Estimating Yield and Economic Losses Induced by Ozone Exposure in South China Based on Full-Coverage Surface Ozone Reanalysis Data and High-Resolution Rice Maps
Abstract
1. Introduction
2. Materials and Methods
2.1. Data Sources
2.2. The Calculation of AOT40
2.3. Relative Yield and Relative Yield Loss
2.4. Estimated Production and Economic Losses
3. Results
3.1. Spatiotemporal Change Patterns of Ozone Pollution across South China
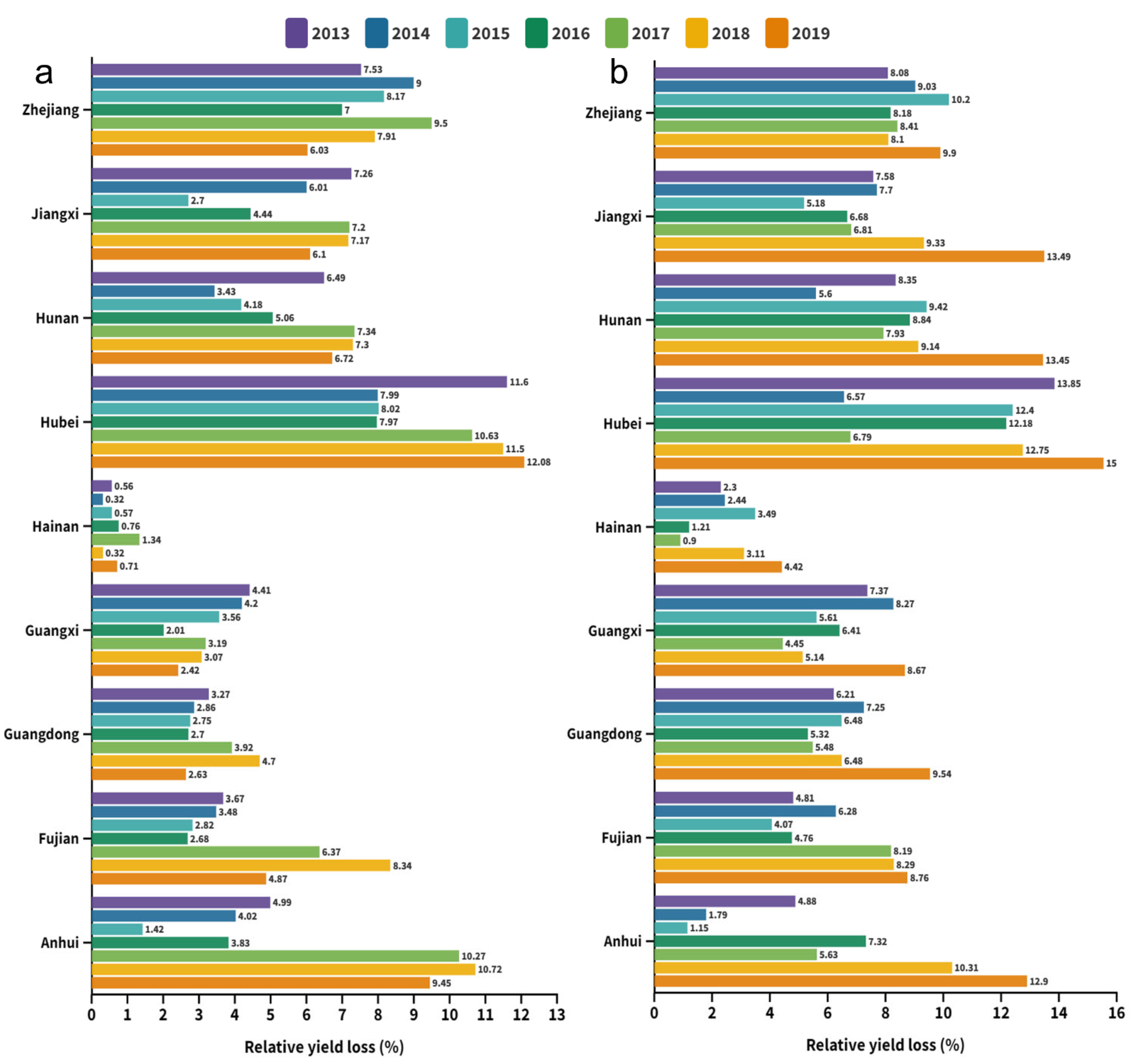
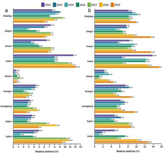
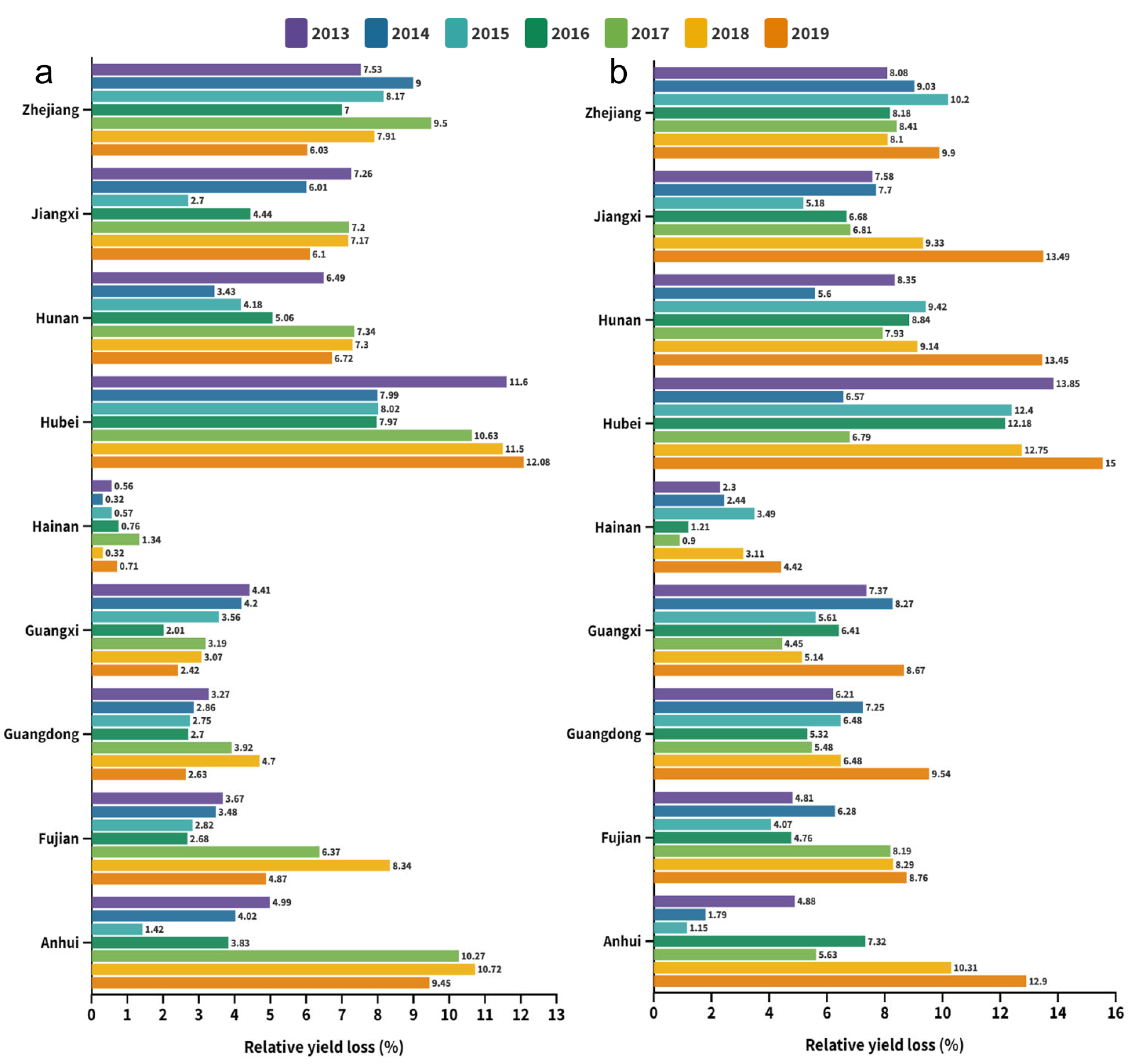
3.2. Relative Yield Loss
3.3. Crop Production Loss and Economic Cost Loss
4. Discussion
4.1. Ozone Pollution in South China
4.2. Comparison of RYL with Other Research
4.3. Limitations and Suggestions for Future Perspectives
5. Conclusions
Author Contributions
Funding
Acknowledgments
Conflicts of Interest
References
- Vingarzan, R. A review of surface ozone background levels and trends. Atmos. Environ. 2004, 38, 3431–3442. [Google Scholar] [CrossRef]
- Cooper, O.R.; Parrish, D.; Ziemke, J.; Balashov, N.; Cupeiro, M.; Galbally, I.; Gilge, S.; Horowitz, L.; Jensen, N.; Lamarque, J.-F. Global distribution and trends of tropospheric ozone: An observation-based review. Elem. Sci. Anthr. 2014, 2, 000029. [Google Scholar] [CrossRef]
- Fiscus, E.L.; Booker, F.L.; Burkey, K.O. Crop responses to ozone: Uptake, modes of action, carbon assimilation and partitioning. Plant Cell Environ. 2005, 28, 997–1011. [Google Scholar] [CrossRef]
- Wang, T.; Xue, L.; Brimblecombe, P.; Lam, Y.F.; Li, L.; Zhang, L. Ozone pollution in China: A review of concentrations, meteorological influences, chemical precursors, and effects. Sci. Total Environ. 2017, 575, 1582–1596. [Google Scholar] [CrossRef] [PubMed]
- Lu, X.; Zhang, L.; Wang, X.; Gao, M.; Li, K.; Zhang, Y.; Yue, X.; Zhang, Y. Rapid increases in warm-season surface ozone and resulting health impact in China since 2013. Environ. Sci. Technol. Lett. 2020, 7, 240–247. [Google Scholar] [CrossRef]
- Feng, Z.; De Marco, A.; Anav, A.; Gualtieri, M.; Sicard, P.; Tian, H.; Fornasier, F.; Tao, F.; Guo, A.; Paoletti, E. Economic losses due to ozone impacts on human health, forest productivity and crop yield across China. Environ. Int. 2019, 131, 104966. [Google Scholar] [CrossRef]
- Kong, L.; Tang, X.; Zhu, J.; Wang, Z.; Li, J.; Wu, H.; Wu, Q.; Chen, H.; Zhu, L.; Wang, W. A 6-year-long (2013–2018) high-resolution air quality reanalysis dataset in China based on the assimilation of surface observations from CNEMC. Earth Syst. Sci. Data 2021, 13, 529–570. [Google Scholar] [CrossRef]
- Feng, Z.; Kobayashi, K.; Ainsworth, E.A. Impact of elevated ozone concentration on growth, physiology, and yield of wheat (Triticum aestivum L.): A meta-analysis. Glob. Change Biol. 2008, 14, 2696–2708. [Google Scholar] [CrossRef]
- Avnery, S.; Mauzerall, D.L.; Liu, J.; Horowitz, L.W. Global crop yield reductions due to surface ozone exposure: 1. Year 2000 crop production losses and economic damage. Atmos. Environ. 2011, 45, 2284–2296. [Google Scholar] [CrossRef]
- Feng, Z.; Kobayashi, K. Assessing the impacts of current and future concentrations of surface ozone on crop yield with meta-analysis. Atmos. Environ. 2009, 43, 1510–1519. [Google Scholar] [CrossRef]
- Singh, A.A.; Agrawal, S.; Shahi, J.; Agrawal, M. Investigating the response of tropical maize (Zea mays L.) cultivars against elevated levels of O3 at two developmental stages. Ecotoxicology 2014, 23, 1447–1463. [Google Scholar] [CrossRef] [PubMed]
- Wilkinson, S.; Mills, G.; Illidge, R.; Davies, W.J. How is ozone pollution reducing our food supply? J. Exp. Bot. 2012, 63, 527–536. [Google Scholar] [CrossRef] [PubMed]
- Ainsworth, E.A. Understanding and improving global crop response to ozone pollution. Plant J. 2017, 90, 886–897. [Google Scholar] [CrossRef] [PubMed]
- Peng, J.; Shang, B.; Xu, Y.; Feng, Z.; Calatayud, V. Effects of ozone on maize (Zea mays L.) photosynthetic physiology, biomass and yield components based on exposure-and flux-response relationships. Environ. Pollut. 2020, 256, 113466. [Google Scholar] [CrossRef]
- Mills, G.; Sharps, K.; Simpson, D.; Pleijel, H.; Frei, M.; Burkey, K.; Emberson, L.; Uddling, J.; Broberg, M.; Feng, Z. Closing the global ozone yield gap: Quantification and cobenefits for multistress tolerance. Glob. Change Biol. 2018, 24, 4869–4893. [Google Scholar] [CrossRef]
- Wang, Y.; Shen, L.; Wu, S.; Mickley, L.; He, J.; Hao, J. Sensitivity of surface ozone over China to 2000–2050 global changes of climate and emissions. Atmos. Environ. 2013, 75, 374–382. [Google Scholar] [CrossRef]
- Chen, T.; Yang, X.; Fu, W.; Li, G.; Feng, B.; Fu, G.; Tao, L. Strengthened Assimilate Transport Improves Yield and Quality of Super Rice. Agronomy 2022, 12, 753. [Google Scholar] [CrossRef]
- Lin, Y.; Jiang, F.; Zhao, J.; Zhu, G.; He, X.; Ma, X.; Li, S.; Sabel, C.E.; Wang, H. Impacts of O3 on premature mortality and crop yield loss across China. Atmos. Environ. 2018, 194, 41–47. [Google Scholar] [CrossRef]
- Ramya, A.; Dhevagi, P.; Priyatharshini, S.; Saraswathi, R.; Avudainayagam, S.; Venkataramani, S. Response of rice (Oryza sativa L.) cultivars to elevated ozone stress. Environ. Monit. Assess. 2021, 193, 808. [Google Scholar] [CrossRef]
- Cao, J.; Wang, X.; Zhao, H.; Ma, M.; Chang, M. Evaluating the effects of ground-level O3 on rice yield and economic losses in Southern China. Environ. Pollut. 2020, 267, 115694. [Google Scholar] [CrossRef]
- Li, X.-B.; Yuan, B.; Parrish, D.D.; Chen, D.; Song, Y.; Yang, S.; Liu, Z.; Shao, M. Long-term trend of ozone in southern China reveals future mitigation strategy for air pollution. Atmos. Environ. 2022, 269, 118869. [Google Scholar] [CrossRef]
- Pleijel, H.; Danielsson, H.; Ojanperä, K.; De Temmerman, L.; Högy, P.; Badiani, M.; Karlsson, P. Relationships between ozone exposure and yield loss in European wheat and potato—A comparison of concentration-and flux-based exposure indices. Atmos. Environ. 2004, 38, 2259–2269. [Google Scholar] [CrossRef]
- Zhu, X.; Feng, Z.; Sun, T.; Liu, X.; Tang, H.; Zhu, J.; Guo, W.; Kobayashi, K. Effects of elevated ozone concentration on yield of four Chinese cultivars of winter wheat under fully open-air field conditions. Glob. Change Biol. 2011, 17, 2697–2706. [Google Scholar] [CrossRef]
- Mills, G.; Buse, A.; Gimeno, B.; Bermejo, V.; Holland, M.; Emberson, L.; Pleijel, H. A synthesis of AOT40-based response functions and critical levels of ozone for agricultural and horticultural crops. Atmos. Environ. 2007, 41, 2630–2643. [Google Scholar] [CrossRef]
- Feng, Z.; Tang, H.; Uddling, J.; Pleijel, H.; Kobayashi, K.; Zhu, J.; Oue, H.; Guo, W. A stomatal ozone flux–response relationship to assess ozone-induced yield loss of winter wheat in subtropical China. Environ. Pollut. 2012, 164, 16–23. [Google Scholar] [CrossRef]
- Wang, X.; Zhang, Q.; Zheng, F.; Zheng, Q.; Yao, F.; Chen, Z.; Zhang, W.; Hou, P.; Feng, Z.; Song, W. Effects of elevated O3 concentration on winter wheat and rice yields in the Yangtze River Delta, China. Environ. Pollut. 2012, 171, 118–125. [Google Scholar] [CrossRef]
- Singh, A.A.; Agrawal, S.; Shahi, J.; Agrawal, M. Assessment of growth and yield losses in two Zea mays L. cultivars (quality protein maize and nonquality protein maize) under projected levels of ozone. Environ. Sci. Pollut. Res. 2014, 21, 2628–2641. [Google Scholar] [CrossRef]
- Peng, J.; Shang, B.; Xu, Y.; Feng, Z.; Pleijel, H.; Calatayud, V. Ozone exposure-and flux-yield response relationships for maize. Environ. Pollut. 2019, 252, 1–7. [Google Scholar] [CrossRef]
- Sinha, B.; Singh Sangwan, K.; Maurya, Y.; Kumar, V.; Sarkar, C.; Chandra, B.; Sinha, V. Assessment of crop yield losses in Punjab and Haryana using 2 years of continuous in situ ozone measurements. Atmos. Chem. Phys. 2015, 15, 9555–9576. [Google Scholar] [CrossRef]
- Emberson, L.; Büker, P.; Ashmore, M.; Mills, G.; Jackson, L.; Agrawal, M.; Atikuzzaman, M.; Cinderby, S.; Engardt, M.; Jamir, C. A comparison of North American and Asian exposure–response data for ozone effects on crop yields. Atmos. Environ. 2009, 43, 1945–1953. [Google Scholar] [CrossRef]
- Xu, M.; Yao, Q.; Chen, D.; Li, M.; Li, R.; Gao, B.; Zhao, B.; Chen, Z. Estimating the impact of ground ozone concentrations on crop yields across China from 2014 to 2018: A multi-model comparison. Environ. Pollut. 2021, 283, 117099. [Google Scholar] [CrossRef] [PubMed]
- Zhao, H.; Zheng, Y.; Wu, X. Assessment of yield and economic losses for wheat and rice due to ground-level O3 exposure in the Yangtze River Delta, China. Atmos. Environ. 2018, 191, 241–248. [Google Scholar] [CrossRef]
- Van Dingenen, R.; Dentener, F.J.; Raes, F.; Krol, M.C.; Emberson, L.; Cofala, J. The global impact of ozone on agricultural crop yields under current and future air quality legislation. Atmos. Environ. 2009, 43, 604–618. [Google Scholar] [CrossRef]
- Silva, R.A.; West, J.J.; Zhang, Y.; Anenberg, S.C.; Lamarque, J.-F.; Shindell, D.T.; Collins, W.J.; Dalsoren, S.; Faluvegi, G.; Folberth, G. Global premature mortality due to anthropogenic outdoor air pollution and the contribution of past climate change. Environ. Res. Lett. 2013, 8, 034005. [Google Scholar] [CrossRef]
- Seltzer, K.M.; Shindell, D.T.; Kasibhatla, P.; Malley, C.S. Magnitude, trends, and impacts of ambient long-term ozone exposure in the United States from 2000 to 2015. Atmos. Chem. Phys. 2020, 20, 1757–1775. [Google Scholar] [CrossRef]
- Hu, T.; Liu, S.; Xu, Y.; Feng, Z.; Calatayud, V. Assessment of O3-induced yield and economic losses for wheat in the North China Plain from 2014 to 2017, China. Environ. Pollut. 2020, 258, 113828. [Google Scholar] [CrossRef] [PubMed]
- Aunan, K.; Berntsen, T.K.; Seip, H.M. Surface ozone in China and its possible impact on agricultural crop yields. AMBIO A J. Hum. Environ. 2000, 29, 294–301. [Google Scholar] [CrossRef]
- Tang, H.; Takigawa, M.; Liu, G.; Zhu, J.; Kobayashi, K. A projection of ozone-induced wheat production loss in China and India for the years 2000 and 2020 with exposure-based and flux-based approaches. Glob. Change Biol. 2013, 19, 2739–2752. [Google Scholar] [CrossRef]
- Zhao, H.; Zheng, Y.; Zhang, Y.; Li, T. Evaluating the effects of surface O3 on three main food crops across China during 2015–2018. Environ. Pollut. 2020, 258, 113794. [Google Scholar] [CrossRef]
- Dong, C.; Gao, R.; Zhang, X.; Li, H.; Wang, W.; Xue, L. Assessment of O3-induced crop yield losses in northern China during 2013–2018 using high-resolution air quality reanalysis data. Atmos. Environ. 2021, 259, 118527. [Google Scholar] [CrossRef]
- Sicard, P.; Serra, R.; Rossello, P. Spatiotemporal trends in ground-level ozone concentrations and metrics in France over the time period 1999–2012. Environ. Res. 2016, 149, 122–144. [Google Scholar] [CrossRef] [PubMed]
- Zeng, X.; Gao, Y.; Wang, Y.; Ma, M.; Zhang, J.; Sheng, L. Characterizing the distinct modulation of future emissions on summer ozone concentrations between urban and rural areas over China. Sci. Total Environ. 2022, 820, 153324. [Google Scholar] [CrossRef] [PubMed]
- Pan, B.; Zheng, Y.; Shen, R.; Ye, T.; Zhao, W.; Dong, J.; Ma, H.; Yuan, W. High resolution distribution dataset of double-season paddy rice in china. Remote Sens. 2021, 13, 4609. [Google Scholar] [CrossRef]
- Feng, Z.; Hu, T.; Tai, A.P.; Calatayud, V. Yield and economic losses in maize caused by ambient ozone in the North China Plain (2014–2017). Sci. Total Environ. 2020, 722, 137958. [Google Scholar] [CrossRef]
- Tang, X.; Kong, L.; Zhu, J.; Wang, Z.; Li, J.; Wu, H.; Wu, Q.; Chen, H.; Zhu, L.; Wang, W. A High-Resolution Air Quality Reanalysis Dataset over China (CAQRA); Science Data Bank: Beijing, China, 2021. [Google Scholar]
- Chen, M.; Qin, Q.; Liu, F.; Wang, Y.; Wu, C.; Yan, Y.; Xiang, H. How long-term air pollution and its metal constituents affect type 2 diabetes mellitus prevalence? Results from Wuhan Chronic Disease Cohort. Environ. Res. 2022, 212, 113158. [Google Scholar] [CrossRef]
- Li, H.; Li, M.; Zhang, S.; Qian, Z.M.; Zhang, Z.; Zhang, K.; Wang, C.; Arnold, L.D.; McMillin, S.E.; Wu, S. Interactive effects of cold spell and air pollution on outpatient visits for anxiety in three subtropical Chinese cities. Sci. Total Environ. 2022, 817, 152789. [Google Scholar] [CrossRef]
- Zhang, H.; Zhang, X.; Zhang, H.; Luo, H.; Feng, Y.; Wang, J.; Huang, C.; Yu, Z. Assessing the effect of fine particulate matter on adverse birth outcomes in Huai River Basin, Henan, China, 2013–2018. Environ. Pollut. 2022, 306, 119357. [Google Scholar] [CrossRef]
- Ren, X.; Shang, B.; Feng, Z.; Calatayud, V. Yield and economic losses of winter wheat and rice due to ozone in the Yangtze River Delta during 2014–2019. Sci. Total Environ. 2020, 745, 140847. [Google Scholar] [CrossRef]
- Zhao, H.; Wang, L.; Zhang, Z.; Qi, Q.; Zhang, H. Quantifying ecological and health risks of ground-level O3 across China during the implementation of the “Three-year Action Plan for Cleaner Air”. Sci. Total Environ. 2022, 817, 153011. [Google Scholar] [CrossRef]
- Wang, Y.; Gao, W.; Wang, S.; Song, T.; Gong, Z.; Ji, D.; Wang, L.; Liu, Z.; Tang, G.; Huo, Y. Contrasting trends of PM2.5 and surface-ozone concentrations in China from 2013 to 2017. Natl. Sci. Rev. 2020, 7, 1331–1339. [Google Scholar] [CrossRef]
- Lu, X.; Hong, J.; Zhang, L.; Cooper, O.R.; Schultz, M.G.; Xu, X.; Wang, T.; Gao, M.; Zhao, Y.; Zhang, Y. Severe surface ozone pollution in China: A global perspective. Environ. Sci. Technol. Lett. 2018, 5, 487–494. [Google Scholar] [CrossRef]
- Shen, F.; Zhang, L.; Jiang, L.; Tang, M.; Gai, X.; Chen, M.; Ge, X. Temporal variations of six ambient criteria air pollutants from 2015 to 2018, their spatial distributions, health risks and relationships with socioeconomic factors during 2018 in China. Environ. Int. 2020, 137, 105556. [Google Scholar] [CrossRef] [PubMed]
- Sousa, S.; Alvim-Ferraz, M.; Martins, F. Identification and origin of nocturnal ozone maxima at urban and rural areas of Northern Portugal–Influence of horizontal transport. Atmos. Environ. 2011, 45, 942–956. [Google Scholar] [CrossRef]
- Tong, L.; Zhang, H.; Yu, J.; He, M.; Xu, N.; Zhang, J.; Qian, F.; Feng, J.; Xiao, H. Characteristics of surface ozone and nitrogen oxides at urban, suburban and rural sites in Ningbo, China. Atmos. Res. 2017, 187, 57–68. [Google Scholar] [CrossRef]
- Seltzer, K.M.; Shindell, D.T.; Malley, C.S. Measurement-based assessment of health burdens from long-term ozone exposure in the United States, Europe, and China. Environ. Res. Lett. 2018, 13, 104018. [Google Scholar] [CrossRef]
- Li, K.; Jacob, D.J.; Shen, L.; Lu, X.; De Smedt, I.; Liao, H. Increases in surface ozone pollution in China from 2013 to 2019: Anthropogenic and meteorological influences. Atmos. Chem. Phys. 2020, 20, 11423–11433. [Google Scholar] [CrossRef]
- Shen, J.; Zhang, Y.; Wang, X.; Li, J.; Chen, H.; Liu, R.; Zhong, L.; Jiang, M.; Yue, D.; Chen, D. An ozone episode over the Pearl River Delta in October 2008. Atmos. Environ. 2015, 122, 852–863. [Google Scholar] [CrossRef]
- Pleijel, H.; Broberg, M.C.; Uddling, J. Ozone impact on wheat in Europe, Asia and North America–A comparison. Sci. Total Environ. 2019, 664, 908–914. [Google Scholar] [CrossRef]
- Feng, Z.; Xu, Y.; Kobayashi, K.; Dai, L.; Zhang, T.; Agathokleous, E.; Calatayud, V.; Paoletti, E.; Mukherjee, A.; Agrawal, M. Ozone pollution threatens the production of major staple crops in East Asia. Nat. Food 2022, 3, 47–56. [Google Scholar] [CrossRef]
- Tang, H.; Pang, J.; Zhang, G.; Takigawa, M.; Liu, G.; Zhu, J.; Kobayashi, K. Mapping ozone risks for rice in China for years 2000 and 2020 with flux-based and exposure-based doses. Atmos. Environ. 2014, 86, 74–83. [Google Scholar] [CrossRef]
- Feng, Z.; Calatayud, V.; Zhu, J.; Kobayashi, K. Ozone exposure- and flux-based response relationships with photosynthesis of winter wheat under fully open air condition. Sci. Total Environ. 2018, 619–620, 1538–1544. [Google Scholar] [CrossRef] [PubMed]
- Tai, A.P.K.; Martin, M.V.; Heald, C.L. Threat to future global food security from climate change and ozone air pollution. Nat. Clim. Change 2014, 4, 817–821. [Google Scholar] [CrossRef]
- Feng, Z.; Hu, E.; Wang, X.; Jiang, L.; Liu, X. Ground-level O3 pollution and its impacts on food crops in China: A review. Environ. Pollut. 2015, 199, 42–48. [Google Scholar] [CrossRef] [PubMed]
- Shang, B.; Fu, R.; Agathokleous, E.; Dai, L.; Zhang, G.; Wu, R.; Feng, Z. Ethylenediurea offers moderate protection against ozone-induced rice yield loss under high ozone pollution. Sci. Total Environ. 2022, 806, 151341. [Google Scholar] [CrossRef] [PubMed]









| Double-Early Rice Stage (ppb) | Double-Late Rice Stage (ppb) | |||||||||||||
|---|---|---|---|---|---|---|---|---|---|---|---|---|---|---|
| 2013 | 2014 | 2015 | 2016 | 2017 | 2018 | 2019 | 2013 | 2014 | 2015 | 2016 | 2017 | 2018 | 2019 | |
| Anhui | 40.22 | 41.04 | 33.49 | 35.6 | 41.05 | 45.39 | 56.33 | 39.53 | 38.77 | 39.29 | 30.43 | 38.44 | 52.35 | 46.12 | 
| Fujian | 34.91 | 43.04 | 35.25 | 28.95 | 33.17 | 32.85 | 32.27 | 46.89 | 50.94 | 40.38 | 29.90 | 41.51 | 48.11 | 53.17 | 
| Guangdong | 35.10 | 35.74 | 42.50 | 31.71 | 27.45 | 35.27 | 36.84 | 53.18 | 59.18 | 46.67 | 35.71 | 39.88 | 47.69 | 56.60 | 
| Guangxi | 37.54 | 37.64 | 43.06 | 31.26 | 26.51 | 36.22 | 33.75 | 49.80 | 57.72 | 45.35 | 42.39 | 37.52 | 40.62 | 43.73 | 
| Hainan | 24.94 | 25.94 | 37.28 | 28.4 | 26.36 | 28.97 | 31.37 | 46.58 | 48.49 | 49.86 | 37.07 | 34.78 | 50.10 | 47.08 | 
| Hubei | 48.21 | 44.49 | 47.52 | 39.89 | 41.11 | 44.39 | 55.29 | 48.54 | 44.51 | 49.80 | 32.66 | 30.30 | 46.87 | 41.70 | 
| Hunan | 41.53 | 39.94 | 41.93 | 33.5 | 35.31 | 38.9 | 41.72 | 48.44 | 45.76 | 48.93 | 36.07 | 31.99 | 44.61 | 42.85 | 
| Jiangxi | 43.49 | 44.91 | 37.64 | 31.84 | 30.15 | 37.57 | 40.06 | 46.50 | 50.39 | 43.32 | 32.16 | 37.16 | 47.85 | 53.75 | 
| Zhejiang | 45.50 | 44.70 | 42.85 | 38.07 | 42.24 | 35.28 | 36.17 | 43.53 | 54.12 | 49.39 | 32.97 | 40.12 | 47.23 | 48.27 | 
| Disclaimer/Publisher’s Note: The statements, opinions and data contained in all publications are solely those of the individual author(s) and contributor(s) and not of MDPI and/or the editor(s). MDPI and/or the editor(s) disclaim responsibility for any injury to people or property resulting from any ideas, methods, instructions or products referred to in the content. | 
© 2023 by the authors. Licensee MDPI, Basel, Switzerland. This article is an open access article distributed under the terms and conditions of the Creative Commons Attribution (CC BY) license (https://creativecommons.org/licenses/by/4.0/).
Share and Cite
Pei, J.; Liu, P.; Fang, H.; Gao, X.; Pan, B.; Li, H.; Guo, H.; Zhang, F. Estimating Yield and Economic Losses Induced by Ozone Exposure in South China Based on Full-Coverage Surface Ozone Reanalysis Data and High-Resolution Rice Maps. Agriculture 2023, 13, 506. https://doi.org/10.3390/agriculture13020506
Pei J, Liu P, Fang H, Gao X, Pan B, Li H, Guo H, Zhang F. Estimating Yield and Economic Losses Induced by Ozone Exposure in South China Based on Full-Coverage Surface Ozone Reanalysis Data and High-Resolution Rice Maps. Agriculture. 2023; 13(2):506. https://doi.org/10.3390/agriculture13020506
Chicago/Turabian StylePei, Jie, Pengyu Liu, Huajun Fang, Xinyu Gao, Baihong Pan, Haolin Li, Han Guo, and Feng Zhang. 2023. "Estimating Yield and Economic Losses Induced by Ozone Exposure in South China Based on Full-Coverage Surface Ozone Reanalysis Data and High-Resolution Rice Maps" Agriculture 13, no. 2: 506. https://doi.org/10.3390/agriculture13020506
APA StylePei, J., Liu, P., Fang, H., Gao, X., Pan, B., Li, H., Guo, H., & Zhang, F. (2023). Estimating Yield and Economic Losses Induced by Ozone Exposure in South China Based on Full-Coverage Surface Ozone Reanalysis Data and High-Resolution Rice Maps. Agriculture, 13(2), 506. https://doi.org/10.3390/agriculture13020506
 
        


 
       