beach with (c) and without channel (b). Red arrows, measured velocity; white dashed lines, nodes; white solid lines, anti-nodes; oblique red line, the boundary of reflection wave area; black dashed line, sandbar.
Figure 7. The simulated vorticity (filed color), mean water level (white curves) and velocity field (black arrows) for planar beach (a) and barred beach with (c) and without channel (b). Red arrows, measured velocity; white dashed lines, nodes; white solid lines, anti-nodes; oblique red line, the boundary of reflection wave area; black dashed line, sandbar.
Jmse 11 01297 g007
Figure 8. Comparison of time-averaged cross-shore current  < u ¯ >  (left) and longshore current  < v ¯ >  (right) between numerical results (solid curve) and measurements (circles). Upper panels, Test P; middle panels, Test B; lower panels, Test C; vertical solid lines, anti-nodes; vertical dashed lines, nodes.
Figure 8. Comparison of time-averaged cross-shore current  < u ¯ >  (left) and longshore current  < v ¯ >  (right) between numerical results (solid curve) and measurements (circles). Upper panels, Test P; middle panels, Test B; lower panels, Test C; vertical solid lines, anti-nodes; vertical dashed lines, nodes.
Jmse 11 01297 g008
Figure 9. The wave height distribution at anti-nodes for three wave reflection strengths on the planar beach. The number i indicates the ith anti-node line.
Figure 9. The wave height distribution at anti-nodes for three wave reflection strengths on the planar beach. The number i indicates the ith anti-node line.
Jmse 11 01297 g009
Figure 10. The wave height field (filled color), mean water level contours (red curves) and time-averaged flow field (black arrows) for  k s = 1000  (a),  k s = 4.4  (b) and  k s = 3.6  (c) on the planar beach. Green solid lines, anti-nodes; green dashed lines, nodes; BRWA, boundary of reflection wave area. The triangles with number in indicate the node rip currents.
Figure 10. The wave height field (filled color), mean water level contours (red curves) and time-averaged flow field (black arrows) for  k s = 1000  (a),  k s = 4.4  (b) and  k s = 3.6  (c) on the planar beach. Green solid lines, anti-nodes; green dashed lines, nodes; BRWA, boundary of reflection wave area. The triangles with number in indicate the node rip currents.
Jmse 11 01297 g010
Figure 11. The longshore distribution of the cross-shore current  < u ¯ >  at the offshore section  x = x b  for  k s = 1000 . Vertical solid lines, anti-nodes; vertical dashed lines, nodes.
Figure 11. The longshore distribution of the cross-shore current  < u ¯ >  at the offshore section  x = x b  for  k s = 1000 . Vertical solid lines, anti-nodes; vertical dashed lines, nodes.
Jmse 11 01297 g011
Figure 12. The wave height (filled color), mean water level (red contour curves) and time-averaged velocity (black arrows) for  α = 15 °  (a) and  α = 45 °  (b) on the planar beach (see Figure 10 for  α = 30 ° ) with  k s = 1000 . Green solid lines, anti-nodes; green dashed lines, nodes; Oblique red line, boundary of wave reflection area. The triangles with number in indicate the node rip currents.
Figure 12. The wave height (filled color), mean water level (red contour curves) and time-averaged velocity (black arrows) for  α = 15 °  (a) and  α = 45 °  (b) on the planar beach (see Figure 10 for  α = 30 ° ) with  k s = 1000 . Green solid lines, anti-nodes; green dashed lines, nodes; Oblique red line, boundary of wave reflection area. The triangles with number in indicate the node rip currents.
Jmse 11 01297 g012
Figure 13. Longshore distributions of cross-shore velocities at x = 120 m on the planar beach for different wave incident angles.
Figure 13. Longshore distributions of cross-shore velocities at x = 120 m on the planar beach for different wave incident angles.
Jmse 11 01297 g013
Figure 14. The wave height (filled color), mean water level (red contour curves) and time-averaged flow velocity (black arrows) for low (a), mid (b), and high (c) tide on barred beach without channel. Green solid lines, nodes; green dashed lines, anti-nodes; oblique red line, boundary of wave reflection area. The triangles with number in indicate the node rip currents.
Figure 14. The wave height (filled color), mean water level (red contour curves) and time-averaged flow velocity (black arrows) for low (a), mid (b), and high (c) tide on barred beach without channel. Green solid lines, nodes; green dashed lines, anti-nodes; oblique red line, boundary of wave reflection area. The triangles with number in indicate the node rip currents.
Jmse 11 01297 g014
Figure 15. The cross-shore profiles of incoming longshore currents (red lines) for different water levels. The bar crests are at x = 80 m, x = 112 m and x = 144 m for the three water levels, respectively.
Figure 15. The cross-shore profiles of incoming longshore currents (red lines) for different water levels. The bar crests are at x = 80 m, x = 112 m and x = 144 m for the three water levels, respectively.
Jmse 11 01297 g015
Figure 16. The vorticity field (filled color), mean water level (red contour curves) and time-averaged flow velocity (black arrows) for the barred beach with different channel widths,  0.5 λ  (a),  λ  (b),  1.5 λ  (c) and  2 λ  (d). White solid lines, anti-nodes; white dashed lines, nodes; Oblique red line, boundary of reflection wave area; black dashed line, sandbar. The triangles with number in indicate the node rip currents.
Figure 16. The vorticity field (filled color), mean water level (red contour curves) and time-averaged flow velocity (black arrows) for the barred beach with different channel widths,  0.5 λ  (a),  λ  (b),  1.5 λ  (c) and  2 λ  (d). White solid lines, anti-nodes; white dashed lines, nodes; Oblique red line, boundary of reflection wave area; black dashed line, sandbar. The triangles with number in indicate the node rip currents.
Jmse 11 01297 g016
Table 1. Experimental conditions and theoretical locations of node and anti-node points of longshore standing wave.
Table 1. Experimental conditions and theoretical locations of node and anti-node points of longshore standing wave.
Testh0 (m) H 0 (cm) T (s) λ (m)the ith Node (m)the ith Anti-Node (m)
P0.2754.821.52.26y = (i − 0.5) × 2.26y = (i − 1) × 2.26
B0.454.161.52.73y = (i − 0.5) × 2.73y = (i − 1) × 2.73
C0.453.981.52.73y = (i − 0.5) × 2.73y = (i − 1) × 2.73
Note: h0 is the water depth at horizontal bottom, H0 is the incident wave height, T is the wave period, and  λ  is the wave length of longshore standing wave.
Table 2. The values of WIA for Tests P, B, and C.
Table 2. The values of WIA for Tests P, B, and C.
Test H < η > < u ¯ > < v ¯ > Average
P0.910.930.950.780.89
B0.870.940.820.860.87
C0.900.910.840.880.88
Table 3. The boundary flow volumes of outer domain on the planar beach (H = 0.8 m, T = 6.0 s, Low tide).
Table 3. The boundary flow volumes of outer domain on the planar beach (H = 0.8 m, T = 6.0 s, Low tide).
Reflection
ks
Angle  α
(Deg)
Q l  (×10−3)
(m3/s)
Q d e f  (×10−3)
(m3/s)
Q d e f / Q l Q S t o / Q l Q l a t / Q l L p e n / L r e f Q n e t / Q l
100030−23.2266.922.88−1.230.680.33−0.03
4.430−24.0348.802.03−1.030.030.56−0.02
3.630−24.8130.751.16−0.51−0.311.0−0.04
100015−14.9572.714.86−2.191.740.22−0.05
100045−27.0768.852.54−1.040.530.41−0.03
Table 4. The flow volume rates of deflection rip and its components on the barred beach without or with rip channel.
Table 4. The flow volume rates of deflection rip and its components on the barred beach without or with rip channel.
Water LevelChannel Width y b 2 Q l  (×10−3)
(m3/s)
Q d e f  (×10−3)
(m3/s)
Q d e f / Q l Q S t o / Q l Q l a t / Q l Q c h a / Q l Q E u l / Q l Q n e t / Q l
Low0563.2−19.75114.176.22−4.171.04\0−0.01
Mid0448.0−35.67121.923.42−1.840.48\00.1
High0310.4−26.6261.642.31−0.970.36\0−0.02
Low 0.5 λ 547.2−20.21136.816.77−4.551.200.79−0.12−0.02
Low λ 499.2−20.50140.206.84−4.061.732.10−0.13−0.05
Low 1.5 λ 496.0−20.49138.566.76−4.081.492.12−0.23−0.04
Low 2 λ 496.0−20.61135.576.58−4.220.912.15−0.49−0.04
High (water level) corresponds to 8.8 m water depth, Mid (water level) to 8.0 m, and Low (water level) to 7.2 m.
Disclaimer/Publisher’s Note: The statements, opinions and data contained in all publications are solely those of the individual author(s) and contributor(s) and not of MDPI and/or the editor(s). MDPI and/or the editor(s) disclaim responsibility for any injury to people or property resulting from any ideas, methods, instructions or products referred to in the content.

Share and Cite

MDPI and ACS Style

Xu, J.; Yan, S.; Zou, Z.; Chang, C.; Fang, K.; Wang, Y. Flow Characteristics of the Rip Current System near a Shore-Normal Structure with Regular Waves. J. Mar. Sci. Eng. 2023, 11, 1297. https://doi.org/10.3390/jmse11071297

AMA Style

Xu J, Yan S, Zou Z, Chang C, Fang K, Wang Y. Flow Characteristics of the Rip Current System near a Shore-Normal Structure with Regular Waves. Journal of Marine Science and Engineering. 2023; 11(7):1297. https://doi.org/10.3390/jmse11071297

Chicago/Turabian Style

Xu, Jie, Sheng Yan, Zhili Zou, Chengshu Chang, Kezhao Fang, and Yan Wang. 2023. "Flow Characteristics of the Rip Current System near a Shore-Normal Structure with Regular Waves" Journal of Marine Science and Engineering 11, no. 7: 1297. https://doi.org/10.3390/jmse11071297

APA Style

Xu, J., Yan, S., Zou, Z., Chang, C., Fang, K., & Wang, Y. (2023). Flow Characteristics of the Rip Current System near a Shore-Normal Structure with Regular Waves. Journal of Marine Science and Engineering, 11(7), 1297. https://doi.org/10.3390/jmse11071297

Note that from the first issue of 2016, this journal uses article numbers instead of page numbers. See further details here.

Article Metrics

Back to TopTop