Effects of Prey Switching at Different Stages on Life Parameters of Neoseiulus bicaudus
Abstract
1. Introduction
2. Materials and Methods
2.1. Mite Cultures
2.2. Experimental Setup
2.3. Statistical Analysis
2.3.1. Life-Table Analysis
2.3.2. Pearson Correlation Analysis
3. Results
3.1. Survival of Neoseiulus Bicaudus during Prey Switching from Tyrophagus putrescentiae to Tetranychus turkestani in Each Stage
3.2. Development Duration, Longevity, and Fecundity of the Neoseiulus bicaudus during Prey Switching from Tyrophagus putrescentiae to Tetranychus turkestani in Each Stage
3.3. Population Parameters of Neoseiulus bicaudus during Prey Switching from Tyrophagus putrescentiae to Tetranychus turkestani in Each Stage
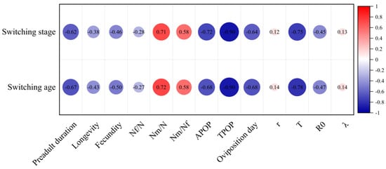
3.4. Correlation between the Switching Stage/Age of the Prey Switching with Life-Table Parameters
4. Discussion
5. Conclusions
Author Contributions
Funding
Institutional Review Board Statement
Data Availability Statement
Acknowledgments
Conflicts of Interest
References
- Murdoch, W.W. Switching in general predators: Experiments on predator specificity and stability of prey populations. Ecol. Monogr. 1969, 39, 335–354. [Google Scholar] [CrossRef]
- Thompson, P.M.; Tollit, D.J.; Corpe, H.M.; Reid, R.J.; Ross, H.M. Changes in haematological parameters in relation to prey switching in a wild population of harbour seals. Funct. Ecol. 1997, 11, 743–750. [Google Scholar] [CrossRef]
- Price, C.J.; Banks, P.B. Increased olfactory search costs change foraging behaviour in an alien mustelid: A precursor to prey switching? Oecologia 2016, 182, 119–128. [Google Scholar] [CrossRef]
- Rode, K.D.; Taras, B.D.; Stricker, C.A.; Atwood, T.C.; Boucher, N.P.; Durner, G.M.; Derocher, A.E.; Richardson, E.S.; Cherry, S.G.; Quakenbush, L. Diet energy density estimated from isotopes in predator hair associated with survival, habitat, and population dynamics. Ecol. Appl. 2023, 33, e2751. [Google Scholar] [CrossRef]
- Patterson, B.R.; Benjamin, L.K.; Messier, F. Prey switching and feeding habits of eastern coyotes in relation to snowshoe hare and white-tailed deer densities. Can. J. Zool. 1998, 76, 1885–1897. [Google Scholar] [CrossRef]
- Kiørboe, T.; Saiz, E.; Viitasalo, M. Prey switching behaviour in the planktonic copepod Acartia tonsa. Mar. Ecol. Prog. Ser. 1996, 143, 65–75. [Google Scholar] [CrossRef]
- Malone, K.M.; Powell, A.C.; Hua, F.; Sieving, K.E. Bluebirds perceive prey switching by Cooper’s hawks across an urban gradient and adjust reproductive effort. Écoscience 2017, 24, 21–31. [Google Scholar] [CrossRef]
- Karimzadeh, R.; Sciarretta, A. Spatial patchiness and association of pests and natural enemies in agro-ecosystems and their application in precision pest management: A review. Precis. Agric. 2022, 23, 1836–1855. [Google Scholar] [CrossRef]
- Chen, J.Y.; Zeng, C. Transition to Artemia feeding phase for orchid dottyback Pseudochromis fridmani larvae: Establishing suitable prey shift time and strategy. Aquaculture 2021, 545, 737180. [Google Scholar] [CrossRef]
- Vafaie, E.K.; Pemberton, H.B.; Gu, M.; Kerns, D.; Eubanks, M.D.; Heinz, K.M. Adding a Natural Enemy to Respond to Pest Immigration and Delayed Natural Enemy Releases in Augmentative Biological Control. Environ. Entomol. 2021, 50, 561–570. [Google Scholar] [CrossRef]
- Aldrich, J.R.; Chauhan, K.; Zhang, Q.-H. Pharmacophagy in green lacewings (Neuroptera: Chrysopidae: Chrysopa spp.)? PeerJ 2016, 4, e1564. [Google Scholar] [CrossRef]
- Uiterwaal, S.F.; DeLong, J.P. Multiple factors, including arena size, shape the functional responses of ladybird beetles. J. Appl. Ecol. 2018, 55, 2429–2438. [Google Scholar] [CrossRef]
- McGregor, R.; Crisp, K.; Castiglia, C. Feeding lifestyles of the Phytoseiidae revisited: Searching for a factitious rearing host for Neoseiulus fallacis (Acari: Phytoseiidae). BioControl 2020, 65, 593–599. [Google Scholar] [CrossRef]
- Kishinevsky, M.; Keasar, T. Trait-based characterisation of parasitoid wasp communities in natural and agricultural areas. Ecol. Entomol. 2022, 47, 657–667. [Google Scholar] [CrossRef]
- Boss, A.; Romeis, J.; Meissle, M. Prey-mediated effects of mCry51Aa2-producing cotton on the predatory nontarget bug Orius majusculus (Reuter). Insect Sci. 2023, 30, 1191–1206. [Google Scholar] [CrossRef] [PubMed]
- Soleymani, S.; Hakimitabar, M.; Seiedy, M. Prey preference of predatory mite Amblyseius swirskii (Acari: Phytoseiidae) on Tetranychus urticae (Acari: Tetranychidae) and Bemisia tabaci (Hemiptera: Aleyrodidae). Biocontrol Sci. Technol. 2016, 26, 562–569. [Google Scholar] [CrossRef]
- Kaser, J.M.; Heimpel, G.E. Impact of the parasitoid Aphelinus certus on soybean aphid populations. Biol. Control 2018, 127, 17–24. [Google Scholar] [CrossRef]
- Madahi, K.; Sahragard, A.; Hosseini, R.; Baniameri, V. Prey-Stage Preference and Comparing Reproductive Performance of Aphidoletes aphidimyza (Diptera: Ceccidomyiidae) Feeding on Aphis gossypii (Hemiptera: Aphididae) and Myzus persicae. J. Econ. Entomol. 2019, 112, 1073–1080. [Google Scholar] [CrossRef]
- Hou, F.; Ni, Z.-H.; Zou, M.-T.; Zhu, R.; Yi, T.-C.; Guo, J.-J.; Jin, D.-C. The effects of alternative foods on life history and cannibalism of Amblyseius herbicolus (Acari: Phytoseiidae). Insects 2022, 13, 1036. [Google Scholar] [CrossRef]
- Nobriga, M.L.; Feyrer, F. Diet composition in San Francisco Estuary striped bass: Does trophic adaptability have its limits? Environ. Biol. Fishes 2008, 83, 495–503. [Google Scholar] [CrossRef]
- Yang, L.W.; Zhang, F.; Zhao, J.; Li, S.; Wang, S. The effects of short-time food acclimation on the functional response of Orius sauteri reared to Corcyra cephalonica eggs. J. Plant Prot. 2014, 41, 705–710. [Google Scholar]
- Wang, Z.; Li, Y.; Li, T.; Lu, Y.; Zhang, J.; Xu, X. The morphology and predatory behavior of the mite Neoseiulus bicaudus. Chin. J. Appl. Entomol. 2015, 52, 580–586. [Google Scholar]
- Zhang, Y.-N.; Jiang, J.-Y.-Q.; Zhang, Y.-J.; Qiu, Y.; Zhang, J.-P. Functional Response and Prey Preference of Neoseiulus bicaudus (Mesostigmata: Phytoseiidae) to Three Important Pests in Xinjiang, China. Environ. Entomol. 2017, 46, 538–543. [Google Scholar] [CrossRef]
- Han, G.-D.; Su, J.; Zhang, K.; Chen, J.; Zhang, J.-P. The predatory mite Neoseiulus bicaudus (Mesostigmata: Phytoseiidae), a promising biocontrol agent of whitefly Bemisia tabaci (Hemiptera: Aleyrodidae). Syst. Appl. Acarol. 2020, 25, 2273–2285. [Google Scholar]
- Hu, H.; Tang, S.; Fang, C.; Mu, K.; Su, J.; Zhang, J.; Wakil, W. Presence of nontarget prey, Tetranychus truncatus, affected the predation by Neoseiulus bicaudus on Tetranychus turkestani. J. Econ. Entomol. 2023, 116, 1137–1145. [Google Scholar] [CrossRef]
- Guo, Y.-L.; Jiao, X.-D.; Xu, J.-J.; Yang, S.; Duan, X.-K.; Zhang, J.-P. Growth and reproduction of Tetranychus turkestani and Tetranychus truncatus (Acari: Tetranychidae) on cotton and corn. Syst. Appl. Acarol. 2013, 18, 89–98. [Google Scholar] [CrossRef]
- Su, J.; Zhu, A.; Han, G.; Dong, F.; Chen, J.; Zhang, J. Re-adaptation from alternative prey to target prey increased predation of predator on target mite. Syst. Appl. Acarol. 2019, 24, 467–476. [Google Scholar] [CrossRef]
- Chi, H.; Kavousi, A.; Gharekhani, G.; Atlihan, R.; Salih Özgökçe, M.; Güncan, A.; Gökçe, A.; Smith, C.L.; Benelli, G.; Guedes, R.N.C.; et al. Advances in theory, data analysis, and application of the age-stage, two-sex life table for demographic research, biological control, and pest management. Entomol. Gen. 2023, 43, 705–732. [Google Scholar] [CrossRef]
- Chi, H.; Liu, H. Two new methods for the study of insect population ecology. Bull. Inst. Math. Acad. Sin. 1985, 24, 225–240. [Google Scholar]
- Chi, H.; You, M.; Atlıhan, R.; Smith, C.L.; Kavousi, A.; Özgökçe, M.S.; Güncan, A.; Tuan, S.-J.; Fu, J.-W.; Xu, Y.-Y.; et al. Age-Stage, two-sex life table: An introduction to theory, data analysis, and application. Entomol. Gen. 2020, 40, 103–124. [Google Scholar] [CrossRef]
- Su, J.; Dong, F.; Liu, S.M.; Lu, Y.H.; Zhang, J.P. Productivity of (Acari: Phytoseiidae) Reared on Natural Prey, Alternative Prey, and Artificial Diet. J. Econ. Entomol. 2019, 112, 2604–2613. [Google Scholar] [CrossRef]
- Chi, H. Life-table analysis incorporating both sexes and variable development rates among individuals. Environ. Entomol. 1988, 17, 26–34. [Google Scholar] [CrossRef]
- Chi, H. TWOSEX-MSChart: A Computer Program for the Age-Stage, Two-Sex Life Table Analysis. Available online: http://140.120.197.173/Ecology/prod02.htm (accessed on 13 May 2023).
- Chi, H.; Su, H.-Y. Age-stage, two-sex life tables of Aphidius gifuensis (Ashmead) (Hymenoptera: Braconidae) and its host Myzus persicae (Sulzer) (Homoptera: Aphididae) with mathematical proof of the relationship between female fecundity and the net reproductive rate. Environ. Entomol. 2006, 35, 10–21. [Google Scholar] [CrossRef]
- Reddy, G.V.P.; Chi, H. Demographic comparison of sweetpotato weevil reared on a major host, Ipomoea batatas, and an alternative host, I. triloba. Sci. Rep. 2015, 5, 11871. [Google Scholar] [CrossRef]
- Gao, F.; Ge, F.; Liu, X.; Song, Y. Impact of insecticides on the structure and productivity of insect pest and natural enemy communities associated with intercropping in cotton agroecosystems. Int. J. Pest Manag. 2008, 54, 103–114. [Google Scholar] [CrossRef]
- Jiang, X.; Zhao, X.; Gu, X.; Luo, T.; Li, P.; Wan, C.; Liu, H. Serum metabolomic analysis in patients with Hashimoto’s thyroiditis. Front. Endocrinol. 2022, 13, 1046159. [Google Scholar] [CrossRef]
- Moorhead, J.A.; Zeng, C. Establishing larval feeding regimens for the Forktail Blenny Meiacanthus atrodorsalis (Günther, 1877): Effects of Artemia strain, time of prey switch and co-feeding period. Aquac. Res. 2017, 48, 4321–4333. [Google Scholar] [CrossRef]
- Lemos, F.; Sarmento, R.A.; Pallini, A.; Dias, C.R.; Sabelis, M.W.; Janssen, A. Spider mite web mediates anti-predator behaviour. Exp. Appl. Acarol. 2010, 52, 1–10. [Google Scholar] [CrossRef][Green Version]
- Yan, H.; Zhang, B.; Li, Z.; Wang, E.; Wei, G.-S.; Xu, X. Phenotypic plasticity of predatory mite Amblyseius orientalis in response to diet switch. Syst. Appl. Acarol. 2022, 27, 1098–1108. [Google Scholar] [CrossRef]
- Fathipour, Y.; Maleknia, B.; Bagheri, A.; Soufbaf, M.; Reddy, G.V.P. Functional and numerical responses, mutual interference, and resource switching of Amblyseius swirskii on two-spotted spider mite. Biol. Control 2020, 146, 104266. [Google Scholar] [CrossRef]
- O’Donnell, S.; Fiocca, K.; Campbell, M.; Bulova, S.; Zelanko, P.; Velinsky, D. Adult nutrition and reproductive physiology: A stable isotope analysis in a eusocial paper wasp (Mischocyttarus mastigophorus, Hymenoptera: Vespidae). Behav. Ecol. Sociobiol. 2018, 72, 86. [Google Scholar] [CrossRef]
- Yazdanpanah, S.; Fathipour, Y.; Riahi, E.; Zalucki, M.P. Effects of diet switching from almond pollen to natural prey on predation capacity of Neoseiulus cucumeris. J. Appl. Entomol. 2023, 147, 72–84. [Google Scholar] [CrossRef]
- de Jesús Segura-Martínez, M.T.; Ordaz-Silva, S.; Hernández-Juárez, A.; Heinz-Castro, R.T.Q.; Mora-Ravelo, S.G.; Chacón-Hernández, J.C. Life Table Parameters of Tetranychus merganser Boudreaux (Acari: Tetranychidae) on Five Host Plants. Insects 2023, 14, 473. [Google Scholar] [CrossRef]
- Sabelis, M.W.; Bakker, F.M. How predatory mites cope with the web of their tetranychid prey: A functional view on dorsal chaetotaxy in the Phytoseiidae. Exp. Appl. Acarol. 1992, 16, 203–225. [Google Scholar] [CrossRef]
- Vet, L.E.; Dicke, M. Ecology of infochemical use by natural enemies in a tritrophic context. Annu. Rev. Entomol. 1992, 37, 141–172. [Google Scholar] [CrossRef]
- Ali, M.Z.; Anushree, A.; Bilgrami, A.L.; Ahsan, A.; Ola, M.S.; Haque, R.; Ahsan, J. Phenylacetaldehyde induced olfactory conditioning in Drosophila melanogaster (Diptera: Drosophilidae) larvae. J. Insect Sci. 2023, 23, 25. [Google Scholar] [CrossRef]
- Ke, L.; Chen, X.; Dai, P.; Liu, Y.-J. Chronic larval exposure to thiacloprid impairs honeybee antennal selectivity, learning and memory performances. Front. Physiol. 2023, 14, 1114488. [Google Scholar] [CrossRef] [PubMed]
- He, Y.; Jia, B.; Lu, J.; Wang, E.; Xu, X. Analyses of the nutritional requirements of Tetranychus urticae. Chin. J. Appl. Entomol. 2019, 56, 678–686. [Google Scholar]
- Yu, X. Studies on the Biology and Pesticide Resistance Mechanism of Tyrophagus putrescentiae (Schrank). Master’s Thesis, Fujian Agriculture and Forestry University, Fuzhou, China, 2002. [Google Scholar]







| Stage | F-Ty | PSL | PSP | PSD | PSA | |||||
|---|---|---|---|---|---|---|---|---|---|---|
| n | Mean ± SE | n | Mean ± SE | n | Mean ± SE | n | Mean ± SE | n | Mean ± SE | |
| Larva survival | 97 | 0.990 ± 0.010 a | 86 | 0.919 ± 0.030 b | 95 | 0.968 ± 0.018 ab | 97 | 0.968 ± 0.018 ab | 101 | 0.990 ± 0.010 a |
| Protonymph survival | 96 | 0.948 ± 0.023 a | 79 | 0.924 ± 0.030 a | 92 | 0.924 ± 0.028 a | 91 | 0.967 ± 0.019 a | 100 | 0.980 ± 0.014 a |
| Deutonymph survival | 91 | 0.989 ± 0.011 a | 73 | 1.000 ± 0 a | 85 | 0.988 ± 0.012 a | 88 | 0.886 ± 0.034 b | 98 | 0.990 ± 0.010 a |
| Preadult survival rate (sa) | 97 | 0.928 ± 0.026 ab | 86 | 0.849 ± 0.039 bc | 95 | 0.884 ± 0.033 bc | 94 | 0.830 ± 0.039 c | 101 | 0.960 ± 0.020 a |
| Stage | F-Ty | PSL | PSP | PSD | PSA | |||||
|---|---|---|---|---|---|---|---|---|---|---|
| n | Mean ± SE | n | Mean ± SE | n | Mean ± SE | n | Mean ± SE | n | Mean ± SE | |
| Egg (d) | 97 | 1.737 ± 0.033 b | 86 | 1.797 ± 0.034 ab | 95 | 1.853 ± 0.035 a | 94 | 1.548 ± 0.030 c | 101 | 1.490 ± 0.024 c |
| Larva (d) | 96 | 0.698 ± 0.027 a | 79 | 0.633 ± 0.025 ab | 92 | 0.701 ± 0.026 a | 91 | 0.577 ± 0.019 b | 100 | 0.590 ± 0.021 b |
| Protonymph (d) | 91 | 1.373 ± 0.042 a | 73 | 1.253 ± 0.038 b | 85 | 1.382 ± 0.051 a | 88 | 1.421 ± 0.050 a | 98 | 1.418 ± 0.046 a |
| Deutonymph (d) | 90 | 1.044 ± 0.055 b | 73 | 1.397 ± 0.064 a | 84 | 1.512 ± 0.075 a | 78 | 1.391 ± 0.058 a | 97 | 1.180 ± 0.061 b |
| Preadult (d) | 90 | 4.850 ± 0.078 bc | 73 | 5.034 ± 0.078 b | 84 | 5.435 ± 0.116 a | 78 | 4.904 ± 0.079 b | 97 | 4.670 ± 0.071 c |
| Adult (d) | 90 | 14.472 ± 1.016 c | 73 | 18.979 ± 1.640 ab | 84 | 20.649 ± 1.276 a | 78 | 20.404 ± 1.601 ab | 97 | 17.196 ± 1.158 bc |
| Longevity (d) | 97 | 18.211 ± 1.027 b | 86 | 20.942 ± 1.591 ab | 95 | 23.568 ± 1.341 a | 94 | 21.798 ± 1.529 ab | 101 | 21.153 ± 1.175 ab |
| APOP (d) | 57 | 2.088 ± 0.116 b | 45 | 3.044 ± 0.264 a | 56 | 2.339 ± 0.088 b | 41 | 2.366 ± 0.219 b | 53 | 2.245 ± 0.138 b |
| TPOP (d) | 57 | 6.974 ± 0.158 c | 45 | 8.100 ± 0.293 a | 56 | 7.768 ± 0.165 ab | 41 | 7.354 ± 0.222 bc | 53 | 6.906 ± 0.146 c |
| Oviposition day (d) | 57 | 8.702 ± 0.569 c | 45 | 10.411 ± 0.522 ab | 56 | 11.750 ± 0.611 a | 41 | 9.378±0.879 bc | 53 | 8.575±0.728 c |
| F (eggs per female) | 61 | 24.361 ± 1.785 b | 49 | 28.245 ± 1.874 b | 57 | 33.912 ± 2.017 a | 44 | 26.091 ± 2.620 b | 56 | 25.286 ± 2.227 b |
| Population Parameters | F-Ty | PSL | PSP | PSD | PSA |
|---|---|---|---|---|---|
| Mean ± SE | Mean ± SE | Mean ± SE | Mean ± SE | Mean ± SE | |
| Intrinsic rate of increase (r) (d−1) | 0.250 ± 0.010 a | 0.218 ± 0.011 b | 0.226 ± 0.009 ab | 0.204 ± 0.012 b | 0.231 ± 0.011 ab |
| Finite rate of increase (λ) (d−1) | 1.283 ± 0.013 a | 1.243 ± 0.013 bc | 1.254 ± 0.012 abc | 1.226 ± 0.015 c | 1.260 ± 0.014 abc |
| Net reproductive rate (R0) (offspring/individual) | 15.320 ± 1.640 ab | 16.093 ± 1.845 ab | 20.347 ± 2.090 a | 12.213 ± 1.812 b | 14.02 ± 1.755 b |
| Mean generation time (T) (d) | 10.936 ± 0.190 c | 12.75 ± 0.290 ab | 13.321 ± 0.286 a | 12.283 ± 0.316 b | 11.42 ± 0.274 c |
Disclaimer/Publisher’s Note: The statements, opinions and data contained in all publications are solely those of the individual author(s) and contributor(s) and not of MDPI and/or the editor(s). MDPI and/or the editor(s) disclaim responsibility for any injury to people or property resulting from any ideas, methods, instructions or products referred to in the content. |
© 2024 by the authors. Licensee MDPI, Basel, Switzerland. This article is an open access article distributed under the terms and conditions of the Creative Commons Attribution (CC BY) license (https://creativecommons.org/licenses/by/4.0/).
Share and Cite
Nie, Z.; Zuo, L.; Tang, S.; Fang, C.; Ma, Y.; Li, X.; Zhang, J.; Su, J. Effects of Prey Switching at Different Stages on Life Parameters of Neoseiulus bicaudus. Agriculture 2024, 14, 728. https://doi.org/10.3390/agriculture14050728
Nie Z, Zuo L, Tang S, Fang C, Ma Y, Li X, Zhang J, Su J. Effects of Prey Switching at Different Stages on Life Parameters of Neoseiulus bicaudus. Agriculture. 2024; 14(5):728. https://doi.org/10.3390/agriculture14050728
Chicago/Turabian StyleNie, Zixin, Li Zuo, Siqiong Tang, Chen Fang, Ying Ma, Xiang Li, Jianping Zhang, and Jie Su. 2024. "Effects of Prey Switching at Different Stages on Life Parameters of Neoseiulus bicaudus" Agriculture 14, no. 5: 728. https://doi.org/10.3390/agriculture14050728
APA StyleNie, Z., Zuo, L., Tang, S., Fang, C., Ma, Y., Li, X., Zhang, J., & Su, J. (2024). Effects of Prey Switching at Different Stages on Life Parameters of Neoseiulus bicaudus. Agriculture, 14(5), 728. https://doi.org/10.3390/agriculture14050728
