Visualization and Parametric Study on Vortex Shedding Suppression of Cylindrical Structures in Offshore Engineering Using Large Eddy Simulation
Abstract
1. Introduction
2. Numerical Analysis
2.1. Problem Description
2.2. Governing Equations
2.3. Geometry and Mesh Generation
2.4. Simulation Settings
- Only the inlet boundary has the Dirichlet boundary condition of velocity u = 1 m/s, and the corresponding turbulent intensity can be calculated using the formula , which equals 0.057;
- At the outlet boundary, the Neumann boundary condition is applied , and the pressure is the applied Dirichlet boundary condition of ;
- Both the bare cylinder and helical strake attached cylinder surfaces are set as the no-slip boundary condition. No wall function is used near circular cylinder surface.
- For the front and back surface spanwise, the boundary condition of the symmetrical plane is applied.
2.5. Validation and Sensitivity Study
| Case | Grid Number | Drag Coefficient | Strouhal Number |
|---|---|---|---|
| Loureno [40] | - | 0.99 | 0.22 |
| Kravchenko [37] | 1.04 | 0.21 | |
| Corase | 1.13 | 0.23 | |
| Medium | 0.997 | 0.2196 | |
| Fine | 0.992 | 0.213 |
| Case | Grid Number | Drag Coefficient | Strouhal Number |
|---|---|---|---|
| Loureno [40] | - | 0.99 | 0.22 |
| LES WALE | 0.997 | 0.2196 | |
| RANS SST | 1.005 | 0.292 |
3. Results and Discussions
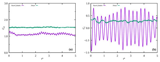
3.1. Wake Flow with Strake Attached





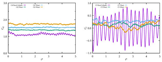
3.2. Effect of Strake Number



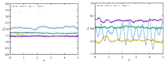
3.3. Effect of Strake Pitch



3.4. Mean Drag and Lift Coefficient
4. Conclusions
- Attaching the helical strake can effectively suppress the periodic vortex shedding phenomenon in the wake, which is consistent with previous experimental results.
- The asymmetry distribution for lift will accompany the addition of the helical strake; it is mainly caused by the unbalanced pressure distribution on the up and down surfaces.
- As the strake number increases, the occurrence of the VIV phenomenon can be better suppressed. However, increasing the strike number results in drag increase.
- The strake pitch has a significant impact on the vortex shedding of the cylindrical structure. When the pitch exceeds 15D, the periodic vortex shedding phenomenon reappears. Therefore, it is necessary to prevent the occurrence of periodic vortex shedding regeneration in the far field.
- Further research is required to investigate the effects of the strake height, strake thickness, and strake shape on the vortex shedding of cylindrical structures.
Author Contributions
Funding
Data Availability Statement
Conflicts of Interest
References
- Billah, K.Y.; Scanlan, R.H. Resonance, Tacoma Narrows bridge failure, and undergraduate physics textbooks. Am. J. Phys. 1991, 59, 118–124. [Google Scholar] [CrossRef]
- Guyer, J.P.; Pe, R. Ethical Issues from the Tacoma Narrows Bridge Collapse; Continuing Education and Development, Inc.: Woodcliff Lake, NJ, USA, 1999. [Google Scholar]
- Liu, G.; Li, H.; Qiu, Z.; Leng, D.; Li, Z.; Li, W. A mini review of recent progress on vortex-induced vibrations of marine risers. Ocean Eng. 2020, 195, 106704. [Google Scholar] [CrossRef]
- Hong, K.S.; Shah, U.H. Vortex-induced vibrations and control of marine risers: A review. Ocean Eng. 2018, 152, 300–315. [Google Scholar] [CrossRef]
- Wang, J.s.; Fan, D.; Lin, K. A review on flow-induced vibration of offshore circular cylinders. J. Hydrodyn. 2020, 32, 415–440. [Google Scholar] [CrossRef]
- Song, J.; Wang, T.; Chen, W.; Guo, S.; Yan, D. Vibration control of marine top tensioned riser with a single tuned mass damper. J. Mar. Sci. Eng. 2020, 8, 785. [Google Scholar] [CrossRef]
- Zhou, W.; Duan, M.; Chen, R.; Qiu, H.; Li, H.; Wang, S.; Wang, Y. Experimental Study on Vortex-Induced Vibration of Tension Leg and Riser for Full Depth Mooring Tension Leg Platform. J. Mar. Sci. Eng. 2023, 11, 180. [Google Scholar] [CrossRef]
- Amaechi, C.V.; Wang, F.; Ye, J. Experimental study on motion characterisation of CALM buoy hose system under water waves. J. Mar. Sci. Eng. 2022, 10, 204. [Google Scholar] [CrossRef]
- Srinil, N. Analysis and prediction of vortex-induced vibrations of variable-tension vertical risers in linearly sheared currents. Appl. Ocean Res. 2011, 33, 41–53. [Google Scholar] [CrossRef]
- Simantiras, P.; Willis, N. Investigation on vortex induced oscillations and helical strakes effectiveness at very high incidence angles. In Proceedings of the International Offshore and Polar Engineering Conference, Brest, France, 30 May–4 June 1999. [Google Scholar]
- Lubbad, R.K.; Løset, S.; Moe, G. Experimental investigations of the efficiency of round-sectioned helical strakes in suppressing vortex induced vibrations. J. Offshore Mech. Arct. Eng. 2011, 133, 041102. [Google Scholar] [CrossRef]
- Assi, G.R.; Crespi, T.; Gharib, M. Novel geometries of serrated helical strakes to suppress vortex-induced vibrations and reduce drag. Appl. Ocean Res. 2022, 120, 103034. [Google Scholar] [CrossRef]
- Mekki, A.; Ali, M.M. Numerical simulation of Kadomtsev–Petviashvili–Benjamin–Bona–Mahony equations using finite difference method. Appl. Math. Comput. 2013, 219, 11214–11222. [Google Scholar] [CrossRef]
- Sukarnoor, N.I.M.; Lee, K.Q.; Abu, A.; Kuwano, N.; Hooi-Siang, K.; Mat Desa, S. The effectiveness of helical strakes in suppressing vortex-induced vibration of tandem circular cylinders. Ain Shams Eng. J. 2022, 13, 101502. [Google Scholar] [CrossRef]
- Zhou, T.; Razali, S.M.; Hao, Z.; Cheng, L. On the study of vortex-induced vibration of a cylinder with helical strakes. J. Fluids Struct. 2011, 27, 903–917. [Google Scholar] [CrossRef]
- Wang, C.; Ge, S.; Jaworski, J.W.; Liu, L.; Jia, Z. Effects of Different Design Parameters on the Vortex Induced Vibration of FRP Composite Risers Using Grey Relational Analysis. J. Mar. Sci. Eng. 2019, 7, 231. [Google Scholar] [CrossRef]
- Wang, J.; He, Z.; Li, D.; Wu, W. Numerical Simulation of Vortex-Induced Vibration of TTR and SCR. J. Mar. Sci. Eng. 2022, 10, 708. [Google Scholar] [CrossRef]
- Santillan, S.T.; Virgin, L.N. Numerical and experimental analysis of the static behavior of highly deformed risers. Ocean Eng. 2011, 38, 1397–1402. [Google Scholar] [CrossRef]
- Vásquez, J.A.M.; Julca Avila, J.P. A parametric analysis of the influence of the internal slug flow on the dynamic response of flexible marine risers. Ocean Eng. 2019, 174, 169–185. [Google Scholar] [CrossRef]
- Atadan, M.; Das, B.; Gopalakrishnan, S. Analytical and numerical analysis of the dynamics of a marine riser connected to a floating platform. J. Sound Vib. 1997, 208, 579–603. [Google Scholar] [CrossRef]
- Kharazmi, R.; Ketabdari, M.J. Numerical modeling to develop strake design of Spar platform for Vortex-Induced motions suppression. Ocean Eng. 2022, 250, 111060. [Google Scholar] [CrossRef]
- Yang, W.; Ai, Z.; Zhang, X.; Chang, X.; Gou, R. Nonlinear dynamics of three-dimensional vortex-induced vibration prediction model for a flexible fluid-conveying pipe. Int. J. Mech. Sci. 2018, 138, 99–109. [Google Scholar] [CrossRef]
- Yao, J.; Zhen, X.; Huang, Y.; Wang, W. Numerical Investigation on Hydrodynamic Characteristics of Immersed Buoyant Platform. J. Mar. Sci. Eng. 2021, 9, 168. [Google Scholar] [CrossRef]
- Wang, J.; Sun, S.; Tang, L.; Hu, G.; Liang, J. On the use of metasurface for Vortex-Induced vibration suppression or energy harvesting. Energy Convers. Manag. 2021, 235, 113991. [Google Scholar] [CrossRef]
- Joshi, V.; Jaiman, R.K. A variationally bounded scheme for delayed detached eddy simulation: Application to vortex-induced vibration of offshore riser. Comput. Fluids 2017, 157, 84–111. [Google Scholar] [CrossRef]
- Chen, D.Y.; Abbas, L.K.; Wang, G.P.; Rui, X.T.; Lu, W.J. Suppression of vortex-induced vibration features of a flexible riser by adding helical strakes. J. Hydrodyn. 2018, 31, 622–631. [Google Scholar] [CrossRef]
- Ishihara, T.; Li, T. Numerical study on suppression of vortex-induced vibration of circular cylinder by helical wires. J. Wind Eng. Ind. Aerodyn. 2020, 197, 104081. [Google Scholar] [CrossRef]
- Zhu, H.; Liu, W.; Zhou, T. Direct numerical simulation of the wake adjustment and hydrodynamic characteristics of a circular cylinder symmetrically attached with fin-shaped strips. Ocean Eng. 2020, 195, 106756. [Google Scholar] [CrossRef]
- Lysenko, D.A.; Ertesvåg, I.S.; Rian, K.E. Large-eddy simulation of the flow over a circular cylinder at Reynolds number 3900 using the OpenFOAM toolbox. Flow Turbul. Combust. 2012, 89, 491–518. [Google Scholar] [CrossRef]
- Zhao, H.; Chakma, P.; Jeon, J.; Lee, Y. Numerical Study on the Effect of the Rotating Ratio of Circular Cylinder on Wake Vortex Suppression using OpenFOAM. In Proceedings of the Korean Society of Mechanical Engineers KSME Annual Meeting, Jeju, Republic of Korea, 22–24 June 2022; p. 867. [Google Scholar]
- Pope, S.B. Turbulent Flows; Cambridge University Press: Cambridge, MA, USA, 2000. [Google Scholar]
- OPENCFD. OpenFOAM v2012 Userguide. 2020. Available online: https://www.openfoam.com/documentation/guides/v2112/doc/ (accessed on 1 February 2021).
- Ducros, F.; Nicoud, F.; Poinsot, T. Wall-adapting local eddy-viscosity models for simulations in complex geometries. Numer. Methods Fluid Dyn. VI 1998, 293–299. Available online: https://www.researchgate.net/publication/248366844_Wall-Adapting_Local_Eddy-Viscosity_Models_for_Simulations_in_Complex_Geometries (accessed on 29 September 2020).
- Sagaut, P. Large Eddy Simulation for Incompressible Flows: An Introduction; Springer Science & Business Media: Berlin/Heidelberg, Germany, 2006. [Google Scholar]
- Smagorinsky, J. General circulation experiments with the primitive equations: I. The basic experiment. Mon. Weather Rev. 1963, 91, 99–164. [Google Scholar] [CrossRef]
- Zdravkovich, M.M.; Bearman, P.W. Flow around Circular Cylinders—Volume 1: Fundamentals; Oxford University Press: Oxford, UK, 1998. [Google Scholar]
- Kravchenko, A.G.; Moin, P. Numerical studies of flow over a circular cylinder at Re D = 3900. Phys. Fluids 2000, 12, 403–417. [Google Scholar] [CrossRef]
- Parnaudeau, P.; Carlier, J.; Heitz, D.; Lamballais, E. Experimental and numerical studies of the flow over a circular cylinder at Reynolds number 3900. Phys. Fluids 2008, 20, 085101. [Google Scholar] [CrossRef]
- Ong, L.; Wallace, J. The velocity field of the turbulent very near wake of a circular cylinder. Exp. Fluids 1996, 20, 441–453. [Google Scholar] [CrossRef]
- Lourenço, L.M.; Shih, C. Characteristics of the Plane Turbulent Near Wake of a Circular Cylinder. 1993, Quoted in Kravchenko, A.G.; Moin, P. Numerical studies of flow over a circular cylinder at Re D = 3900. Phys. Fluids 2000, 12, 403–417. [Google Scholar]
- Norberg, C. An experimental investigation of the flow around a circular cylinder: Influence of aspect ratio. J. Fluid Mech. 1994, 258, 287–316. [Google Scholar] [CrossRef]






| Case | Investigate Method | Re | Cylinder Type | Strake Start | Strake Pitch | Strake Shape | Issues |
|---|---|---|---|---|---|---|---|
| Simantiras [10] | Exp * | ~ | strake | 3 | 5 D and 15 D | - | incidence angle |
| Lubbad [11] | Exp | - | strake | 1~ 3 | 2.5 D~10 D | cylinder | - |
| Assi [12] | Exp | ~ | strake | 3 | 5 D | rectangular | - |
| Sukarnoor [14] | Exp | ~ | strake | 3 | 10 D | rectangular | tandem |
| Zhou [15] | Exp | ~ | strake | 3 | 10 D | rectangular | - |
| Wang [16] | Num * | ~ | bare | - | - | - | LES |
| Wang [17] | Num | bare | - | - | - | LES | |
| Santillan [18] | Exp and Num | 1.13 | bare | - | |||
| Kharazmi [21] | Num | strake | 2~4 | 1.69 D~6.74 D | rectangular | DES | |
| Chen [26] | Exp and Num | 200~ | strake | 1~ 3 | 5 D~15 D | triangle | RANS |
| Ishihara [27] | Num | ~ | strake | 4 | 8 D | wire | LES |
| Zhu [28] | Num | 60~500 | bare | - | - | - | DNS |
| Lysenko [29] | Num | bare | - | - | - | LES | |
| Current | Num | bare and strake | 2~4 | 5 D~20 D | rectangular | LES |
| Group | Case | Start | Pitch | Reynolds No. |
|---|---|---|---|---|
| Strake Start | Bare | 0 | 5 D | 9400 |
| 2-Start | 2 | 5 D | 9400 | |
| 3-Start | 3 | 5 D | 9400 | |
| 4-Start | 4 | 5 D | 9400 | |
| Strake Pitch | SP5 | 3 | 5 D | 9400 |
| SP10 | 3 | 10 D | 9400 | |
| SP15 | 3 | 15 D | 9400 | |
| SP20 | 3 | 20 D | 9400 |
Disclaimer/Publisher’s Note: The statements, opinions and data contained in all publications are solely those of the individual author(s) and contributor(s) and not of MDPI and/or the editor(s). MDPI and/or the editor(s) disclaim responsibility for any injury to people or property resulting from any ideas, methods, instructions or products referred to in the content. |
© 2023 by the authors. Licensee MDPI, Basel, Switzerland. This article is an open access article distributed under the terms and conditions of the Creative Commons Attribution (CC BY) license (https://creativecommons.org/licenses/by/4.0/).
Share and Cite
Zhao, H.; Lee, Y.-W. Visualization and Parametric Study on Vortex Shedding Suppression of Cylindrical Structures in Offshore Engineering Using Large Eddy Simulation. J. Mar. Sci. Eng. 2023, 11, 1090. https://doi.org/10.3390/jmse11051090
Zhao H, Lee Y-W. Visualization and Parametric Study on Vortex Shedding Suppression of Cylindrical Structures in Offshore Engineering Using Large Eddy Simulation. Journal of Marine Science and Engineering. 2023; 11(5):1090. https://doi.org/10.3390/jmse11051090
Chicago/Turabian StyleZhao, Hongwu, and Yeon-Won Lee. 2023. "Visualization and Parametric Study on Vortex Shedding Suppression of Cylindrical Structures in Offshore Engineering Using Large Eddy Simulation" Journal of Marine Science and Engineering 11, no. 5: 1090. https://doi.org/10.3390/jmse11051090
APA StyleZhao, H., & Lee, Y.-W. (2023). Visualization and Parametric Study on Vortex Shedding Suppression of Cylindrical Structures in Offshore Engineering Using Large Eddy Simulation. Journal of Marine Science and Engineering, 11(5), 1090. https://doi.org/10.3390/jmse11051090

