Influence of Swine Wastewater Irrigation and Straw Return on the Accumulation of Selected Metallic Elements in Soil and Plants
Abstract
1. Introduction
2. Materials and Methods
2.1. Site Description and Preperation of Materials
2.2. Plant Cultivation
2.3. Soil and Plant Sampling
2.4. Soil and Plant Analysis
2.5. Statistical Analysis
3. Results
3.1. Variation in the Basic Chemical Properties of Soils
3.2. Heavy Metals in Soils
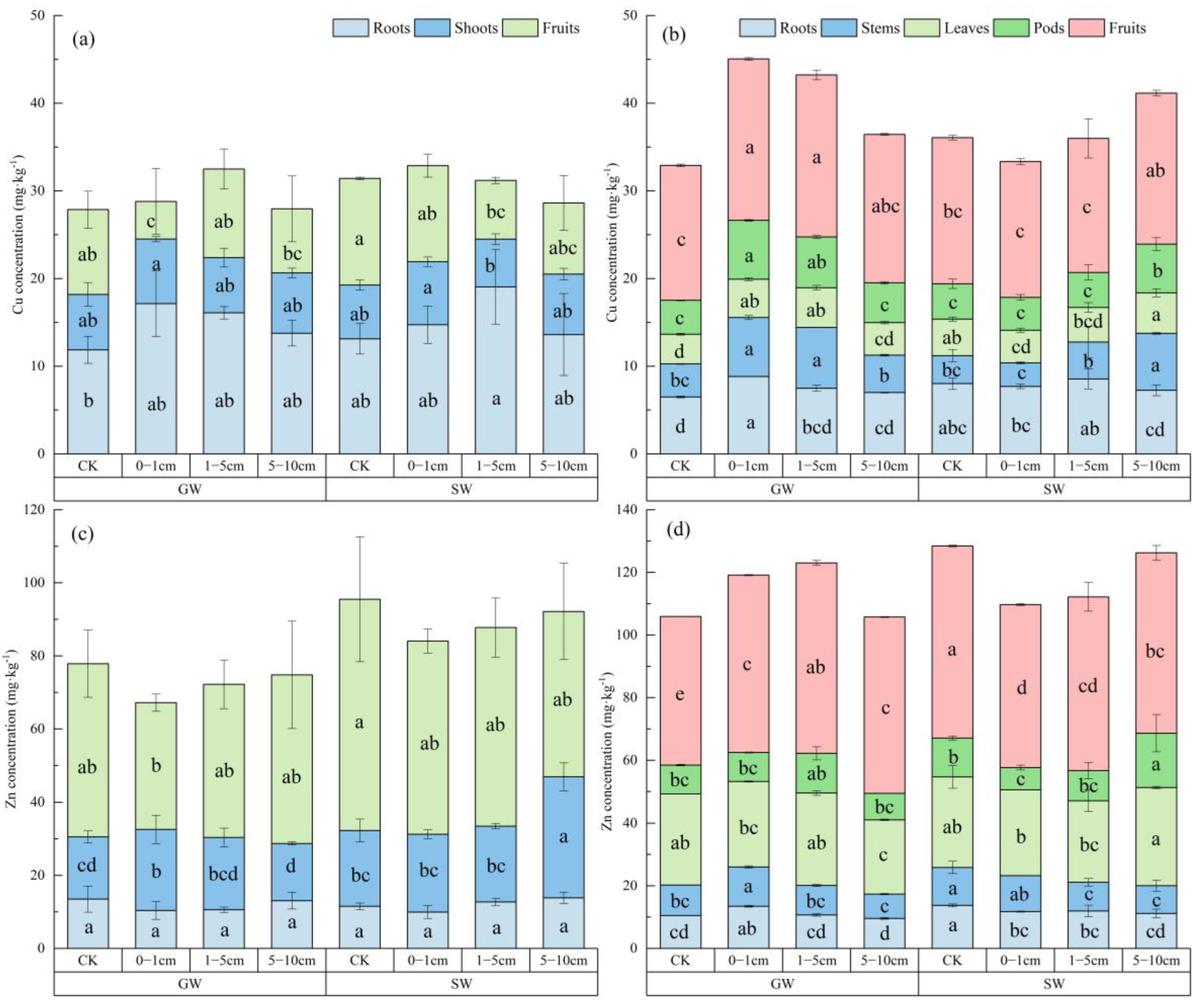
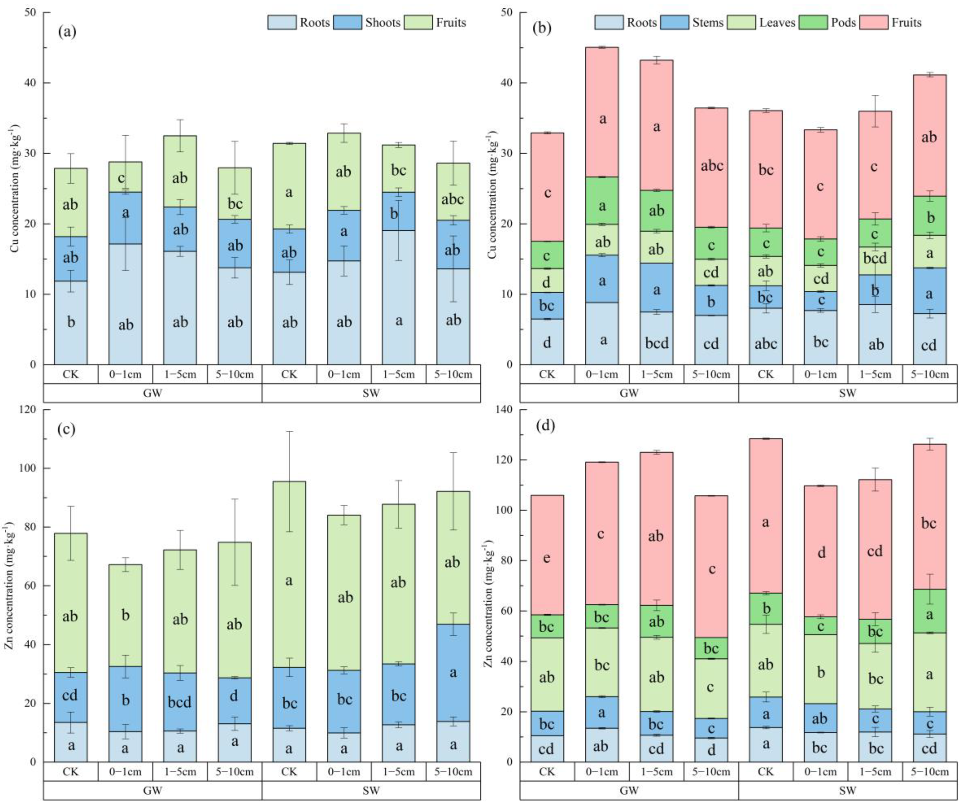
3.3. Heavy Metals in Plants
3.4. Bioaccumulation Factor
3.5. Translocation Factor
3.6. Associations between Rhizospheric Properties and Heavy Metal Accumulation in Plant Fruits
4. Discussion
4.1. Effect of Livestock Wastewater Irrigation on Heavy Metal Mobility in the Soil–Plant System
4.2. Effect of the Size of Returning Straw on Heavy Metal Mobility in the Soil–plant System
4.3. Interaction between Wastewater Application and Straw Return
4.4. Performance Differences between Cu and Zn
4.5. Performance Differences between Maize and Soybean
5. Conclusions
Author Contributions
Funding
Institutional Review Board Statement
Data Availability Statement
Conflicts of Interest
References
- Houghton, R.A. Historic Changes in Terrestrial Carbon Storage; Lal, R.A.L.K., Ed.; Springer: Dordrecht, The Netherlands, 2012; pp. 59–82. [Google Scholar]
- Xie, Z.; Zhu, J.; Liu, G.; Cadisch, G.; Hasegawa, T.; Chen, C.; Sun, H.; Tang, H.; Zeng, Q. Soil organic carbon stocks in China and changes from 1980s to 2000s. Glob. Chang. Biol. 2007, 13, 1989–2007. [Google Scholar] [CrossRef]
- Camenzind, T.; Mason-Jones, K.; Mansour, I.; Rillig, M.C.; Lehmann, J. Formation of necromass-derived soil organic carbon determined by microbial death pathways. Nat. Geosci. 2023, 16, 115–122. [Google Scholar] [CrossRef]
- Smith, P.; Lutfalla, S.; Riley, W.J.; Torn, M.S.; Schmidt, M.W.I.; Soussana, J.F. The changing faces of soil organic matter research. Eur. J. Soil Sci. 2018, 69, 23–30. [Google Scholar] [CrossRef]
- Navarro-Pedrero, J.; Almendro-Candel, M.B.; Zorpas, A.A. The increase of soil organic matter reduces global warming, myth or reality? Sci 2021, 3, 18. [Google Scholar] [CrossRef]
- Lavallee, J.M.; Soong, J.L.; Cotrufo, M.F. Conceptualizing soil organic matter into particulate and mineral-associated forms to address global change in the 21st century. Glob. Chang. Biol. 2020, 26, 261–273. [Google Scholar] [CrossRef]
- Statistical Yearbook World Food and Agriculture; Food and Agriculture Organization of the United Nations: Rome, Italy, 2022.
- Thornton, P.K. Livestock production: Recent trends, future prospects. Philos. Trans. R. Soc. B 2010, 365, 2853–2867. [Google Scholar] [CrossRef]
- Nagarajan, D.; Kusmayadi, A.; Yen, H.; Dong, C.; Lee, D.; Chang, J. Current advances in biological swine wastewater treatment using microalgae-based processes. Bioresour. Technol. 2019, 289, 121718. [Google Scholar] [CrossRef]
- Hill, J. Recycling biosolids to pasture-based animal production systems in Australia: A review of evidence on the control of potentially toxic metals and persistent organic compounds recycled to agricultural land. Aust. J. Agric. Res. 2005, 56, 753–773. [Google Scholar] [CrossRef]
- Kfle, G.; Asgedom, G.; Goje, T.; Abbebe, F.; Habtom, L.; Hanes, H. The level of heavy metal contamination in selected vegetables and animal feed grasses grown in wastewater irrigated area, around Asmara, Eritrea. J. Chem. 2020, 2020, 1359710. [Google Scholar] [CrossRef]
- Huang, H.; Li, B.; Li, J.; Zhang, P.; Yu, W.; Zhao, N.; Guo, G.; Young, B. Influence of process parameters on the heavy metal (Zn2+, Cu2+ and Cr3+) content of struvite obtained from synthetic swine wastewater. Environ. Pollut. 2019, 245, 658–665. [Google Scholar] [CrossRef] [PubMed]
- Lahlou, F.; Mackey, H.R.; Al-Ansari, T. Wastewater reuse for livestock feed irrigation as a sustainable practice: A socio-environmental-economic review. J. Clean. Prod. 2021, 294, 126331. [Google Scholar] [CrossRef]
- Yin, H.; Zhao, W.; Li, T.; Cheng, X.; Liu, Q. Balancing straw returning and chemical fertilizers in China: Role of straw nutrient resources. Renew. Sustain. Energy Rev. 2018, 81, 2695–2702. [Google Scholar] [CrossRef]
- Kaboosi, K. The assessment of treated wastewater quality and the effects of mid-term irrigation on soil physical and chemical properties (case study: Bandargaz- treated wastewater). Appl. Water Sci. 2017, 7, 2385–2396. [Google Scholar] [CrossRef]
- Ghosh, A.K.; Bhatt, M.A.; Agrawal, H.P. Effect of long-term application of treated sewage water on heavy metal accumulation in vegetables grown in Northern India. Environ. Monit. Assess. 2012, 184, 1025–1036. [Google Scholar] [CrossRef] [PubMed]
- Lombi, E.; Hamon, R.E.; McGrath, S.P.; McLaughlin, M.J. Lability of Cd, Cu, and Zn in polluted soils treated with lime, beringite, and red mud and identification of a non-labile colloidal fraction of metals using isotopic techniques. Environ. Sci. Technol. 2003, 37, 979–984. [Google Scholar] [CrossRef] [PubMed]
- Kabala, C.; Karczewska, A.; Szopka, K.; Wilk, J. Copper, zinc, and lead fractions in soils long-term irrigated with municipal wastewater. Commun. Soil Sci. Plan. 2011, 42, 905–919. [Google Scholar] [CrossRef]
- Ratuzny, T.; Gong, Z.; Wilke, B.M. Total concentrations and speciation of heavy metals in soils of the Shenyang Zhangshi Irrigation Area, China. Environ. Monit. Assess. 2009, 156, 171–180. [Google Scholar] [CrossRef] [PubMed]
- Khaskhoussy, K.; Kahlaoui, B.; Nefzi, B.M.; Jozdan, O.; Dakheel, A.; Hachicha, M. Effect of treated wastewater irrigation on heavy metals distribution in a Tunisian soil. Eng. Technol. Appl. Sci. 2015, 5, 805–810. [Google Scholar] [CrossRef]
- Lu, Y.; Yao, H.; Shan, D.; Jiang, Y.; Zhang, S.; Yang, J. Heavy metal residues in soil and accumulation in maize at long-term wastewater irrigation area in Tongliao, China. J. Chem. 2015, 2015, 628280. [Google Scholar] [CrossRef]
- Massaquoi, L.D.; Ma, H.; Liu, X.H.; Han, P.Y.; Zuo, S.M.; Hua, Z.X.; Liu, D.W. Heavy metal accumulation in soils, plants, and hair samples: An assessment of heavy metal exposure risks from the consumption of vegetables grown on soils previously irrigated with wastewater. Environ. Sci. Pollut. Res. 2015, 22, 18456–18468. [Google Scholar] [CrossRef]
- AL-Jaboobi, M.; Zouahri, A.; Tijane, M.; Housni, A.E.; Mennane, Z.; Yachou, H.; Bouksaim, M. Evaluation of heavy metals pollution in groundwater, soil and some vegetables irrigated with wastewater in the Skhirat region “Morocco”. J. Mater. Environ. Sci. 2014, 3, 961–966. [Google Scholar]
- Huang, T.; Yang, N.; Lu, C.; Qin, X.; Siddique, K.H.M. Soil organic carbon, total nitrogen, available nutrients, and yield under different straw returning methods. Soil Till Res. 2021, 214, 105171. [Google Scholar] [CrossRef]
- Dong, W.; Liang, L.; Brooks, S.; Southworth, G.; Gu, B. Roles of dissolved organic matter in the speciation of mercury and methylmercury in a contaminated ecosystem in Oak Ridge, Tennessee. Environ. Chem. 2010, 7, 94–102. [Google Scholar] [CrossRef]
- Xu, P.; Sun, C.; Ye, X.; Xiao, W.; Zhang, Q.; Wang, Q. The effect of biochar and crop straws on heavy metal bioavailability and plant accumulation in a Cd and Pb polluted soil. Ecotoxicol. Environ. Saf. 2016, 132, 94–100. [Google Scholar] [CrossRef] [PubMed]
- Hu, X.; Yuan, X.; Dong, L. Coal fly ash and straw immobilize Cu, Cd and Zn from mining wasteland. Environ. Chem. Lett. 2014, 12, 289–295. [Google Scholar] [CrossRef]
- Koegel-Knabner, I.; Amelung, W.; Cao, Z.; Fiedler, S.; Frenzel, P.; Jahn, R.; Kalbitz, K.; Koelbl, A.; Schloter, M. Biogeochemistry of paddy soils. Geoderma 2010, 157, 1–14. [Google Scholar] [CrossRef]
- Sahrawat, K.L. Fertility and organic matter in submerged rice soils. Curr. Sci. India 2005, 88, 735–739. [Google Scholar]
- Zhu, H.; Zhong, H.; Wu, J. Incorporating rice residues into paddy soils affects methylmercury accumulation in rice. Chemosphere 2016, 152, 259–264. [Google Scholar] [CrossRef] [PubMed]
- Mawof, A.; Prasher, S.O.; Bayen, S.; Anderson, E.C.; Nzediegwu, C.; Patel, R. Barley straw biochar and compost affect heavy metal transport in soil and uptake by potatoes grown under wastewater irrigation. Sustainability 2022, 14, 5665. [Google Scholar] [CrossRef]
- Wu, L.; Tan, C.; Liu, L.; Zhu, P.; Peng, C.; Luo, Y.; Christie, P. Cadmium bioavailability in surface soils receiving long-term applications of inorganic fertilizers and pig manure. Geoderma 2012, 173, 224–230. [Google Scholar] [CrossRef]
- Briones, M.J.I.; Schmidt, O. Conventional tillage decreases the abundance and biomass of earthworms and alters their community structure in a global meta-analysis. Glob. Chang. Biol. 2017, 23, 4396–4419. [Google Scholar] [CrossRef] [PubMed]
- Elyamine, A.M.; Moussa, M.G.; Ismael, M.A.; Wei, J.; Zhao, Y.; Wu, Y.; Hu, C. Earthworms, rice straw, and plant interactions change the organic connections in soil and promote the decontamination of cadmium in soil. Int. J. Environ. Res. Public Health 2018, 15, 2398. [Google Scholar] [CrossRef] [PubMed]
- GB 5084-2021; Standard for Irrigation Water Quality. Ministry of Ecology and Environment of the People’s Republic of China: Beijing, China, 2017. Available online: https://www.mee.gov.cn/ywgz/fgbz/bz/bzwb/shjbh/shjzlbz/202102/t20210209_821075.shtml (accessed on 1 July 2021).
- GB 15618-2018; Soil Environmental Quality Risk Control Standard for Soil Contamination of Agricultural Land. Ministry of Ecology and Environment of the People’s Republic of China: Beijing, China, 2018. Available online: https://www.mee.gov.cn/ywgz/fgbz/bz/bzwb/trhj/201807/t20180703_446029.shtml (accessed on 1 August 2018).
- Malik, K.M.; Khan, K.S.; Rukh, S.; Khan, A.; Akbar, S.; Billah, M.; Bashir, S.; Danish, S.; Alwahibi, M.S.; Elshikh, M.S.; et al. Immobilization of Cd, Pb and Zn through Organic Amendments in Wastewater Irrigated Soils. Sustainability 2021, 13, 2392. [Google Scholar] [CrossRef]
- Tian, L.; Sun, H.; Dong, X.; Wang, J.; Huang, Y.; Sun, S. Effects of swine wastewater irrigation on soil properties and accumulation of heavy metals and antibiotics. J. Soil Sediments 2022, 22, 889–904. [Google Scholar] [CrossRef]
- Adeli, A.; Bolster, C.H.; Rowe, D.E.; McLaughlin, M.R.; Brink, G.E. Effect of long-term swine effluent application on selected soil properties. Soil Sci. 2008, 173, 223–235. [Google Scholar] [CrossRef]
- Rusan, M.J.M.; Hinnawi, S.; Rousan, L. Long term effect of wastewater irrigation of forage crops on soil and plant quality parameters. Desalination 2007, 215, 143–152. [Google Scholar] [CrossRef]
- VazquezMontiel, O.; Horan, N.J.; Mara, D.D. Management of domestic wastewater for reuse in irrigation. Water Sci. Technol. 1996, 33, 355–362. [Google Scholar] [CrossRef]
- Hou, S.; Zheng, N.; Tang, L.; Ji, X.; Li, Y. Effect of soil pH and organic matter content on heavy metals availability in maize (Zea mays L.) rhizospheric soil of non-ferrous metals smelting area. Environ. Monit. Assess. 2019, 191, 634. [Google Scholar] [CrossRef]
- Soares, M.A.R.; Quina, M.J.; Quinta-Ferreira, R.M. Immobilisation of lead and zinc in contaminated soil using compost derived from industrial eggshell. J. Environ. Manag. 2015, 164, 137–145. [Google Scholar] [CrossRef]
- Brokbartold, M.; Grupe, M.; Marschner, B. Effectiveness of different soil amendments to reduce the Pb and Zn extractability and plant uptake in soils contaminated by anticorrosion paints beneath pylons. J. Plant Nutr. Soil Sci. 2012, 175, 443–455. [Google Scholar] [CrossRef]
- Guo, Y.; Tao, X.; Zhu, W.; Ji, Y.; Surendra, K.C.; Khanal, S.K.; Liu, B.; Li, G. Effects of straw biochar on heavy metal Cu in soil under different conditions. Commun. Soil Sci. Plan. 2023, 54, 203–217. [Google Scholar] [CrossRef]
- Suanon, F.; Sun, Q.; Dimon, B.; Mama, D.; Yu, C. Heavy metal removal from sludge with organic chelators: Comparative study of N, N-bis (carboxymethyl) glutamic acid and citric acid. J. Environ. Manag. 2016, 166, 341–347. [Google Scholar] [CrossRef] [PubMed]
- Chen, Y.X.; Lin, Q.; Luo, Y.M.; He, Y.F.; Zhen, S.J.; Yu, Y.L.; Tian, G.M.; Wong, M.H. The role of citric acid on the phytoremediation of heavy metal contaminated soil. Chemosphere 2003, 50, 807–811. [Google Scholar] [CrossRef] [PubMed]
- Klinke, H.B.; Ahring, B.K.; Schmidt, A.S.; Thomsen, A.B. Characterization of degradation products from alkaline wet oxidation of wheat straw. Bioresour. Technol. 2002, 82, 15–26. [Google Scholar] [CrossRef] [PubMed]
- Yang, Y.; Liu, H.; Lv, J. Evaluation of the applicability of organic amendments from microbially driven carbon and nitrogen transformations. Sci. Total Environ. 2022, 817, 153020. [Google Scholar] [CrossRef] [PubMed]
- Guo, Z.; Lv, L.; Liu, D.; He, X.; Wang, W.; Feng, Y.; Islam, M.S.; Wang, Q.; Chen, W.; Liu, Z.; et al. A global meta-analysis of animal manure application and soil microbial ecology based on random control treatments. PLoS ONE 2022, 17, e0262139. [Google Scholar] [CrossRef]
- Luengen, A.C.; Fisher, N.S.; Bergamaschi, B.A. Dissolved organic matter reduces algal accumulation of methylmercury. Environ. Toxicol. Chem. 2012, 31, 1712–1719. [Google Scholar] [CrossRef] [PubMed]
- Rezapour, S.; Atashpaz, B.; Moghaddam, S.S.; Damalas, C.A. Heavy metal bioavailability and accumulation in winter wheat (Triticum aestivum L.) irrigated with treated wastewater in calcareous soils. Sci. Total Environ. 2019, 656, 261–269. [Google Scholar] [CrossRef]
- Camelo, L.; DeMiguez, S.R.; Marban, L. Heavy metals input with phosphate fertilizers used in Argentina. Sci. Total Environ. 1997, 204, 245–250. [Google Scholar]
- Tu, C.; Zheng, C.R.; Chen, H.M. Effect of applying chemical fertilizers on forms of lead and cadmium in red soil. Chemosphere 2000, 41, 133–138. [Google Scholar] [CrossRef]
- Zhao, J.; Yan, Y.; Zhao, R.; Wang, R.; Wang, Z.; Ding, W. Experimental research on underwater target scattering properties for separated source and receiver. Shengxue Xuebao/Acta Acus. 1997, 22, 123–131. [Google Scholar]
- Huang, M.; Zhou, S.; Sun, B.; Zhao, Q. Heavy metals in wheat grain: Assessment of potential health risk for inhabitants in Kunshan, China. Sci. Total Environ. 2008, 405, 54–61. [Google Scholar] [CrossRef] [PubMed]
- Murakami, M.; Ae, N. Potential for phytoextraction of copper, lead, and zinc by rice (Oryza sativa L.), soybean (Glycine max [L.] Merr.), and maize (Zea mays L.). J. Hazard. Mater. 2009, 162, 1185–1192. [Google Scholar] [CrossRef]
- Mench, M.; Morel, J.L.; Guckert, A. Metal binding properties of high molecular weight soluble exudates from maize (Zea mays L.) roots. Biol. Fert. Soils 1987, 3, 165–169. [Google Scholar] [CrossRef]
- Morel, J.L.; Mench, M.; Guckert, A. Measurement of Pb2+, Cu2+ and Cd2+ binding with mucilage exudates from maize (Zea mays L.) roots. Biol. Fert. Soils 1986, 2, 29–34. [Google Scholar] [CrossRef]
- Sun, Q.; Sun, W.; Zhao, Z.; Jiang, W.; Zhang, P.; Sun, X.; Xue, Q. Soil compaction and maize root distribution under subsoiling tillage in a wheat-maize double cropping system. Agronomy 2023, 13, 394. [Google Scholar] [CrossRef]
- Lynch, J.P. Root phenes for enhanced soil exploration and phosphorus acquisition: Tools for future crops. Plant Physiol. 2011, 156, 1041–1049. [Google Scholar] [CrossRef]
- Shen, L.; Wang, X.; Liu, T.; Wei, W.; Zhang, S.; Keyhani, A.B.; Li, L.; Zhang, W. Border row effects on the distribution of root and soil resources in maize–soybean strip intercropping systems. Soil Till Res. 2023, 233, 105812. [Google Scholar] [CrossRef]
- Chen, J.; Shafi, M.; Wang, Y.; Wu, J.; Ye, Z.; Liu, C.; Zhong, B.; Guo, H.; He, L.; Liu, D. Organic acid compounds in root exudation of Moso Bamboo (Phyllostachys pubescens) and its bioactivity as affected by heavy metals. Environ. Sci. Pollut. Res. 2016, 23, 20977–20984. [Google Scholar] [CrossRef]
- An, L.; Pan, Y.; Wang, Z.; Zhu, C. Heavy metal absorption status of five plant species in monoculture and intercropping. Plant Soil 2011, 345, 237–245. [Google Scholar] [CrossRef]
- Sheirdil, R.; Bashir, K.; Hayat, R.; Akhtar, M. Effect of cadmium on soybean (Glycine max L.) growth and nitrogen fixation. Afr. J. Biotechnol. 2012, 8, 1886–1891. [Google Scholar] [CrossRef]
- Lyu, X.; Xia, X.; Wang, C.; Ma, C.; Dong, S.; Gong, Z. Effects of changes in applied nitrogen concentrations on nodulation, nitrogen fixation and nitrogen accumulation during the soybean growth period. Soil Sci. Plant Nutr. 2019, 65, 479–489. [Google Scholar] [CrossRef]
- Xia, X.; Ma, C.; Dong, S.; Xu, Y.; Gong, Z. Effects of nitrogen concentrations on nodulation and nitrogenase activity in dual root systems of soybean plants. Soil Sci. Plant Nutr. 2017, 63, 470–482. [Google Scholar] [CrossRef]







| Water | pH | EC | COD | N | P | Cu | Zn | K | Na | Cd | Pb | Ca | Mg | Cr | Mn | Ni |
|---|---|---|---|---|---|---|---|---|---|---|---|---|---|---|---|---|
| mScm−1 | mg·L−1 | mg·L−1 | mg·L−1 | mg·L−1 | mg·L−1 | mg·L−1 | mg·L−1 | mg·L−1 | mg·L−1 | mg·L−1 | mg·L−1 | mg·L−1 | mg·L−1 | mg·L−1 | ||
| GW | 7.43 | 0.687 | 1.75 | 0.43 | 0.04 | 0.02 | 0.02 | 1.70 | 1.50 | - | - | 34.84 | 9.28 | - | 0.01 | - |
| SW | 8.78 | 7.757 | 7818.00 | 1807.50 | 219.17 | 4.96 | 12.62 | 1022.00 | 690.00 | - | 0.02 | 74.31 | 14.18 | 0.14 | 1.45 | 0.27 |
| Soil | Source of Variation | Cu | Zn | ||
|---|---|---|---|---|---|
| F | p | F | p | ||
| Rhizosphere | Irrigation water resource | 24.724 | <0.001 *** | 4.759 | 0.044 * |
| Straw size | 4.321 | 0.021 * | 6.891 | 0.003 ** | |
| Interaction | 7.135 | 0.003 ** | 4.803 | 0.014 * | |
| Bulk soil | Irrigation water resource | 15.771 | 0.001 ** | 0.001 | 0.973 |
| Straw size | 4.062 | 0.025 * | 2.956 | 0.064 | |
| Interaction | 17.616 | <0.001 *** | 1.011 | 0.413 | |
| Soil | Source of Variation | Cu | Zn | ||
|---|---|---|---|---|---|
| F | p | F | p | ||
| Rhizosphere | Irrigation water resource | 19.618 | <0.001 *** | 2.514 | 0.132 |
| Straw size | 0.412 | 0.747 | 0.451 | 0.720 | |
| Interaction | 1.502 | 0.252 | 1.634 | 0.221 | |
| Bulk soil | Irrigation water resource | 15.081 | 0.001 ** | 2.645 | 0.123 |
| Straw size | 2.854 | 0.070 | 2.645 | 0.085 | |
| Interaction | 1.495 | 0.254 | 3.400 | 0.044 * | |
| Parts of Plants | Source of Variation | Cu | Zn | ||
|---|---|---|---|---|---|
| F | p | F | p | ||
| Roots | Irrigation water resource | 0.124 | 0.729 | 0.023 | 0.881 |
| Straw size | 3.718 | 0.033 * | 2.958 | 0.064 | |
| Interaction | 0.929 | 0.449 | 1.160 | 0.356 | |
| Shoots | Irrigation water resource | 0.902 | 0.356 | 26.424 | <0.001 *** |
| Straw size | 4.025 | 0.026 * | 5.122 | 0.011 * | |
| Interaction | 0.356 | 0.786 | 16.269 | <0.001 *** | |
| Fruits | Irrigation water resource | 3.543 | 0.078 | 7.047 | 0.017 * |
| Straw size | 3.141 | 0.054 | 1.372 | 0.287 | |
| Interaction | 5.750 | 0.007 ** | 0.977 | 0.428 | |
| Parts of Plants | Source of Variation | Cu | Zn | ||
|---|---|---|---|---|---|
| F | p | F | p | ||
| Roots | Irrigation water resource | 3.766 | 0.070 | 10.023 | 0.006 ** |
| Straw size | 6.414 | 0.005 ** | 7.750 | 0.002 ** | |
| Interaction | 6.961 | 0.003 ** | 8.698 | 0.001 ** | |
| Stems | Irrigation water resource | 21.065 | <0.001 *** | 1.655 | 0.217 |
| Straw size | 11.479 | <0.001 *** | 14.917 | <0.001 *** | |
| Interaction | 24.080 | <0.001 *** | 3.162 | 0.053 | |
| Leaves | Irrigation water resource | 0.774 | 0.392 | 1.876 | 0.190 |
| Straw size | 2.554 | 0.092 | 1.048 | 0.398 | |
| Interaction | 11.315 | <0.001 *** | 10.101 | <0.001 *** | |
| Pods | Irrigation water resource | 21.605 | <0.001 *** | 3.064 | 0.099 |
| Straw size | 8.896 | 0.001 ** | 3.717 | 0.033 * | |
| Interaction | 22.453 | <0.001 *** | 7.892 | 0.002 ** | |
| Fruits | Irrigation water resource | 10.998 | 0.004 ** | 2.966 | 0.104 |
| Straw size | 1.930 | 0.165 | 6.359 | 0.005 ** | |
| Interaction | 10.845 | <0.001 *** | 34.974 | <0.001 *** | |
Disclaimer/Publisher’s Note: The statements, opinions and data contained in all publications are solely those of the individual author(s) and contributor(s) and not of MDPI and/or the editor(s). MDPI and/or the editor(s) disclaim responsibility for any injury to people or property resulting from any ideas, methods, instructions or products referred to in the content. |
© 2024 by the authors. Licensee MDPI, Basel, Switzerland. This article is an open access article distributed under the terms and conditions of the Creative Commons Attribution (CC BY) license (https://creativecommons.org/licenses/by/4.0/).
Share and Cite
Li, S.; Tao, Z.; Liu, Y.; Li, S.; Kama, R.; Hu, C.; Fan, X.; Li, Z. Influence of Swine Wastewater Irrigation and Straw Return on the Accumulation of Selected Metallic Elements in Soil and Plants. Agriculture 2024, 14, 317. https://doi.org/10.3390/agriculture14020317
Li S, Tao Z, Liu Y, Li S, Kama R, Hu C, Fan X, Li Z. Influence of Swine Wastewater Irrigation and Straw Return on the Accumulation of Selected Metallic Elements in Soil and Plants. Agriculture. 2024; 14(2):317. https://doi.org/10.3390/agriculture14020317
Chicago/Turabian StyleLi, Siyi, Zhen Tao, Yuan Liu, Shengshu Li, Rakhwe Kama, Chao Hu, Xiangyang Fan, and Zhongyang Li. 2024. "Influence of Swine Wastewater Irrigation and Straw Return on the Accumulation of Selected Metallic Elements in Soil and Plants" Agriculture 14, no. 2: 317. https://doi.org/10.3390/agriculture14020317
APA StyleLi, S., Tao, Z., Liu, Y., Li, S., Kama, R., Hu, C., Fan, X., & Li, Z. (2024). Influence of Swine Wastewater Irrigation and Straw Return on the Accumulation of Selected Metallic Elements in Soil and Plants. Agriculture, 14(2), 317. https://doi.org/10.3390/agriculture14020317

