Nitrogen Fertilizer Rates Regulate Source–Sink Dynamics, Post-Anthesis N Translocation, and Yield Production in Spring Wheat on the Loess Plateau, China
Abstract
1. Introduction
2. Materials and Methods
2.1. Experimental Site
2.2. Experimental Design
2.3. Sampling and Analysis
2.4. Statistical Analysis
3. Results
3.1. Assimilate Accumulation and Translocation
3.1.1. Assimilate Accumulation
3.1.2. Assimilate Translocation
3.2. Nitrogen Accumulation and Translocation
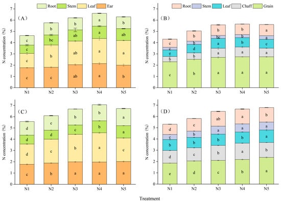
3.2.1. Nitrogen Concentration
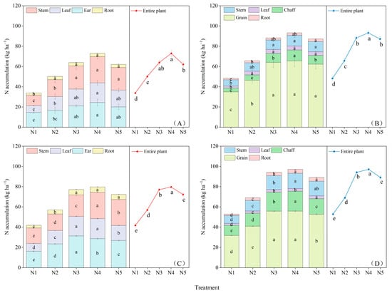
3.2.2. Nitrogen Accumulation
3.2.3. Nitrogen Translocation and Its Contribution to Grain Yield
3.3. Yield and N-Use Efficiency
3.3.1. Yield and Its Components
3.3.2. Nitrogen-Use Efficiency
3.4. Relationship Between Assimilate, N, and Grain Yield
4. Discussion
4.1. The Role of Nitrogen in Coordinating Reserve Mobilization and Post-Anthesis Assimilation for High Wheat Yield
4.2. Nitrogen Application Regulates Source-Sink Relationships by Orchestrating Pre-Anthesis Nitrogen Translocation and Remobilization in Wheat
4.3. How Optimal Nitrogen Rates Enhance Both Yield and Nitrogen Use Efficiency by Improving Internal Nitrogen Allocation
5. Conclusions
Author Contributions
Funding
Data Availability Statement
Conflicts of Interest
References
- Navarro, B.B.; Machado, M.J.; Figueira, A. Nitrogen Use Efficiency in Agriculture: Integrating Biotechnology, Microbiology, and Novel Delivery Systems for Sustainable Agriculture. Plants 2025, 14, 2974–2999. [Google Scholar] [CrossRef]
- Liu, Y.; Li, Y.; Peng, Z.; Wang, Y.; Ma, S.; Guo, L.; Lin, E.; Han, X. Effects of different nitrogen fertilizer management practices on wheat yields and N2O emissions from wheat fields in North China. J. Integr. Agric. 2015, 14, 1184–1191. [Google Scholar] [CrossRef]
- Li, Q.; Yan, J. Sustainable agriculture in the era of omics: Knowledge-driven crop breeding. Genome Biol. 2020, 21, 154–158. [Google Scholar] [CrossRef]
- Santiago-Arenas, R.; Dhakal, S.; Ullah, H.; Agarwal, A.; Datta, A. Seeding, nitrogen and irrigation management optimize rice water and nitrogen use efficiency. Nutr. Cycl. Agroecosyst. 2021, 120, 325–341. [Google Scholar] [CrossRef]
- He, H.; Peng, M.; Ru, S.; Hou, Z.; Li, J. A suitable organic fertilizer substitution ratio could improve maize yield and soil fertility with low pollution risk. Front. Plant Sci. 2022, 13, 988663. [Google Scholar] [CrossRef]
- Xu, A.; Chen, Y.; Wei, X.; Effah, Z.; Li, L.; Xie, J.; Liu, C.; Anwar, S. Does Nitrogen Fertilization Improve Nitrogen-Use Efficiency in Spring Wheat? Agronomy 2024, 14, 2049–2069. [Google Scholar] [CrossRef]
- Sandeep, S.N.; Fathima, P.S.; Yogananda, S.B.; Suma, R.; Shivakumar, K.V.; Sowmyalatha, B.S.; Gowda, P.T.; Halli, H.M.; Sannagoudar, M.S.; Senthamil, E. Trade-offs between global warming potential, eco-efficiency and water use efficiency under different establishment methods and nitrogen management strategies for sustainable rice production. Sci. Total Environ. 2025, 1004, 180759. [Google Scholar] [CrossRef]
- Yan, Y.; Zhang, S.; Zhang, Y.; Xu, M.; Xu, J.; Li, Y.; Zhao, B.; Yuan, L. Spatial divergence of nitrogen fate in China’s wheat systems: A meta-analysis and machine-learning roadmap for region-specific management. Resour. Environ. Sustain. 2025, 22, 100270. [Google Scholar] [CrossRef]
- Huo, Y.; Ying, F.; Zhu, M.; Fan, Z.; Lakshmanan, P.; Zhang, F.; Cong, W.F. Subsurface fertilization geometry synergies enhanced grain yield, nitrogen use efficiency and reduced greenhouse gas emissions: A global meta-analysis. Field Crops Res. 2026, 336, 110203. [Google Scholar] [CrossRef]
- Liu, F.; Hu, H.; Li, X.; Jia, Z.; Mo, F. Reducing nitrogen application through deep placement to optimize the nitrogen balance in a dryland maize cropping system. J. Clean. Prod. 2025, 528, 146712. [Google Scholar] [CrossRef]
- Gaju, O.; Allard, V.; Martre, P.; Le Gouis, J.; Moreau, D.; Bogard, M.; Hubbart, S.; Foulkes, M.J. Nitrogen partitioning and remobilization in relation to leaf senescence, grain yield and grain nitrogen concentration in wheat cultivars. Field Crops Res. 2014, 155, 213–223. [Google Scholar] [CrossRef]
- Zhao, B.; Ata-Ul-Karim, S.T.; Lemaire, G.; Duan, A.; Liu, Z.; Guo, Y.; Qin, A.; Ning, D.; Liu, Z. Exploring the nitrogen source-sink ratio to quantify ear nitrogen accumulation in maize and wheat using critical nitrogen dilution curve. Field Crops Res. 2021, 274, 108332. [Google Scholar] [CrossRef]
- Sarwar, M.; Saleem, M.F.; Anwar, A.; Ahmad, H.; Ali, B.; Shahid, M.; Hashem, A.; Kumar, A.; Abd-Allah, E.F. Exogenous Zinc Alleviates Post-Anthesis Heat Stress by Improving the Defense Mechanism and Leaf Physiology of Bread Wheat. J. Soil Sci. Plant Nutr. 2025, 25, 6029–6044. [Google Scholar] [CrossRef]
- Khakbazan, M.; Liu, K.; Entz, M.H.; Chau, H.W.; Kubota, H.; Tidemann, B.D.; Peng, G.; Lokuruge, P. Comparing economics and nitrogen fertilizer costs between diversified and intensified cropping systems in western Canada. Can. J. Plant Sci. 2025, 105, 1–25. [Google Scholar] [CrossRef]
- Xu, A.; Khan, K.S.; Wei, X.; Chen, Y.; Zhou, Y.; Sun, C.; Effah, Z.; Li, L. Fertilizer nitrogen use efficiency and its fate in the spring wheat-soil system under varying N-fertilizer rates: A two-year field study using 15N tracer. Soil Tillage Res. 2025, 252, 106612. [Google Scholar] [CrossRef]
- Noor, H.; Noor, F.; Liang, L.T.; Ding, P.; Sun, M.; Gao, Z. Nitrogen fertilization and precipitation affected Wheat (Triticum aestivum L.) in dryland the Loess Plateau of South Shanxi, China. Heliyon 2023, 9, e18177. [Google Scholar] [CrossRef]
- Kong, L.; Xie, Y.; Hu, L.; Feng, B.; Li, S. Remobilization of vegetative nitrogen to developing grain in wheat (Triticum aestivum L.). Field Crops Res. 2016, 196, 134–144. [Google Scholar] [CrossRef]
- Ma, L.; Ali, M.F.; Ye, Y.; Huang, X.; Peng, Z.; Naseer, M.A.; Wang, R.; Wang, D. Irrigation and Nitrogen Management Determine Dry Matter Accumulation and Yield of Winter Wheat Under Dryland Conditions. J. Agron. Crop Sci. 2024, 210, e12745. [Google Scholar] [CrossRef]
- Liu, C.; Tian, Z.; Qi, Z.; Han, J.; Zhao, X.; Xue, J. Effect of N-fertilizer rate on Grain Yield, Dry Matter and Nitrogen Accumulation and Remobilization in a Winter Wheat-Fresh Maize Cropping System. J. Food Nutr. Res. 2023, 11, 176–184. [Google Scholar] [CrossRef]
- Chen, W.; Deng, X.P.; Eneji, A.E.; Wang, L.L.; Xu, Y.; Cheng, Y.J. Dry-Matter Partitioning across Parts of the Wheat Internode during the Grain Filling Period as Influenced by Fertilizer and Tillage Treatments. Commun. Soil Sci. Plant Anal. 2014, 45, 1799–1812. [Google Scholar] [CrossRef]
- Bahrani, A.; Abad, H.H.; Sarvestani, Z.T.; Moafpourian, G.H.; Band, A.A. Remobilization of dry matter in wheat: Effects of nitrogen application and post-anthesis water deficit during grain filling. N. Z. J. Crop Hortic. Sci. 2011, 39, 279–293. [Google Scholar] [CrossRef]
- Zhou, B.; Serret, M.D.; Pie, J.B.; Shah, S.S.; Li, Z. Relative Contribution of Nitrogen Absorption, Remobilization, and Partitioning to the Ear During Grain Filling in Chinese Winter Wheat. Front. Plant Sci. 2018, 9, 1351–1361. [Google Scholar] [CrossRef]
- Duan, J.; Shao, Y.; He, L.; Li, X.; Hou, G.; Li, S.; Feng, W.; Zhu, Y.; Wang, Y.; Xie, Y. Optimizing nitrogen management to achieve high yield, high nitrogen efficiency and low nitrogen emission in winter wheat. Sci. Total Environ. 2019, 697, 134088. [Google Scholar] [CrossRef]
- Qiang, S.; Zhang, Y.; Fan, J.; Zhang, F.; Xiang, Y.; Yan, S.; Wu, Y. Maize yield, rainwater and nitrogen use efficiency as affected by maize genotypes and nitrogen rates on the Loess Plateau of China. Agric. Water Manag. 2019, 213, 996–1003. [Google Scholar] [CrossRef]
- Ye, T.; Liu, B.; Wang, X.; Zhou, J.; Liu, L.; Tang, L.; Cao, W.; Zhu, Y. Effects of water-nitrogen interactions on the fate of nitrogen fertilizer in a wheat-soil system. Eur. J. Agron. 2022, 136, 126507. [Google Scholar] [CrossRef]
- Zhang, F.S.; Cui, Z.L.; Zhang, W.F. Managing nutrient for both food security and environmental sustainability in China: An experiment for the world. Front. Agric. Sci. Eng. 2014, 1, 53–61. [Google Scholar] [CrossRef]
- Malhi, S.S.; Soon, Y.K.; Grant, C.A.; Lemke, R.; Lupwayi, N. Influence of controlled-release urea on seed yield and N concentration, and N use efficiency of small grain crops grown on Dark Gray Luvisols. Can. J. Soil Sci. 2010, 90, 363–372. [Google Scholar] [CrossRef]
- Guo, J.H.; Liu, X.J.; Zhang, Y.; Shen, J.L.; Han, W.X.; Zhang, W.F.; Christie, P.; Goulding, K.W.T.; Vitousek, P.M.; Zhang, F.S. Significant Acidification in Major Chinese Croplands. Science 2010, 327, 1008–1010. [Google Scholar] [CrossRef] [PubMed]
- Kaur, B.; Kaur, G.; Asthir, B. Biochemical aspects of nitrogen use efficiency: An overview. J. Plant Nutr. 2017, 40, 506–523. [Google Scholar] [CrossRef]
- Lu, Y.; Ma, R.; Gao, W.; You, Y.; Jiang, C.; Zhang, Z.; Kamran, M.; Yang, X. Optimizing the N-fertilizer rate and planting density to improve dry matter yield, water productivity and N-use efficiency of forage maize in a rainfed region. Agric. Water Manag. 2024, 305, 109125. [Google Scholar] [CrossRef]
- Food and Agriculture Organization. The State of Food and Agriculture; Food and Agriculture Organization of the United Nations: Rome, Italy, 1990. [Google Scholar]
- Bao, S.D. Analysis of Soil Agro-Chemistry; Agriculture Press: Beijing, China, 1999. (In Chinese) [Google Scholar]
- Schierenbeck, M.; Fleitas, M.C.; Cortese, F.; Golik, S.I.; Simón, M.R. Nitrogen accumulation in grains, remobilization and post-anthesis uptake under tan spot and leaf rust infections on wheat. Field Crops Res. 2019, 235, 27–37. [Google Scholar] [CrossRef]
- Bai, Z.; Xie, C.; Yu, J.; Bai, W.; Pei, S.; Li, Y.; Li, Z.; Zhang, F.; Fan, J.; Yin, F. Effects of irrigation and nitrogen levels on yield and water-nitrogen-radiation use efficiency of drip-fertigated cotton in south Xinjiang of China. Field Crops Res. 2024, 308, 109280. [Google Scholar] [CrossRef]
- Xu, Y.; Wu, Y.; Han, Y.; Song, J.; Zhang, W.; Han, W.; Liu, B.; Bai, W. Effect of chemical regulators on the recovery of leaf physiology, dry matter accumulation and translocation, and yield-related characteristics in winter wheat following dry-hot wind. J. Integr. Agric. 2024, 23, 108–121. [Google Scholar] [CrossRef]
- Moradi, L.; Siosemar deh, A.; Sohrabi, Y.; Bahramnejad, B.; Hosseinpanahi, F. Dry matter remobilization and associated traits, grain yield stability, N utilization, and grain protein concentration in wheat cultivars under supplemental irrigation. Agric. Water Manag. 2022, 263, 107449. [Google Scholar] [CrossRef]
- He, X.; Zhang, L.; Hu, Y.; Liang, Z.; Zhang, W.; Meng, Q.; Zou, C.; Chen, X.; Yang, H. Pursuing sustainable high-yield winter wheat via preanthesis dry matter and nitrogen accumulation by optimizing nitrogen management. Agron. J. 2022, 114, 1229–1245. [Google Scholar] [CrossRef]
- Sinclair, T.R.; Rufty, T.W. Nitrogen and water resources commonly limit crop yield increases, not necessarily plant genetics. Glob. Food Secur. 2012, 1, 94–98. [Google Scholar] [CrossRef]
- Ali, M.F.; Han, R.F.; Lin, X.; Wang, D. Controlled-release nitrogen combined with ordinary nitrogen fertilizer improved nitrogen uptake and productivity of winter wheat. Front. Plant Sci. 2025, 15, 1504083. [Google Scholar] [CrossRef]
- Anas, M.; Liao, F.; Verma, K.K.; Sarwar, M.A.; Mahmood, A.; Chen, Z.L.; Li, Q.; Zeng, X.P.; Liu, Y.; Li, Y.R. Fate of nitrogen in agriculture and environment: Agronomic, eco-physiological and molecular approaches to improve nitrogen use efficiency. Biol. Res. 2020, 53, 47–66. [Google Scholar] [CrossRef] [PubMed]
- Hamzei, J. Nitrogen rate applied affects dry matter translocation and performance attributes of wheat under deficit irrigation. J. Plant Nutr. 2018, 41, 807–817. [Google Scholar] [CrossRef]
- Wang, J.; Sun, X.; Hussain, S.; Yang, L.; Gao, S.; Zhang, P.; Chen, X.; Ren, X. Reduced nitrogen rate improves post-anthesis assimilate to grain and ameliorates grain-filling characteristics of winter wheat in dry land. Plant Soil 2024, 499, 91–112. [Google Scholar] [CrossRef]
- Gaju, O.; Allard, V.; Martre, P.; Snape, J.W.; Heumez, E.; LeGouis, J.; Moreau, D.; Bogard, M.; Griffiths, S.; Orford, S.; et al. Identification of traits to improve the nitrogen-use efficiency of wheat genotypes. Field Crops Res. 2011, 123, 139–152. [Google Scholar] [CrossRef]
- Yan, S.; Wu, Y.; Fan, J.; Zhang, F.; Guo, J.; Zheng, J.; Wu, L. Optimization of drip irrigation and fertilization regimes to enhance winter wheat grain yield by improving post-anthesis dry matter accumulation and translocation in northwest China. Agric. Water Manag. 2022, 271, 107782. [Google Scholar] [CrossRef]
- Ouyang, X.; Jiang, G.; Liu, J.; Wang, H.; Wang, R. Effect of nitrogen reduction on the remobilization of post-anthesis assimilate to grain and grain-filling characteristics in a drip-irrigated spring wheat system. Crop Sci. 2023, 63, 293–305. [Google Scholar] [CrossRef]
- Sharma, S.; Kumar, T.; Foulkes, M.J.; Orford, S.; Singh, A.M.; Wingen, L.U.; Karnam, V.; Nair, L.S.; Mandal, P.K.; Griffiths, S.; et al. Nitrogen uptake and remobilization from pre- and post-anthesis stages contribute towards grain yield and grain protein concentration in wheat grown in limited nitrogen conditions. CABI Agric. Biosci. 2023, 4, 12–31. [Google Scholar] [CrossRef] [PubMed]
- Chen, Y.; Chen, H.; Chen, R.; Yang, H.; Zheng, T.; Huang, X.; Fan, G. The Impacts of Nitrogen Accumulation, Translocation, and Photosynthesis on Simultaneous Improvements in the Grain Yield and Gluten Quality of Dryland Wheat. Agronomy 2023, 13, 1283–1304. [Google Scholar] [CrossRef]
- Wang, Y.R.; Quan, X.Q.; Li, X.Y.; Cheng, C.; Yu, J.X.; Tang, X.H.; Wu, P.F.; Ma, X.Q.; Yan, X.L. Integrated morphological and physiological plasticity of root for improved seedling growth in Cunninghamia lanceolata and Schima superba under nitrogen deficiency and different NH4+-N to NO3−-N ratio. Front. Plant Sci. 2025, 16, 1673572. [Google Scholar] [CrossRef]
- Ismail, M.S.; Nawaz, F.; Shehzad, M.A. Contributions of nitrogen metabolic enzymes in storage protein assimilation and mineral accumulation regulated by nitrogen and selenium in Triticum aestivum L. Plant Physiol. Biochem. 2025, 221, 109597. [Google Scholar] [CrossRef]
- Gong, J.; Zhang, Z.; Wang, B.; Shi, J.; Zhang, W.; Dong, Q.; Song, L.; Li, Y.; Liu, Y. N addition rebalances the carbon and nitrogen metabolisms of Leymus chinensis through leaf N investment. Plant Physiol. Biochem. 2022, 185, 221–232. [Google Scholar] [CrossRef]
- Li, C.; Chang, Y.; Luo, Y.; Li, W.; Jin, M.; Wang, Y.; Cui, H.; Sun, Y.; Li, Y.; Wang, Z. Nitrogen regulates stem lodging resistance by breaking the balance of photosynthetic carbon allocation in wheat. Field Crops Res. 2023, 296, 108908. [Google Scholar] [CrossRef]
- Ma, Q.; Dai, D.; Cao, Y.; Yu, Q.; Cheng, X.; Zhu, M.; Ding, J.; Li, C.; Guo, W.; Zhou, G.; et al. Optimal N management affects the fate of urea-15N and improves N uptake and utilization of wheat in different rotation systems. Front. Plant Sci. 2024, 15, 1438215. [Google Scholar] [CrossRef]
- Madhan, K.; Velu, G.; Subramanian, M.; Pandian, K.; Arunachalam, L.; Golla, G.; Ganeshan, S.; Rajasekaran, R.; Nallusamy, S.; Mustaffa, M.R.A.F. 15N-isotope tracing reveals enhanced nitrogen uptake, assimilation and physiological response from Nano urea in maize. NanoImpact 2025, 40, 100592. [Google Scholar] [CrossRef]
- Soofizada, Q.; Pescatore, A.; Orlandini, S.; Napoli, M. A multidimensional analytical framework for the selection of soft wheat varieties for dryland environments based on agronomic productivity, stability, nitrogen use efficiency and economic parameters. Eur. J. Agron. 2025, 171, 127786. [Google Scholar] [CrossRef]
- Chen, X.; Cui, Z.; Fan, M.; Vitousek, P.; Zhao, M.; Ma, W.; Wang, Z.; Zhang, W.; Yan, X.; Yang, J.; et al. Producing more grain with lower environmental costs. Nature 2014, 514, 486–489. [Google Scholar] [CrossRef]
- Chen, Y.; Chen, X.; Tang, Y.; Zhang, F.; Chen, X.; Zhang, Z.; Liu, J.; Xu, K. Effect of nitrogen fertilizer on dry matter accumulation and yield in wheat/maize/soybean intercropping systems. Acta Pratacult. Sin. 2014, 23, 73–83. [Google Scholar] [CrossRef]
- Liang, Z.; Li, J.; Cao, X.; Tang, Y.; Mo, F.; Nangia, V.; Liu, Y. Responses of wheat nitrogen uptake and utilization, rhizosphere bacterial composition and nitrogen-cycling functional genes to nitrogen application rate, planting density and their interactions. Appl. Soil Ecol. 2024, 193, 105143. [Google Scholar] [CrossRef]
- Bulut, M.; Karakas, E.; Fernie, A.R. Adjustments of plant primary metabolism in the face of climate change. J. Exp. Bot. 2025, 76, 4804–4816. [Google Scholar] [CrossRef]
- Faure, J.; Gaba, S.; Gautier, J.L.; Leluc, A.; Bretagnolle, V. Economic viability of reduced agricultural inputs in farmer-co-designed large-scale experimental trials in western France. Commun. Earth Environ. 2025, 6, 881–890. [Google Scholar] [CrossRef]
- Sun, Y.; Zhang, S.; Yan, J. Contribution of green organs to grain weight in dryland wheat from the 1940s to the 2010s in Shaanxi Province, China. Sci. Rep. 2021, 11, 3377–3389. [Google Scholar] [CrossRef]
- Ding, J.; Ding, Y.; Li, F.; Wu, P.; Zhu, M.; Li, C.; Zhu, X.; Guo, W. Promoting pre-anthesis nitrogen accumulation in wheat to achieve high yield and nitrogen-use efficiency through agronomic measures. J. Plant Nutr. 2021, 44, 2640–2652. [Google Scholar] [CrossRef]
- Noor, H.; Khan, S.; Sun, M.; Yu, S.; Ren, A.; Yang, Z.; Hou, F.; Li, L.; Wang, Q.; Gao, Z. Effect of different sowing methods and nitrogen rates on yield and quality of winter wheat in Loess Plateau of China. Appl. Ecol. Environ. Res. 2020, 18, 5701–5726. [Google Scholar] [CrossRef]
- Liu, Y.; Liao, Y.; Liu, W. High nitrogen application rate and planting density reduce wheat grain yield by reducing filling rate of inferior grain in middle spikelets. Crop J. 2021, 9, 412–426. [Google Scholar] [CrossRef]
- Liu, M.; Wu, X.; Li, C.; Li, M.; Xiong, T.; Tang, Y. Dry matter and nitrogen accumulation, partitioning, and translocation in synthetic-derived wheat cultivars under nitrogen deficiency at the post-jointing stage. Field Crops Res. 2020, 248, 107720. [Google Scholar] [CrossRef]
- Guo, X.; Liu, W.; Yang, Y.; Liu, G.; Ming, B.; Xie, R.; Wang, K.; Li, S.; Hou, P. Optimal nitrogen distribution in maize canopy can synergistically improve maize yield and nitrogen utilization efficiency while reduce environmental risks. Agric. Ecosyst. Environ. 2025, 383, 109540. [Google Scholar] [CrossRef]
- Chen, B.; Ren, C.; Wang, C.; Duan, J.; Reis, S.; Gu, B. Driving forces of nitrogen use efficiency in Chinese croplands on county scale. Environ. Pollut. 2023, 316, 120610. [Google Scholar] [CrossRef]
- Gu, B.; Zhang, X.; Lam, S.; Yu, Y.; van Grinsven, H.; Zhang, S.; Wang, X.; Bodirsky, B.L.; Wang, S.; Duan, J.; et al. Mitigating nitrogen pollution from global croplands with cost-effective measures. Nature 2021, 613, 77–84. [Google Scholar] [CrossRef]
- Varinderpal-Singh; Kaur, S.; Singh, J.; Kaur, A.; Gupta, R.K. Rescheduling fertilizer nitrogen topdressing timings for improving productivity and mitigating N2O emissions in timely and late sown irrigated wheat (Triticum aestivum L.). Arch. Agron. Soil Sci. 2021, 67, 647–659. [Google Scholar] [CrossRef]








| Indicators | Total N (g kg−1) | NH4-N (mg kg−1) | NO3-N (mg kg−1) | pH | Total P (g kg−1) | Available P (mg kg−1) | Total K (g kg−1) | Available K (mg kg−1) | Organic Matter (g kg−1) | Bulk Density (g cm−3) |
|---|---|---|---|---|---|---|---|---|---|---|
| amount | 0.77 | 5.43 | 27.63 | 8.33 | 1.87 | 10.03 | 18.47 | 271.4 | 12.7 | 1.19 |
| soil fertility classes | Moderate | - | - | Weakly alkaline | Extremely rich | Relatively rich | Relatively rich | Extremely rich | Moderate | - |
| Year | Treatment | AT (kg ha−1) | ATG (%) | PAA (kg ha−1) | PAAG (%) |
|---|---|---|---|---|---|
| 2024 | N1 | 449 ± 55.3 b | 28.3 ± 3.35 b | 1137 ± 47.3 b | 71.7 ± 3.35 a |
| N2 | 837 ± 83.4 a | 43.7 ± 3.09 a | 1074 ± 29.3 b | 56.3 ± 3.09 b | |
| N3 | 1025 ± 139.4 a | 40.5 ± 3.11 a | 1506 ± 226 a | 59.5 ± 3.11 b | |
| N4 | 1092 ± 265.9 a | 42.0 ± 6.64 a | 1499 ± 233 a | 58.0 ± 6.64 b | |
| N5 | 856 ± 104.4 a | 37.2 ± 2.64 a | 1442 ± 49.8 a | 62.8 ± 2.64 a | |
| 2025 | N1 | 535 ± 115.3 d | 31.1 ± 4.18 b | 1173 ± 40.2 b | 68.9 ± 4.18 a |
| N2 | 770 ± 194.6 c | 34.7 ± 6.75 b | 1433 ± 129 a | 65.3 ± 6.75 a | |
| N3 | 1275 ± 190.2 a | 46.8 ± 5.49 a | 1444 ± 109 a | 53.2 ± 5.49 b | |
| N4 | 1029 ± 179.7 b | 38.6 ± 5.00 ab | 1625 ± 65.6 a | 61.4 ± 5.00 ab | |
| N5 | 945 ± 152 bc | 39.2 ± 6.40 ab | 1467 ± 159 a | 60.8 ± 6.40 ab | |
| -N rate | N1 | 492 ± 30.6 d | 29.7 ± 0.41 b | 1155 ± 36.1 b | 70.3 ± 0.41 a |
| N2 | 803 ± 112.56 c | 39.2 ± 3.73 a | 1253 ± 55.5 b | 60.8 ± 3.73 b | |
| N3 | 1150 ± 96.7 a | 43.7 ± 4.12 a | 1475 ± 156 a | 56.4 ± 4.12 b | |
| N4 | 1060 ± 77.9 ab | 40.3 ± 3.09 a | 1562 ± 132 a | 59.7 ± 3.09 b | |
| N5 | 901 ± 128 bc | 38.2 ± 4.43 a | 1454 ± 70.0 a | 61.8 ± 4.43 b | |
| F value | Treatment | 15.5 * | 6.67 * | 10.1 * | 6.67 * |
| Year | 1.03 ns | 0.02 ns | 4.10 ns | 0.02 ns | |
| Treatment × Year | 1.02 ns | 2.24 ns | 2.29 ns | 2.24 ns |
| Year | Treatment | NTV (kg ha−1) | NTG (%) | NAP (kg ha−1) | NAG (%) |
|---|---|---|---|---|---|
| 2024 | N1 | 20.5 ± 0.75 d | 58.7 ± 2.95 b | 14.4 ± 1.43 c | 41.3 ± 2.95 a |
| N2 | 30.9 ± 1.78 c | 66.7 ± 0.21 a | 15.4 ± 1.01 c | 33.3 ± 0.21 b | |
| N3 | 39.7 ± 2.88 ab | 62.0 ± 4.46 b | 24.3 ± 3.17 ab | 38.0 ± 4.46 a | |
| N4 | 45.2 ± 4.90 a | 69.0 ± 1.75 a | 20.2 ± 0.90 b | 31.0 ± 1.75 b | |
| N5 | 37.1 ± 5.75 bc | 59.6 ± 0.97 b | 25.2 ± 4.27 a | 40.4 ± 0.97 a | |
| 2025 | N1 | 20.7 ± 0.99 d | 65.1 ± 3.25 b | 11.1 ± 1.05 b | 34.9 ± 3.25 a |
| N2 | 28.9 ± 0.31 c | 70.6 ± 0.38 a | 12.0 ± 0.12 b | 29.4 ± 0.38 b | |
| N3 | 38.7 ± 0.25 a | 69.4 ± 0.91 a | 17.1 ± 0.64 a | 30.6 ± 0.91 b | |
| N4 | 38.4 ± 0.12 a | 68.8 ± 0.56 a | 17.4 ± 0.43 a | 31.2 ± 0.56 b | |
| N5 | 35.8 ± 0.87 b | 67.9 ± 2.56 ab | 16.9 ± 1.57 a | 32.1 ± 2.56 ab | |
| -N rate | N1 | 20.6 ± 0.61 d | 61.9 ± 2.72 c | 12.8 ± 1.14 b | 38.1 ± 2.72 a |
| N2 | 29.9 ± 0.95 c | 68.6 ± 0.09 a | 13.7 ± 0.45 b | 31.4 ± 0.09 c | |
| N3 | 39.2 ± 1.48 ab | 65.7 ± 2.64 ab | 20.7 ± 1.90 a | 34.3 ± 2.64 bc | |
| N4 | 41.8 ± 2.42 a | 68.9 ± 0.95 a | 18.8 ± 0.24 a | 31.1 ± 0.95 c | |
| N5 | 36.4 ± 3.10 b | 63.8 ± 0.85 bc | 21.0 ± 1.58 a | 36.2 ± 0.85 ab | |
| F value | T | 61.4 * | 10.9 * | 25.2 * | 10.9 * |
| Y | 5.02 * | 39.3 * | 52.1 * | 39.3 * | |
| T × Y | 1.53 ns | 3.41 * | 2.64 ns | 3.41 * |
| Year | Treatment | Ear Number | Grain Number per Ear (GNS) | 1000 Grain Weight (TGW, g) |
|---|---|---|---|---|
| 2024 | N1 | 299 ± 20.8 a | 19.6 ± 2.99 a | 30.6 ± 1.38 b |
| N2 | 301 ± 10.7 a | 22.7 ± 0.24 b | 32.8 ± 0.54 a | |
| N3 | 313 ± 14.5 a | 36.1 ± 0.46 d | 33.7 ± 1.02 a | |
| N4 | 322 ± 17.6 a | 34.5 ± 1.91 d | 33.9 ± 0.85 a | |
| N5 | 304 ± 33.5 a | 30.9 ± 0.18 c | 33.8 ± 0.84 a | |
| 2025 | N1 | 361 ± 14.6 a | 13.7 ± 0.74 c | 31.7 ± 0.75 b |
| N2 | 359 ± 10.8 a | 18.3 ± 1.04 bc | 33.3 ± 0.87 ab | |
| N3 | 370 ± 13.2 a | 25.1 ± 1.89 a | 34.0 ± 0.67 a | |
| N4 | 356 ± 16.4 a | 24.0 ± 1.13 a | 34.5 ± 1.02 a | |
| N5 | 366 ± 13.9 a | 20.4 ± 2.12 ab | 34.3 ± 1.06 a | |
| -N rate | N1 | 330 ± 6.14 a | 16.7 ± 1.13 d | 31.2 ± 1.05 b |
| N2 | 330 ± 6.82 a | 20.5 ± 0.8 c | 33.0 ± 0.36 a | |
| N3 | 342 ± 12.9 a | 30.6 ± 1.83 a | 33.8 ± 0.84 a | |
| N4 | 339 ± 2.93 a | 29.3 ± 0.04 a | 34.2 ± 0.82 a | |
| N5 | 335 ± 21.3 a | 25.7 ± 1.79 b | 34.1 ± 0.85 a | |
| F value | T | 0.51 ns | 45.4 * | 10.8 * |
| Y | 67.2 * | 117 * | 3.30 ns | |
| T × Y | 0.58 ns | 3.09 * | 0.13 ns |
| Year | Treatment | NAE (kg kg−1) | NHI | NUE (kg kg−1) | NPFP (kg kg−1) | NAUE (kg kg−1) |
|---|---|---|---|---|---|---|
| 2024 | N2 | 1.21 ± 0.10 a | 0.73 ± 0.02 a | 30.0 ± 0.13 a | 36.4 ± 2.92 a | 6.15 ± 2.92 ab |
| N3 | 0.82 ± 0.07 b | 0.74 ± 0.02 a | 29.3 ± 1.40 a | 24.1 ± 3.18 b | 8.99 ± 3.18 a | |
| N4 | 0.58 ± 0.05 c | 0.72 ± 0.01 a | 28.4 ± 1.27 ab | 16.5 ± 2.21 c | 6.37 ± 2.21 ab | |
| N5 | 0.40 ± 0.03 d | 0.73 ± 0.01 a | 27.2 ± 0.42 b | 11.0 ± 0.61 d | 3.39 ± 0.61 b | |
| 2025 | N2 | 1.27 ± 0.01 a | 0.62 ± 0.01 a | 33.2 ± 2.83 a | 42.0 ± 3.55 a | 9.43 ± 2.08 a |
| N3 | 0.87 ± 0.01 b | 0.61 ± 0.01 a | 29.9 ± 1.04 b | 25.9 ± 0.98 b | 9.63 ± 0.89 a | |
| N4 | 0.59 ± 0.01 c | 0.60 ± 0.01 a | 28.5 ± 1.36 b | 16.9 ± 0.74 c | 6.01 ± 1.57 b | |
| N5 | 0.41 ± 0.01 d | 0.62 ± 0.01 a | 28.2 ± 0.31 b | 11.5 ± 0.13 d | 3.35 ± 0.53 c | |
| -N rate | N2 | 1.24 ± 0.05 a | 0.67 ± 0.01 a | 31.6 ± 1.47 a | 39.2 ± 2.44 a | 7.79 ± 1.12 ab |
| N3 | 0.84 ± 0.04 b | 0.68 ± 0.01 a | 29.6 ± 0.81 b | 25.0 ± 1.88 b | 9.31 ± 1.23 a | |
| N4 | 0.58 ± 0.03 c | 0.66 ± 0.01 a | 28.5 ± 0.29 bc | 16.7 ± 0.74 c | 6.19 ± 0.41 b | |
| N5 | 0.40 ± 0.01 d | 0.67 ± 0.01 a | 27.7 ± 0.16 c | 11.2 ± 0.28 d | 3.37 ± 0.49 c | |
| F value | T | 339.21 * | 3.39 * | 9.23 * | 187.17 * | 9.75 * |
| Y | 2.07 ns | 942.55 * | 4.75 * | 5.45 * | 1.17 ns | |
| T × Y | 0.31 ns | 1.21 ns | 1.48 ns | 1.84 ns | 1.03 ns |
Disclaimer/Publisher’s Note: The statements, opinions and data contained in all publications are solely those of the individual author(s) and contributor(s) and not of MDPI and/or the editor(s). MDPI and/or the editor(s) disclaim responsibility for any injury to people or property resulting from any ideas, methods, instructions or products referred to in the content. |
© 2025 by the authors. Licensee MDPI, Basel, Switzerland. This article is an open access article distributed under the terms and conditions of the Creative Commons Attribution (CC BY) license (https://creativecommons.org/licenses/by/4.0/).
Share and Cite
Chen, Y.; Xu, A.; Effah, Z.; Wei, X.; Zhang, Y.; Liu, N.; Liu, P.; Khan, K.S.; Li, L. Nitrogen Fertilizer Rates Regulate Source–Sink Dynamics, Post-Anthesis N Translocation, and Yield Production in Spring Wheat on the Loess Plateau, China. Agriculture 2025, 15, 2616. https://doi.org/10.3390/agriculture15242616
Chen Y, Xu A, Effah Z, Wei X, Zhang Y, Liu N, Liu P, Khan KS, Li L. Nitrogen Fertilizer Rates Regulate Source–Sink Dynamics, Post-Anthesis N Translocation, and Yield Production in Spring Wheat on the Loess Plateau, China. Agriculture. 2025; 15(24):2616. https://doi.org/10.3390/agriculture15242616
Chicago/Turabian StyleChen, Yafei, Aixia Xu, Zechariah Effah, Xuexue Wei, Yan Zhang, Nana Liu, Pengbin Liu, Khuram Shehzad Khan, and Lingling Li. 2025. "Nitrogen Fertilizer Rates Regulate Source–Sink Dynamics, Post-Anthesis N Translocation, and Yield Production in Spring Wheat on the Loess Plateau, China" Agriculture 15, no. 24: 2616. https://doi.org/10.3390/agriculture15242616
APA StyleChen, Y., Xu, A., Effah, Z., Wei, X., Zhang, Y., Liu, N., Liu, P., Khan, K. S., & Li, L. (2025). Nitrogen Fertilizer Rates Regulate Source–Sink Dynamics, Post-Anthesis N Translocation, and Yield Production in Spring Wheat on the Loess Plateau, China. Agriculture, 15(24), 2616. https://doi.org/10.3390/agriculture15242616

