Sign in to use this feature.

Years

Between: -

Subjects

remove_circle_outline
remove_circle_outline
remove_circle_outline
remove_circle_outline
remove_circle_outline

Journals

Article Types

Countries / Regions

Search Results (5)

Search Parameters:
Keywords = helical strake

Order results
Result details
Results per page
Select all
Export citation of selected articles as:
22 pages, 1149 KB  
Review
A Review of Influencing and Controlling Vortex-Induced Vibrations for Deepwater Risers
by Chao Yan, Qi Feng and Shuangchun Yang
Processes 2025, 13(8), 2353; https://doi.org/10.3390/pr13082353 - 24 Jul 2025
Cited by 2 | Viewed by 2358
Abstract
With the expansion of offshore oil and gas resources to deepwater areas, the problem of the vortex-induced vibration of marine risers, as a key structure connecting offshore platforms and subsea wellheads, has become increasingly prominent. At present, there are few reviews on the [...] Read more.
With the expansion of offshore oil and gas resources to deepwater areas, the problem of the vortex-induced vibration of marine risers, as a key structure connecting offshore platforms and subsea wellheads, has become increasingly prominent. At present, there are few reviews on the vortex-induced vibration of flexible risers. This review provides a detailed discussion of vortex-induced vibration in marine risers. This review begins with the engineering background. It then systematically analyzes the key factors that influence VIV response. These factors include the riser’s structural parameters, such as aspect ratio and mass ratio. They also include the external fluid environment. Next, this review evaluates current VIV suppression strategies by analyzing specific experimental results. It compares the effectiveness and trade-offs of passive techniques. It also examines the potential and limitations of active methods, which often use smart materials, like piezoelectrics. This study highlights the major challenges in VIV research today. These challenges relate to prediction accuracy and suppression efficiency. Key problems include model uncertainty at high Reynolds numbers and the practical implementation of suppression devices in engineering systems. Finally, this paper presents an outlook on the future directions. It concludes that an intelligent, full-lifecycle integrity management system is the best path forward. Full article
(This article belongs to the Section Materials Processes)
Show Figures

Figure 1

18 pages, 23296 KB  
Article
Visualization and Parametric Study on Vortex Shedding Suppression of Cylindrical Structures in Offshore Engineering Using Large Eddy Simulation
by Hongwu Zhao and Yeon-Won Lee
J. Mar. Sci. Eng. 2023, 11(5), 1090; https://doi.org/10.3390/jmse11051090 - 22 May 2023
Cited by 1 | Viewed by 3539
Abstract
Cylindrical structures are widely used in offshore and marine engineering, but they may suffer from vortex-induced vibration under the influence of ocean or wave currents, which can lead to severe fatigue damage. In this study, we applied the open-source software Open-Source Field Operation [...] Read more.
Cylindrical structures are widely used in offshore and marine engineering, but they may suffer from vortex-induced vibration under the influence of ocean or wave currents, which can lead to severe fatigue damage. In this study, we applied the open-source software Open-Source Field Operation and Manipulation (OpenFOAM) to investigate the characteristics of fluid flow around offshore cylindrical structures, taking into account the effect of helical strake parameters, such as pitch and strake number. The aim of this study is to explore the possibility of suppressing vortex shedding with different helical strake parameters. Numerical simulation results demonstrated that attaching a helical strake to the bare cylinder destroyed vortex shedding in offshore cylindrical structures. The vortex visualization showed that the helical strake destroyed the three-dimensional vortex structures. Moreover, the lift coefficient data showed that the vibration frequency of the cylinder decreased after attaching the helical strake, indicating that the vortex-induced vibrations on the wake flow tended to fade. The results suggest that the helical strake is a promising option for suppressing the wake vortex shedding of cylindrical structures in offshore engineering. Full article
(This article belongs to the Special Issue Advances in Marine Applications of Computational Fluid Dynamics)
Show Figures

Figure 1

24 pages, 11859 KB  
Article
Wind-Induced Vibration and Vibration Suppression of High-Mast Light Poles with Spiral Helical Strakes
by Meng Zhang, Tianxiang Li, Yang Wang, Yizhuo Chen and Guifeng Zhao
Buildings 2023, 13(4), 907; https://doi.org/10.3390/buildings13040907 - 29 Mar 2023
Cited by 4 | Viewed by 4154
Abstract
In this study, three-dimensional finite element models of high-mast light poles without and with spiral helical strakes were built using ANSYS software to investigate their vibration characteristics in a wind environment. Based on a two-way, fluid–structure interaction simulation method, the dynamic responses of [...] Read more.
In this study, three-dimensional finite element models of high-mast light poles without and with spiral helical strakes were built using ANSYS software to investigate their vibration characteristics in a wind environment. Based on a two-way, fluid–structure interaction simulation method, the dynamic responses of the high-mast light poles under different windspeeds were analyzed. The results indicate that the high-mast light pole structure without spiral helical strakes may suffer from evident vortex-induced vibration, which is dominated by the third vibration mode in the windspeed range of 5~8 m/s, whereas the light pole with spiral helical strakes had no obvious vortex-induced vibration. The external helical strakes can amplify the along-wind response of the light pole to a certain extent, while significantly decreasing its crosswind vortex-induced response. The vibration suppression effect is better when the value of pitch P is small. Practically, if P = 7.5 D (D is the diameter of the dominant vibration mode), the vibration suppression effect is best. On the other hand, if the value of pitch P remains constant, the vibration suppression effect increases with the height H of the outer helical strakes. However, excessively high outer helical strakes may also increase the along-wind response of the structure. In general, when spiral helical strakes are used in design, the recommended values of P and H are P = 7.5 D and H = 0.20 D. Full article
Show Figures

Figure 1

18 pages, 5106 KB  
Article
Experimental Research on Vortex-Induced Force Characteristics of Flexible Riser with Buoyancy Module and Strakes
by Lusheng Jia, Yi Liu, Mengmeng Zhang, Shixiao Fu and Haojie Ren
Appl. Sci. 2022, 12(12), 6180; https://doi.org/10.3390/app12126180 - 17 Jun 2022
Cited by 4 | Viewed by 2730
Abstract
In this paper, the vortex-induced force characteristics of a flexible riser with buoyancy modules and strakes were experimentally investigated. The strain information caused by vortex-induced vibration (VIV) at different cross-sections on the flexible cylinder was measured in the model test. Combined with the [...] Read more.
In this paper, the vortex-induced force characteristics of a flexible riser with buoyancy modules and strakes were experimentally investigated. The strain information caused by vortex-induced vibration (VIV) at different cross-sections on the flexible cylinder was measured in the model test. Combined with the modal superposition method and inverse analysis method for vortex-induced force, the vortex-induced forces on the flexible cylinder were inverted, including the excitation force in phase with velocity and added mass force in phase with acceleration. Then, the excitation coefficients and added mass coefficients at each time step were identified via a least-squares method. The results show that the added mass coefficient and excitation coefficient of the flexible riser covering buoyancy modules present a “sawtooth” distribution along the length of the pipe, while the total mass (sum of structural mass and added mass) is consistent along the pipe. The strake has little effect on the added mass coefficient of the buoyancy module and the bare pipe section, but when it covers the bare pipe section, the excitation coefficient of the bare pipe section decreases to a negative value, showing a damping effect. In addition, when the bare pipe section of the flexible riser is completely covered with helical strakes, only the vortex-shedding frequency component of the buoyancy modules remains in the VIV response of the pipe. The reason for this phenomenon is that helical strakes completely suppress the vortex shedding of the bare pipe section, resulting in the reduction in the VIV excitation energy of the original bare pipe section to 0. Full article
(This article belongs to the Section Marine Science and Engineering)
Show Figures

Figure 1

19 pages, 7436 KB  
Article
Mitigation of Vortex-Induced Vibration of Cylinders Using Cactus-Shaped Cross Sections in Subcritical Flow
by Jialu Wang, Fabo Chen, Chen Shi and Jiuzheng Yu
J. Mar. Sci. Eng. 2021, 9(3), 292; https://doi.org/10.3390/jmse9030292 - 7 Mar 2021
Cited by 7 | Viewed by 3812
Abstract
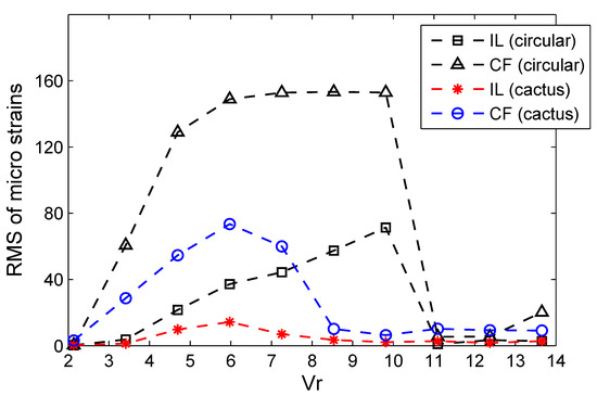
Flexible cylinders, such as marine risers, often experience sustained vortex-induced vibrations (VIVs). Installing helical strakes on a riser is the most widely used technique to mitigate VIVs. This study was inspired by the giant Saguaro Cacti which can withstand strong wind with a [...] Read more.
Flexible cylinders, such as marine risers, often experience sustained vortex-induced vibrations (VIVs). Installing helical strakes on a riser is the most widely used technique to mitigate VIVs. This study was inspired by the giant Saguaro Cacti which can withstand strong wind with a shallow root system. In this study, numerical simulations of flow past a stationary cylinder of a cactus-shaped cross-section in a two-dimensional flow field at a subcritical Reynolds number of 3900 were performed. Results show that cylinders of a cactus-shaped cross-section have a lower lift coefficient without increasing drag compared to those of a circular cylinder. VIV experiments on a single flexible pipe as well as on a set of two tandem-arranged flexible pipes were conducted at different reduced velocities to investigate the effects of the streamwise spacing and wake of the cactus-like body shape on VIV mitigation. Experimental results show that the cactus-like body shape can mitigate VIV responses of the cylinder at upstream position with no cost of increased drag; however, similar to helical strakes, the efficiency of VIV mitigation for the cylinder at downstream position is reduced. Although the cactus-like body shapes tested in this study were not optimized for oscillation suppression, still this study suggests that modification of the cross-sectional shape to a well-designed cactus-like shape has potentials to be used as an alternative technology to mitigate VIV of marine risers. Full article
(This article belongs to the Section Ocean Engineering)
Show Figures

Figure 1

Back to TopTop