Next Article in Journal
A Methodological Review of Fluorescence Imaging for Quality Assessment of Agricultural Products
Previous Article in Journal
Minimization of Inhibitor Generation in Rice Straw Hydrolysate Using RSM Optimization Technique
 
 
Font Type:
Arial Georgia Verdana
Font Size:
Aa Aa Aa
Line Spacing:
Column Width:
Background:
Article

Effect of Native Vegetative Barriers to Prevent Wind Erosion: A Sustainable Alternative for Quinoa (Chenopodium quinoa Willd.) Production

by
Ermindo Barrientos-Pérez
1,2,
Felipe S. Carevic-Vergara
2,3,*,
Juan Pablo Rodriguez
4,
Jorge Arenas-Charlín
2 and
José Delatorre-Herrera
2
1
Engineering Agriculture Department, Natural Sciences and Agriculture Faculty, Universidad Técnica de Oruro, Oruro 00591, Bolivia
2
Doctoral Program in Agriculture for Arid-Desert Environments, Faculty of Renewable Natural Resources, Desert Agriculture Area, Universidad Arturo Prat, Iquique 1100000, Chile
3
Plant Ecology Laboratory, Faculty of Renewable Natural Resources, Universidad Arturo Prat, Iquique 1100000, Chile
4
Julius Kühn Institute (JKI)—Institute for Plant Protection in Horticulture and Urban Green, Messeweg 11/12, 38104 Braunschweig, Germany
*
Author to whom correspondence should be addressed.
Agriculture 2023, 13(7), 1432; https://doi.org/10.3390/agriculture13071432
Submission received: 15 April 2023 / Revised: 11 July 2023 / Accepted: 12 July 2023 / Published: 20 July 2023

Abstract

The abandonment of ancestral techniques and the incorporation of new technologies in the production systems for the cultivation of quinoa has resulted in overexploitation of soils, a loss of fertility, water imbalance, a loss of native vegetation cover in plain land areas, and other negative effects on the southern Altiplano agricultural sustainable system. One of the methods to reduce wind erosion and improve soil environmental conditions is establishing a native vegetative barrier. The effect of t’ola [Parastrephia lepidophylla (Wedd.) Cabrera] as a vegetative barrier to prevent wind erosion was evaluated using the rod method, gravimetric humidity fluctuations, and soil quality measurements in traditional quinoa Real production plots. We found significant differences (p < 0.05) for mean erosion, sedimentation, net erosion, and mobilized soil variables. The highest loss of soil was reported for December and November. Vegetative barriers comprising three meters of t’ola better protected bare soils up to 7 m from the barrier, while in bare soils, the loss values were over 5 t ha−1 month−1. Soil humidity fluctuations in plots with t’ola vegetative barriers were highly significant for the distance factors and depth levels. There was a higher accumulation of gravimetric humidity (%) in bare soils from 1.5 m to the barrier (6.95%), while the insides of the vegetative barriers retained an average soil humidity of 6.37%. After two agricultural seasons in the quinoa plots, 62 t ha−1 per year of soils were lost due to a lack of vegetative barriers. Due to the large, cultivated area with quinoa (104,000 ha in 2014) in the Intersalar zone, wind erosion causes 6.48 million tons of soil loss yearly. T’ola vegetative barriers in the southern Altiplano of Bolivia favour the retention of sediments against wind erosion and soil protection for quinoa cultivation. Furthermore, incorporating native lupine increased soil fertility by 80% and protected the soil surface cover.

1. Introduction

The Bolivian territory is represented by four biogeographic regions: the Amazonian, Brazilian–Paranense, Chaqueña, and Andean regions. These regions comprise various natural regions from the high Andean region, puna, salt flats or Intersalar, inter-Andean valleys, and Yungas [1]. Bolivia has severe problems with soil degradation. Approximately 48% of the country’s surface experiences erosion, which affects the Oruro, Potosí, Chuquisaca, and Tarija departments. Altiplano is a region susceptible to erosion, soil degradation, and changes in land use [2,3].
The main economic activity of the Intersalar region (southern Altiplano of Bolivia) is exclusively dependent on the production of quinoa and llama (Lama glama) livestock breeding, which are of regional priority. In this region, large areas are cultivated with quinoa for export since its agroecological conditions do not allow for the cultivation of other crops [4,5]. Currently, the productive situation of quinoa in Bolivia tends to be increasingly unsustainable. Furthermore, high production costs, decreasing yields, and low sale prices in the market contributed to the new productive distribution of quinoa, which is now cultivated in more than 120 countries worldwide [6]. This new scenario challenges quinoa producers in the Andean region [6].
The significant international demand for quinoa in the 2010s and the exceptional prices (“boom” of quinoa) have resulted in remarkable expectations for farmers of the southern highlands [6], which occurred between 2013 and 2015 with increasing production without sustainable soil management criteria [7]. As a result, quinoa growers began to carry out extensive cultivation in the plains. This situation caused transformations in the production systems, resulting in activities that are not recommended, such as the destruction of native shrubs or “t’ola” (Parastrephia lepidophylla (Wedd.) Cabrera), “Añawaya” (Adesmia spp.), “Lampaya” (Lampaya castellani Moldenke), and perennial grasses of the genera Festuca spp., and Stipa spp. Such ecological imbalances ruined the native plant recovery and plant succession (natural repopulation) process, which requires between 30 and 50 years to develop once bioclimatic and anthropogenic conditions are proper, thereby seriously affecting camelid grazing areas [8,9,10,11]. Furthermore, the change in the production system and the expansion of new cultivation areas in the Intersalar plains are related to the negative trend in yields, with values below 0.5 t ha−1 being obtained [5,12,13]. Meanwhile, the cultivation of quinoa in the presence of native shrubs on the border of the plots reported higher yields (1373 and 773 kg ha−1) compared to cultivation in the ‘pampa’ plains with little or no native vegetation cover (537 kg ha−1) [7]. The official records of quinoa production in Oruro and Potosí, the epicenter regions of the southern Altiplano of Bolivia, reported average seed yields of 607 and 594 kg ha−1, respectively [14].
Quinoa from the southern Altiplano of Bolivia grows in an ecologically fragile natural environment, where the sandy soil is permanently exposed to the wind with frequent directions from the west to the northwest. Notably, such occurrences are more damaging in September and October (with average speeds from 14.4 to 43.2 km h−1). This region is characterized by low annual rainfall, with more than 200 days of frost per year, high light intensity, and a high incidence of UVb radiation (417 Wm−2 to 620 Wm−2) [5,15,16]. In this climatic context, the certification standards for the organic production and transformation of quinoa for international markets require the establishment of fences or vegetative barriers with potential native species, i.e., t’ola (Parastrephia lepidophylla (Wedd.) Cabrera), añawaya (Adesmia spinosissima Meyen ex Vogel), lampaya (Lampaya medicinalis Phil.), and others. These vegetative barriers create ecological corridors to preserve biodiversity, combat pests efficiently, and prevent soil erosion. The surface of vegetative barriers must represent a minimum of 10 to 15% of the cultivated land with a minimum width of 3 m under the basic principle of using the system’s natural resources to protect water and soil, increase biodiversity, and promote the welfare of wild and domestic animals. Furthermore, vegetative barriers must be planted according to the direction of the prevailing winds (crosswise) [17,18,19,20].
The regulation of Law 3525 (law for the regulation and promotion of ecological non-timber forestry and agricultural production of the Plurinational State of Bolivia, 2006) recommends that ecological production should be developed in harmony with the environment, conserving a high diversity of flora and fauna through sustainable management of natural resources and conservation of soil, water, air, and vegetation [21]. For extensive crops, this standard recommends a minimum of 10% of native plant cover within the production unit, which can be distributed in anti-erosive strips, windbreaks, or sustainable forest use systems. This regulation supports the production and certification of organic quinoa Real in an adverse climatic environment such as the Intersalar region since the t’ola vegetate barriers or fences are an essential part of organic certification for different international markets [21].
Agroforestry systems are one of the few adequate alternatives for environmental conservation and improving agricultural productivity in natural regions with limited humidity and soils prone to erosion and loss of productive capacity. Parastrephia lepidophylla, a small shrub inhabiting sandy and saline soils, commonly reaching 70–90 cm in height, is locally used as fuel for baking and natural vegetative barriers in eastern Bolivia [6,9,22].
At the eco-physiological level, applying barriers with vegetal residues to control soil erosion increases sedimentation and protects surface irrigation water from pesticides and dust; this has been demonstrated to be highly effective in Mediterranean and semi-arid ecosystems [23,24]. The utilization of coconut fiber as barriers increases by at least 64% sedimentation deposition, favoring soil nutrition, while leguminous barriers of Lucerne (Medicago sativa L.) have an active role in soil nutrition (total nitrogen) during the growing season of maize (Zea mays L.) [24,25]. Nevertheless, the distance of the cultivation from the barrier, the slope, and the density seems to be key factors to consider in evaluating the ability of such barriers to effectively prevent soil erosion at the experimental level in fields [25,26]. Vegetative barriers as devices for the control of wind erosion and the recovery of vegetation cover are required for the ecological cultivation of quinoa in the southern highlands of Bolivia [27]. Under the conditions of the southern Altiplano of Bolivia, this study hypothesises that using vegetative barriers and cultivating native legumes in Altiplano production systems will decrease wind erosion and prevent deterioration of the soil system, enabling the sustainability of quinoa production. This study aims to assess the effectiveness of native vegetative barriers with Parastrephia lepidophylla (Wedd.) Cabrera against wind erosion in the Bolivian southern Altiplano systems for quinoa cultivation and provide sustainable soil fertility. Furthermore, the interannual dynamics of soil fertility and moisture were determined in plots with vegetative barriers and herbaceous leguminous land cover.

2. Materials and Methods

2.1. Study Area

The study and fieldwork reported herein were conducted in the Salinas de Garcí Mendoza region (native community of Rodeo) of the southern Altiplano of Bolivia (Figure 1). The Intersalar region is characterized by a “very poor” humidity index (annual rainfall below 200 mm); very high daily and monthly temperature fluctuations, with more than 200 days of frost per year; high light intensity; a strong incidence of UVb radiation (416.9 Wm−2 to 619.5 Wm−2); and average wind speeds from 14.4 to 43.2 km h−1, reaching 25 m s−1 (90 km h−1). Its climatic condition corresponds to an “arid” zone with a predominantly dry geographic, climatic framework. Most of the soils in the Intersalar area are sandy to sandy-loamy, with a moderately alkaline pH. The soils are also deficient in essential nutrients (N and P) and have a low content of organic matter.

2.2. Weather

Based on the climatic characteristics of the region (semi-arid and arid) of the southern highlands obtained from references from the Uyuni meteorological station (Table 1; 1 July 2017–August 2018), there is a significant difference in the extreme temperatures, which is a characteristic of the study area. Further, thermal oscillations are very wide, and high wind speeds occur in the dry season.

2.3. Degree of Wind Erosion and Soil Moisture

To evaluate the degree of wind erosion and humidity fluctuations in plain plots of quinoa cultivation, three vegetative barriers of t’ola [Parastrephia lepidophylla (Wedd.) Cabrera] was investigated in the community of Rodeo. The barriers were established before the study, had a shrub cover of 3 m in width, and were separated by 30 m between the barriers and the cultivated plot. As control sites, we used a site without vegetation (Rodeo control, Ctrl.Rod) and a site with simple barriers built up with sandy-textured soils (Sivingani community). We considered two factors influencing wind erosion: the month of evaluation and the distances of the barrier to the quinoa crop. To evaluate wind erosion, the method of nails or rods was used [28]. Eight graduated metal rods were installed in each 30 m × 10 m plot. Data were collected from July 2017 to August 2018, every 15 days.
The mean erosion and/or mean sedimentation (ME) were estimated using Equation (1), while the net erosion (NE) and mobilized soil were determined via Equations (2) and (3), respectively.
ME = Y × Da × 10
Here, ME is the eroded or sedimented soil (t ha−1), Y is the height of the eroded or sedimented soil (mm), and Da is the apparent density (t m−3).
NE = E − S
Here, NE is net erosion (t ha−1), E is mean erosion (t ha−1), and S is mean sedimentation (t ha−1).
mS = E + S
Here, mS is mobilized soil (t ha−1), E is average erosion (t ha−1), and S is average sedimentation (t ha−1).
Moisture fluctuations in experimental living barriers were recorded monthly and annual intervals (factor A = months of sampling). The gravimetric moisture content of soil water was recorded at different sampling depths (factor B = depth of sampling), 0–15, 15–20, 20–30, 30–40, and 40–50 cm deep, as well as the C factor, sampling distances to the live barrier (0, 0.5, 1.5 m). The technique involved drying soil samples in an oven at 105 °C for 72 h; the obtained values are expressed as a percentage of dry weight. Three repetitions were used on each sampling date and soil depth profile [29], and the moisture content was determined using Equation (4):
%H = ((Msw − Mss))/Mss × 100
where %H is the soil moisture content as a percentage, Msw is the mass of wet soil; and Mss is the mass of dry soil.

2.4. Determination of Nutrient Content in Soil

The total nitrogen content and other nutrients in each plot were determined with sub-samples in zigzag and respective quarters [30]. In the study’s second phase, plain soils (Salinas sector) were subsequently cultivated with two ecotypes of wild lupine under controlled conditions (cultivation in pots). Before sampling and subsequent quartering of four repetitions per treatment (two cultivars of wild lupine), the total soil nitrogen was determined following the Kjeldahl digestion methodology [31]. The samples were processed in the PROINPA Foundation (Microbiology) laboratories and the Faculty of Agronomy of the Universidad Mayor de San Simón (total nitrogen and other elements).

2.5. Statistical Analysis

The effectiveness of the t’ola [Parastrephia lepidophylla (Wedd.) Cabrera] vegetative barriers against wind erosion and soil moisture content were determined through a generalized linear mixed model, where the variables month, distance of native barrier and depth of soil moisture were analyzed. Possible interactions either were calculated with IBM SPSS V.26 [32]. The following variables were calculated in this study: erosion, sedimentation, net erosion, soil movement, and soil moisture. The figures were created with Origin Pro [33].

3. Results

3.1. Average Erosion

Statistical analysis (p < 0.05) revealed that the mean erosion differed between the evaluated months, with a statistical difference found with the one control site. Furthermore, the different distances to the vegetative barrier were also found to affect the mean erosion (p < 0.05). Based on the results and a reliability score of 95%, we can assert that the highest values of soil loss due to wind erosion corresponded to December (2017 management), followed by November (2017) and August (2018). In June 2018, statistically similar erosion values to those of October, August, and September 2017 were found. January, February, and March 2018 had the lowest average erosion values (Figure 2a).
Wind erosion induced by the distance factor from bare soil to the t’ola vegetative barrier highlights that plains soils without any protection of plant cover (Sivingani—Salinas G.M. community reference) caused soil losses of over 5 t ha−1 month−1. In the community of Rodeo, the erosive effect of soils affected bare soils (control) and was found to be 14 m from the t’ola barrier to a greater degree. However, monthly soil losses at distances of 7 and 21 m led to statistically similar values (p < 0.05). The average values of soil loss due to wind erosion for each month in the t’ola vegetative barriers were like those of soils at distances of 1 and 28 m, with soils at distances of 0.5 m obtaining the lowest soil level (Figure 2b).

3.2. Sedimentation

Sedimentation is an inverse process to erosion, and based on the results, statistical differences (p < 0.05) were found over several months in 2017–2018. Significant differences were found (p < 0.05) for various distances to the t’ola vegetative barrier (Figure 2d). September 2017, March 2018, and October 2017 had the highest sediment accumulation values of 3.05, 2.93, and 2.36 t ha−1 month−1, respectively. Furthermore, a statistical group with minimum values was highlighted (below 0.67 t ha−1 month−1), corresponding to April, May, June, July, and August 2018 (Figure 2c).

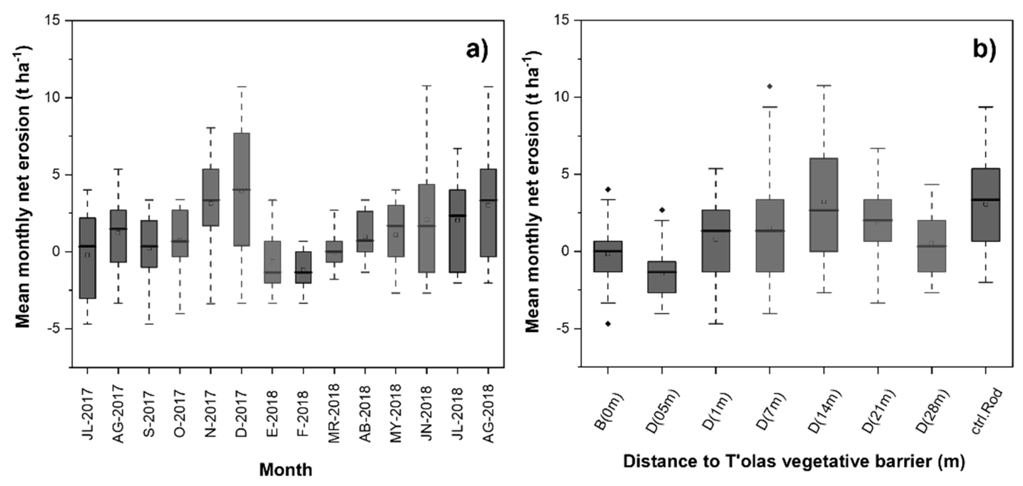
3.3. Net Erosion

Significant results were found about net erosion, which was statistically different (p < 0.05) between the months evaluated and compared with the control site. Furthermore, the different distances (evaluation points) to the living t’ola barrier had different effects (p < 0.05) (Figure 3b). Thus, December 2017, August 2018, November 2017, and June 2018 comprised a group with higher values for this variable. Soil losses via net erosion from July 2018, August 2017, May 2018, October 2017, April 2018, and July 2017 highlight an intermediate group of soil loss due to wind erosion. Furthermore, January, February, and March 2018 had negative values for net erosion; thus, the accumulation and/or transport of soil particles (sedimentation) was greater than soil losses due to net erosion.
Based on the monthly mean net erosion (t ha−1) evaluated at different distances from the t’ola vegetative barriers (July 2017 to August 2018) between the control site without vegetation cover and with a reliability of 95%, the plain lands with distances of 14 m from the t’ola barrier and plots without coverage (Rodeo control plots, ‘ctrl.Rod’) had the highest monthly average values of soil loss due to winds for the net erosion variable (Figure 3a). However, the last two treatments had statistically similar values at 21 m and 7 m away from the living t’ola barrier. Distances of 7 m, 1 m, and 28 m had minimum soil losses through net erosion; however, negative values (sedimentation) were recorded within the barriers (B 0 m) and ground distances at 0.5 m (Figure 3b).

3.4. Movement of Soils

Statistically significant differences (p < 0.05) were found between different months (Figure 4a) for the movement of soils due to erosion and sedimentation at the two control sites of soils without vegetal cover. Furthermore, different evaluation points to the living t’ola barrier (distances) had different effects on the mentioned variable. The largest soil movements were recorded in December 2017 (9 tons ha−1), followed by November 2017, September 2017, and October 2017. The records of soil movements in August 2018, August 2017, and June 2018 revealed average values of 5 tons ha−1 month−1. January, February, and April 2018 had the lowest values for soil movement (Figure 4a).
In Figure 4b, the maximum average values of soil movements due to the effect of wind erosion were recorded in plots without vegetation cover and sandy soils, followed by points or distances of 14 m to the living barrier of t’ola and bare soils (Rodeo control plots, ‘ctrl.Rod’). The minimum average values of ground movement due to the effect of winds were recorded at distances of 0.5, 1, and 28 m to the living t’ola barrier. Within the same space of the barrier, soil movements greater than 4 t ha−1 were recorded, which were statistically similar at distances of 21 m to the living barrier.

3.5. Soil Gravimetric Water Content

With a significance level of 95%, sufficient evidence of differences in the water content (gravimetric moisture) between the months evaluated was found. Moreover, differences in moisture content were found in the living t’ola barrier compared to bare soils and samples at different distances from the barrier. Based on the results (Figure 5a), which had a reliability of 95%, we can assert that there are significant differences between soils without barriers and bare soil compared to the other treatments; the highest values of moisture content were recorded in soils at a 1.5 m distance from the t’ola barrier (Figure 5b). Meanwhile, soils without cover had the lowest values for moisture content.
The gravimetric moisture content (%) of resting soils in 2017–2018 was higher in March 2018, followed by April and May 2018. The months with the lowest moisture content were January 2018 and July 2017, with values below 4% gravimetric humidity (Figure 5a). Fluctuations in humidity in different sampling profiles and greater accumulations of humidity in the 50 cm soil profile were revealed in the different months of sampling, except for March, which had the highest humidity content in the 20 cm profile (Figure 5c).

3.6. Nitrogen Contribution to the System Incorporating Wild Lupinus spp.

The physicochemical characteristics of degraded soil for quinoa cultivation at the two sites of the Intersalar region are listed in Table 1.
According to the data in Table 2, the textural classes that predominate the evaluated sites are sandy loam (FA) and sandy (A), with a tendency of loamy soils (F) at points of 0.5 and 1.5 m at the t’ola living barrier in the Rodeo community, and sandy soils in Sivingani—Salinas G.M. (community reference). The pH of the soil solution at the sampling points indicated a qualified degree of alkalinity.
The most representative soils of the Intersalar region had a sandy texture (Sivingani—Salinas de G.M. community). Due to the management conditions at the time, these soils had an accelerated degradation and loss of their productive capacity. Thus, two wild lupine ecotypes (Lupinus spp.) were cultured to evaluate the nitrogen supply by biological fixation of bacteria of the genus Rhizobium. The nitrogen content in the three treatments was within the very low classification scale, despite the tendency of wild lupine cultivation to increase. The total nitrogen content was from 0.031 to 0.056%. An even higher value of 8 was found, with 4 mg kg−1 in the form of nitrates. The results after one year of cultivation are presented in Table 3.

4. Discussion

For the evaluated months in the studied period, an estimated loss of 40.99 t ha−1 of agricultural soil was found for the averaged accumulated erosion variable. In the same period, the mean accumulated sedimentation was 20.83 t ha−1, the accumulated average net erosion was 20.16 t ha−1, and the total soil dynamic was 62 t ha−1. This loss of soils is consistent with the wind erosion evaluation performed in the Saitoco community (Salinas de Garcí Mendoza sector), where the highest movement of soil was in November and December 2011, with average values of 40 and 140 t ha−1; these values are between 2 to 7 times higher [34]. This situation is supported by climatic information and is related to the higher frequency of winds recorded in December and November, which can reach speeds of 44.5 km h−1 [35]. Normally, soil loss in the Intersalar areas occurs in agricultural lands from 50 to 120 t ha−1. Such losses are worrisome for soils eroded by wind, with losses greater than 75 t ha−1, which means 46% of the surface in plain soils for quinoa cultivation. Furthermore, values of 26% were found for sedimentation [36,37].
The average monthly erosion in the same barrier caused soil losses of 1.98 t ha−1 month−1, reducing soil losses (Figure 5a) at a 0.5 m distance from the t’ola barrier (1.02 t ha−1 month−1). At a greater distance from the barrier (7 and 14 m), the degree of erosion increased, reaching values between 2.79 and 4.5 t ha−1 month−1. However, when these figures are compared with the control treatments (6.45 and 5.52 t ha−1 month−1), evident barrier protection is found, in which losses were reduced by more than 200%, furthermore, the distance between barriers should not exceed 15 m, and the theoretical height of the bush is 1.5 m, due to accumulated net erosion readings (Figure 6). Based on several reports, the highest water and wind erosion rates were recorded in soil conditions without vegetation cover. Thus, in the southern highlands, the natural vegetation cover was reduced. Such a situation is suitable for the increase in erosion induced by strong winds, which causes an environmental crisis in the Altiplano that is already experiencing desertification [4,9,38,39].
In 2014, quinoa was cultivated in 104,663 ha of land, which in terms of soil erosion meant 62 t ha−1 on average, and in terms of a large scale was 6,489,106 tons of soil per year of net erosion [40]. Although the cultivated area was reduced in 2021 to 47,193 ha, the damage caused by the loss of vegetative cover still is present. Utilizing vegetative and natural barriers to control and contain soil erosion in arid lands such as southern Altiplano is important. Moreover, there is a lack of soil management during the initial stages due to plugging and the death of seedlings, which farmers should address. This situation is related to the unplanned expansion of cultivation areas in plains, which has led to the unsustainability of the system [27,41] and higher rates of erosivity, thereby contributing to the plowed areas in plains that served as continuous grazing meadows [42,43].
Vegetative barriers are increasingly used to reduce sediment export from cropland and thus mitigate the negative off-site consequences of soil erosion [44]. However, in semi-arid and arid climates, native plant communities do not entirely protect the soil surface from wind erosion forces [45]. Due to the excessive movement of soils induced by wind erosion (>50 t year−1) and the process of saltation of particles between 10 and 50 cm from the ground, the establishment of vegetation barriers is appropriately adapted to the Altiplano. Several entities and studies related to the cultivation of quinoa have reported that the implementation of vegetative barriers based on low-growing native plant species not only reduces the rates of wind erosion but also helps soil and soil conservation. The highest microbiological activity was found in soils with the t’olar-type vegetative cover—they constitute a main requirement within the ecological cultivation of quinoa [46,47]. In the conditions of the southern Altiplano of Bolivia, the use of vegetative barriers seems to be adequate. It is essential to evaluate their acceptance by producers, particularly because of their multiple roles in soil conservation and the control of pest populations, including the balance between cultivation and livestock and ecosystem services (firewood and medicinal plants).
The gravimetric humidity in soils arranged with t’ola vegetative barriers had an average value of 6.25%. However, a slight tendency was found to increase moisture content at distances of 0.5 and 1.5 m from the barrier. Bare soils at rest had the lowest values (5.43%). Normally, the soils for quinoa cultivation are tilled at 1 m from the barrier, resulting in the tendency to accumulate a higher moisture content because of primary tillage.
In 2017–2018, the gravimetric moisture content (%) in resting soils in Rodeo community plot had higher humidity values in March 2018 (10.54%), followed by April (9.06%) and May (8.93%) in the same period; these months had higher values than the other months. Of note, from March 2018, the soils at rest were plowed for the next agricultural season. Furthermore, the highest accumulation of gravimetric moisture was recorded in the 50 cm soil profile for the different sampling months, except for March, which had the highest moisture content in the 20 cm profile due to its recent fallow. Thus, in the sowing season, Intersalar soils normally have a gravimetric moisture content of 5%, with a field capacity (FC) and permanent wilting point between 14% and 5%, respectively. Meanwhile, in parcels at rest, 12% gravimetric humidity was found in March, which decreased until it stabilized in May (i.e., between 5% and 6% gravimetric humidity) [38,48]. Such findings confirm that in arid and semi-arid regions (southern Bolivian highlands), most of the areas have higher humidity in parcels at rest, as found in February to March, which is related to the maximum annual rainfall based on the projections presented in the regional chapter for South America in the Fifth Assessment Report (AR5) by the IPCC. The IPCC reports data on the increase in drought conditions in the Andean region [22].
Based on the state of soil fertility in the community of Rodeo and Sivingani (Salinas de G.M.), very low levels of organic matter (%), total nitrogen (%), and low levels of phosphorus (ppm) were found, despite a positive effect found for the increase in organic matter (0.46%) and total nitrogen (0.46%) in soils under t’ola cover; this effect was also found in soils at a distance of 0.5 m from the barrier (0.46% Nt) compared to soils without vegetation cover (0.018% Nt). Similarly, the phosphorus content was higher in soils influenced by the vegetation cover of shrubs. Thus, soil fertility studies in the Intersalar region suggest that the content and forms of nitrogen are dynamic, as the amount of nitrogen is related to climatic conditions and the site’s vegetation. Meanwhile, phosphorus is a more stable element; therefore, 88% of the soils in the Intersalar area have low to moderate fertility, where the total nitrogen content is very low, and the level of available phosphorus is mostly moderate [9,47,49,50].
During our study in the agricultural year of July 2017 to August 2018, the calculated amount of total nitrogen lost or removed from fallow plots for quinoa cultivation in the Rodeo community of the southern Altiplano of Bolivia was 11.1 ± 0.38 kg ha−1 [51]. A reported 7.5 kg of N ha−1 year−1 was lost in the southern Altiplano of Bolivia, mainly from wind erosion. Since the amount of available N is related to quinoa production under rainfed conditions, at least 15 kg of available N is needed for a grain yield of 670 kg ha−1 [44]. Our study estimated that the amount of available N lost by wind erosion is only equivalent to 1.3% of the total available. However, nitrogen is the main soil nutrient depleted during erosion processes (average value of the sites of 17.9 kg N ha−1 year−1) [52].
The total nitrogen losses in soils without plant cover of the Sivingani—Salinas G.M. (Ref.Sal) reference plot community and Rodeo community plot control (ctrl.Rod), at a distance of 14 m to the t’ola vegetative barrier were 1 to 1.2 ± 0.23 kg ha−1 month−1, equivalent to 12 and 14 kg Nt ha−1 year−1. However, at distances to the vegetative barrier of 1, 7, and 14 m, lower Nt losses were observed; the calculated annual loss of Nt within the same barrier was up to 9.6 kg ha−1 year−1. Regardless of the expansion of cultivated land, overgrazing creates dry conditions for the plants due to removing litter and subsequent soil erosion by wind [52]. This situation frequently occurs in fallow plots for quinoa cultivation in the southern highlands of Bolivia for grazing llamas.

5. Conclusions

Our study determined that 6,489,106 t year−1 of soil is lost from land used for growing quinoa due to uncontrolled wind erosion. Although the vegetative barriers against wind erosion in the Rodeo community were effective at controlling net erosion and led to higher sedimentation, these devices must be improved and designed for spaces smaller than 30 m between barriers, as greater soil movement was reported between distances of 7 and 14 m from barriers with 3 m of t’ola vegetative cover. Although our results apply to a quinoa production area with extremely arid conditions and on a regional scale, these findings are consistent with previous studies where notable soil nutrient losses were recorded due to wind erosion. However, these sustainable practices carried out in this study can become a powerful tool to be adopted by public institutional organizations in countries with similar erosion problems, which also have extreme aridity and loss of soil productive potential.
Another concern besides soil erosion due to reductions in vegetative barriers is the loss of biodiversity, entomofauna, and ecological imbalance within Parastrephia lepidophylla that reduces natural enemies or natural controllers for quinoa pest insects during cultivation. Future studies should address this imbalance and a concurrent decline in the natural enemies of pests in agricultural systems, considering the next climate change scenarios established for areas of the Bolivian intersalar and other nearby areas of quinoa production.

Author Contributions

Methodology, E.B.-P., F.S.C.-V., J.P.R. and J.A.-C.; Investigation, E.B.-P., F.S.C.-V., J.P.R. and J.D.-H.; Resources, E.B.-P. and J.D.-H.; Writing—original draft, E.B.-P., F.S.C.-V. and J.P.R.; Writing—review & editing, J.P.R. and J.A.-C. All authors have read and agreed to the published version of the manuscript.

Funding

This research was funded by Doctoral Program in Desert and Arid Agriculture, Universidad Arturo Prat and project FONDEQUIP EQM1900088. LBG thanks to ANID Fondecyt Regular N° 1211473. It has also been financed by the Swiss Cooperation in Bolivia through the Applied Research project for Adaptation to Climate Change (PIAACC) through an agreement with the universities of San Simón de Cochabamba and San Andrés de La Paz.

Institutional Review Board Statement

Not applicable.

Data Availability Statement

The data presented in this study are available in https://github.com/carevicunap/quinoa (accessed on 11 July 2023).

Conflicts of Interest

The authors declare no conflict of interest.

References

  1. Navarro, G.; Maldonado, M. Geografía Ecológica de Bolivia. Vegetación y Ambientes Acuáticos; Centro de Ecología Simón I. Patiño-Departamento de Difusión: Santa Cruz de la Sierra, Bolivia, 2004; Volume 2, pp. 243–268. [Google Scholar]
  2. Coppus, R.; Imeson, A.C.; Sevink, J. Identification, distribution and characteristics of erosion sensitive areas in three different central Andean geo-ecosystems. Catena 2003, 51, 315–328. [Google Scholar] [CrossRef]
  3. Medrano, A.; Torrico, J. Consequences of quinoa production (Chenopodium quinoa Willd.) increased in the southern altiplano of Bolivia. J. Cienc. Tecnol. Agrar. 2009, 1, 117–123. [Google Scholar]
  4. Jacobsen, S.-E. The Situation for Quinoa and Its Production in Southern Bolivia: From Economic Success to Environmental Disaster. J. Agron. Crop Sci. 2011, 197, 390–399. [Google Scholar] [CrossRef]
  5. Gandarillas, A.; Rojas, W.; Bonifacio, A.; Ojeda, N. La Quinua en Bolivia: Perspectiva de la Fundación PROINPA. In Estado del Arte de la Quinua en el Mundo en 2013; Organización de las Naciones Unidas para la Alimentación y la Agricultura: Rome, Italy, 2014; p. 724. Available online: https://www.fao.org/3/a-i4042e.pdf (accessed on 12 December 2022).
  6. Alandia, G.; Rodriguez, J.P.; Jacobsen, S.-E.; Bazile, D.; Condori, B. Global expansion of quinoa and challenges for the Andean región. Glob. Food Secur. 2020, 26, 100429. [Google Scholar] [CrossRef]
  7. Soraide, D. La Quinua Real, Producción, Consume Interno y Mercado en el Altiplano sur de Bolivia. Texto: Estudio de Caso e Investigación, Carrera Ing; Agronómica, Facultad de Ciencias Agrícola y Pecuaria, UATF: Cochabamba, Bolivia, 2021; 34p. [Google Scholar]
  8. Joffre, R.; Acho, J. Expansión de la frontera agrícola y dinámica de la vegetación poscultivo en el sur del altiplano boliviano. In Proceedings of the III Congreso Mundial de la Quinua, Oruro, Bolivia, 16–19 March 2010; Libro resumen. pp. 16–19. [Google Scholar]
  9. Vallejos, P.; Navarro, Z.; Ayaviri, D. Medio Ambiente y Producción de Quinua. Estrategias de Adaptación a los Impactos del Cambio Climático; Fundacion Pieb: La Paz, Bolivia, 2011; p. 242. [Google Scholar]
  10. Winkel, T.; Cruz, P.; Del Castillo, C.; Gasselin, P.; Joffre, R.; Peredo, S.; Sáez, L.; Vassas-Toral, A.; Vieira-Pak, M. La (in)sostenibilidad de la quinua en el altiplano andino: ¿mito o realidad? In Proceedings of the V Congreso Mundial de la Quinoa, II Simposio Internacional de Granos Andinos, Jujuy, Argentina, 27–30 May 2015; pp. 27–30. [Google Scholar]
  11. Buksman, W.N.; Wesz, V.J. Mudanças agrárias e especialização produtiva no altiplano Sul da Bolívia. Rev. Campo-Territ. 2019, 13, 6–28. [Google Scholar] [CrossRef]
  12. Risi, J.; Rojas, W.; Pacheco, M. Producción y Mercado de la Quinua en Bolivia. Instituto Interamericano de Cooperación para la Agricultura—IICA; Texto de Consult: La Paz, Bolivia, 2015; 308p. [Google Scholar]
  13. FAOSTAT. Base de Datos Estadísticos de La FAO. 2020. Available online: http://faostat.fao.org/ (accessed on 22 October 2022).
  14. Instituto Nacional de Estadistica (INE). Estadísticas Económicas, Ministerio de Planificación del Desarrollo, Estado Plurinacional de Bolivia. 2022. Available online: https://www.ine.gob.bo/ (accessed on 15 December 2022).
  15. Andressen, R.; Monasterio, M.; Terceros, L.F. Regímenes climáticos del altiplano sur de Bolivia: Una región afectada por la desertificación. Rev. Geográfica Venez. 2007, 48, 11–32. [Google Scholar]
  16. Winkel, T. Para durar cambiemos: Paradojas y lecciones del éxito de la quinua. Informe científico final del proyecto EQUECO- Emergencia de la quinua en el comercio mundial: Consecuencias para la sostenibilidad social y agrícola en el altiplano boliviano. Cooperación Franco-Boliviana. ANR (Agencia Nacional de la Investigación, Francia). In Informe de Proyecto, ANR-06-PADD-011; CIRAD/CNRS/EHESS/INRA/IRD (coord.)/UM3: Montpellier, France, 2011; p. 92. [Google Scholar]
  17. Fairtrade International. Documento Explicativo de la Unidad de Criterios y Precios sobre el Criterio de Comercio Justo Fairtrade para Cereales. 2012. Available online: https://www.fairtrade.net/ (accessed on 14 November 2022).
  18. Bio Suisse—Normas Para el Cultivo, la Transformación y el Comercio de Productos Yema (Parte V—Extracto). 2022. Available online: https://www.bio-suisse.ch/de.html (accessed on 6 January 2023).
  19. Reglamento (CE) No 834/2007 del Consejo sobre producción y etiquetado de los productos ecológicos y por el que se deroga el Reglamento (CEE) no 2092/91. In Diario Oficial de la Unión Europea; European Commission: Brussels, Belgium, 2007.
  20. USDA-AMS National Organic Program. USDA Organic Standards 7 CFR 205, Reglamentos Orgánicos Estadounidenses, Actualizados al 3 de Diciembre de 2013. Available online: https://www.ecfr.gov/ (accessed on 21 February 2023).
  21. Estado Plurinacional de Bolivia. LEY 3525 Regulación y Promoción de la Producción Agropecuaria y Forestal no Maderable Ecológica. Gaceta Oficial. 2006. Available online: https://www2.congreso.gob.pe/sicr/cendocbib/con4_uibd.nsf/6B5CF71BD9A307DB05257C13005FFCC0/$FILE/ley_3525_Bolivia.pdf (accessed on 13 July 2023).
  22. Liuhto, M.; Mercado, G.; Aruquipa, R. El cambio climático sobre la producción de quinua en el altiplano boliviano y la capacidad de adaptación de los agricultores. Rev. Investig. Innovación Agropecu. Recur. Nat. 2016, 3, 166–178. [Google Scholar]
  23. Gene, S.M.; Hoekstra, P.F.; Hannam, C.; White, M.; Truman, C.; Hanson, M.L.; Prosser, R.S. The role of vegetated buffers in agriculture and their regulation across Canada and the United States. J. Environ. Manag. 2019, 243, 12–21. [Google Scholar] [CrossRef]
  24. Frankl, A.; De Boever, M.; Bodyn, J.; Buysens, S.; Rosseel, L.; Deprez, S.; Bielders, C.; Dégre, A.; Stokes, A. Report on the effectiveness of vegetative barriers to regulate simulated fluxes of runoff and sediment in open agricultural landscapes (Flanders, Belgium). Land Degrad. Dev. 2021, 32, 4445–4449. [Google Scholar] [CrossRef]
  25. Richet, J.; Ouvry, J.; Saunier, M. The role of vegetative barriers such as fascines and dense shrub hedges in catchment management to reduce runoff and erosion effects: Experimental evidence of efficiency, and conditions of use. Ecol. Eng. 2017, 103, 455–469. [Google Scholar] [CrossRef]
  26. Ou, Y.; Rousseau, A.N.; Yan, B.; Wang, L.; Zhang, Y. Grass barriers for mitigating diffuse pollution within a source water area—A case study of Northeast China. Agric. Water Manag. 2021, 243, 106461. [Google Scholar] [CrossRef]
  27. Barrientos, E.; Carevic, F.; Delatorre, J. La sustentabilidad del altiplano sur de Bolivia y su relación con la ampliación de superficies de cultivo de quinua. Rev. Idesia 2017, 35, 7–15. [Google Scholar] [CrossRef]
  28. Hudson, N. Medición sobre el terreno de la erosión del suelo y de la escorrentía. In Boletín de Suelos de la FAO; FAO: Rome, Italy, 1997; 147p. [Google Scholar]
  29. González, H.; Cantú, I.; Ramírez, R.; Gómez, M.; Pando, M.; López, J. Potencial hídrico xilemático en cuatro especies arbustivas nativas del noreste de México. Revista Chapingo. Ser. Cienc. For. Ambiente 2011, 17, 97–109. [Google Scholar] [CrossRef]
  30. Alvarez, R.; Steinbach, H.S.; Bauschen, B.; Enjalbert, J.N. ¿Cuántas Submuestras de Suelo Hay Que Tomar para Caracterizar la Fertilidad de un Lote en la Pampa Ondulada? Documento Facultad de Agronomía UBA Argentina. 2012. Available online: https://fertilizar.org.ar/wp-content/uploads/2008/03/4.pdf (accessed on 21 January 2023).
  31. Sadzawka, A.; Carrasco, M.; Mora, M.; Flores, H.; Neaman, A. Métodos de Análisis Recomendado para Los Suelos de Chile; Centro Regional de Investigación La Platina: Buin, Chile, 2006; 163p. [Google Scholar]
  32. IBM Corp. IBM SPSS Statistics for Windows; Version 28.0; IBM Corp.: Armonk, NY, USA, 2021. [Google Scholar]
  33. OriginPro. OriginLab Corporation; OriginPro: Northampton, MA, USA, 2019. [Google Scholar]
  34. Miranda, R.; Calderon, S.; Cadena, F. Erosión Eólica En Zonas Productoras de Quinua En El Altiplano Boliviano. Rev. CINTEX 2016, 21, 71–84. Available online: https://revistas.pascualbravo.edu.co/index.php/cintex/article/view/18 (accessed on 11 December 2022).
  35. SISMET-SENAMHI Bolivia. Base de Datos Meteorológicos de Bolivia. 2021. Available online: https://www.senamhi.gob.bo/sismet (accessed on 25 June 2022).
  36. Cossio, J. Agricultura de conservación con un enfoque de manejo sostenible en el Altiplano sur. Rev. Hábitat 2008, 75, 44–49. Available online: http://www.lidema.org.bo/ (accessed on 17 June 2022).
  37. Gutierrez, Z.; Ordoñez, C. Monitoreo de la erosión eólica y profundidad de humedad del suelo en la campaña agrícola 2001–2012 en diez municipios productores de Quinua Real. In Experiencias y Logros en Desarrollo Social y Tecnológico del Programa Complejo Quinua Altiplano Sur de Bolivia; Fundacion FAUTAPO COMPASUR: Oruro, Bolivia, 2013; Volume 1, pp. 61–75. [Google Scholar]
  38. Orsag, C.; Vladimir, L.P.; Lucy, P.Y.; Olga, A.; Castro, R.E. Evaluación de la fertilidad de los suelos para a producción sostenible de quinua. Rev. Tinkazos 2013, 16, 89–112. [Google Scholar]
  39. Rojas, W.; Risi, J.; Bonifacio, A.; Gandarillas, H. El Cultivo de la Quinua en Bolivia. In Producción y Mercado de la Quinua en Bolivia; Risi, J., Rojas, W., Pacheco, M., Eds.; Instituto Interamericano de Cooperación para la Agricultura—IICA: La Paz, Bolivia, 2015. [Google Scholar]
  40. Fundación Tierra. Auge y Caída de la Quinua. Cambios Territoriales en la Marka Salinas. 13/5.000; Documento Elaborado en Coordinación IPAS-Fundación Tierra y el Departamento de Agricultura de la FCAN-UTO; Fundacion Tierra: La Paz, Bolivia, 2021; 59p, Available online: https://www.ftierra.org/ (accessed on 9 July 2022).
  41. Del Barco-Gamarra, M.; Foladori, G.; Soto-Esquivel, R. Insustentabilidad de la producción de quinua en Bolivia. Estudios Sociales. Rev. Aliment. Contemp. Desarro. Reg. 2019, 29, 1–26. [Google Scholar] [CrossRef]
  42. Medrano, E.; Torrico, J.; Fortanelli, J. Anáalisis de la sostenibilidad de la producción de quinua (Chenopodium quinoa Willd.) en el Intersalar Boliviano. Rev. Cienc. 2011, 2, 303–312. [Google Scholar]
  43. Winkel, T.; Bertero, H.; Bommel, P.; Bourliaud, J.; Chevarría, M.; Cortés, G.; Gasselin, P.; Geerts, S.; Joffre, R.; Léger, F.; et al. The sustainability of quinoa production in southern Bolivia: From misrepresentations to questionable solutions. Comments on S. Jacobsen (2011), J. Agron. Crop Sci. 197: 390399. J. Agron. Crop Sci. 2012, 398, 314–319. [Google Scholar] [CrossRef]
  44. Van Pelt, R.S. Erosion by Wind: Environmental Effects. In Encyclopedia of Soil Science, 2nd ed.; Hatfield, J.L., Sauer, T.J., Eds.; Taylor and Francis: London, UK, 2011. [Google Scholar] [CrossRef]
  45. Cárdenas, J.E.; Urquizo, O.V.; Cárdenas, M.I.; Fernández, R.; Orzag, V. Degradación de suelos y tipología de productores para la sostenibilidad del cultivo de quinua (Chenopodium quinoa Wild) en el intersalar del departamento de Oruro. Rev. Apthapi 2015, 1, 58–68. [Google Scholar]
  46. Vargas, M.; Sandy, A. Tecnologías de manejo de suelos agrícolas en la región del intersalar del altiplano boliviano (No. IICA P30-1). Rev. IICA 2017, 1, 23–34. [Google Scholar]
  47. Cárdenas, J.; Choque, W. Fertilidad, Uso y Manejo de Suelos en la Zona del Intersalar, Departamentos de: Oruro y Potosí; Fundación FAUTAPO, Programa Quinua Altiplano: Tarija, Bolivia, 2008; 113p. [Google Scholar]
  48. Tintaya, J.C. Evaluación del Efecto de Niveles de Abonamiento Orgánico Sobre la Respuesta del Cultivo de la Quinua (Chenopodium quinoa Willd) Bajo Condiciones de Riego Deficitario en el Altiplano. Sur. Thesis, Universidad Mayor de San Andrés, La Paz, Bolivia, 2011. Available online: http://repositorio.umsa.bo/xmlui/handle/123456789/7323 (accessed on 25 November 2022).
  49. Cárdenas-Castillo, J.E.; Delatorre-Herrera, J.; Bascuñán-Godoy, L.; Rodriguez, J.P. Quinoa (Chenopodium quinoa Wild.) Seed Yield and Efficiency in Soils Deficient of Nitrogen in the Bolivian Altiplano: An Analytical Review. Plants 2021, 10, 2479. [Google Scholar] [CrossRef] [PubMed]
  50. Peri, P.L.; Lasagno, R.G.; Chartier, M.; Roig, F.; Rosas, Y.M.; Pastur, G.M. Soil erosion rates and nutrient loss in rangelands of Southern Patagonia. In Imperiled: The Encyclopedia of Conservation; Elsevier: Amsterdam, The Netherlands, 2021; pp. 102–110. ISBN 9780124095489. [Google Scholar] [CrossRef]
  51. Alandia, G.; Calderon, S.; Condori, B.; Jacobsen, S. Quantification of Wind Erosion under Four Different Types of Vegetation Cover in Quinoa Fields of the Southern Bolivian Highlands; Universidad de Wageningen: Wageningen, The Netherlands, 2014. [Google Scholar]
  52. Wu, X.; Fan, J.; Sun, L.; Zhang, H.; Xu, Y.; Yao, Y.; Chi, W. Wind erosion and its ecological effects on soil in the northern piedmont of the Yinshan Mountains. Ecol. Indic. 2021, 128, 107825. [Google Scholar] [CrossRef]
Figure 1. Study location map.
Figure 1. Study location map.
Agriculture 13 01432 g001
Figure 2. Mean monthly wind erosion and sedimentation during the agricultural period July 2017–August 2018 in southern Altiplano (Rodeo community, ‘ctrl.Rod’): (a) soil erosion (t ha−1); (b) erosion at different distances (m) of vegetative t’ola bush barriers; (c) soil sedimentation (t ha−1); and (d) sedimentation at different distances (m) of vegetative barrier.
Figure 2. Mean monthly wind erosion and sedimentation during the agricultural period July 2017–August 2018 in southern Altiplano (Rodeo community, ‘ctrl.Rod’): (a) soil erosion (t ha−1); (b) erosion at different distances (m) of vegetative t’ola bush barriers; (c) soil sedimentation (t ha−1); and (d) sedimentation at different distances (m) of vegetative barrier.
Agriculture 13 01432 g002
Figure 3. Mean monthly net soil erosion during the agricultural period July 2017–August 2018 at the southern Altiplano (Rodeo community, ‘ctrl.Rod’): (a) soil net erosion (t ha−1); (b) soil net erosion at different distances (m) of vegetative t’ola barriers.
Figure 3. Mean monthly net soil erosion during the agricultural period July 2017–August 2018 at the southern Altiplano (Rodeo community, ‘ctrl.Rod’): (a) soil net erosion (t ha−1); (b) soil net erosion at different distances (m) of vegetative t’ola barriers.
Agriculture 13 01432 g003
Figure 4. Mean monthly soil movement throughout the agricultural period July 2017–August 2018 at the southern highlands (Rodeo community, ‘ctrl.Rod’): (a) soil movement (t ha−1); (b) soil movement at different distances (m) from vegetative t’ola barriers.
Figure 4. Mean monthly soil movement throughout the agricultural period July 2017–August 2018 at the southern highlands (Rodeo community, ‘ctrl.Rod’): (a) soil movement (t ha−1); (b) soil movement at different distances (m) from vegetative t’ola barriers.
Agriculture 13 01432 g004
Figure 5. Monthly soil gravimetric water content evaluated in the Rodeo community: (a) soil moisture (%), (b) soil moisture (%) at different distances from the t’ola vegetative barrier, and (c) soil moisture (%) at different soil depths.
Figure 5. Monthly soil gravimetric water content evaluated in the Rodeo community: (a) soil moisture (%), (b) soil moisture (%) at different distances from the t’ola vegetative barrier, and (c) soil moisture (%) at different soil depths.
Agriculture 13 01432 g005
Figure 6. Cumulative net erosion (CNE) during the months of the agricultural year 2017–2018 and distance to the t’ola vegetative barrier: (a) CNE accumulation along the months, CNE values below to zero correspond to less soil loss; (b) accumulated CNE according to the distances to the vegetative barrier, plot references of Sivingani community in Salinas G.M. (Ref.Sal) and the control plot in Rodeo community (ctrl.Rod) used to compare cumulative CNE without vegetative barriers. Results significantly differ among barrier distances and months (p < 0.05).
Figure 6. Cumulative net erosion (CNE) during the months of the agricultural year 2017–2018 and distance to the t’ola vegetative barrier: (a) CNE accumulation along the months, CNE values below to zero correspond to less soil loss; (b) accumulated CNE according to the distances to the vegetative barrier, plot references of Sivingani community in Salinas G.M. (Ref.Sal) and the control plot in Rodeo community (ctrl.Rod) used to compare cumulative CNE without vegetative barriers. Results significantly differ among barrier distances and months (p < 0.05).
Agriculture 13 01432 g006
Table 1. Climatic features of the southern Altiplano of Bolivia, Uyuni, for 2017–2018.
Table 1. Climatic features of the southern Altiplano of Bolivia, Uyuni, for 2017–2018.
Latitude: 20°28′20″ S Longitude: 66°49′53″ OAltitude: 3669 masl
Temperature °CRainfall mmWind Speed km h−1
MonthYearMeanMaximumMinimumThermal Oscillation MeanMaximum
July20172.314.4−9.824.20NW 8.4N 29.7
August20173.115.1−8.9240NW 12.1NW 74.1
September20177.316.8−2.118.90NW 12.2NW 44.5
October20178.819.1−1.420.50NW 13.9NW 44.5
November201710.621.2021.20.8NW 9.1NW 29.7
December201713.922.15.816.324NW 14.7S 44.5
January201813.821.16.514.657.2NW 9.8NW 44.5
February201812.719.26.312.963.3NW 11.5SE 29.7
March201812.319.84.914.917.5NW 9.0NW 22.2
April20189.819.50.119.40NW 8.6NW 29.7
May2018415−7220NW 6.3NW 22.2
June20182.912−6.118.15.8NW 11.9N 29.7
July20184.213.6−5.118.77NANA
August20183.113.2−720.214NW 8.8NW 22.2
Mean7.817.3−1.719.0
Total189.6
Source. [28]. NA: Data not available.
Table 2. Physical and chemical characteristics of soils in quinoa plots at rest established with live t’ola vegetative barriers—Rodeo community (Ctrl.Rod), compared to Sivingani community-Salinas de G.M, sampled at 30 cm depth in 2018.
Table 2. Physical and chemical characteristics of soils in quinoa plots at rest established with live t’ola vegetative barriers—Rodeo community (Ctrl.Rod), compared to Sivingani community-Salinas de G.M, sampled at 30 cm depth in 2018.
LocationClaySiltSandTexturepHECOMNtP
% (1:2.5)dS m−1%mg kg−1
B-Rodeo132661FA8.00.6160.460.0466.4
0.5-B-Rodeo114049F7.90.8330.540.0465.9
1.5-B-Rodeo133849F8.00.3890.240.0181.9
Ref.Sal4987A7.70.1050.310.0323.7
B-Rodeo: vegetative barriers of t’ola Rodeo community; 0.5-B-Rodeo: distance 0.5 m from the t’ola barrier in Rodeo community; 1.5-B-Rodeo: 1.5 m from the t’ola barrier in Rodeo community; Ref.Sal: Sivingani community reference plot in Salinas de G.M.; electric conductivity (EC); organic matter (OM); total nitrogen (Nt); phosphorus (P) (Soil and Water Laboratory—FCAPyF-UMSS).
Table 3. Average nitrogen content and microbiological characteristics of the soil (n = 4) from the plain situation for growing quinoa in Sivingani community reference plot in Salinas de G.M. in 2020.
Table 3. Average nitrogen content and microbiological characteristics of the soil (n = 4) from the plain situation for growing quinoa in Sivingani community reference plot in Salinas de G.M. in 2020.
Treatment
Location
Total Nitrogen (Nt)Ammonium NitrogenNitrogen NitratesRhizobium spp.Total Bacteria
Percentagemg kg−1mg kg−1cfu g−1 Soil
Ref.Sal0.0315.61.42.3 × 1038.5 × 105
Soils + lupino10.0532.82.8------------------
Soils + lupino20.0562.88.48.8 × 1042.3 × 107
Soils + lupino1: local ecotype; Soils + lupino2: ecotype Avaroa (Prov. Sur Carangas—Oruro); cfu g soil−1 = colony forming units.
Disclaimer/Publisher’s Note: The statements, opinions and data contained in all publications are solely those of the individual author(s) and contributor(s) and not of MDPI and/or the editor(s). MDPI and/or the editor(s) disclaim responsibility for any injury to people or property resulting from any ideas, methods, instructions or products referred to in the content.

Share and Cite

MDPI and ACS Style

Barrientos-Pérez, E.; Carevic-Vergara, F.S.; Rodriguez, J.P.; Arenas-Charlín, J.; Delatorre-Herrera, J. Effect of Native Vegetative Barriers to Prevent Wind Erosion: A Sustainable Alternative for Quinoa (Chenopodium quinoa Willd.) Production. Agriculture 2023, 13, 1432. https://doi.org/10.3390/agriculture13071432

AMA Style

Barrientos-Pérez E, Carevic-Vergara FS, Rodriguez JP, Arenas-Charlín J, Delatorre-Herrera J. Effect of Native Vegetative Barriers to Prevent Wind Erosion: A Sustainable Alternative for Quinoa (Chenopodium quinoa Willd.) Production. Agriculture. 2023; 13(7):1432. https://doi.org/10.3390/agriculture13071432

Chicago/Turabian Style

Barrientos-Pérez, Ermindo, Felipe S. Carevic-Vergara, Juan Pablo Rodriguez, Jorge Arenas-Charlín, and José Delatorre-Herrera. 2023. "Effect of Native Vegetative Barriers to Prevent Wind Erosion: A Sustainable Alternative for Quinoa (Chenopodium quinoa Willd.) Production" Agriculture 13, no. 7: 1432. https://doi.org/10.3390/agriculture13071432

APA Style

Barrientos-Pérez, E., Carevic-Vergara, F. S., Rodriguez, J. P., Arenas-Charlín, J., & Delatorre-Herrera, J. (2023). Effect of Native Vegetative Barriers to Prevent Wind Erosion: A Sustainable Alternative for Quinoa (Chenopodium quinoa Willd.) Production. Agriculture, 13(7), 1432. https://doi.org/10.3390/agriculture13071432

Note that from the first issue of 2016, this journal uses article numbers instead of page numbers. See further details here.

Article Metrics

Back to TopTop