Fire Risk Assessment of a Ship’s Power System under the Conditions of an Engine Room Fire
Abstract
1. Introduction
- (1)
- A ship power system fire risk assessment model based on the expert comprehensive evaluation (ECE) method and fuzzy fault tree analysis method is established. The ship engine room fire risk is evaluated.
- (2)
- The influence of cognitive uncertainty on the assessment of the ship power system fire risk is quantified. The engine room fire risk is identified.
- (3)
- The system failure rate, basic event importance, and fire safety risk index are used as indicators to characterize the ship engine room fire risk. A series of measures to reduce the fire risk is provided.
2. Methods
2.1. Fuzzy Set Theory
- (1)
- Establish a membership function
2.2. Expert Comprehensive Evaluation Method
2.3. Fuzzy Fault Tree Analysis
2.4. Fire Risk Analysis
- (1)
- Defuzzification
- (2)
- Importance analysis
- (3)
- Safety Risk Index
3. Risk Assessment of Ship Power System under Engine Room Fire
3.1. Construction of Fuzzy Fault Tree for Ship Power System
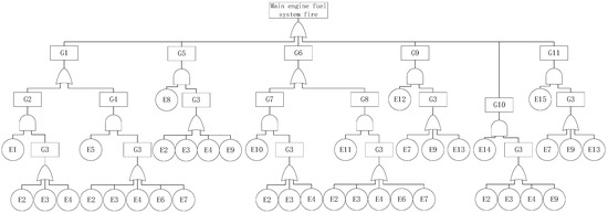
3.1.1. Main Engine Fuel System Fire
3.1.2. Propulsion Motor Room Fire
3.1.3. Gas Turbine Room Fire
3.2. Comprehensive Assessment of Ship Power System by Fire Experts
3.3. Fire risk Analysis of Ship Power System
3.3.1. The Annual Fire Frequency Analysis of Ship Power Systems
3.3.2. Basic Event Importance Analysis
4. Conclusions and Future Scope
Author Contributions
Funding
Institutional Review Board Statement
Informed Consent Statement
Data Availability Statement
Conflicts of Interest
References
- International Maritime Organization (IMO). Global Integrated Shipping Information System (GISIS); International Maritime Organization: London, UK, 2019. [Google Scholar]
- Ji, J.; Ma, Z.; He, J.; Xu, Y.; Liu, Z. Research on Risk Evaluation and Dynamic Escape Path Planning Algorithm Based on Real-Time Spread of Ship Comprehensive Fire. J. Mar. Sci. Eng. 2020, 8, 602. [Google Scholar] [CrossRef]
- Wang, J.H.; Zhang, R.Q.; Wang, Y.C.; Shi, L.; Zhang, S.G.; Li, C.C.; Zhang, Y.; Zhang, Q.J. Smoke filling and entrainment behaviors of fire in a sealed ship engine room. Ocean. Eng. 2022, 245, 110521. [Google Scholar] [CrossRef]
- Wang, J.; Jiao, Y.; Shi, L.; Xie, Q.; Li, G.; Liu, J.; Chen, W.; Zhang, S. An experimental and non-dimensional study on the vertical temperature distribution of a sealed ship engine room fire. Ocean. Eng. 2018, 165, 22–33. [Google Scholar] [CrossRef]
- Chen, J.; Bi, Y.; Zhao, Y.; Tam, W.; Li, C.; Lu, S. Effect of pressure on the heat transfer of pool fire in a closed chamber. J. Therm. Anal. Calorim. 2020, 142, 2163–2171. [Google Scholar] [CrossRef]
- Li, M.; Jiang, X.L.; Carroll, J.; Negenborn, R.R. A multi-objective maintenance strategy optimization framework for offshore wind farms considering uncertainty. Appl. Energy 2022, 321, 119284. [Google Scholar] [CrossRef]
- Aly, S.; Vrana, I. Evaluating the knowledge, relevance and experience of expert decision makers utilizing the Fuzzy-AHP. Agric. Econ. 2008, 54, 529–535. [Google Scholar] [CrossRef]
- Li, W.J.; Liang, W.; Zhang, L.B.; Tang, Q. Performance assessment system of health, safety and environment based on experts’ weights and fuzzy comprehensive evaluation. J. Loss Prev. Process Ind. 2015, 35, 95–103. [Google Scholar] [CrossRef]
- Kaptan, M. Risk assessment of ship anchorage handling operations using the fuzzy bow-tie method. Ocean. Eng. 2021, 236, 109500. [Google Scholar] [CrossRef]
- Sakar, C.; Buber, M.; Koseoglu, B.; Toz, A.C. Risk analysis for confined space accidents onboard ship using fuzzy bow-tie methodology. Ocean. Eng. 2022, 263, 112386. [Google Scholar] [CrossRef]
- Zong, L.K.; Wu, B.; Wang, Y. Risk assessment framework for fire accidents in the ship engine room. In Proceedings of the 4th International Conference on Transportation and Safety (ICTIS), Banff, AB, Canada, 8–10 August 2017. [Google Scholar]
- Li, H.; Díaz, H.; Guedes Soares, C.G. A failure analysis of floating offshore wind turbines using AHP-FMEA methodology. Ocean. Eng. 2021, 234, 109261. [Google Scholar] [CrossRef]
- Demirel, H.; Balin, A.; Celik, E.; Alarçin, F. A fuzzy AHP and electre method for selecting stabilizing device in ship industry. Brodogradnja 2018, 69, 61–77. [Google Scholar] [CrossRef]
- Choi, I.H.; Chang, D. Reliability and availability assessment of seabed storage tanks using fault tree analysis. Ocean. Eng. 2016, 120, 1–14. [Google Scholar] [CrossRef]
- Ahn, Y.-J.; Yu, Y.-U.; Kim, J.-K. Accident Cause Factor of Fires and Explosions in Tankers Using Fault Tree Analysis. J. Mar. Sci. Eng. 2021, 9, 844. [Google Scholar] [CrossRef]
- Kang, H.J.; Choi, J.; Lee, D.; Park, B.J. A framework for using computational fire simulations in the early phases of ship design. Ocean. Eng. 2017, 129, 335–342. [Google Scholar] [CrossRef]
- Lavasani, S.M.; Ramazali, N.; Sabzalipour, F.; Akyuz, E. Utilisation of Fuzzy Fault Tree Analysis (FFTA) for quantified risk analysis of leakage in abandoned oil and natural-gas wells. Ocean. Eng. 2015, 108, 729–737. [Google Scholar] [CrossRef]
- Sarıalioğlu, S.; Uğurlu, O.; Aydin, M. A hybrid model for human-factor analysis of engine-room fires on ships: HFACS-PV&FFTA. Ocean. Eng. 2020, 217, 107992. [Google Scholar]
- Tuncel, A.L.; Beşikçi, E.B.; Akyuz, E.; Arslan, O. Safety analysis of fire and explosion (F&E) accidents risk in bulk carrier ships under fuzzy fault tree approach. Saf. Sci. 2023, 158, 105972. [Google Scholar]
- Zhang, J.L.; Kang, J.C.; Sun, L.P.; Bai, X. Risk assessment of floating offshore wind turbines based on fuzzy fault tree analysis. Ocean. Eng. 2021, 239, 109859. [Google Scholar] [CrossRef]
- Geist, M.R. Using the Delphi method to engage stakeholders: A comparison of two studies. Eval. Program. Plann. 2010, 33, 147–154. [Google Scholar] [CrossRef]
- Liu, Z.; Guo, Z.; Li, Y.; Zhu, L.; Yuan, C. An Improved Failure Risk Assessment Method for Bilge System of the Large Luxury Cruise Ship under Fire Accident Conditions. J. Mar. Sci. Eng. 2021, 9, 957. [Google Scholar] [CrossRef]
- Chen, C. Extensions of the TOPSIS for group decision-making under fuzzy environment. Fuzzy Sets Syst. 2000, 114, 1–9. [Google Scholar] [CrossRef]
- Yazdi, M.; Hafezi, P.; Abbassi, R. A methodology for enhancing the reliability of expert system applications in probabilistic risk assessment. J. Loss Prev. Process Ind. 2019, 58, 51–59. [Google Scholar] [CrossRef]
- Yu, J.X.; Chen, H.C.; Yu, Y.; Yang, Z.L. A weakest t-norm based fuzzy fault tree approach for leakage risk assessment of submarine pipeline. J. Loss Prev. Process Ind. 2019, 62, 103968. [Google Scholar]
- Li, Y.L.; Wang, Y.H.; Lu, S.X. Ignition of the leaked diesel on a heated horizontal surface. Fire Saf. J. 2010, 45, 58–68. [Google Scholar] [CrossRef]
- Kumar, R.; Divyanshu, K.; Kumar, A. Nature based Self-learning Mechanism and simulation of automatic control smart hybrid antilock braking system. Wirel. Pers. Commun. 2021, 116, 3291–3308. [Google Scholar] [CrossRef]
- Kumar, R.; Pachauri, R.K.; Badoni, P.; Bharadwaj, D.; Mittal, U.; Bisht, A. Investigation on parallel hybrid electric bicycle along with issuer management system for mountainous region. J. Clean. Prod. 2022, 362, 132430. [Google Scholar] [CrossRef]
- Puisa, R.; Williams, S.; Vassalos, D. Towards an explanation of why onboard fires happen: The case of an engine room fire on the cruise ship “Le Boreal”. Appl. Ocean. Res. 2019, 88, 223–232. [Google Scholar] [CrossRef]
- Baalisampang, T.; Abbassi, R.; Garaniya, V.; Khan, F.; Dadashzadeh, M. Review and analysis of fire and explosion accidents in maritime transportation. Ocean. Eng. 2018, 158, 350–366. [Google Scholar] [CrossRef]









| Project | Classification | Score |
|---|---|---|
| Job title | Positive height | 5 |
| Deputy high | 4 | |
| Intermediate | 3 | |
| Work experience | >20 years | 5 |
| 15–20 years | 4 | |
| 10–15 years | 3 | |
| 5–10 years | 2 | |
| <5 years | 1 | |
| Education level | PhD | 5 |
| Master | 4 | |
| Bachelor | 3 |
| Linguistic Variables | Fuzzy Numbers |
|---|---|
| VL (Very low) | (1.14 × 10−4, 1.14 × 10−4, 1.25 × 10−4, 1.37 × 10−4) |
| L (Low) | (1.25 × 10−4, 1.37 × 10−4, 1.37 × 10−4, 1.52 × 10−4) |
| ML (Middle low) | (1.37 × 10−4, 1.52 × 10−4, 1.71 × 10−4, 1.96 × 10−4) |
| M (Medium) | (1.71 × 10−4, 1.96 × 10−4, 1.96 × 10−4, 2.28 × 10−4) |
| MH (Middle high) | (1.96 × 10−4, 2.28 × 10−4, 2.74 × 10−4, 3.42 × 10−4) |
| H (High) | (2.74 × 10−4, 3.42 × 10−4, 3.42 × 10−4, 4.57 × 10−4) |
| VH (Very high) | (3.42 × 10−4, 4.57 × 10−4, 6.85 × 10−4, 6.85 × 10−4) |
| Grade | Severity | Accident Consequence |
|---|---|---|
| 4 | Disastrous | Total destruction or scrapping of equipment, severe irreversible environmental damage |
| 3 | Serious | Severe damage to equipment, more serious but reversible environmental damage |
| 2 | Mild | Mild damage to equipment or environment |
| 1 | Slight | Minor damage to equipment or environment |
| Grade | Description | Probability Range |
|---|---|---|
| 4 | Frequently | |
| 3 | Possible | |
| 2 | Occasional | |
| 1 | Rare |
| Grade | Evaluation Value | Description |
|---|---|---|
| 4 | The system suffers from mega-safety risk factors that could lead to mega-accidents and result in huge losses. | |
| 3 | The system has major safety factors that could lead to a major accident and result in major losses. | |
| 2 | The system has high safety risk factors that may lead to serious accidents and result in serious losses. | |
| 1 | The system has minor safety risk factors that may lead to smaller incidents and result in smaller losses. |
| Codes | Description |
|---|---|
| M1 | Main engine fuel system fire |
| M2 | Propulsion motor room fire |
| M3 | Gas turbine cabin fire |
| Codes | Description | Codes | Description |
|---|---|---|---|
| G1 | Fire and explosion caused by diesel fuel supply tank generates combustible material | E9 | Electrical failure causes the electrical appliance to overheat |
| G2 | Fire and explosion caused by fuel overflow from diesel supply tank | G6 | Fire and explosion caused by heavy fuel oil tanks produce combustible materials |
| E1 | Diesel supply tank oil overflow | G7 | Fire and explosion caused by oil spill from heavy fuel oil tank |
| G3 | Ignition source | E10 | Heavy fuel oil tank fuel overflow |
| E2 | Insulation failure on the surface of the exhaust pipe of the host | G8 | Fire and explosion caused by volatilization of heavy fuel oil tanks |
| E3 | Welding slag left over during repair welding | E11 | Heavy fuel oil tank volatilization |
| E4 | Insulation failure on the surface of boiler exhaust pipe | G9 | Oil leakage from valve or flange causes fire and explosion |
| G4 | Fire and explosion caused by volatilization of oil and gas in diesel supply tank | E12 | Valve or flange leakage |
| E5 | Diesel supply tank volatilization of oil and gas | E13 | Insulation failure on the surface of the exhaust pipe of the auxiliary machine |
| E6 | Illegal smoking | G10 | Fire and explosion caused by circulating pump produce combustible material |
| E7 | Static electricity produces an open flame | E14 | Circulating pump leaks |
| G5 | Fire and explosion caused by supply pump produce combustible materials | G11 | Fire and explosion caused by oil filters produce combustible materials |
| E8 | Oil supply pump leaks | E15 | Oil filter leaks |
| Codes | Description | Codes | Description |
|---|---|---|---|
| G12 | Electrical equipment causes fire | E21 | Electrical aging |
| G3 | Ignition source | G15 | Combustible |
| E16 | High-temperature live conductor caused by circuit failure | E22 | Cable insulation layer, protective layer |
| G13 | High-temperature hot wall | E23 | Surrounding combustibles |
| E17 | Cooling failure in the motor room | G16 | Hot work in the propulsion motor room caused fire |
| E18 | Excessive temperature in special parts | E24 | Combustible gas accumulates in the engine room |
| G14 | Electric spark | G17 | Open flame |
| E19 | Electrical leakage | E25 | Welding during maintenance in the engine room |
| E20 | Electrical short circuit | E26 | Cutting during maintenance in the engine room |
| Codes | Description |
|---|---|
| G18 | Fire caused by machinery and equipment |
| G19 | Oil leak |
| E27 | Leakage of oil filter |
| E28 | Leakage of oil heater |
| E29 | Leakage of oil supply pipes and joints |
| E30 | Fuel tank drip |
| E31 | Lubricant leak |
| G13 | High-temperature hot wall |
| E18 | Excessive temperature in special parts |
| E32 | Failure of the coolant in the gas tank |
| G20 | Fire caused by electrical equipment |
| E33 | Cable or surrounding combustibles |
| G21 | Getting hot or sparking |
| E20 | Electrical short circuit |
| E34 | The components of the electric control box are aging |
| E35 | Aging of cable insulation material |
| G21 | Hot work in the gas turbine cabin caused fire |
| E24 | Combustible gas accumulates in the engine room |
| G17 | Open flame |
| E25 | Welding during maintenance in the engine room |
| E26 | Cutting during maintenance in the engine room |
| Expert | Job Title | Score | Work Experience | Score | Education Level | Score | Total Score |
|---|---|---|---|---|---|---|---|
| 1 | Chief engineer | 5 | 18 | 4 | PhD | 5 | 100 |
| 2 | Professor | 5 | 13 | 3 | PhD | 5 | 75 |
| 3 | Senior engineer | 4 | 12 | 3 | PhD | 5 | 60 |
| 4 | Associate Professor | 4 | 9 | 2 | PhD | 5 | 40 |
| 5 | Engineer | 3 | 5 | 2 | PhD | 5 | 30 |
| Numbering | E1 | E2 | E3 | E4 | E5 | Aggregate Fuzzy Numbers |
|---|---|---|---|---|---|---|
| E1 | VH | H | H | H | VH | (3.021 × 10−4, 3.895 × 10−4, 4.837 × 10−4, 5.512 × 10−4) |
| E2 | H | VH | VH | VH | H | (3.139 × 10−4, 4.095 × 10−4, 5.433 × 10−4, 5.908 × 10−4) |
| E3 | H | H | M | H | MH | (2.419 × 10−4, 2.960 × 10−4, 3.029 × 10−4, 3.944 × 10−4) |
| E4 | MH | H | MH | H | M | (2.226 × 10−4, 2.675 × 10−4, 2.888 × 10−4, 3.697 × 10−4) |
| E5 | ML | M | ML | M | L | (1.484 × 10−4, 1.669 × 10−4, 1.756 × 10−4, 2.019 × 10−4) |
| E6 | M | M | ML | L | L | (1.498 × 10−4, 1.687 × 10−4, 1.725 × 10−4, 1.977 × 10−4) |
| E7 | H | M | M | M | ML | (1.931 × 10−4, 2.280 × 10−4, 2.308 × 10−4, 2.837 × 10−4) |
| E8 | H | ML | M | L | H | (1.984 × 10−4, 2.367 × 10−4, 2.410 × 10−4, 3.029 × 10−4) |
| E9 | VH | H | H | MH | VH | (2.892 × 10−4, 3.706 × 10−4, 4.724 × 10−4, 5.321 × 10−4) |
| E10 | H | ML | MH | VH | H | (2.392 × 10−4, 2.961 × 10−4, 3.472 × 10−4, 4.137 × 10−4) |
| E11 | ML | H | L | ML | L | (1.634 × 10−4, 1.891 × 10−4, 1.973 × 10−4, 2.389 × 10−4) |
| E12 | MH | M | M | MH | MH | (1.855 × 10−4, 2.145 × 10−4, 2.411 × 10−4, 2.940 × 10−4) |
| E13 | H | MH | M | M | MH | (2.075 × 10−4, 2.464 × 10−4, 2.636 × 10−4, 3.309 × 10−4) |
| E14 | L | ML | H | ML | L | (1.592 × 10−4, 1.835 × 10−4, 1.909 × 10−4, 2.296 × 10−4) |
| E15 | M | ML | VH | M | H | (2.127 × 10−4, 2.597 × 10−4, 3.092 × 10−4, 3.457 × 10−4) |
| E16 | VH | H | L | L | VH | (2.479 × 10−4, 3.149 × 10−4, 4.091 × 10−4, 4.402 × 10−4) |
| E17 | M | MH | L | L | MH | (1.636 × 10−4, 1.864 × 10−4, 2.036 × 10−4, 2.428 × 10−4) |
| E18 | H | VH | L | MH | H | (2.467 × 10−4, 3.081 × 10−4, 3.665 × 10−4, 4.283 × 10−4) |
| E19 | L | MH | H | H | L | (1.951 × 10−4, 2.319 × 10−4, 2.422 × 10−4, 3.054 × 10−4) |
| E20 | H | MH | MH | VH | H | (2.524 × 10−4, 3.130 × 10−4, 3.701 × 10−4, 4.463 × 10−4) |
| E21 | M | H | H | VH | MH | (2.464 × 10−4, 3.055 × 10−4, 3.501 × 10−4, 4.172 × 10−4) |
| E22 | VH | H | H | MH | MH | (2.674 × 10−4, 3.365 × 10−4, 4.111 × 10−4, 4.810 × 10−4) |
| E23 | H | MH | VH | MH | H | (2.572 × 10−4, 3.205 × 10−4, 3.836 × 10−4, 4.575 × 10−4) |
| E24 | H | L | L | MH | VH | (2.085 × 10−4, 2.539 × 10−4, 2.955 × 10−4, 3.435 × 10−4) |
| E25 | H | H | H | MH | H | (2.611 × 10−4, 3.231 × 10−4, 3.307 × 10−4, 4.380 × 10−4) |
| E26 | M | H | H | L | MH | (2.105 × 10−4, 2.525 × 10−4, 2.594 × 10−4, 3.289 × 10−4) |
| E27 | MH | ML | VH | L | ML | (1.912 × 10−4, 2.301 × 10−4, 2.945 × 10−4, 3.242 × 10−4) |
| E28 | MH | ML | H | L | L | (1.760 × 10−4, 2.050 × 10−4, 2.214 × 10−4, 2.725 × 10−4) |
| E29 | MH | MH | H | L | L | (1.891 × 10−4, 2.220 × 10−4, 2.444 × 10−4, 3.050 × 10−4) |
| E30 | M | M | MH | L | H | (1.837 × 10−4, 2.144 × 10−4, 2.235 × 10−4, 2.722 × 10−4) |
| E31 | M | M | VH | L | L | (1.904 × 10−4, 2.292 × 10−4, 2.744 × 10−4, 2.947 × 10−4) |
| E32 | M | MH | L | L | ML | (1.548 × 10−4, 1.751 × 10−4, 1.882 × 10−4, 2.210 × 10−4) |
| E33 | VH | H | MH | MH | M | (2.482 × 10−4, 3.091 × 10−4, 3.860 × 10−4, 4.412 × 10−4) |
| E34 | M | L | MH | M | MH | (1.694 × 10−4, 1.940 × 10−4, 2.100 × 10−4, 2.507 × 10−4) |
| E35 | MH | MH | H | MH | H | (2.231 × 10−4, 2.676 × 10−4, 2.976 × 10−4, 3.820 × 10−4) |
| System | Annual Fire Frequencies (h−1) | Fire Probability | P | C | R |
|---|---|---|---|---|---|
| Engine room fire | 5.232 × 10−6 | 4.48 × 10−2 | 3 | 4 | 12 |
| Main engine fuel system fire | 2.557 × 10−6 | 2.22 × 10−2 | 2 | 3 | 6 |
| Propulsion motor room fire | 1.553 × 10−6 | 1.35 × 10−2 | 2 | 1 | 2 |
| Gas turbine room fire | 1.123 × 10−6 | 9.79 × 10−3 | 2 | 2 | 4 |
| Failure Mode | Annual Fire Frequency | Failure Mode | Annual Fire Frequency |
|---|---|---|---|
| G1 | 7.41 × 10−7 | G12 | 1.38 × 10−7 |
| G5 | 3.77 × 10−7 | G16 | 1.73 × 10−7 |
| G6 | 6.60 × 10−7 | G18 | 6.44 × 10−7 |
| G9 | 2.22 × 10−7 | G20 | 3.06 × 10−7 |
| G10 | 2.92 × 10−7 | G21 | 1.73 × 10−7 |
| G11 | 2.66 × 10−7 |
| Rank | Importance | Numbering | Rank | Importance | Numbering |
|---|---|---|---|---|---|
| 1 | 23.922 | E22 | 19 | 4.904 × 10−2 | E16 |
| 2 | 22.716 | E23 | 20 | 4.873 × 10−2 | E5 |
| 3 | 22.079 | E33 | 21 | 4.100 × 10−2 | E12 |
| 4 | 1.383 × 10−1 | E2 | 22 | 3.991 × 10−2 | E7 |
| 5 | 1.238 × 10−1 | E18 | 23 | 3.771 × 10−2 | E25 |
| 6 | 9.311 × 10−2 | E3 | 24 | 3.420 × 10−2 | E19 |
| 6 | 8.738 × 10−2 | E1 | 25 | 2.923 × 10−2 | E26 |
| 8 | 8.645 × 10−2 | E4 | 26 | 2.786 × 10−2 | E17 |
| 9 | 7.570 × 10−2 | E9 | 27 | 2.702 × 10−2 | E27 |
| 10 | 6.954 × 10−2 | E8 | 28 | 2.603 × 10−2 | E13 |
| 11 | 6.581 × 10−2 | E10 | 29 | 2.565 × 10−2 | E31 |
| 12 | 6.556 × 10−2 | E24 | 30 | 2.514 × 10−2 | E29 |
| 13 | 5.562 × 10−2 | E11 | 31 | 2.337 × 10−2 | E30 |
| 14 | 5.409 × 10−2 | E14 | 32 | 2.289 × 10−2 | E28 |
| 15 | 5.406 × 10−2 | E20 | 33 | 2.060 × 10−2 | E35 |
| 16 | 5.299 × 10−2 | E32 | 34 | 1.446 × 10−2 | E34 |
| 17 | 5.136 × 10−2 | E21 | 35 | 1.227 × 10−2 | E6 |
| 18 | 4.911 × 10−2 | E15 |
Publisher’s Note: MDPI stays neutral with regard to jurisdictional claims in published maps and institutional affiliations. |
© 2022 by the authors. Licensee MDPI, Basel, Switzerland. This article is an open access article distributed under the terms and conditions of the Creative Commons Attribution (CC BY) license (https://creativecommons.org/licenses/by/4.0/).
Share and Cite
Li, C.; Zhang, H.; Zhang, Y.; Kang, J. Fire Risk Assessment of a Ship’s Power System under the Conditions of an Engine Room Fire. J. Mar. Sci. Eng. 2022, 10, 1658. https://doi.org/10.3390/jmse10111658
Li C, Zhang H, Zhang Y, Kang J. Fire Risk Assessment of a Ship’s Power System under the Conditions of an Engine Room Fire. Journal of Marine Science and Engineering. 2022; 10(11):1658. https://doi.org/10.3390/jmse10111658
Chicago/Turabian StyleLi, Chenfeng, Houyao Zhang, Yifan Zhang, and Jichuan Kang. 2022. "Fire Risk Assessment of a Ship’s Power System under the Conditions of an Engine Room Fire" Journal of Marine Science and Engineering 10, no. 11: 1658. https://doi.org/10.3390/jmse10111658
APA StyleLi, C., Zhang, H., Zhang, Y., & Kang, J. (2022). Fire Risk Assessment of a Ship’s Power System under the Conditions of an Engine Room Fire. Journal of Marine Science and Engineering, 10(11), 1658. https://doi.org/10.3390/jmse10111658

