Abstract
The suitability of five apple varieties (Ralls, Qinguan, Fuji, Delicious, and Cattle) for fresh-cut processing was compared based on the evaluation of weight loss, firmness, color, titratable acid (TA), polyphenoloxidase (PPO) activity and peroxidase (POD) activity, and the impact of pulsed electronic field (PEF) on fresh-cut apples’ quality was explored. The results showed that the changes to Delicious apples in terms of the color parameter, firmness, and weight loss were comparable to or lower than the other samples, while the TA content was higher than the other samples during storage. Therefore, Delicious was selected for the study of the effects of PEF on fresh-cut apples. By measuring the physicochemical properties and microbiological characteristics within 10 days of storage, it was found that the PPO and POD activity of apples treated with PEF at 3 kV/cm on the 10th day decreased the most, with 44.61% and 36.48% decreases, respectively. In addition, apples treated with 5 kV/cm showed the greatest decrease in malondialdehyde (MDA) content and the number of microorganisms, 63.98%, and 9.17%, respectively. In general, the PEF-treated apples retained a high level of quality. These results suggested that PEF treatment is a promising technology for extending the storage period of fresh-cut apples.
1. Introduction
There is a growing demand for ready-to-eat food due to the modern fast-paced lifestyle [1]. Fresh-cut apple is one of the most popular ready-to-eat foods since it is rich in nutrition and tastes good [2]. However, fresh-cut apple is vulnerable to tissue browning, nutrient loss, and microbial infection before being consumed, all of which reduce the quality and edible value of the apples. Many factors affecting the quality of fresh-cut apples, such as storage conditions, cutting methods, and packaging designs, have been studied to help prevent fresh-cut apples fromdeteriorating in quality. Additionally, various chemical fresh-keeping methods, such as agents, liquid, and coating film, have been developed, and these have also raised concerns over chemical residues on the final product.
PEF is a typical non-thermal treatment technology that has gained increasing attention in the food field in recent years. It has the advantages of being effective, economical, environmentally friendly, and having little impact on the sensory quality and nutritional values of the food. It is designed with the high electric field intensity, pulse frequency and short pulse width for the processing of liquid and semi-solid food [3]. Researchers have developed several applications of PEF in food: for example, sterilization [4,5,6], freezing and thawing [7,8,9], drying [10,11], and auxiliary extraction [12,13,14]. These studies show that PEF treatment has been extensively studied in a variety of food processing areas and its positive effects have been verified in many applications. At present, PEF sterilization and preservation is applied in practical production, especially in the application of liquid food preservation. PEF (35 kV/cm, 27 μs) treatment extended the shelf life of strawberry juice for no less than 28 days [15]. The shelf life of milk treated with PEF was effectively extended, and reached 78 days after 8 days of PEF [16]. PEF reduced the total number of colonies in wine [17]. Currently, many scholars are engaged in research on pulsed electric field sterilization mechanisms, as well as its impact on microbial morphology and food quality, and so on. However, research on the fresh-keeping of fruits and vegetables is particularly lacking. It is critical that the preservation effect of PEF on fresh-cut apples is studied.
This study aimed to screen an optimal apple variety from several varieties commonly used for fresh-cut processing, based on evaluation of the weight loss, firmness, color, titratable acid, PPO and POD activity, and to investigate the effects of PEF on fresh-cut apple preservation, which would provide a scientific basis for fresh-cut apple processing and application using PEF technology.
2. Materials and Methods
2.1. Raw Materials
All the apples used in the study were purchased from the same growing farm (Weifang, Shandong Province, China). The selected apples were all collected at the commercial maturity stage, were of uniform fruit size and color, had individual weight differences of less than 5%, and no mechanical damage or pests. All processing was carried out at room temperature (25 °C). The samples were transferred to the refrigerator at 4 °C and 90% relative humidity for 24 h before the trial.
The chemical reagents involved in this experiment were all analytically pure, and were purchased from Sinopharm Chemical Reagent Co., Ltd. (Shanghai, China).
2.2. Sample Preparation
Five apple varieties (Ralls, Qinguan, Fuji, Delicious, and Cattle) were used as the experimental material. Before processing, the apples were sterilized by UV for 30 min. After cleaning and peeling, they were cored and cut into 12 equal slices with a sharp stainless-steel apple cutter, and the maximum thickness was approximately 1.2 cm on the outer edges [18]. They were immediately placed in the PE crisper and stored in the refrigerator at 4 °C. In this experiment, three apples of each variety were selected. The apple slices of the same variety were mixed well and then 24 slices were selected from them and packed in PE crisper boxes to avoid adverse effects caused by uneven cutting. The 5 varieties of apples were divided into 5 crisper boxes, each weighing approximately 400 g. A storage period of 6 days was selected for the variety screening test so that the storage quality could be observed. All samples were randomly picked for further analysis during storage.
2.3. PEF Treatment
In this study, the PEF device was composed of an adjustable pulsed power source (HD 35-5, Huida Electronic Devices Factory, Tianjin, China) and a homemade processing workshop. The treatment room was a sealed room made of insulating resin material 30 × 20 × 5 cm. Two 30 × 20 cm titanium plates were placed in parallel in the treatment room, with a distance of 1.7 cm between the two plates. The output voltage range of the power supply was 0~35 kV, monopole rectangular pulse, the pulse width was 0~1 ms and frequency was 100~1000 Hz adjustable. Output electric field strength was set as the main experimental factor, with the parametric test design of 1, 3, and 5 kV/cm, 200 μs, and 500 Hz expressed as E1, E2, and E3, respectively. The groups without PEF were taken as controls. In total, 24 apple slices were taken for each treatment and stimulated at room temperature for 1 h. The slices were then refrigerated in PE crisper boxes at 4 °C for 10 days and randomly picked every other day during storage for further analysis.
2.4. Browning Index (BI)
The study of surface color was carried out with the CR-400 colorimeter (KONICA MINOLTA, Tokyo, Japan). The changing color of the apples was determined by detecting the changes in L* (brightness), a* (red-greenness), and b* (yellow-blueness), which was calculated using the following formula and expressed as BI [19]:
2.5. Weight Loss
The apple slices were weighed each day during storage. The weight loss was calculated as a percentage of the starting weight [20].
2.6. Firmness
The firmness was measured by the hand fruit durometer GY-1 (Epp Measuring Instrument Co., Quzhou, Zhejiang, China). The probe was vertically inserted into the apple to the probe scale line. The firmness was expressed as the maximum resistance during the insertion (kg/cm2).
2.7. Titratable Acid (TA) Content
The TA content was determined using the Titration method. In total, 10 g of homogenized samples were fixed to 100 mL (V) with ultra-pure water (containing few impurities and the resistivity was 18 MΩ·cm), shaken well and left to stand for 30 min, then filtered with 250 nylon mesh filter cloth at room temperature. Then, phenolphthalein indicator was added to 20 mL (Vs) of the filtrate and titrated with 0.05 mol∙L−1 NaOH solution until the filtrate was pink and colorfast for 30 s. The experiment was carried out three times and the average value was taken. The titratable acid content of the fresh-cut apples was calculated as follows:
where V is the constant volume of the apple samples (mL), V1 is the volume of NaOH solution required for titration sample (mL), V0 is the volume of NaOH solution required for blank (mL), C is the concentration of NaOH solution (mol∙L−1), K is the conversion coefficient of malic acid (0.067), m is the total mass of the sample (g), and Vs is the volume of sample used for titration (mL).
2.8. Total Phenol (TP) Content
The TP content of the apples was determined by the Folin–Ciocalteu method, with small modifications [21]. The apple slices (m) were ground into pulp and then 1 g of the pulp was mixed with 5 mL of hydrochloric acid/methanol solution (1% v/v) and left to stand for 20 min at room temperature away from light, then the supernatant was taken by centrifugation (4500 r·min−1, 10 min), which was the total phenolic extract (V). After dilution with ultra-pure water at 1:9 (v:v), 1 mL of Folin-phenol reagent was placed in a 10 mL centrifuge tube, 1 mL (V0) of the total phenol extract obtained as above was added and mixed, then 2 mL of 75 mg·mL−1 Na2CO3 solution was added and the reaction was carried out at room temperature for 30 min away from light. Finally, the absorbance of the aforesaid solution was observed and recorded at 760 nm, with methanol serving as a blank control. The TP content was calculated as milligrams of gallic acid per gram of sample (ug·g−1). The gallic acid standard curve is shown in Figure 1. The calculation formula was as follows:
where C is calculated according to the standard curve (μg·mL−1), and m is the weight of the weighed apple (g). V is the total volume of extract (mL).
Figure 1.
The absorbance standard curve of different gallic acid concentrations at 760 nm.
2.9. Malondialdehyde (MDA) Content
6.0 g (m) apple pulp was mixed with 30 mL of pre-cooled 100 g/L TCA (trichloroacetic acid) solution at 4 °C, and after grinding and homogenizing the supernatant (V) was removed by centrifugation (4 °C, 10,000 r·min−1, 20 min). A total of 2.0 mL (Vs) of supernatant (2.0 mL of 100 g/L TCA solution for the blank tube) was added to 2.0 mL of 0.67% TBA (thiobarbituric acid), mixed, and boiled in a water bath for 20 min, then cooled to below 25 °C for secondary centrifugation. The absorbance of the supernatant was measured at wavelengths of 450 nm, 532 nm, and 600 nm, respectively. The malondialdehyde content of fresh-cut apples was determined using the following formula [22]:
where C is the concentration of malondialdehyde in the reaction mixture (μmol·L−1), V is the total volume of the sample extract (mL), Vs is the volume of liquid extracted from the sample (mL), and m is the sample mass (g).
2.10. PPO and POD Activity
The activity of PPO and POD was determined using the catechol method and the guaiacol method, respectively [23].
A total of 5 g of apple samples was added to 5 mL acetic acid–sodium acetate buffer with pH 5.5 for homogenization, and was centrifuged at 4 °C for 25 min to obtain crude enzyme extract. For the determination of PPO activity, 3 mL of catechol was added to 75 μL of crude enzyme solution and mixed rapidly. The absorbance of the mixture was recorded at the wavelength of 420 nm. The OD420 values were recorded once every 1 min for 6 min. The change in absorbance per minute was calculated from the initial linear part of the curve ∆OD420. The increase in absorbance value per gram of apple sample per minute was recorded as one polyphenol oxidase activity unit U (ΔOD420·min−1·g−1 FW). For the measurement of POD activity, 3.0 mL of 25 mmol·L−1 guaiacol solution was added to 0.5 mL of enzyme extract, and then 200 μL of 0.5 mol·L−1 H2O2 solution was added and mixed well. The POD activity was measured at 470 nm in the same way as the PPO activity assay:
where ΔOD420 and ΔOD470 are the absorbance change value of the reaction mixture, and ∆t is enzyme reaction time (min). V is the total volume of crude enzyme extract (mL). Vs is the volume of crude enzyme liquid taken for the measurement (mL). m is the apple sample weight (g).
2.11. Microbiological Analysis
The microbiological analysis was conducted as described in GB/T5009-96 “Food Hygiene Inspection Method”. In total, 10 g of fresh-cut apple was placed in 90 mL of normal saline (sterilized by autoclave) and shaken thoroughly to form a uniform diluent of 1:10. Then 1 mL of 1:10 diluent was added to a test tube holding 9 mL of normal saline. After shaking and mixing, a 1:100 diluent was formed. The nutrient agar medium, cooled to approximately 50 °C, was poured into the plate. After solidification, 0.1 mL of each dilution was placed on the plate and coated with a coating rod. The total aerobic bacteria were counted by inverted culture for 24 h in an incubator at 36 °C. The number of colonies was calculated in the plate and the total number of colonies per gram of sample was obtained according to the dilution (CFU/g). All microbiological analysis procedures and sample preparations in this investigation were carried out in aseptic conditions.
2.12. Sensory Evaluation
Ten formally trained sensory researchers from the Jiangsu University (Zhenjiang, China) scored the color, appearance, taste, purchase intention, and overall acceptability of fresh-cut apples according to the Chinese National Standard (GB/T 10, 220 -2012) on the 10th day of storage. The total score was 9, where 1 to 4 indicates unacceptable, 4 to 6 is fair, and 6 to 9 is readily acceptable.
2.13. Statistical Analysis
All experiments were replicated three times. Origin 2018 was used to sort out the data and plot, and IBM SPSS Statistics 26 was used for the statistical processing of all data. The Tukey–Kramer tests were used to evaluate the significance of differences between means at the p < 0.05 level.
3. Results and Discussion
3.1. Variety Effects on the Storage Quality of Fresh-Cut Apples
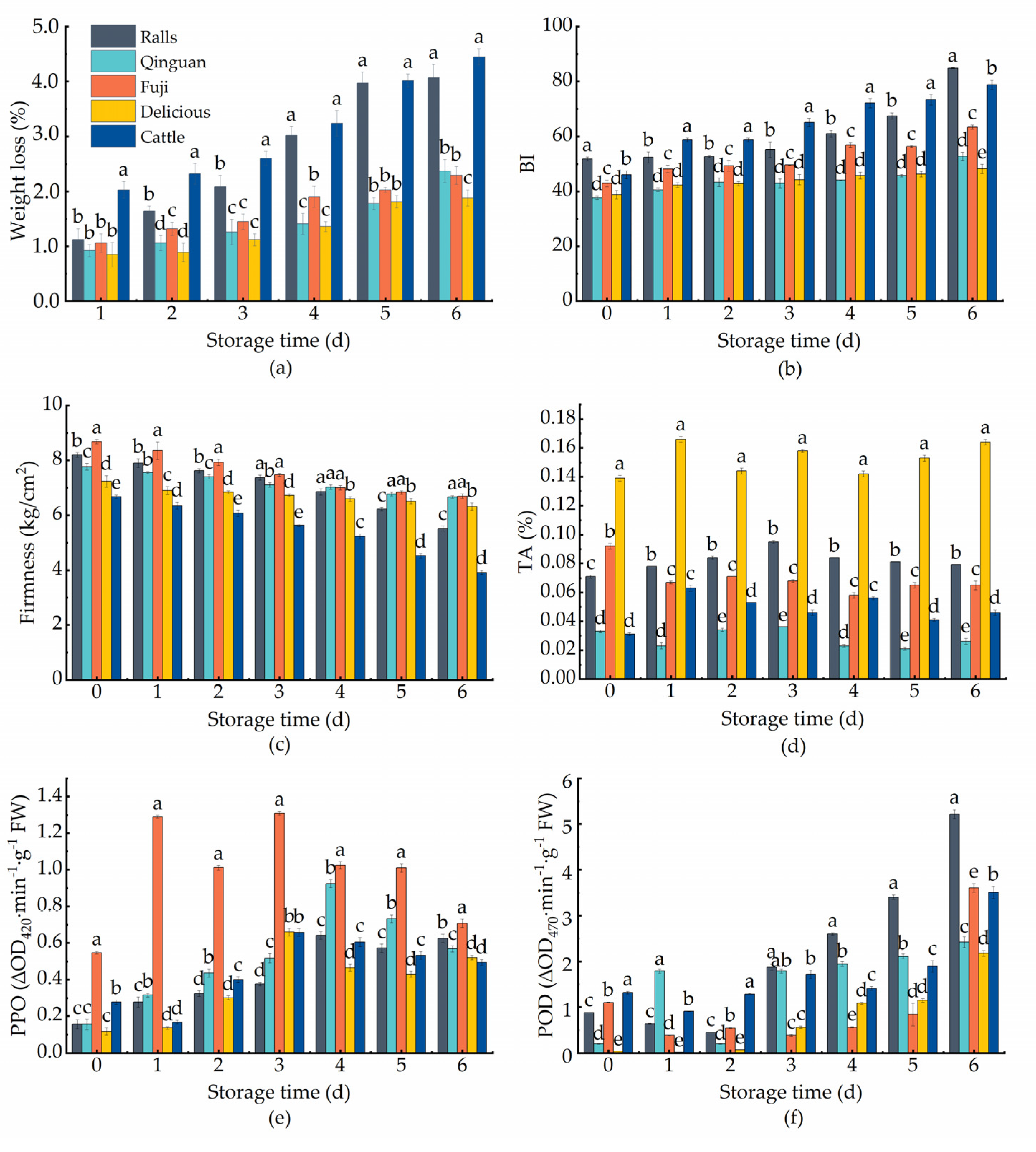
Figure 2 shows the changes in weight loss, browning index, firmness, and titratable acidity of different apple varieties during storage. The weight loss of all the apples increased during storage. On the 6th day of storage, the weight loss of Ralls and Cattle apples was significantly higher than the other three varieties. As a general rule, the weight loss of more than 5% for vegetables and organic products would diminish their retail desirability [24]. The results showed that all the apples retained moisture well during storage, and the Delicious apples had the best ability to lock in water.
Color is one of the dominant indicators of fresh-cut apples as enzymatic browning affects their sensory properties, something which reduces consumers’ purchase intentions. The BI values of Ralls and Cattle apples increased by 33.11 and 32.75 within 6 days of storage, respectively, while those of the Qinguan and Delicious varieties only increased by 15.00 and 9.36, respectively, demonstrating that these two varieties browned to a lesser degree during storage.
Firmness mirrors the level of maturing and aging of the apple. The pectin material in apples is decomposed to form pectin and pectin acid, which makes the apples soften, and the hardness decreases [25]. According to Figure 2, there were differences in the initial firmness of different varieties of apples. The firmness of the Cattle apples decreased by 2.76, while the firmness of the Qinguan apples and Delicious apples decreased by only 1.10 and 0.92, respectively, which is significantly better than the Ralls, Fuji, and Cattle apples.
TA is an essential part of plant tissue, and also an important element in the taste and quality of fruit [26]. The TA content of fresh-cut apples fluctuated between growing and dropping. On the one hand, respiration consumed the organic acid, which resulted in a drop in TA level. On the other hand, with the increase in water loss, the TA content rose. In addition, microbial infection can also lead to an accumulation of TA content. Therefore, the TA content showed a complicated trend. The TA content of Delicious apples was always higher than that of the other groups, indicating that Delicious apples have a more acidic taste than other apples.
The PPO enzyme can catalyze the reaction of various phenols with O2 to form quinones, resulting in enzymatic browning [27]. As seen in Figure 2e, the changes in the PPO activity of fresh-cut apples were complicated. The PPO activity of the Fuji apples was always higher than that of other varieties, and the activity of the Delicious apples was generally lower than that of the other apples. The results showed that the Fuji apples had higher PPO activity during storage and were more susceptible to browning, making them unsuitable as fresh-cut products compared to the other four cultivars.
The POD enzyme is a key enzyme in the reactive oxygen radical scavenging system. It facilitates the breakdown of H2O2 during the last stage of lignin production, which is an indicator of ripening and senescence in fresh-cut apples [28]. The POD activity of fresh-cut apples showed an overall upward trend. The POD activity of Ralls apples was consistently higher than the other groups after the 3rd day (p < 0.05). The POD activity of Delicious apples was the lowest on days 0 and 6 compared with other groups (p < 0.05). The results revealed that Delicious apples were generally better than other cultivars in terms of POD activity.
Figure 2.
Changes in Weight loss (a), BI (b), Firmness (c), TA content (d), PPO (e), and POD (f) activity of fresh-cut apple varieties during 6 d of storage at 4 °C. Vertical lines represent the standard error of the mean of triplicate. Different letters represent differences among treatments, p < 0.05.
Figure 2.
Changes in Weight loss (a), BI (b), Firmness (c), TA content (d), PPO (e), and POD (f) activity of fresh-cut apple varieties during 6 d of storage at 4 °C. Vertical lines represent the standard error of the mean of triplicate. Different letters represent differences among treatments, p < 0.05.

3.2. Principal Component Analysis
Principal component analysis is a common data analysis method that reflects the original data with simplified data by down-scaling multiple variables into a few composite indicators through orthogonal transformation, and the composite indicators are not correlated with each other [29]. Seven indicators of the five apple varieties were subjected to principal component analysis. It is clear from Table 1 that two principal components were extracted with the principle of eigenvalue >1.0. The eigenvalue of the first principal component was 3.925 and the variance contribution was 56.065%, and the eigenvalue of the second principal component was 1.192 and the variance contribution was 17.029%. The results demonstrated that the cumulative response of the first two main variables reached 73.094%, which can better reflect the basic characteristics of the five main indicators of fresh-cut apples. Consequently, the first two primary components can be chosen as the effective components for the quality analysis of the five fresh-cut apples.
The principal component loading matrix reflects the influence of each quality index for the five fresh-cut apples in each principal component matrix. The value represents the influence of each variable on the factor, and the positive and negative values reflect the direction of change. Table 2 showed that the first principal component represents the weight loss rate, BI, storage time, POD activity, and firmness, demonstrating that these indexes are the primary factors affecting the freshness of fresh-cut apples. The second principal component represents TA content and PPO activity, which affect the taste of fresh-cut apples.
The corresponding eigenvectors were calculated from the eigenvalues and loading coefficients of the seven indicators, and the linear equations of the two principal components were constructed using the eigenvectors as coefficients as follows:
Y1 = −0.485X1 − 0.451X2 − 0.425X3 − 0.420X4 + 0.414X5 − 0.137X6 + 0.118X7
Y2 = 0.053X1 + 0.063X2 − 0.053X3 + 0.013X4 − 0.323X5 − 0.737X6 + 0.586X7
The standardized data X1-X7 were substituted into the above equation to compute the scores of each major component. After that, the variance contribution of the two principal components were used as coefficients to calculate the comprehensive score, and the comprehensive evaluation function was as follows:
Y = 0.561Y1 + 0.171Y2
The standard values of each index during the storage of the five varieties of fresh-cut apples were substituted into the equation, and the comprehensive scores of the five fresh-cut apple varieties were calculated according to the synthetic evaluation function, as shown in Figure 3. The comprehensive scores for the five fresh-cut apple varieties showed a relatively rapid downward trend with increasing storage periods, indicating that the quality of the apples decreased rapidly after fresh-cut processing. However, there were differences in storage quality among different cultivars. The Cattle apples had an overall low composite score in the storage process, which decreased to less than 0 on the 2nd day. Ralls, Qinguan, and Fuji apples also dropped below 0 on the 3rd and 4th days, respectively. The Delicious apples had a combined score of greater than 0 except for the 6th day, and the scores were consistently higher than those of the other cultivars throughout the storage time. The findings indicated that the Delicious apples had the best overall quality and storage tolerance after fresh-cut processing; therefore, Delicious was selected to study the effects of PEF on fresh-cut apples.
Figure 3.
The overall quality score of fresh−cut apples of different varieties during storage.
Table 1.
Eigenvalues and contribution rates of principal components.
Table 1.
Eigenvalues and contribution rates of principal components.
| Principal Components | Eigenvalue | Contribution Rate /% | Cumulative Contribution Rate /% |
|---|---|---|---|
| 1 | 3.925 | 56.065 | 56.065 |
| 2 | 1.192 | 17.029 | 73.094 |
| 3 | 0.932 | 13.321 | 86.415 |
| 4 | 0.460 | 6.578 | 92.993 |
| 5 | 0.326 | 4.660 | 97.653 |
| 6 | 0.113 | 1.619 | 99.271 |
| 7 | 0.051 | 0.729 | 100.000 |
Table 2.
Loading factor and eigenvectors of principal components.
Table 2.
Loading factor and eigenvectors of principal components.
| Index | Principal Component 1 | Principal Component 2 | ||
|---|---|---|---|---|
| Load Factor | Eigenvector | Load Factor | Eigenvector | |
| Weight loss | −0.961 | −0.485 | 0.057 | 0.053 |
| Browning index | −0.893 | −0.451 | 0.069 | 0.063 |
| Storage time | −0.842 | −0.425 | −0.058 | −0.053 |
| POD activity | −0.833 | −0.420 | 0.014 | 0.013 |
| Firmness | 0.820 | 0.414 | −0.352 | −0.323 |
| PPO activity | −0.271 | −0.137 | −0.804 | −0.737 |
| Titratable acidity | 0.235 | 0.118 | 0.640 | 0.586 |
3.3. Effect of PEF Treatment on Physical Properties of Fresh-Cut Apples
Figure 4a shows the changes in weight loss of fresh-cut apples during 10 days of storage. The weight loss of fresh-cut apples was reduced throughout the storage period, and on the 4th day, the water loss of the E3 apples was 17.86% lower than the control. The weight loss of the E2 and E3 apples was consistently lower than the control during the entire storage period. The results showed that PEF could reduce the weight loss of apples and that the E3 group treatment had the best effect. This is consistent with the study by Liu [30] which found that high-voltage electric field could inhibit the weight loss of persimmon. As seen in Figure 4b, on the 10th day of storage, BI in the control group increased by 13.04 compared with the initial value, while BI in the E2 treatment group increased by only 7.07. These results indicated that the E2 and E3 treatment had obvious effects on the browning of fresh-cut apples. There have been studies on the reduction in the browning index for fruits and vegetables brought about by using PEF. Yeom [31] found that the browning index for orange juice after PEF treatment was significantly lower than after heat pasteurization. Figure 4c showed that the difference in firmness between the PEF treatment and the control was not obvious, indicating that PEF has no discernible impact on the firmness of fresh-cut apples.
Figure 4.
Changes in weight loss (a), BI (b), firmness (c) of fresh-cut apples during 10 d of storage at 4 °C. Vertical lines represent the standard error of the mean of triplicate. Different letters represent differences among treatments, p < 0.05.
3.4. Effect of PEF Treatment on Enzyme Activity and Nutrient Content of Fresh-Cut Apples
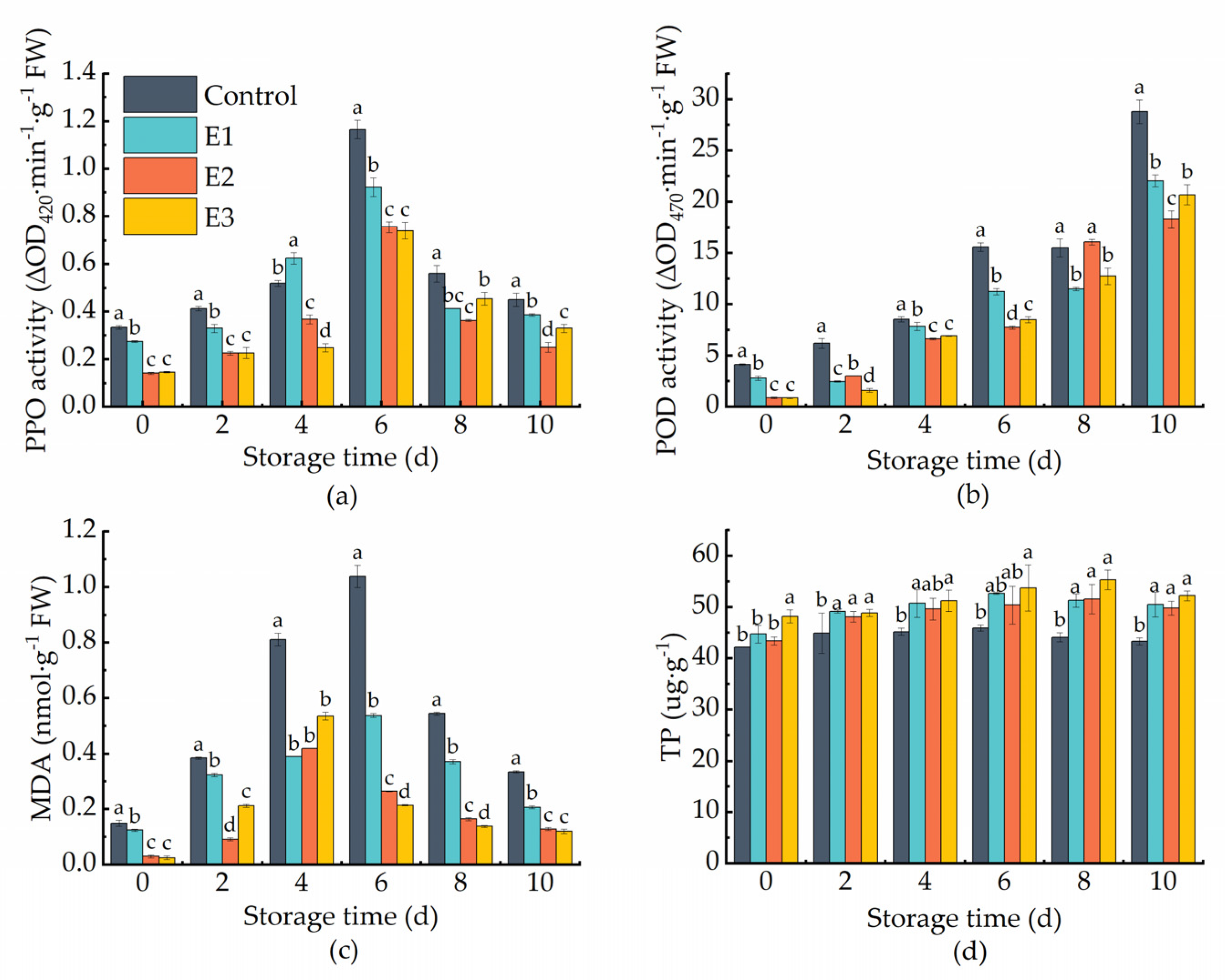
The PPO enzyme hydroxylates monophenols to produce catechol, which catalyzes the oxidation of catechol to cathinone and polymerizes to form the dark pigment melanin [26]. The effects of all treatments on PPO were exhibited in Figure 5a. The PPO activity of the PEF groups on the initial day was significantly lower than that of the control (p < 0.05). With the increase in storage time, the PPO activity of the E1 group exceeded the control on the 4th day, but then dropped below the control. The E2 and E3 groups had lower PPO activity than the control throughout the storage period. The PPO activity of all groups reached a maximum on the 6th day, when the control had a high PPO activity value of 1.17, which was 1.54 and 1.58 times higher than the E2 and E3 groups, respectively. The increase and then decrease in PPO activity is due to the fact that PPO activity increased when apples were mechanically damaged by cutting to combat the adverse environment. After that, PPO acts as the reactant and catalyst for the browning reaction, so its activity decreased again. The fact that PPO activity of the E1 group on the 4th day was higher than control could be attributed to the electric field triggering the stress response of PPO under these conditions, resulting in an accelerated increase in PPO activity, which exceeded the control on 4th day. The PPO activity of the E2 group was lower than in other treatments on the 8th and 10th days, and on the 10th day, the PPO activity of the control was 1.81 times higher than that of the E2 group. The results demonstrated that PEF treatment had a definite impact on the inactivation of the PPO enzyme. A similar result was reported by Leong [32], who found a 10% decrease in PPO activity in PEF-treated carrots.
In Figure 5b, POD activity escalated. The gradual accumulation of peroxides in the body increased POD activity after fresh-cut treatment. The POD activity of the control was generally greater than that of the PEF-treated groups during storage. The POD activity of E2 group was significantly higher than E1 and E3 groups on 8th day, while there was no significant difference between E2 and E3 groups on remaining days. On the 10th day, the difference of POD activity between the control and E2 group was the largest, with the control being 1.58 times higher than the E2 group. During the entire storage period, the smallest increase in POD activity was observed in the E2 group (17.39) and the POD activity increased most in the control (24.61). These results indicated that PEF treatment can effectively inhibit the activity of POD, while the optimum effect was observed in the E2 group. The high POD activity of group E2 on the 8th day may be due to the stimulation of PEF on the cell membrane of the fresh-cut apples to produce H2O2, and the increase in POD activity is a drastic change needed to remove excess H2O2. It has been previously shown that a higher electric field strength and treatment time will inactivate the enzyme more easily [33]. This may be the result of electropermeabilization since the same effect occurred when a moderate electric field was applied [34].
Figure 5.
Changes in PPO (a), POD (b) activity, MDA (c), and TP (d) content of fresh-cut Delicious apples during 10 d of storage at 4 °C. Vertical lines represent the standard error of the mean of triplicate. Different letters represent differences among treatments, p < 0.05.
Figure 5.
Changes in PPO (a), POD (b) activity, MDA (c), and TP (d) content of fresh-cut Delicious apples during 10 d of storage at 4 °C. Vertical lines represent the standard error of the mean of triplicate. Different letters represent differences among treatments, p < 0.05.

MDA accumulation occurs under stress conditions, and is an important indicator of oxidative damage to cells [35]. The change in MDA activities under different treatments during storage is shown in Figure 5c. During storage, the MDA content first rose and then decreased. The gradual increase in MDA content at the beginning of storage may be caused by the aging of the tissues after the cutting treatment. After mechanical injury to the apples, the reactive oxygen content in the tissues increased, but at the same time many mechanisms for scavenging reactive oxygen were activated. Therefore, MDA appears to rise first and then fall. In the control group, E1 and E2 reached their maximum value on the 6th day, while E3 reached maximum levels on the 4th day. This may be because the higher electric field strength stimulation caused more damage to the cell membrane, so E3 had peaked by 4th day. The MDA content of the control remained significantly higher compared to the PEF-treated samples throughout the storage process (p < 0.05), reaching up to 1.04 nmol/g FW on day 6. On the 6th and 8th day, the MDA content of E3 was significantly lower than that of E2. The results showed that PEF treatment could diminish the content of MDA in fresh-cut apples, thus maintaining the completeness of apple cell membranes and improving the freshness of fresh-cut apples, and the PEF treatment at 3 kV/cm and 5 kV/cm had better effects.
Total phenol is the general term for phenolic substances which play an antioxidant role in fruits and vegetables. As can be seen from Figure 5d, the TP content of E1 group and the control was the highest on the 6th day, while E2 and E3 were the highest on the 8th day. The total phenol content of the PEF treatment groups was consistently superior to that of the control. TP content on the initial day was noticeably higher in E3 (p < 0.05). From the 2nd day of storage, it was revealed that PEF treatment significantly improved TP content in comparison with the control (p < 0.05). Then on the 10th day, the TP content in the E3 group was 1.20 times higher than that in the control. The E3 group always had elevated TP. The mechanical injury generated by segmentation allowed the tissue to rapidly produce phenols, which aid in the production of callus. [36]. With the extension of storage time, the secondary metabolism of the phenolics and the continuous transfer of phenolics to the wound under the effect of the concentration gradient led to a decrease in phenolics content. The results demonstrated that PEF treatment could keep the phenolic content at a high level, delay the metabolic process of total phenols, effectively eliminate the accumulation of superoxide radicals by stimulating the activity of the defensive enzyme system, reduce the production of MDA, delay tissue aging and browning, and improve the quality of fresh-cut apples during storage.
3.5. Microbial Analysis
Figure 6 shows the changes during storage in the aerobic bacteria in fresh-cut Delicious apples under PEF treatment and in the control. The total number of colonies expanded gradually during storage. In the beginning, the microbial populations of the PEF-treated samples differed significantly from the control samples. E2 and E3 were 1.26 and 1.33 lower than the control samples, respectively. After 4th day, the gap between PEF and the control began to diminish, but the E3 group was constantly weaker than the control. However, on the 4th and 8th days, the difference between the E1 group and the control was not statistically significant. The microbial population of the control was higher than 6 log10 CFU/g on the 10th day; this was considered quite high and was not recommended for consumption [37,38,39]. The results proved that PEF treatment could depress the total bacteria count and inhibit the growth and multiplication of aerobic bacteria, and the high electric field intensity treatment was more effective. The effect of PEF on microorganisms was mainly to cause irreversible electroporation of the cell membrane of the bacteria, leading to cell death. Therefore, high-intensity electric field stimulation causes more damage to bacteria.
Figure 6.
Changes in the total number of bacteria in fresh-cut Delicious apples during 10 d of storage at 4 °C. Vertical lines represent the standard error of the mean of triplicate. Different letters represent differences among treatments, p < 0.05.
3.6. Comprehensive Evaluation
Principal component analysis was performed on weight loss, BI, firmness, TP, MDA, PPO and POD activity, and colony count of fresh-cut apples. Two principal components were extracted, and the cumulative contribution rate of the first two principal components was 82.289%. The linear equations of the two principal components were respectively:
Y1 = −0.438X1 − 0.426X2 − 0.419X3 + 0.417X4 − 0.410X5 − 0.169X6 − 0.242X7 + 0.163X8
Y2 = 0.049X1 + 0.168X2 − 0.145X3 − 0.249X4 + 0.100X5 − 0.690X6 − 0.520X7 − 0.361X8
The comprehensive evaluation function was:
Y = 0.623Y1 + 0.200Y2
The composite score is shown in Figure 7a. It can be seen that the scores of E2 and E3 treatments were always higher than those of E1 and the control. On the 10th day, the score of E2 was higher than E3, and there was no significant difference between E2 and E3 at other t times. The results showed that the apples treated with 3 kV/cm and 5 kV/cm had the best overall quality and storage resistance after fresh cutting. Figure 7b clearly demonstrates that PEF treatment was successful in improving the appearance, color, taste and acceptability of fresh-cut apples, and also improved consumers’ purchase intention. Among the PEF treatments, E2 treatment had the best effect on the color, appearance, and overall acceptability, and E3 treatment had the best effect on the taste and purchase intention. These findings also demonstrate the potential for practical production using PEF technology.
Figure 7.
The overall quality score (a) and sensory analysis (b) of fresh-cut apples under different treatment during storage.
4. Conclusions
This experiment was conducted to investigate the changes in the appearance, quality and nutritional properties of five varieties of fresh-cut apples held at 4 °C for 6 d. The BI, weight loss, PPO, and POD activity of Delicious apples were better than other varieties, and the firmness and TA content were also maintained at a high level. This result was corroborated by the PCA analysis, in which the overall score of Delicious apples at the end of storage was 2.38 higher than the Ralls apples. PEF treatment reduced weight loss, BI, PPO and POD activities, MDA accumulation, and microbial infestation, and increased TP content, in fresh-cut Delicious apples, and the apples treated with 3 kV/cm and 5 kV/cm showed superior storage quality. The results of these studies will help improve the freshness and bacterial inhibition of fresh-cut Delicious apples under PEF treatment.
Author Contributions
Conceptualization, Z.L., J.S. and X.H.; methodology, H.Y. and Z.L.; validation, H.Y. and W.F.; formal analysis, H.Y.; investigation, Z.L. and H.Y. and W.F.; resources, X.Z., Z.L. and J.S.; writing preparation for the first draft, H.Y.; writing comments and revisions, Z.L., W.F. and X.H.; funding acquisition, X.Z. and Z.L. All authors have read and agreed to the published version of the manuscript.
Funding
This research was supported by the Natural Science Foundation of Jiangsu Province, China (Grant No. BK20220058), the Foundation of Jiangsu Specially-Appointed Professor, China (Grant No. 202074), the China Postdoctoral Science Foundation (Grant No. 2020M683372), the National Natural Science Foundation of China (Grant No. 32272407), and the Natural Science Foundation of Jiangsu Province, China (Grant Nos. BK20200103 and BK20220111).
Institutional Review Board Statement
Not applicable.
Informed Consent Statement
Not applicable.
Data Availability Statement
Not applicable.
Conflicts of Interest
The authors declare no conflict of interest.
References
- Hershko, S.; Cortese, S.; Ert, E.; Aronis, A.; Maeir, A.; Pollak, Y. The influence of attractiveness and convenience cues on food appeal in adults with and without ADHD. Appetite 2020, 150, 104679. [Google Scholar] [CrossRef] [PubMed]
- Zha, Z.; Tang, R.; Wang, C.; Li, Y.-L.; Liu, S.; Wang, L.; Wang, K. Riboflavin inhibits browning of fresh-cut apples by repressing phenolic metabolism and enhancing antioxidant system. Postharvest Biol. Technol. 2022, 187, 111867. [Google Scholar] [CrossRef]
- Dellarosa, N.; Tappi, S.; Ragni, L.; Laghi, L.; Rocculi, P.; Dalla Rosa, M. Metabolic response of fresh-cut apples induced by pulsed electric fields. Innov. Food Sci. Emerg. Technol. 2016, 38, 356–364. [Google Scholar] [CrossRef]
- Caminiti, I.M.; Palgan, I.; Noci, F.; Muñoz, A.; Whyte, P.; Cronin, D.A.; Morgan, D.J.; Lyng, J.G. The effect of pulsed electric fields (PEF) in combination with high intensity light pulses (HILP) on Escherichia coli inactivation and quality attributes in apple juice. Innov. Food Sci. Emerg. Technol. 2011, 12, 118–123. [Google Scholar] [CrossRef]
- Ohshima, T.; Tanino, T.; Kameda, T.; Harashima, H. Engineering of operation condition in milk pasteurization with PEF treatment. Food Control 2016, 68, 297–302. [Google Scholar] [CrossRef]
- Pyatkovskyy, T.I.; Shynkaryk, M.V.; Mohamed, H.M.; Yousef, A.E.; Sastry, S.K. Effects of combined high pressure (HPP), pulsed electric field (PEF) and sonication treatments on inactivation of Listeria innocua. J. Food Eng. 2018, 233, 49–56. [Google Scholar] [CrossRef]
- Kantono, K.; Hamid, N.; Ma, Q.; Oey, I.; Farouk, M. Changes in the physicochemical properties of chilled and frozen-thawed lamb cuts subjected to pulsed electric field processing. Food Res. Int. 2021, 141, 110092. [Google Scholar] [CrossRef]
- Mok, J.H.; Her, J.-Y.; Kang, T.; Hoptowit, R.; Jun, S. Effects of pulsed electric field (PEF) and oscillating magnetic field (OMF) combination technology on the extension of supercooling for chicken breasts. J. Food Eng. 2017, 196, 27–35. [Google Scholar] [CrossRef]
- Rahbari, M.; Hamdami, N.; Mirzaei, H.; Jafari, S.M.; Kashaninejad, M.; Khomeiri, M. Effects of high voltage electric field thawing on the characteristics of chicken breast protein. J. Food Eng. 2018, 216, 98–106. [Google Scholar] [CrossRef]
- Tylewicz, U.; Mannozzi, C.; Castagnini, J.M.; Genovese, J.; Romani, S.; Rocculi, P.; Dalla Rosa, M. Application of PEF- and OD-assisted drying for kiwifruit waste valorisation. Innov. Food Sci. Emerg. Technol. 2022, 77, 102952. [Google Scholar] [CrossRef]
- Neri, L.; Giancaterino, M.; Rocchi, R.; Tylewicz, U.; Valbonetti, L.; Faieta, M.; Pittia, P. Pulsed electric fields (PEF) as hot air drying pre-treatment: Effect on quality and functional properties of saffron (Crocus sativus L.). Innov. Food Sci. Emerg. Technol. 2021, 67, 102592. [Google Scholar] [CrossRef]
- Pataro, G.; Carullo, D.; Bakar Siddique, M.A.; Falcone, M.; Donsì, F.; Ferrari, G. Improved extractability of carotenoids from tomato peels as side benefits of PEF treatment of tomato fruit for more energy-efficient steam-assisted peeling. J. Food Eng. 2018, 233, 65–73. [Google Scholar] [CrossRef]
- Saldana, G.; Cebrian, G.; Abenoza, M.; Sanchez-Gimeno, C.; Alvarez, I.; Raso, J. Assessing the efficacy of PEF treatments for improving polyphenol extraction during red wine vinifications. Innov. Food Sci. Emerg. Technol. IFSET Off. Sci. J. Eur. Fed. Food Sci. Technol. 2017, 39, 179–187. [Google Scholar] [CrossRef]
- Zhang, Z.-H.; Wang, L.-H.; Zeng, X.-A.; Han, Z.; Wang, M.-S. Effect of pulsed electric fields (PEFs) on the pigments extracted from spinach (Spinacia oleracea L.). Innov. Food Sci. Emerg. Technol. 2017, 43, 26–34. [Google Scholar] [CrossRef]
- Yildiz, S.; Pokhrel, P.R.; Unluturk, S.; Barbosa-Canovas, G.V. Shelf life extension of strawberry juice by equivalent ultrasound, high pressure, and pulsed electric fields processes. Food Res. Int. 2021, 140, 110040. [Google Scholar] [CrossRef] [PubMed]
- Sepulveda, D.R.; Góngora-Nieto, M.M.; Guerrero, J.A.; Barbosa-Cánovas, G.V. Production of extended-shelf life milk by processing pasteurized milk with pulsed electric fields. J. Food Eng. 2005, 67, 81–86. [Google Scholar] [CrossRef]
- González-Arenzana, L.; López-Alfaro, I.; Garde-Cerdán, T.; Portu, J.; López, R.; Santamaría, P. Microbial inactivation and MLF performances of Tempranillo Rioja wines treated with PEF after alcoholic fermentation. Int. J. Food Microbiol. 2018, 269, 19–26. [Google Scholar] [CrossRef] [PubMed]
- Li, Y.; Wills, R.B.H.; Golding, J.B. Sodium chloride, a cost effective partial replacement of calcium ascorbate and ascorbic acid to inhibit surface browning on fresh-cut apple slices. LWT-Food Sci. Technol. 2015, 64, 503–507. [Google Scholar] [CrossRef]
- Li, J.; Shi, J.; Wang, T.; Huang, X.; Zou, X.; Li, Z.; Zhang, D.; Zhang, W.; Xu, Y. Effects of pulsed electric field pretreatment on mass transfer kinetics of pickled lotus root (Nelumbo nucifera Gaertn.). LWT 2021, 151, 112205. [Google Scholar] [CrossRef]
- Osuga, R.; Koide, S.; Sakurai, M.; Orikasa, T.; Uemura, M. Quality and microbial evaluation of fresh-cut apples during 10 days of supercooled storage. Food Control 2021, 126, 108014. [Google Scholar] [CrossRef]
- Mello, R.E.; Fontana, A.; Mulet, A.; Corrêa, J.L.G.; Cárcel, J.A. PEF as pretreatment to ultrasound-assisted convective drying: Influence on quality parameters of orange peel. Innov. Food Sci. Emerg. Technol. 2021, 72, 102753. [Google Scholar] [CrossRef]
- Zheng, H.; Liu, W.; Liu, S.; Liu, C.; Zheng, L. Effects of melatonin treatment on the enzymatic browning and nutritional quality of fresh-cut pear fruit. Food Chem. 2019, 299, 125116. [Google Scholar] [CrossRef] [PubMed]
- Li, Z.; Li, B.; Li, M.; Fu, X.; Zhao, X.; Min, D.; Li, F.; Li, X.; Zhang, X. Hot air pretreatment alleviates browning of fresh-cut pitaya fruit by regulating phenylpropanoid pathway and ascorbate-glutathione cycle. Postharvest Biol. Technol. 2022, 190, 111954. [Google Scholar] [CrossRef]
- Koide, S.; Shi, J. Microbial and quality evaluation of green peppers stored in biodegradable film packaging. Food Control 2007, 18, 1121–1125. [Google Scholar] [CrossRef]
- Glicerina, V.; Tylewicz, U.; Canali, G.; Siroli, L.; Dalla Rosa, M.; Lanciotti, R.; Romani, S. Influence of two different cocoa-based coatings on quality characteristics of fresh-cut fruits during storage. LWT 2019, 101, 152–160. [Google Scholar] [CrossRef]
- Li, F.; Zhang, X.; Wang, J.; Jiang, Y.; Zhang, X.; Li, X. Preharvest application of 1-methylcyclopropene and Ethephon altered cuticular wax biosynthesis and fruit quality of apples at harvest and during cold storage. Hortic. Plant J. 2022, 8, 143–152. [Google Scholar] [CrossRef]
- Kasnak, C. Evaluation of the anti-browning effect of quercetin on cut potatoes during storage. Food Packag. Shelf Life 2022, 31, 100816. [Google Scholar] [CrossRef]
- Ighodaro, O.M.; Akinloye, O.A. First line defence antioxidants-superoxide dismutase (SOD), catalase (CAT) and glutathione peroxidase (GPX): Their fundamental role in the entire antioxidant defence grid. Alex. J. Med. 2019, 54, 287–293. [Google Scholar] [CrossRef]
- Alsayegh, S.Y.; Disi, Z.A.; Al-Ghouti, M.A.; Zouari, N. Evaluation by MALDI-TOF MS and PCA of the diversity of biosurfactants and their producing bacteria, as adaption to weathered oil components. Biotechnol. Rep. 2021, 31, e00660. [Google Scholar] [CrossRef]
- Liu, C.-E.; Chen, W.-J.; Chang, C.-K.; Li, P.-H.; Lu, P.-L.; Hsieh, C.-W. Effect of a high voltage electrostatic field (HVEF) on the shelf life of persimmons (Diospyros kaki). LWT 2017, 75, 236–242. [Google Scholar] [CrossRef]
- Yeom, H.W.; Streaker, C.B.; Zhang, Q.H.; Min, D.B. Effects of Pulsed Electric Fields on the Quality of Orange Juice and Comparison with Heat Pasteurization. Agric. Food Chem. 2000, 48, 4597–4605. [Google Scholar] [CrossRef] [PubMed]
- Leong, S.Y.; Richter, L.-K.; Knorr, D.; Oey, I. Feasibility of using pulsed electric field processing to inactivate enzymes and reduce the cutting force of carrot (Daucus carota var. Nantes). Innov. Food Sci. Emerg. Technol. 2014, 26, 159–167. [Google Scholar] [CrossRef]
- Martín-Belloso, O.; Elez-Martínez, P. 7-Enzymatic Inactivation by Pulsed Electric Fields. Emerg. Technol. Food Process. 2005, 155–181. [Google Scholar] [CrossRef]
- Balaša, A. Pulsed electric field induced stress in plant systems. Doctoral Thesis, Technische Universität Berlin, Berlin, Germany, 2014. [Google Scholar]
- Li, X.; Li, W.; Jiang, Y.; Ding, Y.; Yun, J.; Tang, Y.; Zhang, P. Effect of nano-ZnO-coated active packaging on quality of fresh-cut ‘Fuji’ apple. Int. J. Food Sci. Technol. 2011, 46, 1947–1955. [Google Scholar] [CrossRef]
- Liu, X.; Lu, Y.; Yang, Q.; Yang, H.; Li, Y.; Zhou, B.; Li, T.; Gao, Y.; Qiao, L. Cod peptides inhibit browning in fresh-cut potato slices: A potential anti-browning agent of random peptides for regulating food properties. Postharvest Biol. Technol. 2018, 146, 36–42. [Google Scholar] [CrossRef]
- Chong, J.X.; Lai, S.; Yang, H. Chitosan combined with calcium chloride impacts fresh-cut honeydew melon by stabilising nanostructures of sodium-carbonate-soluble pectin. Food Control 2015, 53, 195–205. [Google Scholar] [CrossRef]
- Moreira, M.R.; Tomadoni, B.; Martín-Belloso, O.; Soliva-Fortuny, R. Preservation of fresh-cut apple quality attributes by pulsed light in combination with gellan gum-based prebiotic edible coatings. LWT-Food Sci. Technol. 2015, 64, 1130–1137. [Google Scholar] [CrossRef]
- Wu, Z.S.; Zhang, M.; Wang, S. Effects of high pressure argon treatments on the quality of fresh-cut apples at cold storage. Food Control 2012, 23, 120–127. [Google Scholar] [CrossRef]
Disclaimer/Publisher’s Note: The statements, opinions and data contained in all publications are solely those of the individual author(s) and contributor(s) and not of MDPI and/or the editor(s). MDPI and/or the editor(s) disclaim responsibility for any injury to people or property resulting from any ideas, methods, instructions or products referred to in the content. |
© 2023 by the authors. Licensee MDPI, Basel, Switzerland. This article is an open access article distributed under the terms and conditions of the Creative Commons Attribution (CC BY) license (https://creativecommons.org/licenses/by/4.0/).




