Monitoring of Chemical and Fermentative Characteristics during Different Treatments of Grape Pomace Silage
Abstract
:1. Introduction
2. Materials and Methods
2.1. Materials
2.2. Silage of Grape Pomace
2.3. Extract Preparation and Sample Analysis
2.4. Statistical Analysis
3. Results and Discussion
3.1. Effect of Additives and Storage Time on the Chemical Characteristics of Grape Pomace Silage
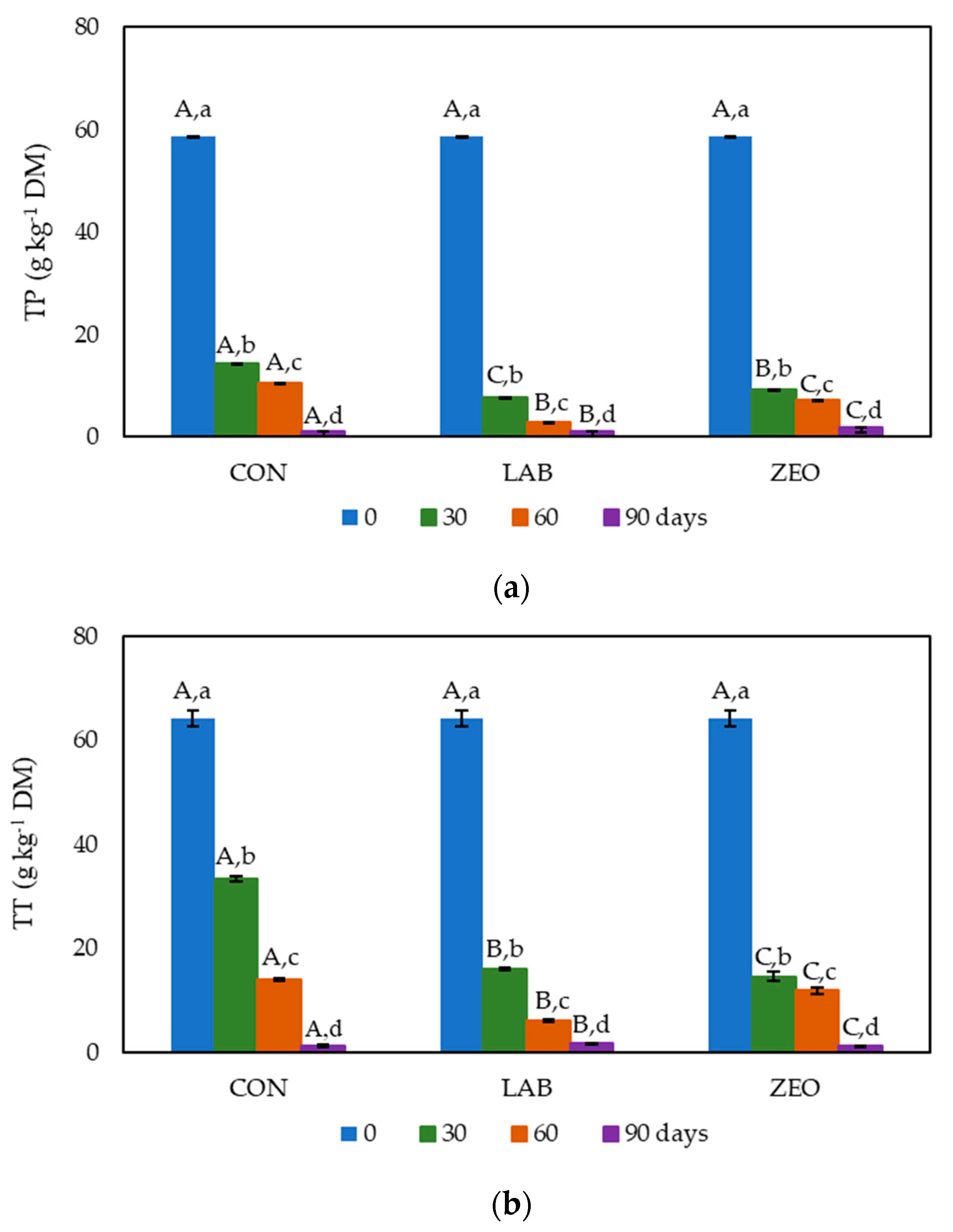
3.2. Effect of Additives and Storage Time of Grape Pomace Silage on Biologically Active Compounds
3.3. Effect of Additives and Storage Time on the Fermentative Characteristics of Grape Pomace Silage
4. Conclusions
Supplementary Materials
Author Contributions
Funding
Institutional Review Board Statement
Data Availability Statement
Acknowledgments
Conflicts of Interest
References
- Sirohi, R.; Tarafdar, A.; Singh, S.; Negi, T.; Gaur, V.K.; Gnansounou, E.; Bharathiraja, B. Green Processing and Biotechnological Potential of Grape Pomace: Current Trends and Opportunities for Sustainable Biorefinery. Bioresour. Technol. 2020, 314, 123771. [Google Scholar] [CrossRef] [PubMed]
- Sokač, T.; Gunjević, V.; Pušek, A.; Tušek, A.J.; Dujmić, F.; Brnčić, M.; Ganić, K.K.; Jakovljević, T.; Uher, D.; Mitrić, G.; et al. Comparison of Drying Methods and Their Effect on the Stability of Graševina Grape Pomace Biologically Active Compounds. Foods 2022, 11, 112. [Google Scholar] [CrossRef] [PubMed]
- Antonić, B.; Jančíková, S.; Dordević, D.; Tremlová, B. Grape Pomace Valorization: A Systematic Review and Meta-Analysis. Foods 2020, 9, 1627. [Google Scholar] [CrossRef]
- Massaro Junior, F.L.; Bumbieris Junior, V.H.; Zanin, E.; da Silva, L.d.D.F.; Galbeiro, S.; Pereira, E.S.; Neumann, M.; Mizubuti, I.Y. Effect of Storage Time and Use of Additives on the Quality of Grape Pomace Silages. J. Food Process. Preserv. 2020, 44, e14373. [Google Scholar] [CrossRef]
- Yang, F.; Wang, Y.; Zhao, S.; Wang, Y. Lactobacillus Plantarum Inoculants Delay Spoilage of High Moisture Alfalfa Silages by Regulating Bacterial Community Composition. Front. Microbiol. 2020, 11, 1989. [Google Scholar] [CrossRef] [PubMed]
- Schmithausen, A.J.; Deeken, H.F.; Gerlach, K.; Trimborn, M.; Weiß, K.; Büscher, W.; Maack, G.C. Greenhouse Gas Formation during the Ensiling Process of Grass and Lucerne Silage. J. Environ. Manag. 2022, 304, 114142. [Google Scholar] [CrossRef]
- Ke, W.C.; Yang, F.Y.; Undersander, D.J.; Guo, X.S. Fermentation Characteristics, Aerobic Stability, Proteolysis and Lipid Composition of Alfalfa Silage Ensiled with Apple or Grape Pomace. Anim. Feed Sci. Technol. 2015, 202, 12–19. [Google Scholar] [CrossRef]
- Cravotto, G.; Mariatti, F.; Gunjevic, V.; Secondo, M.; Villa, M.; Parolin, J.; Cavaglià, G. Pilot Scale Cavitational Reactors and Other Enabling Technologies to Design the Industrial Recovery of Polyphenols from Agro-Food by-Products, a Technical and Economical Overview. Foods 2018, 7, 130. [Google Scholar] [CrossRef]
- De Bellis, P.; Maggiolino, A.; Albano, C.; De Palo, P.; Blando, F. Ensiling Grape Pomace With and Without Addition of a Lactiplantibacillus Plantarum Strain: Effect on Polyphenols and Microbiological Characteristics, In Vitro Nutrient Apparent Digestibility, and Gas Emission. Front. Vet. Sci. 2022, 9, 808293. [Google Scholar] [CrossRef]
- Alba-Mejía, J.E.; Dohnal, V.; Domínguez-Rodríguez, G.; Středa, T.; Klíma, M.; Mlejnková, V.; Skládanka, J. Ergosterol and polyphenol contents as rapid indicators of orchardgrass silage safety. Heliyon 2020, 9, e14940. [Google Scholar] [CrossRef]
- Peng, K.; Jin, L.; Niu, Y.D.; Huang, Q.; McAllister, T.A.; Yang, H.E.; Denise, H.; Xu, Z.; Acharya, S.; Wang, S.; et al. Condensed Tannins Affect Bacterial and Fungal Microbiomes and Mycotoxin Production during Ensiling and upon Aerobic Exposure. Appl. Environ. Microbiol. 2018, 84, e02274-17. [Google Scholar] [CrossRef]
- Fitri, A.; Obitsu, T.; Sugino, T. Effect of Ensiling Persimmon Peel and Grape Pomace as Tannin-Rich Byproduct Feeds on Their Chemical Composition and In Vitro Rumen Fermentation. Anim. Sci. J. 2021, 92, e13524. [Google Scholar] [CrossRef]
- Carvalho, B.F.; Sales, G.F.C.; Schwan, R.F.; Ávila, C.L.S. Criteria for Lactic Acid Bacteria Screening to Enhance Silage Quality. J. Appl. Microbiol. 2021, 130, 341–355. [Google Scholar] [CrossRef]
- Muck, R.E.; Nadeau, E.M.G.; McAllister, T.A.; Contreras-Govea, F.E.; Santos, M.C.; Kung, L. Silage Review: Recent Advances and Future Uses of Silage Additives. J. Dairy Sci. 2018, 101, 3980–4000. [Google Scholar] [CrossRef]
- Han, H.; Wang, C.; Huang, Z.; Zhang, Y.; Sun, L.; Xue, Y.; Guo, X. Effects of Lactic Acid Bacteria-Inoculated Corn Silage on Bacterial Communities and Metabolites of Digestive Tract of Sheep. Fermentation 2022, 8, 320. [Google Scholar] [CrossRef]
- Herremans, S.; Decruyenaere, V.; Beckers, Y.; Froidmont, E. Silage Additives to Reduce Protein Degradation during Ensiling and Evaluation of In Vitro Ruminal Nitrogen Degradability. Grass Forage Sci. 2019, 74, 86–96. [Google Scholar] [CrossRef]
- Nielsen, S.S. Phenol-Sulfuric Acid Method for Total Carbohydrates. In Food Analysis Laboratory Manual, 1st ed.; Nielsen, S.S., Ed.; Springer: Boston, MA, USA, 2010; pp. 47–53. [Google Scholar] [CrossRef]
- Van Soest, P.J.; Robertson, J.B.; Lewis, B.A. Methods for Dietary Fiber, Neutral Detergent Fiber, and Nonstarch Polysaccharides in Relation to Animal Nutrition. J. Dairy Sci. 1991, 74, 3583–3597. [Google Scholar] [CrossRef]
- Palma, M.; Barroso, C.G. Ultrasound-Assisted Extraction and Determination of Tartaric and Malic Acids from Grapes and Winemaking by-Products. Anal. Chim. Acta 2002, 458, 119–130. [Google Scholar] [CrossRef]
- Singleton, V.L.; Orthofer, R.; Lamuela-Raventós, R.M. Analysis of Total Phenols and Other Oxidation Substrates and Antioxidants by Means of Folin-Ciocalteu Reagent. Methods Enzymol. 1999, 299, 152–178. [Google Scholar] [CrossRef]
- Hagerman, A.E. Extraction of Tannin from Fresh and Preserved Leaves. J. Chem. Ecol. 1988, 14, 453–461. [Google Scholar] [CrossRef]
- Gayon, P.R.; Stonestreet, E. Dosage Des Tanins Du Vin Rouge et Determination de Leur Structure. Chim. Anal. 1966, 48, 188–196. [Google Scholar]
- Ni, K.; Wang, F.; Zhu, B.; Yang, J.; Zhou, G.; Pan, Y.; Tao, Y.; Zhong, J. Effects of Lactic Acid Bacteria and Molasses Additives on the Microbial Community and Fermentation Quality of Soybean Silage. Bioresour. Technol. 2017, 238, 706–715. [Google Scholar] [CrossRef]
- Merck, E. The Testing of Water: A Selection of Chemical Methods for Practical Use, 10th ed.; Merck Darmstadt: Darmstadt, Germany, 1964; pp. 7–13. [Google Scholar]
- Zehra Saricicek, B.; Yildirim, B.; Kocabas, Z.; Ozgumus Demir, E. Effect of Storage Time on Nutrient Composition and Quality Parameters of Corn Silage Mısır Silajının Besin Madde Kompozisyonu ve Silaj Kalite Parametreleri Üzerine Depolama Süresinin Etkileri. Turkish J. Agric. Sci. Technol. Türk Tarım-Gıda Bilim ve Teknol. Derg. 2016, 4, 934–939. [Google Scholar]
- Kung, L., Jr. Understanding the Biology of Silage Preservation to Maximize Quality and Protect the Environment. In Proceedings of the California Alfa & Forage Symposium and Corn/Cereal Silage Conferenxe, Visalia, CA, USA, 1–2 December 2010; pp. 1–14. [Google Scholar]
- Ali, M.F.; Tahir, M. An Overview on the Factors Affecting Water-Soluble Carbohydrates Concentration during Ensiling of Silage. J. Plant Environ. 2021, 3, 63–80. [Google Scholar] [CrossRef]
- Belém, C.d.S.; de Souza, A.M.; de Lima, P.R.; de Carvalho, F.A.L.; Queiroz, M.A.Á.; da Costa, M.M. Digestibility, Fermentation and Microbiological Characteristics of Calotropis Procera Silage with Different Quantities of Grape Pomace. Ciênc. Agrotecnologia 2016, 40, 698–705. [Google Scholar] [CrossRef]
- Dunière, L.; Sindou, J.; Chaucheyras-Durand, F.; Chevallier, I.; Thévenot-Sergentet, D. Silage Processing and Strategies to Prevent Persistence of Undesirable Microorganisms. Anim. Feed Sci. Technol. 2013, 182, 1–15. [Google Scholar] [CrossRef]
- Fitri, A.; Obitsu, T.; Sugino, T.; Jayanegara, A. Ensiling of Total Mixed Ration Containing Persimmon Peel: Evaluation of Chemical Composition and In Vitro Rumen Fermentation Profiles. Anim. Sci. J. 2020, 91, e13403. [Google Scholar] [CrossRef]
- Alipour, D.; Rouzbehan, Y. Effects of Ensiling Grape Pomace and Addition of Polyethylene Glycol on In Vitro Gas Production and Microbial Biomass Yield. Anim. Feed Sci. Technol. 2007, 137, 138–149. [Google Scholar] [CrossRef]
- Spanghero, M.; Salem, A.Z.M.; Robinson, P.H. Chemical Composition, Including Secondary Metabolites, and Rumen Fermentability of Seeds and Pulp of Californian (USA) and Italian Grape Pomaces. Anim. Feed Sci. Technol. 2009, 152, 243–255. [Google Scholar] [CrossRef]
- Adesogan, A.T.; Arriola, K.G.; Jiang, Y.; Oyebade, A.; Paula, E.M.; Pech-Cervantes, A.A.; Romero, J.J.; Ferraretto, L.F.; Vyas, D. Symposium Review: Technologies for Improving Fiber Utilization. J. Dairy Sci. 2019, 102, 5726–5755. [Google Scholar] [CrossRef]
- Mariatti, F.; Gunjević, V.; Boffa, L.; Cravotto, G. Process Intensification Technologies for the Recovery of Valuable Compounds from Cocoa By-Products. Innov. Food Sci. Emerg. Technol. 2021, 68, 102601. [Google Scholar] [CrossRef]
- Winkler, A.; Weber, F.; Ringseis, R.; Eder, K.; Dusel, G. Determination of Polyphenol and Crude Nutrient Content and Nutrient Digestibility of Dried and Ensiled White and Red Grape Pomace Cultivars. Arch. Anim. Nutr. 2015, 69, 187–200. [Google Scholar] [CrossRef]
- González-Centeno, M.R.; Jourdes, M.; Femenia, A.; Simal, S.; Rosselló, C.; Teissedre, P.L. Characterization of Polyphenols and Antioxidant Potential of White Grape Pomace Byproducts (Vitis vinifera L.). J. Agric. Food Chem. 2013, 61, 11579–11587. [Google Scholar] [CrossRef]
- Muhlack, R.A.; Potumarthi, R.; Jeffery, D.W. Sustainable Wineries through Waste Valorisation: A Review of Grape Marc Utilisation for Value-Added Products. Waste Manag. 2018, 72, 99–118. [Google Scholar] [CrossRef]
- Kung, L.; Shaver, R.D.; Grant, R.J.; Schmidt, R.J. Silage Review: Interpretation of Chemical, Microbial, and Organoleptic Components of Silages. J. Dairy Sci. 2018, 101, 4020–4033. [Google Scholar] [CrossRef]
- Rizk, C.; Mustafa, A.F.; Phillip, L.E. Effects of Inoculation of High Dry Matter Alfalfa Silage on Ensiling Characteristics, Ruminal Nutrient Degradability and Dairy Cow Performance. J. Sci. Food Agric. 2005, 85, 743–750. [Google Scholar] [CrossRef]
- Fu, Z.; Sun, L.; Hou, M.; Hao, J.; Lu, Q.; Liu, T.; Ren, X.; Jia, Y.; Wang, Z.J.; Ge, G. Effects of Different Harvest Frequencies on Microbial Community and Metabolomic Properties of Annual Ryegrass Silage. Front. Microbiol. 2022, 13, 971449. [Google Scholar] [CrossRef]
- Đorđević, N.; Grubić, G.; Adamović, M.; Stojanović, B. The Influence of Inoculant and Zeolite Supplementation on Quality of Silages Prepared from Whole Maize Plant, Lucerne and Perennial Ryegrass. In Proceedings of the International Congres: Food Technology, Quality and Safety, Novi Sad, Serbia, 13–15 November 2007; pp. 51–56. [Google Scholar]
- Der Bedrosian, M.C.; Nestor, K.E.; Kung, L. The Effects of Hybrid, Maturity, and Length of Storage on the Composition and Nutritive Value of Corn Silage. J. Dairy Sci. 2012, 95, 5115–5126. [Google Scholar] [CrossRef]
- Juráček, M.; Bíro, D.; Šimko, M.; Gálik, B.; Rolinec, M.; Hanušovský, O.; Vašeková, P.; Kolláthová, R.; Barantal, S. Fermentation Quality and Dry Matter Losses of Grape Pomace Silages with Urea Addition. J. Int. Sci. Publ. Agric. Food 2019, 7, 173–178. [Google Scholar]
- Schmidt, R.J.; Kung, L. The Effects of Lactobacillus Buchneri with or without a Homolactic Bacterium on the Fermentation and Aerobic Stability of Corn Silages Made at Different Locations. J. Dairy Sci. 2010, 93, 1616–1624. [Google Scholar] [CrossRef]
- Le Lay, C.; Coton, E.; Le Blay, G.; Chobert, J.M.; Haertlé, T.; Choiset, Y.; Van Long, N.N.; Meslet-Cladière, L.; Mounier, J. Identification and Quantification of Antifungal Compounds Produced by Lactic Acid Bacteria and Propionibacteria. Int. J. Food Microbiol. 2016, 239, 79–85. [Google Scholar] [CrossRef]
- Öztürk, Y.E.; Gülümser, E.; Mut, H.; Başaran, U.; Çopur Doğrusöz, M. A Preliminary Study on Change of Mistletoe (Viscum album L.) Silage Quality According to Collection Time and Host Tree Species. Turkish J. Agric. For. 2022, 46, 104–112. [Google Scholar] [CrossRef]
- Bai, J.; Ding, Z.; Ke, W.; Xu, D.; Wang, M.; Huang, W.; Zhang, Y.; Liu, F.; Guo, X. Different Lactic Acid Bacteria and Their Combinations Regulated the Fermentation Process of Ensiled Alfalfa: Ensiling Characteristics, Dynamics of Bacterial Community and Their Functional Shifts. Microb. Biotechnol. 2021, 14, 1171–1182. [Google Scholar] [CrossRef]
- Eliş, S.; Özyazici, M.A. Determination of the Silage Quality Characteristics of Different Switchgrass (Panicum virgatum L.) Cultivars. Appl. Ecol. Environ. Res. 2019, 17, 15755–15773. [Google Scholar] [CrossRef]
- Wang, M.; Gao, R.; Franco, M.; Hannaway, D.B.; Ke, W.; Ding, Z.; Yu, Z.; Guo, X. Effect of Mixing Alfalfa with Whole-Plant Corn in Different Proportions on Fermentation Characteristics and Bacterial Community of Silage. Agriculture 2021, 11, 174. [Google Scholar] [CrossRef]

| Source of Variation | d.f. | SS | MS | F0 |
|---|---|---|---|---|
| Factor A (between groups) | a − 1 | |||
| Factor B (between groups) | b − 1 | |||
| Error (within groups) | (a − 1)(b − 1) | |||
| Total | N − 1 |
| Variable | Day of Ensiling | Control | Grape Pomace + Lactic Acid Bacteria | Grape Pomace + Zeolite |
|---|---|---|---|---|
| DM (g kg−1) | 0 | 465.50 ± 3.05 A,a | 465.50 ± 3.05 A,a | 465.50 ± 3.05 A,a |
| 30 | 485.72 ± 4.79 A,a | 431.67 ± 9.57 A,a | 513.44 ± 6.14 A,a | |
| 60 | 463.03 ± 15.01 A,a | 428.68 ± 12.23 A,a | 494.59 ± 0.79 A,a | |
| 90 | 424.74 ± 27.76 B,a | 409.62 ± 0.31 B,b | 498.33 ± 9.52 A,a | |
| WSC (g kg−1 DM) | 0 | 54.83 ± 0.47 A,a | 54.83 ± 0.47 A,a | 54.83 ± 0.47 A,a |
| 30 | 48.13 ± 0.02 A,b | 23.40 ± 0.01 B,b | 34.05 ± 0.01 C,b | |
| 60 | 11.89 ± 0.01 A,c | 10.13 ± 0.01 B,c | 11.76 ± 0.02 A,c | |
| 90 | 13.40 ± 0.01 A,d | 11.78 ± 0.01 B,d | 7.88 ± 0.07 C,d | |
| CP (g kg−1 DM) | 0 | 96.25 ± 0.02 A,a | 96.25 ± 0.02 A,a | 96.25 ± 0.02 A,a |
| 30 | 105.60 ± 0.02 A,b | 93.70 ± 0.02 B,b | 91.80 ± 0.02 C,b | |
| 60 | 98.10 ± 0.02 A,c | 98.10 ± 0.02 A,c | 98.10 ± 0.02 A,c | |
| 90 | 100.00 ± 0.02 B,d | 102.50 ± 0.02 A,d | 99.40 ± 0.02 C,d | |
| NDF (g kg−1 DM) | 0 | 451.70 ± 0.54 A,d | 451.70 ± 0.54 A,d | 451.70 ± 0.54 A,d |
| 30 | 454.80 ± 0.54 B,c | 511.90 ± 0.54 A,c | 511.20 ± 0.54 A,c | |
| 60 | 572.00 ± 0.54 B,b | 579.90 ± 0.54 A,a | 559.90 ± 0.54 C,b | |
| 90 | 593.00 ± 0.54 A,a | 572.80 ± 0.54 C,b | 585.90 ± 0.54 B,a | |
| ADF (g kg−1 DM) | 0 | 395.40 ± 0.65 A,c | 395.4 ± 0.65 A,d | 395.40 ± 0.65 A,d |
| 30 | 392.20 ± 0.65 C,c | 445.6 ± 0.65 B,c | 467.10 ± 0.65 A,c | |
| 60 | 527.20 ± 0.65 B,b | 554.2 ± 0.65 A,a | 529.70 ± 0.65 B,b | |
| 90 | 573.10 ± 0.65 A,a | 547.1 ± 0.65 C,b | 553.10 ± 0.65 B,a |
| Variable | Day of Ensiling | Control | Grape Pomace + Lactic Acid Bacteria | Grape Pomace + Zeolite |
|---|---|---|---|---|
| pH | 0 | 5.88 ± 0.14 A,a | 5.88 ± 0.08 A,a | 5.88 ± 0.05 A,a |
| 30 | 4.01 ± 0.05 A,d | 3.95 ± 0.03 A,d | 4.09 ± 0.03 A,d | |
| 60 | 4.12 ± 0.04 A,b | 4.12 ± 0.03 A,b | 4.20 ± 0.01 A,c | |
| 90 | 4.06 ± 0.05 A,c | 4.06 ± 0.02 A,c | 4.27 ± 0.01 A,b | |
| Lactic acid (g kg−1 DM) | 0 | 6.09 ± 0.07 A,b | 6.09 ± 0.07 A,a | 6.09 ± 0.04 C,a |
| 30 | 0.18 ± 0.18 B,d | 6.98 ± 0.20 A,a | 5.08 ± 0.15 B,a | |
| 60 | 11.19 ± 0.33 B,a | 6.80 ± 0.18 C,a | 11.54 ± 0.26 A,b | |
| 90 | 4.58 ± 0.03 B,c | 0.17 ± 0.29 C,b | 7.86 ± 0.01 B,d | |
| Acetic acid (g kg−1 DM) | 0 | 15.39 ± 0.10 A,c | 15.39 ± 0.10 A,c | 15.39 ± 0.10 A,a |
| 30 | 22.25 ± 0.29 A,a | 15.72 ± 0.13 B,c | 14.63 ± 0.02 C,a | |
| 60 | 11.79 ± 0.31 B,d | 16.53 ± 0.87 A,b | 8.68 ± 0.02 C,b | |
| 90 | 19.19 ± 0.11 B,b | 24.40 ± 0.37 A,a | 14.53 ± 0.02 C,a | |
| Butyric acid (g kg−1 DM) | 0 | - | - | - |
| 30 | - | - | - | |
| 60 | - | - | - | |
| 90 | - | - | - | |
| NH3-N (g kg−1 DM) | 0 | 0.00 ± 0.04 A,c | 0.00 ± 0.04 A,c | 0.00 ± 0.04 A,c |
| 30 | 1.19 ± 0.02 A,a | 0.90 ± 0.02 B,a | 0.84 ± 0.01 C,a | |
| 60 | 0.92 ± 0.01 A,b | 0.63 ± 0.01 C,b | 0.79 ± 0.01 B,b | |
| 90 | 0.97 ± 0.01 A,b | 0.99 ± 0.02 A,a | 0.94 ± 0.02 A,a |
Disclaimer/Publisher’s Note: The statements, opinions and data contained in all publications are solely those of the individual author(s) and contributor(s) and not of MDPI and/or the editor(s). MDPI and/or the editor(s) disclaim responsibility for any injury to people or property resulting from any ideas, methods, instructions or products referred to in the content. |
© 2023 by the authors. Licensee MDPI, Basel, Switzerland. This article is an open access article distributed under the terms and conditions of the Creative Commons Attribution (CC BY) license (https://creativecommons.org/licenses/by/4.0/).
Share and Cite
Sokač Cvetnić, T.; Gunjević, V.; Damjanović, A.; Pušek, A.; Jurinjak Tušek, A.; Jakovljević, T.; Radojčić Redovniković, I.; Uher, D. Monitoring of Chemical and Fermentative Characteristics during Different Treatments of Grape Pomace Silage. Agriculture 2023, 13, 2264. https://doi.org/10.3390/agriculture13122264
Sokač Cvetnić T, Gunjević V, Damjanović A, Pušek A, Jurinjak Tušek A, Jakovljević T, Radojčić Redovniković I, Uher D. Monitoring of Chemical and Fermentative Characteristics during Different Treatments of Grape Pomace Silage. Agriculture. 2023; 13(12):2264. https://doi.org/10.3390/agriculture13122264
Chicago/Turabian StyleSokač Cvetnić, Tea, Veronika Gunjević, Anja Damjanović, Anita Pušek, Ana Jurinjak Tušek, Tamara Jakovljević, Ivana Radojčić Redovniković, and Darko Uher. 2023. "Monitoring of Chemical and Fermentative Characteristics during Different Treatments of Grape Pomace Silage" Agriculture 13, no. 12: 2264. https://doi.org/10.3390/agriculture13122264
APA StyleSokač Cvetnić, T., Gunjević, V., Damjanović, A., Pušek, A., Jurinjak Tušek, A., Jakovljević, T., Radojčić Redovniković, I., & Uher, D. (2023). Monitoring of Chemical and Fermentative Characteristics during Different Treatments of Grape Pomace Silage. Agriculture, 13(12), 2264. https://doi.org/10.3390/agriculture13122264

