Regulation of Density and Fertilization on Crude Protein Synthesis in Forage Maize in a Semiarid Rain-Fed Area
Abstract
1. Introduction
2. Materials and Methods
2.1. Site Description and the Experimental Treatments
2.2. Precipitation and Air Temperature
2.3. Experimental Design
2.4. Plant Total N and K Content Measurements
2.5. AA Content Measurements
2.6. NR Activity Measurements
2.7. GS Activity Measurements
2.8. GPT Activity Measurements
2.9. Crude Protein Content Measurements
2.10. Statistical Analysis
3. Results
3.1. Effects of Density and Fertilization on N/K in Forage Maize Organs
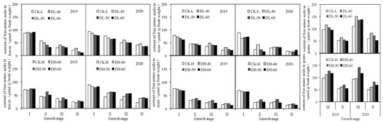
3.2. Effects of Density and Fertilization on AA in Forage Maize Organs
3.3. Effects of Density and Fertilization on Enzyme Activities in Forage Maize Organs
3.4. Effects of Density and Fertilization on Protein Content and Yield in Forage Maize Organs
3.5. Relationships of Key Enzyme Activities with Density and Fertilization Method
3.6. Relationships between Crude Protein Content and Key Enzyme Activities
3.7. Relationships of Crude Protein Yield with Density and Fertilization Methods
4. Discussion
4.1. N Application and Density Significantly Regulate Protein Synthesis in Forage Maize
4.2. Regulation of Fertilization Method and Density on Protein Synthesis Enzymes
4.3. Regulation of Density and Fertilization Methods on Protein Content and Yield
5. Conclusions
Author Contributions
Funding
Data Availability Statement
Conflicts of Interest
References
- Li, J.; Li, L.L.; Zhang, L.J.; Chen, L.L.; Xie, J.H. Effects of nitrogen application on yield and forage quality of grain and forage maize. Pratac. Sci. 2015, 32, 442–449. [Google Scholar] [CrossRef]
- Lal, M.; Singh, D.; Dass, S. Heterosis studies for yield and qulity traits in rabi quality protein maize. Agric. Sci. Digest. 2011, 31, 206–210. [Google Scholar]
- Apple, J.K.; Maxwell, C.V.; Bass, B.E.; Yancey, J.W.S.; Payne, R.L.; Thomson, J. Effects of reducing dietary crude protein levels and replacement with crystalline amino acids on growth performance, carcass composition, and fresh pork quality of finishing pigs fed ractopamine hydrochloride. J. Anim. Sci. 2017, 95, 4971–4985. [Google Scholar] [CrossRef]
- Yang, T.Y.; Ma, X.Y.; Gong, X.X.; Peng, C.; Huang, J.; Zhao, G.Q.; Zhan, K. Effects of different protein levels on gluconeogenesis of Holstein bull calves. J. China Agric. Univ. 2022, 27, 187–194. [Google Scholar] [CrossRef]
- Lamptey, S.; Yeboah, S.; Li, L. Response of Maize Forage Yield and Quality to Nitrogen Fertilization and Harvest Time in Semi−arid Northwest China. Asian J. Res. Agric. For. 2018, 1, 1–10. [Google Scholar] [CrossRef]
- Salama, H.S.A. Yield and nutritive value of maize (Zea mays L.) forage as affected by plant density, sowing date and age at harvest. Ital. J. Agron. 2019, 14, 114–122. [Google Scholar] [CrossRef]
- Sun, J.Y.; Gao, J.L.; Wang, Z.G.; Yu, X.F.; Hu, S.P.; Liu, J.; Bao, H.Z.; Huo, X.X.; Bai, Y.L.; Yan, D. Effect of planting density on forage yield and nutritive value of different maize warieties. Acta Agrestia Sin. 2019, 27, 1733–1742. [Google Scholar] [CrossRef]
- Ferreira, G.; Teets, C.L. Effect of planting density on yield, nutritional quality, and ruminal in vitro digestibility of corn for silage grown under on-farm conditions. Prof. Anim. Sci. 2017, 33, 420–425. [Google Scholar] [CrossRef]
- Wang, X.J.; He, H.J.; Kou, S.R.; Zhou, Y.Q.; Liu, Z.X.; Yang, Y.Z.; Lian, X.R.; Zhou, W.Q. Effect of different planting densities on biomass yield and quality for various varieties of silage maize. Pratac. Sci. 2019, 36, 169–177. [Google Scholar] [CrossRef]
- Jia, M.Y.; Yao, Z.Y.; Li, C.Q.; Wang, L.; Wang, J.Q.; Liu, G.H.; Yang, J.G. Effect of planting density on growth, yield and quality of silage maize. Feed Res. 2020, 43, 105–108. [Google Scholar] [CrossRef]
- Di, S.X.; Su, D.S.; Zhu, Y. Effects of different planting densities on yield and nutritive value of silage corn. China Feed. 2018, 12, 26–29. [Google Scholar] [CrossRef]
- Zhang, Q.; Zhang, L.; Cui, R.Q.; Liu, Q.; Du, J.; Cao, G.Y.; Tian, X.P. Effect of nitrogen fertilizer on yield and forage quality of silage maize. J. Tianjin Agric. Univ. 2020, 27, 1–6. [Google Scholar] [CrossRef]
- Yao, R.; Zhao, K.N.; Xie, C.; Song, H.L.; Xu, S.; Yu, H.Q.; Zhang, Z.; Wang, J.; Jiang, C.J.; Zhao, S.L.; et al. Effects of postponing nitrogen application on nitrogen enzyme activities, nitrogen utilization efficiency and yield in peanut. Chin. J. Oil Crop Sci. 2022, 44, 877–883. [Google Scholar] [CrossRef]
- Zhong, Y.; Yang, M.; Cai, J.; Wang, X.; Zhou, Q.; Cao, W.; Dai, T.; Jiang, D. Nitrogen topdressing timing influences the spatial distribution patterns of protein components and quality traits of flours from different pearling fractions of wheat (Triticum aestivum L.) grains. Field Crops Res. 2018, 216, 120–128. [Google Scholar] [CrossRef]
- Troise, A.D.; Wiltafsky, M.; Fogliano, V.; Vitaglione, P. The quantification of free Amadori compounds and amino acids allows to model the bound Maillard reaction products formation in soybean products. Food Chem. 2018, 247, 29–38. [Google Scholar] [CrossRef] [PubMed]
- Ou, X.H.; Cui, X.M.; Zhu, D.W.; Guo, L.P.; Liu, D.H.; Yang, Y. Lowering Nitrogen and Increasing Potassium Application Level Can Improve the Yield and Quality of Panax notoginseng. Front. Plant Sci. 2020, 11, 1–14. [Google Scholar] [CrossRef]
- Liu, X.W. Effect of Soil Potassium Deficiency on Potassium Absorption, Quality and Carbon and Nitrogen Metabolism of Different Winter Wheat Varieties. Master’s Thesis, Henbei Agricultural University, Baoding, China, 2020. [Google Scholar]
- Xiang, F.; Li, W.; Liu, H.Y.; Zhou, L.Y.; Yin, X.; Zeng, Z.X. Effects of nitrogen levels on key enzyme activities and non-structural carbohydrates in nitrogen metabolism in tea leaves. Acta Ecol. Sin. 2019, 39, 9052–9057. [Google Scholar] [CrossRef]
- Balotf, S.; Kavoosi, G.; Kholdebarin, B. Nitrate reductase, nitrite reductase, glutamine synthetase, and glutamate synthase expression and activity in response to different nitrogen sources in nitrogen-starved wheat seedlings. Biotechnol. Appl. Biochem. 2016, 63, 220–229. [Google Scholar] [CrossRef] [PubMed]
- Yusuf, A.; Deepa, P. Influence of N nutrients on GS activity and putative ammonium transporter1;2 (SaAMT1;2) expression in sandal plants (Santalum album L.). Trees 2017, 31, 1773–1784. [Google Scholar] [CrossRef]
- Zhang, M.; Ma, D.; Ma, G.; Wang, C.; Xie, X.; Kang, G. Responses of glutamine synthetase activity and gene expression to nitrogen levels in winter wheat cultivars with different grain protein content. J. Cereal Sci. 2017, 74, 187–193. [Google Scholar] [CrossRef]
- Zhen, S.; Deng, X.; Zhang, M.; Zhu, G.; Lv, D.; Wang, Y.; Zhu, D.; Yan, Y. Comparative Phosphoproteomic Analysis under High-Nitrogen Fertilizer Reveals Central Phosphoproteins Promoting Wheat Grain Starch and Protein Synthesis. Front. Plant Sci. 2017, 8, 67. [Google Scholar] [CrossRef] [PubMed]
- Xu, M.Y.; Xie, F.; Li, Y.Q.; Li, J.G.; Yin, X.; Cao, Y.F. Effects of Fertilizing on Nutritional Quality and Feeding Value of maize silage. Chin. J. Anim. Nutr. 2011, 23, 1043–1051. [Google Scholar] [CrossRef]
- Uzun, S.; Özaktan, H.; Uzun, O. Effects of Different Nitrogen Dose and Sources as Top-Dressing on Yield and Silage Quality Attributes of Silage Maize. An. Acad. Bras. Ciênc. 2020, 92 (Suppl. S1). [Google Scholar] [CrossRef] [PubMed]
- Zhao, M.; Feng, Y.; Shi, Y.; Shen, H.; Hu, H.; Luo, Y.; Xu, L.; Kang, J.; Xing, A.; Wang, S.; et al. Yield and quality properties of silage maize and their influencing factors in China. Sci. China Life Sci. 2023, 65, 1655–1666. [Google Scholar] [CrossRef]
- Mandic, V.; Krnjaja, V.; Bijelic, Z.; Tomic, Z.; Simic, A.; Stanojkovic, A.; Petricevic, M.; Caro-Petrovic, V. The effect of crop density on yield of forage maize. Biotehnol. Stoc. 2018, 31, 567–575. [Google Scholar] [CrossRef]
- Zhang, P.L.; Guo, T.W.; Liu, X.W.; Li, S.T.; Zeng, J.; Qin, X.L.; Dong, B. Effect of plant density and nitrogen application rate on yield, nitrogen and water use efficiencies of spring maize under whole plastic-film mulching and double-furrow sowing. Plant Nutr. Fert. Sci. 2019, 25, 579–590. [Google Scholar] [CrossRef]
- Meng, Y.; Liu, Z.Y.; Li, J.; Gu, W.R.; Wei, S. Effects of nitrogen rate on grain yield and quality and key enzyme metabolism of spring maize under high density. Southwest China J. Agric. Sci. 2020, 33, 1146–1152. [Google Scholar] [CrossRef]
- Lukuyu, B.; Murdoch, A.; Romney, D.; Mwangi, D.; Njuguna, J.; McLeod, A.; Jama, A. Integrated maize management options to improve forage yield and quality on smallholder farms in Kenya. Field Crop. Res. 2013, 153, 70–78. [Google Scholar] [CrossRef]
- Morris, T.F.; Murrell, T.S.; Beegle, D.B.; Camberato, J.J.; Ferguson, R.B.; Grove, J.; Ketterings, Q.; Kyveryga, P.M.; Laboski, C.A.M.; McGrath, J.M.; et al. Strengths and Limitations of Nitrogen Rate Recommendations for Corn and Opportunities for Improvement. Agron. J. 2018, 110, 1–37. [Google Scholar] [CrossRef]
- Ferreira, G.; Alfonso, M.; Depino, S.; Alessandri, E. Effect of planting density on nutritional quality of green-chopped corn for silage. J. Dairy Sci. 2014, 97, 5918–5921. [Google Scholar] [CrossRef]
- Wang, S.-Y.; Liu, Q.; Shi, Y.-X.; Li, H. Effects of potassium on nitrogen translocation and distribution and nitrogen metabolism enzyme activities of sweet potato. Ying Yong Sheng Tai Xue Bao = J. Appl. Ecol. 2016, 27, 3569–3576. [Google Scholar]
- Demir, Z.; Keçeci, M.; Tunç, A.E. Effects of nitrogen fertigation on yield, quality components, water use efficiency and nitrogen use efficiency of silage maize (Zea mays L.) as the second crop. J. Plant Nutr. 2021, 44, 373–394. [Google Scholar] [CrossRef]
- Zeng, M.; Xie, J.H.; Li, L.L.; Zechariah, E.; Liu, X.N.; Du, C.L.; Wang, J. Response of physilolgical and bilchemical indexes of flag leaf and grain filling of rainfed spring wheat to long-term nitrogen application rates. J. Gansu Agric. Univ. 2021, 56, 47–55. [Google Scholar] [CrossRef]
- Li, W.L.; Lv, Y.J.; Liu, X.M.; Tong, T.; Cao, X.B.; Gu, W.R.; Wei, S. Effects of nitrogen fertilizer on nitrogen metabolism enzymes, nitrogen use and yield of maize with different nitrogen efficiency. Southwest China J. Agric. Sci. 2018, 31, 1829–1835. [Google Scholar] [CrossRef]
- Li, R.F.; Liu, P.; Yang, Q.L.; Ren, H.; Dong, S.T.; Zhang, J.W.; Zhao, B. Effects of lower leaf senescence on carbon and nitrogen distribution and yield formation in maize (Zea mays L.) with high planting density. Acta Agron. Sin. 2018, 44, 1032–1042. [Google Scholar] [CrossRef]
- Wang, J.F.; Wang, Z.Z.; Gu, F.X.; Mou, H.M.; Wang, Y.; Duan, J.Z.; Feng, W.; Wang, Y.; Guo, T. Effects of nitrogen fertilizer and plant density on carbon metabolism, nitrogen metabolism and grain yield of two winter wheat varieties. Sci. Agric. Sin. 2021, 54, 4070–4083. [Google Scholar] [CrossRef]
- Lv, L.H.; Tao, H.B.; Wang, P.; Liu, M.; Zhao, M.; Wang, R.Z. Carbon and nitrogen metabolism and nitrogen use efficiency in summer maize under different planting densities. Acta Agron. Sin. 2008, 34, 718–723. [Google Scholar] [CrossRef]
- Li, D.; Zhang, D.; Wang, H.; Li, H.; Fang, Q.; Li, H.; Li, R. Optimized Planting Density Maintains High Wheat Yield Under Limiting Irrigation in North China Plain. Int. J. Plant Prod. 2019, 14, 107–117. [Google Scholar] [CrossRef]
- Wei, S.; Wang, X.; Zhang, J.; Liu, P.; Zhao, B.; Li, G.; Dong, S. The role of nitrogen in leaf senescence of summer maize and analysis of underlying mechanisms using comparative proteomics. Plant Sci. 2015, 233, 72–81. [Google Scholar] [CrossRef]















| Treatment | Total Biomass (kg·hm−2) | Leaf Biomass (kg·hm−2) | Stem Biomass (kg·hm−2) | Grain Biomass (kg·hm−2) | Ratio of Leaf Biomass and Total Biomass | Ratio of Stem Biomass and Total Biomass | Ratio of Grain Biomass and Total Biomass |
|---|---|---|---|---|---|---|---|
| CK-L | 93,771 | 18,865 | 49,382 | 25,523 | 20.12 | 52.66 | 27.22 |
| DL-40 | 96,111 | 17,779 | 48,700 | 29,632 | 18.50 | 50.67 | 30.83 |
| DL-50 | 91,142 | 14,849 | 50,179 | 26,114 | 16.29 | 55.06 | 28.65 |
| DL-60 | 82,228 | 14,333 | 47,526 | 20,368 | 17.43 | 57.80 | 24.77 |
| CK-H | 97,582 | 22,149 | 45,260 | 30,173 | 22.70 | 46.38 | 30.92 |
| DH-40 | 92,625 | 18,404 | 43,446 | 30,774 | 19.87 | 46.91 | 33.22 |
| DH-50 | 99,483 | 18,987 | 54,192 | 26,305 | 19.09 | 54.47 | 26.44 |
| DH-60 | 79,925 | 13,531 | 39,019 | 27,376 | 16.93 | 48.82 | 34.25 |
Disclaimer/Publisher’s Note: The statements, opinions and data contained in all publications are solely those of the individual author(s) and contributor(s) and not of MDPI and/or the editor(s). MDPI and/or the editor(s) disclaim responsibility for any injury to people or property resulting from any ideas, methods, instructions or products referred to in the content. |
© 2023 by the authors. Licensee MDPI, Basel, Switzerland. This article is an open access article distributed under the terms and conditions of the Creative Commons Attribution (CC BY) license (https://creativecommons.org/licenses/by/4.0/).
Share and Cite
Wang, H.; Zhang, X.; Zhang, G.; Fang, Y.; Hou, H.; Lei, K.; Ma, Y. Regulation of Density and Fertilization on Crude Protein Synthesis in Forage Maize in a Semiarid Rain-Fed Area. Agriculture 2023, 13, 715. https://doi.org/10.3390/agriculture13030715
Wang H, Zhang X, Zhang G, Fang Y, Hou H, Lei K, Ma Y. Regulation of Density and Fertilization on Crude Protein Synthesis in Forage Maize in a Semiarid Rain-Fed Area. Agriculture. 2023; 13(3):715. https://doi.org/10.3390/agriculture13030715
Chicago/Turabian StyleWang, Hongli, Xucheng Zhang, Guoping Zhang, Yanjie Fang, Huizhi Hou, Kangning Lei, and Yifan Ma. 2023. "Regulation of Density and Fertilization on Crude Protein Synthesis in Forage Maize in a Semiarid Rain-Fed Area" Agriculture 13, no. 3: 715. https://doi.org/10.3390/agriculture13030715
APA StyleWang, H., Zhang, X., Zhang, G., Fang, Y., Hou, H., Lei, K., & Ma, Y. (2023). Regulation of Density and Fertilization on Crude Protein Synthesis in Forage Maize in a Semiarid Rain-Fed Area. Agriculture, 13(3), 715. https://doi.org/10.3390/agriculture13030715
