When Does a Light Sphere Break Ice Plate Most by Using Its Net Buoyance?
Abstract
1. Introduction
2. Theory
3. Experimental Methods
3.1. Ice Specimen Preparation
3.2. Experimental Setup
4. Result and Discussion
4.1. Case Study
4.2. The Effect of Dimensionless Initial Submergence Depth on Ice Plate Damage
4.3. The effect of Dimensionless Ice Thickness on Ice Plate Damage
4.4. The Effect of Dimensionless Density on Ice Plate Damage
5. Conclusions
- (1)
- Impacted by the free-rising buoyant sphere, the ice plate was broken. In some cases, a conical crevasse was formed under the reflected tensile wave at the top surface of the ice plate. A typical damage mode of the ice plate under this impact was ‘radial cracks, circumferential cracks, debris splashing and ice plate breakup’ in sequence. As a result, four damage patterns were concluded as “RCs”, “RCs⊕CCs”, “debris splashing” and “ice-plate breakup” patterns, with the damage degree of the ice plate rising;
- (2)
- Since it was impossible to directly measure the ice plate at the moment of impact of the sphere, we took the probability of the breakup of ice plate as a criterion and tried to link it with the kinetic energy and momentum of the sphere, which were two controversial parameters in determining the damage degree of ice. For the working conditions described in this paper, we found that when the kinetic energy of the sphere peaks at = 0.4, the probability of the ice plate breakup is the highest, which is 91.7%. It was found that the kinetic energy of the sphere, rather than momentum at the moment of collision, dominates the damage degree of the ice plate. The greater the kinetic energy of the sphere, the more severely the ice plate was damaged. It was considered that part of the kinetic energy of the sphere was transformed into the fracture energy of the ice plate as well as the kinetic and potential energies of ice debris and fragments;
- (3)
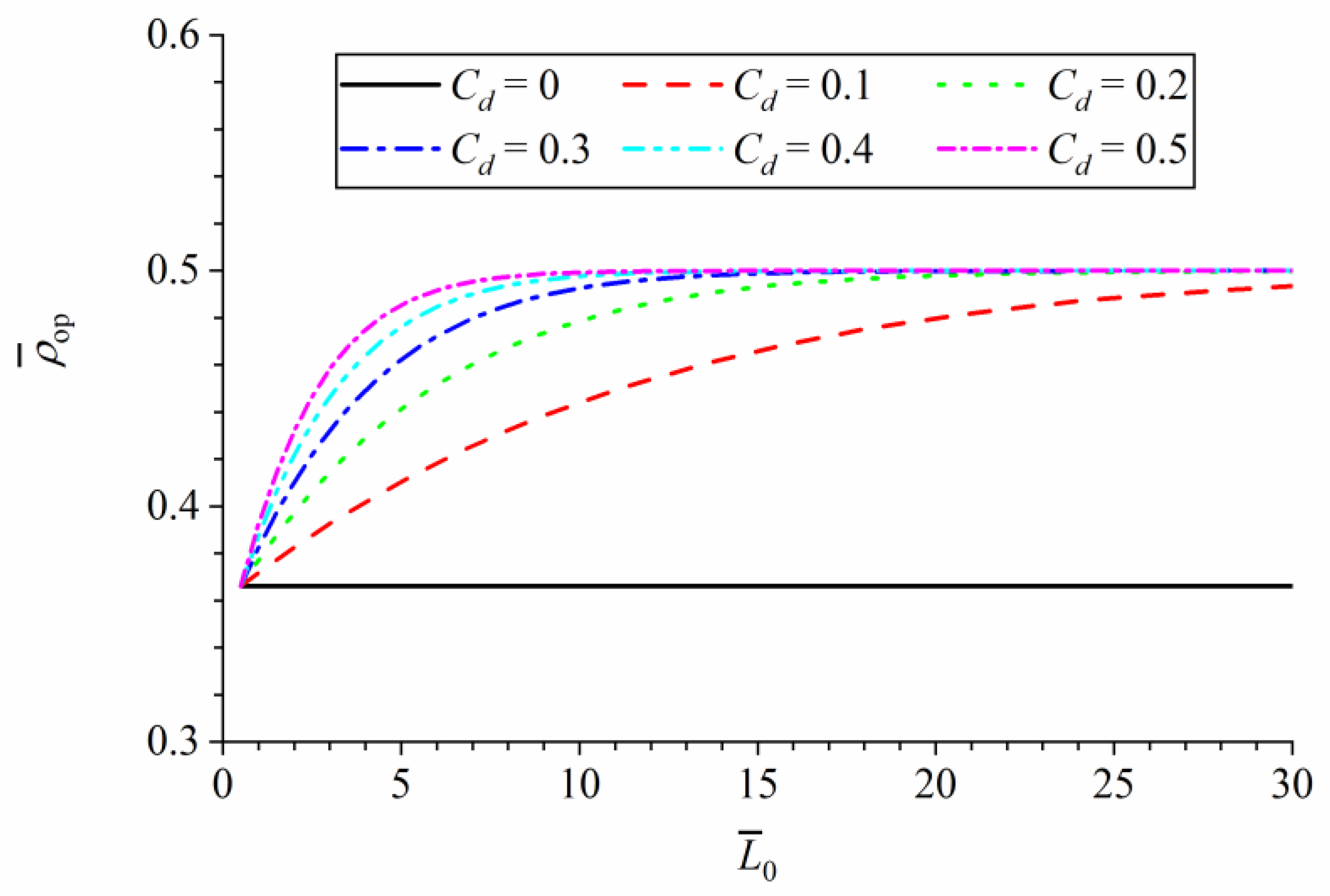
- The optimal density of the sphere damaged the ice plate the most severely. can be estimated by theoretical analysis of the kinetic energy of the sphere. It was found that depends on the viscous effect of the fluid to a great extent. If the viscous effect is neglected, or for a non-viscous case, equals to (or 0.366) identically. Otherwise, declines along with the decrease of at a given , and rises along with the increase of at a given , approaching to 0.5 for a very large in the end.
Author Contributions
Funding
Institutional Review Board Statement
Informed Consent Statement
Data Availability Statement
Conflicts of Interest
Nomenclature
| Parameters | |
| cross-sectional area; | |
| drag coefficient; | |
| drag coefficient for unsteady motion; | |
| added-mass coefficient; | |
| diameter of the sphere; | |
| buoyant force; | |
| drag force, | |
| gravity force; | |
| acceleration of gravity; | |
| thickness of the ice plate; | |
| initial submergence depth of the sphere; | |
| mass of the sphere; | |
| added mass of the sphere; | |
| velocity of the sphere; | |
| velocity of the sphere when it contacts the ice plate; | |
| volume of the sphere; | |
| displacement of the rising buoyant sphere; | |
| density of the sphere; | |
| density of water; | |
| Dimensionless Parameters | |
| dimensionless kinetic energy of the sphere just before contacting the ice plate; | |
| dimensionless thickness of the ice plate; | |
| dimensionless distance between the center of the sphere and the wall; | |
| dimensionless initial submergence depth of the sphere; | |
| dimensionless momentum of the sphere just before contacting the ice plate; | |
| initial time when the sphere just contacted the bottom surface of the ice plate; | |
| dimensionless density of the sphere; | |
| an optimal dimensionless density of the sphere to break the ice plate most | |
References
- Thomson, J.; Rogers, W.E. Swell and sea in the emerging Arctic Ocean. Geophys. Res. Lett. 2014, 41, 3136–3140. [Google Scholar] [CrossRef]
- Rogers, W.E.; Thomson, J.; Shen, H.H.; Doble, M.J.; Wadhams, P.; Cheng, S. Dissipation of wind waves by pancake and frazil ice in the autumn Beaufort Sea. J. Geophys. Res. Oceans 2016, 121, 7991–8007. [Google Scholar] [CrossRef]
- Li, Z.; Ringsberg, J.W.; Rita, F. A voyage planning tool for ships sailing between Europe and Asia via the Arctic. Ships Offshore Struct. 2020, 15, S10–S19. [Google Scholar] [CrossRef]
- Ni, B.-Y.; Han, D.-F.; Di, S.-C.; Xue, Y.-Z. On the development of ice-water-structure interaction. J. Hydrodyn. 2020, 32, 629–652. [Google Scholar] [CrossRef]
- Zemlyak, V.; Pogorelova, A.; Kozin, V. Motion of a submerged body in a near-surface water environment. Int. J. Nav. Arch. Ocean Eng. 2021, 14, 100433. [Google Scholar] [CrossRef]
- Cho, S.-R.; Lee, S. A prediction method of ice breaking resistance using a multiple regression analysis. Int. J. Nav. Arch. Ocean Eng. 2015, 7, 708–719. [Google Scholar] [CrossRef]
- Huang, Y.; Sun, J.; Ji, S.; Tian, Y. Experimental study on the resistance of a transport ship navigating in level ice. J. Mar. Sci. Appl. 2016, 15, 105–111. [Google Scholar] [CrossRef]
- Skripnuk, D.F.; Iliyushchenko, I.O.; Kulik, S.V.; Stepanova, M.M. Analysis of the current state of the Northern Sea Route and the potential development of the icebreaker fleet. IOP Conf. Ser. Earth Environ. Sci. 2020, 539, 012129. [Google Scholar] [CrossRef]
- Zheng, X.; Tian, Z.; Xie, Z.; Zhang, N. Numerical Study of the Ice Breaking Resistance of the Icebreaker in the Yellow River Through Smoothed-Particle Hydrodynamics. J. Mar. Sci. Appl. 2022, 21, 1–14. [Google Scholar] [CrossRef]
- Bukatov, A.E.; Zharkov, V.V. Influence of a floating elastic plate on the surface effects of internal waves generated by motion of a source in a non-homogeneous liquid. Fluid Dyn. 1995, 30, 254–260. [Google Scholar] [CrossRef]
- Zemlyak, V.L.; Kozin, V.M.; Baurin, N.O.; Petrosyan, G.V. Influence of Peculiarities of the Form of a Submarine Vessel on the Parameters of Generated Waves in the Ice Motion. In Proceedings of the 24th International Ocean and Polar Engineering Conference, Busan, Korea, 15–20 June 2014. [Google Scholar]
- Pogorelova, A.V.; Zemlyak, V.L.; Kozin, V.M. Moving of a submarine under an ice cover in fluid of finite depth. J. Hydrodyn. 2018, 31, 562–569. [Google Scholar] [CrossRef]
- De Graaf, K.L.; Penesis, I.A.; Brandner, P. Modelling of seismic airgun bubble dynamics and pressure field using the Gilmore equation with additional damping factors. Ocean Eng. 2014, 76, 32–39. [Google Scholar] [CrossRef]
- Wu, Q.-G.; Wang, Z.-C.; Ni, B.-Y.; Yuan, G.-Y.; Semenov, Y.A.; Li, Z.-Y.; Xue, Y.-Z. Ice-Water-Gas Interaction during Icebreaking by an Airgun Bubble. J. Mar. Sci. Eng. 2022, 10, 1302. [Google Scholar] [CrossRef]
- Yuan, G.-Y.; Ni, B.-Y.; Wu, Q.-G.; Xue, Y.-Z.; Han, D.-F. Ice breaking by a high-speed water jet impact. J. Fluid Mech. 2022, 934, A1. [Google Scholar] [CrossRef]
- Ye, L.Y.; Guo, C.Y.; Wang, C.; Chang, X. Peridynamic solution for submarine surfacing through ice. Ships Offshore Struct. 2019, 15, 535–549. [Google Scholar] [CrossRef]
- George, J.C.; Clark, C.; Carroll, G.M.; Ellison, W.T. Observations on the Ice-Breaking and Ice Navigation Behavior of Migrating Bowhead Whales (Balaena mysticetus) near Point Barrow, Alaska, Spring 1985. Arctic 1989, 42, 24–30. [Google Scholar] [CrossRef]
- Beltaos, S. Collapse of floating ice covers under vertical loads: Test data vs. theory. Cold Reg. Sci. Technol. 2002, 34, 191–207. [Google Scholar] [CrossRef]
- Kerr, A.D. The bearing capacity of floating ice plates subjected to static or quasi-static loads. J. Glaciol. 1976, 17, 229–268. [Google Scholar]
- Shapiro, G.S. Design of a plate conceived as an infinite band resting upon elastic foundation. Comptes Rendus De L’académie Des Sci. De l’URSS 1942, 37, 202–204. [Google Scholar]
- Timoshenko, S.; MacCullough, G.M. Elements of Strength of Materials; D. Van Nostrand: Toronto, ON, Canada, 1940. [Google Scholar]
- Assur, A. Airfields on Floating Ice Sheets for Routine and Emergency Operations (Sipre Report, 36); Corps of Engineers, U.S. Army, Snow Ice and Permafrost Research Establishment: Wilmette, IL, USA, 1956. [Google Scholar]
- Frankenstein, G.E. Load Test Data for Lake Ice Sheets; U.S. Army Cold Regions Research and Engineering Laboratory: Wilmette, IL, USA, 1963. [Google Scholar]
- Field, J.E. ELSI conference: Invited lecture: Liquid impact: Theory, experiment, applications. Wear 1999, 233, 1–12. [Google Scholar] [CrossRef]
- Bowden, F.P.; Brunton, J.H. The deformation of solids by liquid impact at supersonic speeds. Proc. R. Soc. Lond. Ser. A Math. Phys. Sci. 1961, 263, 433–450. [Google Scholar] [CrossRef]
- Bouzid, S.; Nyoungue, A.; Azari, Z.; Bouaouadja, N.; Pluvinage, G. Fracture criterion for glass under impact loading. Int. J. Impact Eng. 2001, 25, 831–845. [Google Scholar] [CrossRef]
- Zhang, Y.; Wang, Q.; Han, D.; Xue, Y.; Lu, S.; Wang, P. Dynamic splitting tensile behaviours of distilled-water and river-water ice using a modified SHPB setup. Int. J. Impact Eng. 2020, 145, 103686. [Google Scholar] [CrossRef]
- Woodward, R.L.; Baxter, B.J.; Pattie, S.D.; McCarthy, P. Impact fragmentation of brittle materials. Le J. Phys. Colloq. 1991, 1, C3–C259. [Google Scholar] [CrossRef]
- Dooge, D.; Singh, S.; Masiulaniec, K.; Dewitt, K. Experimental assessment of airframe damage due to impacting ice. In Proceedings of the 31st Aerospace Sciences Meeting, Reno, NV, USA, 11–14 January 1993. [Google Scholar]
- Kim, H.; Welch, D.A.; Kedward, K.T. Experimental investigation of high velocity ice impacts on woven carbon/epoxy com-posite panels. Composites Part A 2003, 34, 25–41. [Google Scholar] [CrossRef]
- Carney, K.S.; Benson, D.J.; DuBois, P.; Lee, R. A phenomenological high strain rate model with failure for ice. Int. J. Solids Struct. 2006, 43, 7820–7839. [Google Scholar] [CrossRef]
- Combescure, A.; Chuzel-Marmot, Y.; Fabis, J. Experimental study of high-velocity impact and fracture of ice. Int. J. Solids Struct. 2011, 48, 2779–2790. [Google Scholar] [CrossRef]
- Pernas-Sánchez, J.; Pedroche, D.A.; Varas, D.; López-Puente, J.; Zaera, R. Numerical modeling of ice behavior under high velocity impacts. Int. J. Solids Struct. 2012, 49, 1919–1927. [Google Scholar] [CrossRef]
- Xue, L.; Coble, C.R.; Lee, H.; Yu, D.; Chaparala, S.; Park, S. Dynamic analysis of thin glass under ball drop impact with new metrics. In Proceedings of the International Electronic Packaging Technical Conference and Exhibition, Garden Grove, CA, USA, 16–18 July 2013. [Google Scholar]
- Knut, A.; Ocaña Atencio, R.E.; Sandig, F.; Pankrath, H.; Thiele, R.; Kirstein, J. Influence of the momentum and the energy on the performance of dynamic compaction technologies–recent field and laboratory tests. In Proceedings of the XVII European Conference on Soil Mechanics and Geotechnical Engineering, Reykjavik, Iceland, 1–7 September 2019. [Google Scholar]
- Kozlov, D. Mathematical model of transverse impact of a solid spherical body on the ice cover surface. In Proceedings of the 3rd International Scientific Conference on Polar Mechanics, Vladivostok, Russia, 27–30 September 2016; pp. 115–122. [Google Scholar]
- Orlov, M.; Bogomolov, G. Study of the behavior of ice under shock and explosive loading. In Proceedings of the 3rd In-ternational Scientific Conference on Polar Mechanics, Vladivostok, Russia, 27–30 September 2016; pp. 192–202. [Google Scholar]
- Ren, H.; Zhao, X. Numerical simulation for ice breaking and water entry of sphere. Ocean Eng. 2021, 243, 110198. [Google Scholar] [CrossRef]
- Wang, C.; Wang, J.; Wang, C.; Guo, C.; Zhu, G. Research on vertical movement of cylindrical structure out of water and breaking through ice layer based on S-ALE method. J. Theor. App. Mech. Pol. 2021, 53, 3110–3123. [Google Scholar]
- Batchelor, C.K. An Introduction to Fluid Dynamics; Cambridge University Press: Cambridge, UK, 2000. [Google Scholar]
- Ni, B.Y.; Wu, G.X. Numerical simulation of water exit of an initially fully submerged buoyant spheroid in an axisymmetric flow. Fluid Dyn. Res. 2017, 49, 045511. [Google Scholar] [CrossRef]
- Semenov, Y.A. Nonlinear flexural-gravity waves due to a body submerged in the uniform stream. Phys. Fluids 2021, 33, 052115. [Google Scholar] [CrossRef]
- Kharlamov, A.A.; Chára, Z.; Vlasak, P. Hydraulic formulae for the added masses of an impermeable sphere moving near a plane wall. J. Eng. Math. 2007, 62, 161–172. [Google Scholar] [CrossRef]
- Egorov, A.I. Riccati Equations (Russian Academic Monographs); Pensoft Publishers: Moscow, Russia, 2007; Volume 5. [Google Scholar]
- Gold, L.W. Engineering Properties of Fresh-Water Ice. J. Glaciol. 1977, 19, 197–212. [Google Scholar] [CrossRef]
- Schulson, E.M. The structure and mechanical behavior of ice. Jom 1999, 51, 21–27. [Google Scholar] [CrossRef]
- Timco, G.W.; Weeks, W.F. A review of the engineering properties of sea ice. Cold Reg. Sci. Technol. 2010, 60, 107–129. [Google Scholar] [CrossRef]
- Michel, B.; Ramseier, R.O. Classification of river and lake ice. Can. Geotech. J. 1971, 8, 36–45. [Google Scholar] [CrossRef]
- Ashton, G.D. River and Lake Ice Engineering, 2nd ed.; Water Resources Publications: Lansing, MI, USA, 1986; pp. 166–174. [Google Scholar]
- Rogozhnikova, E.G.; Kozin, V.M.; Zemlyak, V.L. Experimental Studies of Influence of the Distance between Loads on the Nature of Destruction of an Ice Cover when Paired Loads are Moving over the Ice Cover. In Proceedings of the 29th International Ocean and Polar Engineering Conference, Honolulu, HI, USA, 16–21 June 2019. [Google Scholar]
- Murdza, A.; Schulson, E.M.; Renshaw, C.E. Strengthening of columnar-grained freshwater ice through cyclic flexural loading. J. Glaciol. 2020, 66, 556–566. [Google Scholar] [CrossRef]
- Chen, S.; Gad, E.; Zhang, L.; Lam, N.; Xu, S.; Lu, G. Experiments on an ice ball impacting onto a rigid target. Int. J. Impact Eng. 2022, 167, 104281. [Google Scholar] [CrossRef]
- Ni, B.Y.; Pan, Y.T.; Yuan, G.Y.; Xue, Y.Z. An experimental study on the interaction between a bubble and an ice floe with a hole. Cold Reg. Sci. Technol. 2021, 187, 103281. [Google Scholar] [CrossRef]
- Krishnaiyar, N.C. CXI. An Experimental Determination of the Inertia of a Sphere Vibrating in a Liquid. Lond. Edinb. Dublin Philos. Mag. J. Sci. 1923, 46, 1049–1053. [Google Scholar] [CrossRef]
- Odar, F.; Hamilton, W.S. Forces on a sphere accelerating in a viscous fluid. J. Fluid Mech. 1964, 18, 302–314. [Google Scholar] [CrossRef]
- Mei, R. Flow due to an oscillating sphere and an expression for unsteady drag on the sphere at finite Reynolds number. J. Fluid Mech. 1994, 270, 133–174. [Google Scholar] [CrossRef]
- Karanfilian, S.K.; Kotas, T.J. Drag on a sphere in unsteady motion in a liquid at rest. J. Fluid Mech. 1978, 87, 85–96. [Google Scholar] [CrossRef]
- Schlichting, H.; Kestin, J. Boundary Layer Theory, 9th ed.; Springer: New York, NY, USA, 1961. [Google Scholar]
- Bird, R.B.; Stewart, W.E.; Lightfoot, E.N. Transport Phenomena, 2nd ed.; John Wiley & Sons: Hoboken, NJ, USA, 2012. [Google Scholar]
- Morrison, F.A. Data Correlation for Drag Coefficient for Sphere; Department of Chemical Engineering, Michigan Technological University: Houghton, MI, USA, 2013; p. 49931. [Google Scholar]
- Perry, R.H.; Chilton, C.H. Perry’s Chemical Engineers’ Handbook, 5th ed.; McGraw-Hill: Kogakusha, Tokyo, 1973. [Google Scholar]
- Temkin, S.; Kim, S.S. Droplet motion induced by weak shock waves. J. Fluid Mech. 1980, 96, 133–157. [Google Scholar] [CrossRef]
- Temkin, S.; Mehta, H.K. Droplet drag in an accelerating and decelerating flow. J. Fluid Mech. 1982, 116, 297–313. [Google Scholar] [CrossRef]
- Bowden, F.P.; Field, J.E. The brittle fracture of solids by liquid impact, by solid impact, and by shock. Proc. R. Soc. Lond. Ser. A Math. Phys. Sci. 1964, 282, 331–352. [Google Scholar] [CrossRef]
- Bazant, Z.P.; Kim, J.J.H.; Li, Y.N. Part-through bending cracks in sea ice plates: Mathematical modeling. J. Appl Mech. T ASME 1995, 207, 97–105. [Google Scholar]





















Disclaimer/Publisher’s Note: The statements, opinions and data contained in all publications are solely those of the individual author(s) and contributor(s) and not of MDPI and/or the editor(s). MDPI and/or the editor(s) disclaim responsibility for any injury to people or property resulting from any ideas, methods, instructions or products referred to in the content. |
© 2023 by the authors. Licensee MDPI, Basel, Switzerland. This article is an open access article distributed under the terms and conditions of the Creative Commons Attribution (CC BY) license (https://creativecommons.org/licenses/by/4.0/).
Share and Cite
Ni, B.-Y.; Tan, H.; Di, S.-C.; Zhang, C.-X.; Li, Z.; Huang, L.; Xue, Y.-Z. When Does a Light Sphere Break Ice Plate Most by Using Its Net Buoyance? J. Mar. Sci. Eng. 2023, 11, 289. https://doi.org/10.3390/jmse11020289
Ni B-Y, Tan H, Di S-C, Zhang C-X, Li Z, Huang L, Xue Y-Z. When Does a Light Sphere Break Ice Plate Most by Using Its Net Buoyance? Journal of Marine Science and Engineering. 2023; 11(2):289. https://doi.org/10.3390/jmse11020289
Chicago/Turabian StyleNi, Bao-Yu, Hao Tan, Shao-Cheng Di, Chen-Xi Zhang, Zhiyuan Li, Luofeng Huang, and Yan-Zhuo Xue. 2023. "When Does a Light Sphere Break Ice Plate Most by Using Its Net Buoyance?" Journal of Marine Science and Engineering 11, no. 2: 289. https://doi.org/10.3390/jmse11020289
APA StyleNi, B.-Y., Tan, H., Di, S.-C., Zhang, C.-X., Li, Z., Huang, L., & Xue, Y.-Z. (2023). When Does a Light Sphere Break Ice Plate Most by Using Its Net Buoyance? Journal of Marine Science and Engineering, 11(2), 289. https://doi.org/10.3390/jmse11020289

