Abstract
In natural habitats, there is a strong evolutionary selection pressure on herbivorous insects to avoid danger and choose suitable host plants. Similar selection pressures may drive movement and choices of oviposition hosts by herbivorous insects living in agricultural cropping systems, in which insecticides are often used. In this study, we quantified movement responses and nymph emergence (collectively referred to as bio-responses) of western-tarnished plant bug (Lygus hesperus Knight (Hemiptera: Miridae)) individuals when exposed to environments associated with a perceived “risk” (experimental insecticide treatments and their corresponding controls). We introduce a novel analytical approach in which treatments (risk environments) are ranked in ascending order based on bio-responses (movement or nymph emergence). Consequently, linear regression coefficients were generated and used to interpret bio-responses of Lygus individuals in different life stages to risk environments. Initially, we predicted movement by Lygus individuals to be positively associated with environmental risk and nymph emergence to be negatively associated with environmental risk. Overall, based on a comprehensive combination of no- and two-choice bioassays, we found that: (1) In no-choice bioassays, movement parameters (both total distance moved and movement percentage) by all three life stages were lowest in low-risk environments and highest when Lygus individuals were exposed to either malathion or Grandevo. Accordingly, environments involving malathion or Grandevo were considered high-risk. (2) No-choice movement bioassays also revealed that Lygus males moved significantly more (based on comparison of regression intercepts) than other life stages, and that they responded significantly more (based on comparison of regression slopes) than conspecific females and nymphs. (3) In two-choice movement bioassays, neem elicited the most consistent movement responses by Lygus individuals, and adult life stages showed the strongest response. Two-choice movement bioassays also revealed that Lygus adults, compared to nymphs, were more likely to spend time in low-risk areas of the test arenas. (4) Nymph emergence was markedly lower in no-choice compared to two-choice bioassays, and in two-choice bioassays, Grandevo and malathion elicited especially biased nymph emergence from low-risk beans. To our knowledge, this is the first study in which movement bioassays have been used to quantify and characterize behavioral responses by Lygus life stages to environments associated with varying degrees of risk. The novel analytical approach presented in this study provides a high degree of complementarity to more traditional performance-testing methods used to evaluate responses to insecticides. Furthermore, we believe that this analytical approach can be of considerable relevance to studies of animal phenomics and behavioral studies of animals more broadly, in which adaptation and fitness parameters are examined in response to environmental risk and heterogeneity.
1. Introduction
In order to maximize offspring fitness, animals have evolved behaviors of parental care [1,2,3]. Such behaviors are particularly important for the survival of offspring that are born altricial, or undeveloped, such as birds and mammals [2,4]. Although less well-known compared to mammalian and avian species, insect species possess a considerable range of parental care behaviors [5,6], including: (1) Protection of eggs and instars from predators has been described in a number of insect species, including shield bugs (Elasmucha dorsalis Jakovlev (Heteroptera: Acanthosomatidae)) [7,8], assassin bugs (Rhynocoris tristis (Stål) (Heteroptera: Reduviidae)) [9,10], and coreid bugs (Phyllomorpha laciniata (Villers) (Heteroptera: Coreidae)) [11]). (2) Food provision to young life stages has been observed in burying beetles (Nicrophorus orbicollis Say (Coleoptera: Silphidae)) [12,13] and dung beetles (Onthophagus taurus (Schreber) (Coleoptera: Scarabaeidae)) [14]. (3) Maximizing offspring survival through non-random selection of oviposition sites is broadly referred to as the “preference-performance hypothesis” [15,16] or “mother knows best hypothesis” [17,18]. Moreover, the latter type of parental care implies that insect species prefer to lay their eggs on suitable and/or “low-risk host plants”, which possess qualitative traits that appear to favor offspring performance. It seems particularly reasonable to assume that there is strong evolutionary selection pressure on herbivorous insect species’ ability to choose low-risk host plants, as early instars are typically highly sensitive to environmental conditions and possess no or limited mobility [6,19].
Non-random selection of oviposition hosts is particularly challenging for herbivorous insects living in agricultural cropping systems in which insecticides are frequently applied. That is, in order to survive, feeding insects, and ovipositing females in particular, must be able to differentiate plant species according to their relative suitability (i.e., nutritional quality of weeds versus crops). In addition, insect species feeding and ovipositing on crop plants are also selected for their ability to avoid high-risk areas of host plants where lethal doses of insecticides are present. Selection pressures that have driven the evolution of host selection by insect populations in natural systems (i.e., their ability to utilize volatile, visual, and tactile cues to assess host plant suitability and/or risk) may be considered as possible drivers of evolutionary pressures imposed on agricultural insect populations, as they attempt to avoid exposure to insecticides. This particular type of host plant selection in response to insecticides is generally referred to as “avoidance behavior” or “behavioral resistance”, and has been documented for almost 50 years [20]. Behavioral resistance is described as “Resistant insects may detect or recognize a danger and avoid the toxin. Insects may simply stop feeding if they come across certain insecticides, or leave the area where spraying occurred (for instance, they may move to the underside of a sprayed leaf, move deeper in the crop canopy or fly away from the target area).” (http://www.irac-online.org/about/resistance/mechanisms/, accessed on 1 March 2023).
A widely used method to study behavioral responses by insects is to record video of individuals or groups of insects inside arenas in order to quantify their movement and the time they spend in the vicinity of food under different environmental conditions. As an example, the software system EthoVision XT® (www.noldus.com, accessed on 1 March 2023) has been used in several studies of behavioral responses of insects and spider mites (Tetranychus spp.) to host plants with/without insecticide treatments [21,22,23]. Behavioral responses, such as movement, are typically examined statistically based on means comparisons from bioassays involving control(s) and one or more additional treatments. Herein, we introduce an analytical approach (Figure 1a) which is particularly relevant to data sets involving several or many treatments and bioassays of individual insects. Moreover, treatments (represented by filled dots along the x-axis) are aligned in ascending order of mean bio-response (e.g., movement or nymph emergence). Regression lines are generated (blue lines), and coefficients from these regression lines (intercept and slope) are used as indicators of bio-responses of the various insect life stages. The theoretical example in Figure 1a shows bio-responses by three populations, and it can be seen that populations 1 and 2 have similar bio-responses in low-risk environments (similar intercepts), but as risk increases, population 2 shows a stronger bio-response (steeper slope). It can also be observed that population 3 has both a higher intercept and a higher slope than the other two populations, and is, therefore, interpreted as being quite different in its bio-responses.
Figure 1.
Analytical approach (a), in which experimental treatments (insecticides and corresponding controls) are aligned in ascending order, and coefficients of linear regressions (movement or nymph emergence) are used to interpret bio-responses by insects. Visual presentation of study hypotheses regarding movement (b) and offspring (c) of Lygus individuals.
Thus, the analytical goal is not to directly compare, for instance, average bio-responses to treatments, which would be based on analysis of variance in a more conventional analysis. Instead, the relative bio-response across all treatments (the slope) is our focus. Different insecticide treatment combinations or sources of insects (i.e., resistant versus susceptible strains of the same species and/or populations from different locations or reared on different diets) may yield vary different intercepts and slopes, or one treatment may yield a markedly different bio-response compared to other treatments. In such scenarios, it may be of relevance to use an analytical approach based on data from all treatments. Moreover, intercept and slope values, summarizing bio-responses to a large number of treatments, can be directly compared between different studies.
In this study, the polyphagous herbivore known as the western tarnished plant bug (Lygus hesperus Knight (Hemiptera: Miridae)) was used as a model insect. Lygus is an agriculturally important pest for many host plants, including strawberries (Fragaria spp. × Ananassa spp.) and cotton (Gossypium spp.) in California [24,25], and more insight into behavioral responses to insecticides is a key aspect for developing effective management strategies for this important pest. We used insecticides (malathion, Grandevo, neem oil, and hexyl butyrate) and corresponding control treatments (water acted as the control for malathion, Grandevo, and neem oil, as these were prepared in water formulations; and ethanol for hexyl butyratem as hexyl butyrate formulations were prepared in ethanol formulations) to establish a range of experimental risk environments represented by untreated (control) green beans or polypropylene sheets. Hexyl butyrate is not considered an insecticide per se, but it is a known component of Lygus female pheromones [26], and was assumed to elicit behavioral responses. In no-choice low-risk scenarios (control treatments), we predict that Lygus nymphs will have the lowest mobility of the three life stages (lowest intercept), and that males may be slightly more mobile than females (Figure 1b). We assume that movement is positively associated with risk. This assumption is supported by movement studies of other arthropod pests [22]. Thus, movement is perceived as a means to locate a suitable food host and also to avoid or escape from danger, so we predict that Lygus individuals will move significantly more to try to avoid risk. Nymphs and females are predicted to show a stronger movement response than males (steeper slopes in response to increased risk in Figure 1b). Regarding total nymph emergence in no-choice bioassays, we predict that total nymph emergence will decrease in response to risk (negative slope). However, we predict that total nymph emergence in two-choice bioassays will either remain constant or only decrease slightly in response to risk, because females will bias oviposition towards untreated beans (avoid high-risk beans) (Figure 1c). To our knowledge, this is the first study in which movement responses have been used to quantify and characterize behavioral responses by Lygus life stages to environments associated with varying degrees of risk. We believe that the experimental framework presented in this study may be of broad relevance to researchers conducting performance assessments of insecticides, and it can be applied to mechanistic studies on the evolution of insecticide resistance.
2. Materials and Methods
2.1. Insects
Lygus individuals used in this study were obtained from a laboratory colony reared in plastic containers (16.3 cm in diameter, 12.1 cm in height) with screen lids in an environmental chamber (Queue Systems Walk-In Incubator) at a photoperiod of 14:10 (L:D) h and 23.5 ± 3.5 °C. The laboratory colony had been maintained continuously since October 2015, with occasional supplements of additional Lygus adult individuals being added on an as-needed basis, approximately once a year. Supplemental Lygus adults were collected from experimental research plots with alfalfa (Medicago sativa L.) on the UC Davis campus. Colony cages contained organic green bean pods (Phaseolus vulgaris L.) and raw sunflower seeds (Helianthus annuus L.). Rearing containers were lined with clean, shredded paper. Each container held a cohort of mixed-gender Lygus individuals and adults 10–15 days after their final molt, and 3rd instar nymphs were used in bioassays.
2.2. Risk Environments
We examined behavioral responses and nymph emergence by Lygus individuals to the following treatments at the labeled rates: malathion (Malathion 50 Plus® Insect Spray, Ortho®, Marysville, OH, USA) at 3.97 mL/L, Grandevo (Grandevo® WDG, Marrone Bio Innovations, Davis, CA, USA) at 1.198 g/L, neem oil (70% neem oil, Monterey Lawn and Garden Products, Fresno, CA, USA) at 2.75 mL/L, and hexyl butyrate (hexyl butyrate ≥ 98%, FG, Sigma-Aldrich, St. Louis, MO, USA) at 2.0 mL/L. Grandevo and neem oil possess insect-repellent properties [27,28,29], so we predicted that they would elicit increased movement. Hexyl butyrate is a component of a Lygus alarm pheromone [30,31,32], so we also predicted that its presence would induce a movement response by Lygus individuals. malathion is an organophosphate that attacks the central nervous system and ultimately hinders muscle mobility (IRAC group 1B, https://irac-online.org/, accessed on 1 March 2023). It has been commercially available for several decades [33], so it could be expected that field populations of Lygus would have developed some degree of behavioral avoidance to this active ingredient. The lab population used in this study was regularly infused with individuals collected from field sites. Thus, we predicted that Lygus individuals would show increased movement (avoidance) in response to exposure to an environment where the presence of malathion is evident.
2.3. Movement Bioassays
Smooth/matte-type polypropylene sheets (TAP Plastics, Sacramento, CA, USA) were used as the surface material, as its surface texture mimics that of leaf surfaces. Each circular arena consisted of an inverted petri dish lid (FisherbrandTM) (15 cm diameter) placed on top of a polypropylene sheet. For the no-choice movement bioassays, a whole polypropylene sheet was treated with one of the aforementioned insecticide treatments at the labeled rate, while for two-choice movement bioassays, one-half of a polypropylene sheet was treated and the other half was dipped in deionized water. Polypropylene sheets were dried for 1 h before being used in movement bioassays. Lygus individuals were individually bioassayed for 10 min with a video camera (Computar Mega-Pixel Vari Focal, H2Z0414C), and accompanying tracking software (EthoVision XT® software (Noldus Information Technology Inc., Leesburg, VA, USA) was used to quantify the behavioral responses at a rate of 25 samples per second. No-choice and two-choice movement bioassays were performed with eight replications of all combinations of treatments and Lygus life stages (females, males, and nymphs). A total of 264 movement bioassays were performed.
Two movement responses were quantified in both no-choice and two-choice movement bioassays: (1) average total distance moved (cm) during 10-min bioassays (“distance”) and (2) percentage of time during which individuals moved (“movement”). A third response was examined in two-choice movement bioassays only: (3) percentage of time spent in the low-risk (untreated) zone.
2.4. Nymph Emergence
For the nymph emergence bioassays, fresh bean pods were dipped in one of the six aforementioned insecticide treatments. Treated green beans were dried for 1 h before being used in bioassays. We used beans as they were also used in the maintenance of the laboratory colony and, therefore, were known to sustain both oviposition and nymph development. Individual Lygus females were placed into a plastic container (8.5 cm in diameter, 7.6 cm in height) with a meshed lid containing shredded paper and two green beans. In no-choice bioassays, two green beans from the same treatment were used, while one control (low-risk) and one treated (high-risk) bean were used in two-choice bioassays (both beans were marked with a sharpie to distinguish the control bean and the treated bean). Individual Lygus females were given 48 h to oviposit on beans and then removed from containers. Green beans exposed to oviposition by Lygus females were separated and placed into separate containers. After seven additional days, for each assay, the number of nymphs that emerged from the beans was counted. Both no-choice and two-choice assays were performed in three time series, with a total of 24 replicates. In total, 144 no-choice and 120 two-choice nymph emergence bioassays were performed.
2.5. Statistical Analyses
The processing and analytical steps associated with movement bio-response data and nymph emergence data were carried out using R v3.6.1 (The R Foundation for Statistical Computing, Vienna, Austria). We performed analysis of variance (ANOVA) and Tukey’s honestly significant difference (HSD) test to compare averages of movement bio-responses and nymph emergence between treatments. Separate analyses were performed for each Lygus life stage. Linear regressions were performed after bio-responses had been ranked in ascending order (Figure 1). Separate linear regression analyses were performed for each Lygus life stage, and coefficients (intercept and slope) were subjected to pairwise statistical comparisons based on an assumption of normal distribution and use of a z-test (Equation (1)):
where “x1” and “x2” represent the two linear regression coefficients, and “SEx1” and “SEx2” represent standard errors associated with the two linear regression coefficients. Based on z-tables available online, critical z-values were approximately: z = 1.6 (p < 0.05); z = 2.4 (p < 0.01); and z = 3.1 (p < 0.001).
3. Results
3.1. Movement Responses to Insecticide-Induced Risk
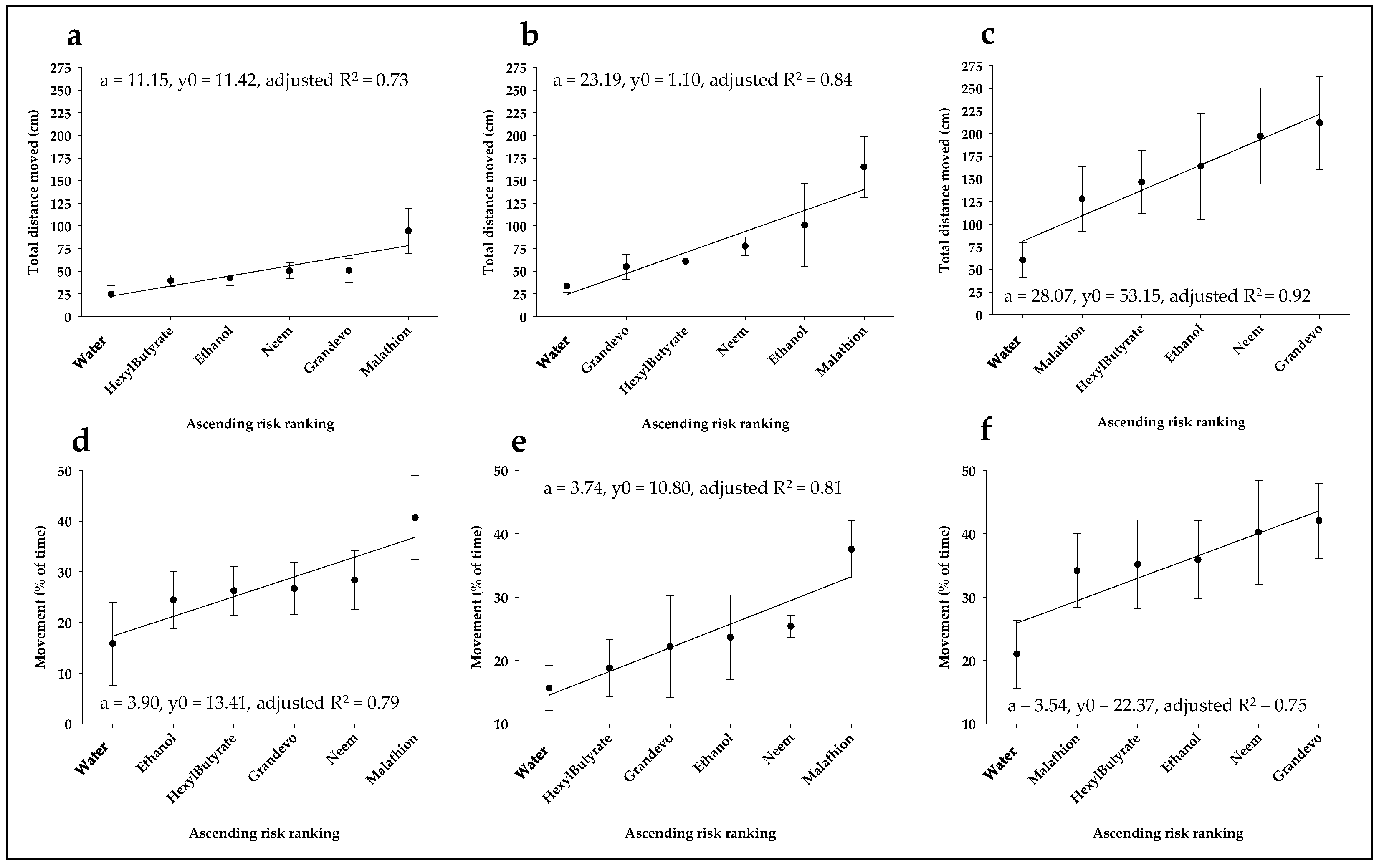
Figure 2 shows results from the no-choice movement bioassays, in which the total distance moved (Figure 2a–c) and the movement percentage (Figure 2d–f) were quantified. For all combinations of bio-response and Lygus life stage, regression lines provided highly significant fits to treatments ranked in ascending order. In all combinations of the bio-response and Lygus life stage variables, the lowest bio-response was observed for the control treatments. Additionally, it can be observed that the strongest movement responses were elicited by Grandevo and malathion. Accordingly, it may be concluded that Lygus individuals of various life stages, in a no-choice scenario, perceive these insecticides as representing the highest risk. Moreover, the observed data appear to support the notion that “risk” and movement are positively associated, and that Grandevo and malathion pose the highest risk to Lygus individuals. Table 1 shows statistical comparisons of regression intercepts and slopes. The intercept denotes the behavioral response under a theoretical “no-risk” scenario, and, as predicted, Lygus males showed the highest degree of movement (highest regression intercepts) and nymphs showed the lowest intercept values. We also predicted that Lygus females would show the strongest bio-responses to risk (highest regression slopes), but Figure 2 shows that this hypothesis was only partially supported by the observed results (only for percentage of time in movement).
Figure 2.
Average total distance (a–c) and movement as a percentage of time (d–f) of Lygus nymphs (a,d), females (b,e), and males (c,f) in no-choice bioassays. For each combination of bio-response and Lygus life stage, treatments were ranked in ascending order and linear regression was performed.
Table 1.
z-test comparisons of linear regression coefficients from no-choice bioassays.
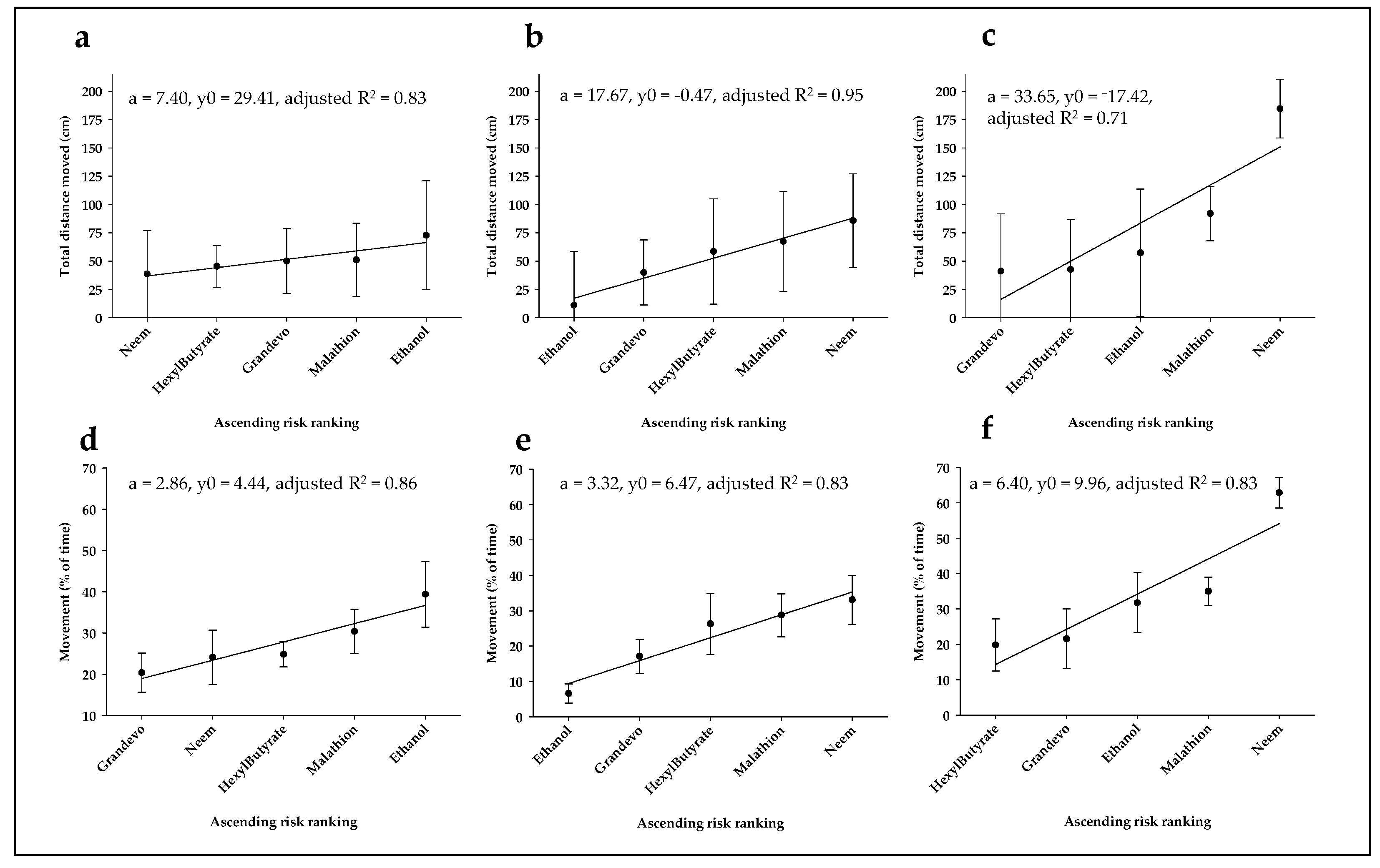
Figure 3 shows results from two-choice bioassays, in which total distance moved (Figure 3a–c) and movement percentage (Figure 3d–f) were quantified. In these bioassays, half the test arena was untreated, and it can be observed that the strongest movement responses were elicited by neem, malathion, and ethanol. Accordingly, it may be concluded that Lygus individuals of various life stages, in a two-choice scenario, perceive these insecticides as representing the highest risk.
Figure 3.
Average total distance (a–c) and movement as percentage of time (d–f) of Lygus nymphs (a,d), females (b,e), and males (c,f) in choice bioassays. For each combination of bio-response and Lygus life stage, treatments were ranked in ascending order, and linear regression was performed.
Based on statistical analyses of the regression intercepts and slopes (Table 2), both total distance moved and percentage of time in movement showed, statistically significantly, that Lygus nymphs showed the highest movement and females the lowest under low-risk conditions. We demonstrated that Lygus nymphs showed the weakest bio-responses to risk (lowest regression slope values), while conspecific males showed the strongest bio-responses to risk.
Table 2.
z-test comparisons of linear regression coefficients from choice bioassays.
Regarding two-choice movement bioassays, we also examined the average percentages of time spent in the low-risk (control) portion of test arenas (Figure 4). Thus, values exceeding 50% would suggest that Lygus individuals spent more time in the untreated areas of the test arenas (avoided insecticides). Malathion elicited a strong avoidance response by Lygus nymphs and females, but not by conspecific males. As indicted by horizontal dotted lines in Figure 4, only malathion elicited avoidance by Lygus nymphs (>50% of time spent in low-risk zone), while three or four of the insecticides elicited avoidance by Lygus females and males, respectively.
Figure 4.
Average percentage of time spent by Lygus nymphs (a), females (b), and males (c) in untreated areas of test arenas in choice bioassays. For each combination of bio-response and Lygus life stage, treatments were ranked in ascending order and linear regression was performed. Dotted horizontal lines denote an equal amount of time spent in the low- and high-risk areas of the test arena.
Statistical comparisons of the regression coefficients, presented in Figure 4, revealed that Lygus males had the highest intercept, but also the most shallow slope (Table 2). In combination, this can be interpreted as Lygus males expressing a generally high and consistent avoidance response compared to conspecific nymphs and females. In terms of avoidance response as depicted by regression coefficients, Lygus nymphs and females did not vary significantly.
3.2. Nymph Emergence Responses to Insecticide-Induced Risk
Figure 5a shows the average total Lygus nymph emergence from no-choice bioassays, with the counts ranked in descending order. It can be observed that the highest average total Lygus nymph counts were obtained from beans treated with Grandevo, and that nymph counts from the assays that used other risk treatments were very similar. Figure 5b shows the average total Lygus nymph emergence from the choice bioassays, and it can be seen that presence of an untreated bean (instead of two beans of the same risk treatment) elicited higher average total Lygus nymph counts. By comparing Figure 5a,b, it becomes clear that the presence of an untreated bean had the greatest effect on Lygus nymph emergence in environments where ethanol and malathion were present. Figure 5c illustrates the results from the Lygus nymph emergence two-choice bioassays, in which the average total Lygus nymph emergence counts from low-risk (untreated) beans are projected along the x-axis, and the average total Lygus nymph emergence counts from high-risk (treated) beans are projected along the y-axis. The dotted diagonal line represents a 50:50 split of average nymph counts, and, therefore, represents random (no avoidance) emergence. Figure 5c shows that the average Lygus nymph emergence from beans treated with (1) ethanol was higher than that predicted randomly; (2) for hexyl buterate and neem, it was similar to the counts predicted randomly, and (3) for malathion and Grandevo, it was lower than that predicted randomly.
Figure 5.
Average (s.e.) total Lygus nymph emergence in no-choice (a) and choice (b) bioassays, with risk treatments ranked in descending order. Lygus nymph counts from choice bioassays are presented, with average total Lygus nymph emergence from low-risk (untreated) beans projected along the x₋axis, and average total Lygus nymph emergence from high-risk (treated) beans projected along the y₋axis. The behavior of males is shown in (c). The dotted diagonal line represents random emergence from paired low- and high-risk beans.
4. Discussion
In this study, we quantified movement responses and nymph emergence by Lygus individuals when exposed to low-risk (absence of insecticides) and high-risk (presence of insecticide treatment) environments. Bioassays were performed on insects of three life stages, and five insecticides were assessed. We hypothesized that movement would be positively associated with risk and that nymph emergence would be negatively associated with risk, as increased movement and reduced nymph emergence may be interpreted as ways to avoid high-risk environments [34]. Data from similar studies are commonly analyzed based on analyses of variance of average treatment responses. We present a novel analytical approach in which regression coefficients from ranked treatments are used as indicators (Figure 1). Overall, and based on a comprehensive combination of no- and two-choice movement bioassays, we found that: (1) In no-choice bioassays, movement parameters (both total distance moved and movement percentage) for all three life stages were lowest in low-risk environments and highest when Lygus individuals were exposed to either malathion or Grandevo. Accordingly, environments involving malathion or Grandevo were considered high-risk. (2) No-choice movement bioassays also revealed that Lygus males moved significantly more (based on a comparison of the regression intercepts) than other life stages, and that they responded significantly more (based on a comparison of the regression slopes) than conspecific females and nymphs. (3) In two-choice movement bioassays, neem elicited the most consistent movement responses by Lygus individuals, and adult life stages showed the strongest responses. Two-choice movement bioassays also revealed that Lygus adults, compared to nymphs, were more likely to spend time in low-risk areas of test arenas. (4) Nymph emergence was markedly lower in no-choice compared to two-choice bioassays, and in two-choice bioassays, Grandevo and malathion elicited especially biased nymph emergence from low-risk beans.
4.1. Insect Movement Responses to Insecticides
In a behavioral study, green peach aphids (Myzus persicae (Sulzer) (Hemiptera: Aphididae)) demonstrated less movement when exposed to low-risk non-toxic substrates [35]. The authors attributed this behavior to lengthened feeding on leaf discs. Jung, et al. [36] reported avoidance behaviors in broad-headed bugs (Riptortus pedestris Stål (Hemiptera: Alydidae)) after exposure to insecticides. Moreover, individuals were exposed to sublethal doses of insecticides for 4 h, then moved to a clean plastic cup with a dried soybean seed and water. After being transferred, feeding behavior was tracked for 1 h, and it was concluded that exposure to high-risk factors had significantly reduced the frequency of approaching, and, therefore, feeding on, soybean seeds. Morrison III, et al. [37] tracked the movement behavior of brown marmorated stink bugs (Halyomorpha halys Stål (Hemiptera: Pentatomidae)) and showed that adults exposed to low-risk environments showed the greatest movement. The aforementioned studies provide some insight into the behavioral responses of different insect species and environments with different insecticide-induced risk levels. Furthermore, these studies demonstrate that our initial hypotheses are unlikely to apply uniformly to all insect species or to all risk levels.
4.2. Oviposition and Nymph Emergence in Response to Hosts and Risk
We observed markedly lower nymph emergence from no-choice compared to two-choice bioassays. This important result is not surprising, but it underscores the importance of insecticide spray coverage [38]. That is, low and inconsistent spray coverages with contact insecticides present insect pest females with a “choice” between treated and untreated (high- and low-risk) oviposition sites. We found that, in two-choice bioassays, malathion and Grandevo elicited biased Lygus nymph emergence from low-risk (untreated) beans.
As implied when referring to behavioral resistance [20], several studies support the claim that insects can “detect danger” associated with insecticide treatments, and, therefore, when presented a choice between low- and high-risk hosts or environments, can avoid or reduce oviposition and feeding where insecticide treatments have been applied [39,40,41,42,43,44]. For example, female diamondback moths (Plutella xylostella L. (Lepidoptera: Plutellidae)) showed a strong preference for untreated control plants when given a choice between permethrin-treated and untreated leaf discs or seedlings, and the level of avoidance of the treated leaves increased with the insecticide dosage [45]. The authors also tested diamondback larvae and found a positive correlation between permethrin dosage and larval mortality. Therefore, avoidance by ovipositing diamondback females may be, at least partially, explained by the susceptibility of their offspring to permethrin. A similar study was performed with two strains of diamondback moths (single- and double-resistance strains) and with two insecticides, gamma-cyhalothrin and spinetoram [22]. Overall, the authors demonstrated that both larvae and females of a single resistance strain showed a higher degree of preference for untreated leaves compared to conspecifics from the double-resistance strain. Thus, it was concluded that the level of avoidance of plants treated with insecticides was positively associated with insecticide susceptibility. It is important to note that evolutionary selection for parental care is believed to occur when benefits outweigh the costs [46]. Although offspring fitness is highly dependent on female oviposition behaviors, not all oviposition attempts to optimize offspring fitness. Along with the predisposition for host expansion, polyphagous herbivores can be subjected to neural constraints that prevent the insect from fine-tuning the complex plant compounds required to differentiate high- and low-suitability hosts [18]. It has also been reported that the relationship between preference and performance is weaker in generalist insects than in oligophagous and monophagous species [18,47]. For example, hawthorn lacebugs (Corythucha cydoniae (Fitch) (Heteroptera: Tingidae)) feed on plant species from the rose family and prefer to lay eggs on plants that are less pubescent [48]. Conversely, polyphagous Lygus bugs prefer pubescent cotton phenotypes for oviposition, even though pubescence significantly impairs nymph survival and growth [49]. Therefore, these studies suggest that various factors besides nutritional quality influence the mother’s decision regarding oviposition, which may affect Lygus females’ ability to distinguish between low- and high-risk environments.
5. Conclusions
No-choice movement bioassays provided consistent indications that the presence of insecticides was associated with a perceived increase in environmental risk, and, therefore, elicited more movement by all life stages. In particular, Lygus individuals responded to malathion and Grandevo. Malathion also caused the lowest level of nymph emergence, and two-choice nymph emergence bioassays demonstrated a bias of nymphs to emerge from low-risk beans. We presented a novel analytical approach in which statistical analyses of regression coefficients were used to both summarize and characterize movement responses and nymph emergence. We believe this analytical approach can be of considerable relevance to studies of animal phenomics [50,51] and in behavioral studies of animals more broadly, as it examines adaptation and fitness parameters in response to environmental heterogeneity.
Author Contributions
Conceptualization, H.K. (Heather Kim), C.N. and P.G.; formal analysis, P.G., H.K. (Heather Kim) and C.N.; investigation, P.G., H.K. (Heather Kim), D.R.V., H.K. (Haleh Khodaverdi) and A.M.; methodology, H.K. (Heather Kim), P.G. and C.N.; supervision, C.N.; writing—original draft, P.G. and H.K. (Heather Kim); writing—review and editing, C.N. All authors have read and agreed to the published version of the manuscript.
Funding
This research received no external funding.
Institutional Review Board Statement
Not Applicable.
Informed Consent Statement
Not Applicable.
Data Availability Statement
The data presented in this study are available upon request from the corresponding author.
Acknowledgments
The authors express their gratitude to Hyoseok Lee for helping us analyze the data and improve the manuscript.
Conflicts of Interest
The authors declare no conflict of interest.
References
- Klug, H.; Bonsall, M.B. What are the benefits of parental care? The importance of parental effects on developmental rate. Ecol. Evol. 2014, 4, 2330–2351. [Google Scholar] [CrossRef]
- Nowak, R.; Porter, R.H.; Lévy, F.; Orgeur, P.; Schaal, B. Role of mother-young interactions in the survival of offspring in domestic mammals. Rev. Reprod. 2000, 5, 153–163. [Google Scholar] [CrossRef] [PubMed]
- Paul, M.; Sau, S.; Nandi, A.K.; Bhadra, A. Clever mothers balance time and effort in parental care: A study on free-ranging dogs. R. Soc. Open Sci. 2017, 4, 160583. [Google Scholar] [CrossRef]
- Scheiber, I.B.; Weiß, B.M.; Kingma, S.A.; Komdeur, J. The importance of the altricial–precocial spectrum for social complexity in mammals and birds–a review. Front. Zool. 2017, 14, 3. [Google Scholar] [CrossRef]
- Gilbert, J.D.; Manica, A. The evolution of parental care in insects: A test of current hypotheses. Evolution 2015, 69, 1255–1270. [Google Scholar] [CrossRef]
- Wong, J.W.; Meunier, J.; Koelliker, M. The evolution of parental care in insects: The roles of ecology, life history and the social environment. Ecol. Entomol. 2013, 38, 123–137. [Google Scholar] [CrossRef]
- Hanelová, J.; Vilímová, J. Behaviour of the central European Acanthosomatidae (Hemiptera: Heteroptera: Pentatomoidea) during oviposition and parental care. Acta Mus. Morav. Sci. Biol. 2013, 98, 433–457. [Google Scholar]
- Kudô, S.-i.; Satô, M.; Ôhara, M. Prolonged maternal care inElasmucha dorsalis (Heteroptera: Acanthosomatidae). J. Ethol. 1989, 7, 75–81. [Google Scholar] [CrossRef]
- Beal, C.A.; Tallamy, D.W. A new record of amphisexual care in an insect with exclusive paternal care: Rhynocoris tristis (Heteroptera: Reduviidae). J. Ethol. 2006, 24, 305–307. [Google Scholar] [CrossRef]
- Ralston, J.S. Egg guarding by male assassin bugs of the genus Zelus (Hemiptera: Reduviidae). Psyche 1977, 84, 103–107. [Google Scholar] [CrossRef]
- Kaitala, A. Oviposition on the back of conspecifics: An unusual reproductive tactic in a coreid bug. Oikos 1996, 77, 381–389. [Google Scholar] [CrossRef]
- Fetherston, I.A.; Scott, M.P.; Traniello, J.F. Parental care in burying beetles: The organization of male and female brood-care behavior. Ethology 1990, 85, 177–190. [Google Scholar] [CrossRef]
- Scott, M.P. The ecology and behavior of burying beetles. Annu. Rev. Entomol. 1998, 43, 595–618. [Google Scholar] [CrossRef]
- Hunt, J.; Simmons, L. Maternal and paternal effects on offspring phenotype in the dung beetle Onthophagus taurus . Evolution 2000, 54, 936–941. [Google Scholar]
- Jaenike, J. On optimal oviposition behavior in phytophagous insects. Theor. Popul. Biol. 1978, 14, 350–356. [Google Scholar] [CrossRef]
- Thompson, J.N. Evolutionary ecology of the relationship between oviposition preference and performance of offspring in phytophagous insects. Entomol. Exp. Appl. 1988, 47, 3–14. [Google Scholar] [CrossRef]
- Clark, K.E.; Hartley, S.E.; Johnson, S.N. Does mother know best? The preference–performance hypothesis and parent–offspring conflict in aboveground–belowground herbivore life cycles. Ecol. Entomol. 2011, 36, 117–124. [Google Scholar] [CrossRef]
- Gripenberg, S.; Mayhew, P.J.; Parnell, M.; Roslin, T. A meta-analysis of preference–performance relationships in phytophagous insects. Ecol. Lett. 2010, 13, 383–393. [Google Scholar] [CrossRef] [PubMed]
- Klug, H.; Bonsall, M.B.; Alonzo, S.H. The origin of parental care in relation to male and female life history. Ecol. Evol. 2013, 3, 779–791. [Google Scholar] [CrossRef]
- Georghiou, G.P. The evolution of resistance to pesticides. Annu. Rev. Ecol. Syst. 1972, 3, 133–168. [Google Scholar] [CrossRef]
- Martini, X.; Kincy, N.; Nansen, C. Quantitative impact assessment of spray coverage and pest behavior on contact pesticide performance. Pest Manag. Sci. 2012, 68, 1471–1477. [Google Scholar] [CrossRef]
- Nansen, C.; Baissac, O.; Nansen, M.; Powis, K.; Baker, G. Behavioral avoidance-will physiological insecticide resistance level of insect strains affect their oviposition and movement responses? PLoS ONE 2016, 11, e0149994. [Google Scholar] [CrossRef] [PubMed]
- Prager, S.; Martini, X.; Guvvala, H.; Nansen, C.; Lundgren, J. Spider mite infestations reduce Bacillus thuringiensis toxin concentration in corn leaves and predators avoid spider mites that have fed on Bacillus thuringiensis corn. Ann. Appl. Biol. 2014, 165, 108–116. [Google Scholar] [CrossRef]
- Cooper, W.R.; Spurgeon, D.W. Laboratory studies of variations in feeding behaviors among Lygus hesperus (Hemiptera: Miridae) of different gender and reproductive states. Environ. Entomol. 2011, 40, 367–373. [Google Scholar] [CrossRef]
- Swezey, S.L.; Nieto, D.J.; Bryer, J.A. Control of Western Tarnished Plant Bug Lygus hesperus Knight (Hemiptera: Miridae) in California Organic Strawberries Using Alfalfa Trap Crops and Tractor-Mounted Vacuums. Environ. Entomol. 2007, 36, 1457–1465. [Google Scholar] [CrossRef]
- Innocenzi, P.J.; Hall, D.; Cross, J.V.; Hesketh, H. Attraction of male European tarnished plant bug, Lygus rugulipennis to components of the female sex pheromone in the field. J. Chem. Ecol. 2005, 31, 1401–1413. [Google Scholar] [CrossRef]
- Joseph, S.V. Repellent effects of insecticides on Stephanitis pyrioides Scott (Hemiptera: Tingidae) under laboratory conditions. Crop. Protect. 2020, 127, 104985. [Google Scholar] [CrossRef]
- Lee, D.-H.; Nielsen, A.L.; Leskey, T.C. Dispersal capacity and behavior of nymphal stages of Halyomorpha halys (Hemiptera: Pentatomidae) evaluated under laboratory and field conditions. J. Insect Behav. 2014, 27, 639–651. [Google Scholar] [CrossRef]
- Lee, D.-H.; Wright, S.E.; Leskey, T.C. Impact of insecticide residue exposure on the invasive pest, Halyomorpha halys (Hemiptera: Pentatomidae): Analysis of adult mobility. J. Econ. Entomol. 2013, 106, 150–158. [Google Scholar] [CrossRef]
- Byers, J.A. Production and predator-induced release of volatile chemicals by the plant bug Lygus hesperus . J. Chem. Ecol. 2006, 32, 2205–2218. [Google Scholar] [CrossRef] [PubMed]
- Ho, H.-Y.; Millar, J.G. Identification, electroantennogram screening, and field bioassays of volatile chemicals from Lygus hesperus Knight (Heteroptera: Miridae). Zool. Stud. 2002, 41, 311–320. [Google Scholar]
- Wardle, A.; Borden, J.; Pierce, H.; Gries, R. Volatile compounds released by disturbed and calm adults of the tarnished plant bug, Lygus lineolaris . J. Chem. Ecol. 2003, 29, 931–944. [Google Scholar] [CrossRef]
- Jensen, I.M.; Whatling, P. Chapter 71-Malathion: A Review of Toxicology. In Hayes’ Handbook of Pesticide Toxicology, 3rd ed.; Krieger, R., Ed.; Academic Press: New York, NY, USA, 2010; pp. 1527–1542. [Google Scholar]
- Desneux, N.; Decourtye, A.; Delpuech, J.-M. The sublethal effects of pesticides on beneficial arthropods. Annu. Rev. Entomol. 2007, 52, 81–106. [Google Scholar] [CrossRef] [PubMed]
- Kloth, K.J.; Broeke, C.J.T.; Thoen, M.P.; Hanhart-van den Brink, M.; Wiegers, G.L.; Krips, O.E.; Noldus, L.P.; Dicke, M.; Jongsma, M.A. High-throughput phenotyping of plant resistance to aphids by automated video tracking. Plant Methods 2015, 11, 4. [Google Scholar] [CrossRef]
- Jung, M.; Kim, S.; Kim, H.G.; Lee, D.-H. Lethal and sublethal effects of synthetic insecticides on the locomotory and feeding behavior of Riptortus pedestris (Hemiptera: Alydidae) under laboratory conditions. J. Asia-Pacif. Entomol. 2018, 21, 179–185. [Google Scholar] [CrossRef]
- Morrison, W.R., III; Poling, B.; Leskey, T.C. The consequences of sublethal exposure to insecticide on the survivorship and mobility of Halyomorpha halys (Hemiptera: Pentatomidae). Pest Manag. Sci. 2017, 73, 389–396. [Google Scholar] [CrossRef] [PubMed]
- Nansen, C.; Villar, G.d.; Recalde, A.; Alvarado, E.; Chennapragada, K. Phone app to perform quality control of pesticide spray applications in field crops. Agriculture 2021, 11, 916. [Google Scholar] [CrossRef]
- Hostetler, M.E.; Brenner, R.J. Behavioral and physiological resistance to insecticides in the German cockroach (Dictyoptera: Blattellidae): An experimental reevaluation. J. Econ. Entomol. 1994, 87, 885–893. [Google Scholar] [CrossRef]
- Jallow, M.F.A.; Hoy, C.W. Indirect Selection for Increased Susceptibility to Permethrin in Diamondback Moth (Lepidoptera: Plutellidae). J. Econ. Entomol. 2007, 100, 526–533. [Google Scholar] [CrossRef]
- Lockwood, J.A.; Byford, R.L.; Story, R.N.; Sparks, T.C.; Quisenberry, S.S. Behavioral resistance to the pyrethroids in the horn fly, Haematobia irritans (Diptera: Muscidae). Environ. Entomol. 1985, 14, 873–880. [Google Scholar] [CrossRef]
- Sarfraz, M.; Dosdall, L.; Keddie, B. Evidence for behavioural resistance by the diamondback moth, Plutella xylostella (L.). J. Appl. Entomol. 2005, 129, 340–341. [Google Scholar] [CrossRef]
- Sarfraz, M.; Dosdall, L.; Keddie, B. Resistance of some cultivated Brassicaceae to infestations by Plutella xylostella (Lepidoptera: Plutellidae). J. Econ. Entomol. 2007, 100, 215–224. [Google Scholar] [CrossRef] [PubMed]
- Wang, C.; Scharf, M.E.; Bennett, G.W. Behavioral and physiological resistance of the German cockroach to gel baits (Blattodea: Blattellidae). J. Econ. Entomol. 2004, 97, 2067–2072. [Google Scholar] [CrossRef] [PubMed]
- Jallow, M.F.; Hoy, C.W. Phenotypic variation in adult behavioral response and offspring fitness in Plutella xylostella (Lepidoptera: Plutellidae) in response to permethrin. J. Econ. Entomol. 2005, 98, 2195–2202. [Google Scholar] [CrossRef]
- Hamilton, W.D. The evolution of altruistic behavior. Am. Nat. 1963, 97, 354–356. [Google Scholar] [CrossRef]
- Martínez, G.; Soler, R.; Dicke, M. Behavioral ecology of oviposition-site selection in herbivorous true bugs. Adv. Study Behav. 2013, 45, 175–207. [Google Scholar]
- Schultz, P.; Coffelt, M. Oviposition and nymphal survival of the hawthorn lace bug (Hemiptera: Tingidae) on selected species of Cotoneaster (Rosaceae). Environ. Entomol. 1987, 16, 365–367. [Google Scholar] [CrossRef]
- Benedict, J.; Leigh, T.; Hyer, A. Lygus hesperus (Heteroptera: Miridae) oviposition behavior, growth, and survival in relation to cotton trichome density. Environ. Entomol. 1983, 12, 331–335. [Google Scholar] [CrossRef]
- Burleigh, J.G.; Alphonse, K.; Alverson, A.J.; Bik, H.M.; Blank, C.; Cirranello, A.L.; Cui, H.; Daly, M.; Dietterich, T.G.; Gasparich, G.; et al. Next-generation phenomics for the Tree of Life. PLoS Curr. Tree Life 2013, 5. [Google Scholar] [CrossRef]
- Houle, D.; Govindaraju, D.R.; Omholt, S. Phenomics: The next challenge. Nat. Rev. Genet. 2010, 11, 855–866. [Google Scholar] [CrossRef]
Disclaimer/Publisher’s Note: The statements, opinions and data contained in all publications are solely those of the individual author(s) and contributor(s) and not of MDPI and/or the editor(s). MDPI and/or the editor(s) disclaim responsibility for any injury to people or property resulting from any ideas, methods, instructions or products referred to in the content. |
© 2023 by the authors. Licensee MDPI, Basel, Switzerland. This article is an open access article distributed under the terms and conditions of the Creative Commons Attribution (CC BY) license (https://creativecommons.org/licenses/by/4.0/).




