Seed Priming Improves Biochemical and Physiological Performance of Wheat Seedlings under Low-Temperature Conditions
Abstract
1. Introduction
2. Materials and Methods
2.1. Design of Experiment
2.2. Seed Moisture Content
2.3. Germination, Growth, and Vigor Index
2.4. Total Protein Concentration
2.5. Lipid Peroxidation
2.6. Extraction and Analysis of Enzymes
2.7. Preparation of Plant Extracts
2.8. Total Phenolic Compounds
2.9. Total Flavonoids
2.10. Total Antioxidant Activity
2.11. Quantification of Phenolic Acids and Flavonoids
2.11.1. Chemicals
2.11.2. Instruments
2.12. Statistical Analysis
3. Results
3.1. Seed Moisture Content
3.2. Germination and Growth Characteristic
3.3. Total Soluble Proteins
3.4. Malondialdehyde Content (MDA)
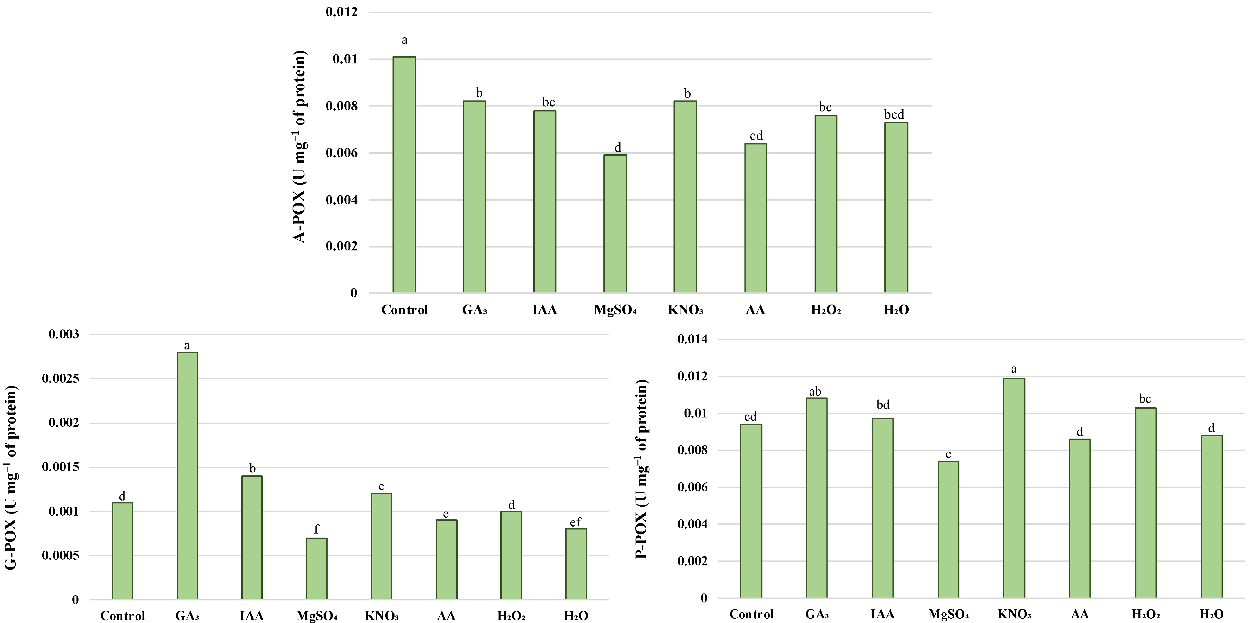
3.5. Antioxidant Enzymes Activity
3.6. Total Phenolic Content and Concentration of Flavonoids
3.7. Antioxidant Activity
3.8. Concentration of Phenolic Acids and Flavonoids
4. Discussion
5. Conclusions
Author Contributions
Funding
Institutional Review Board Statement
Informed Consent Statement
Data Availability Statement
Conflicts of Interest
References
- Kuźniar, A.; Włodarczyk, K.; Grządziel, J.; Goraj, W.; Gałązka, A.; Wolińska, A. Culture-independent analysis of an endophytic core microbiome in two species of wheat: Triticum aestivum L. (cv.‘Hondia’) and the first report of microbiota in Triticum spelta L. (cv.‘Rokosz’). Syst. Appl. Microbiol. 2020, 43, 126025. [Google Scholar] [CrossRef] [PubMed]
- Wu, B.; Ma, Z.; Boken, V.K.; Zeng, H.; Shang, J.; Igor, S.; Wang, J.; Yan, N. Regional differences in the performance of drought mitigation measures in 12 major wheat-growing regions of the world. Agric. Water Manag. 2022, 273, 107888. [Google Scholar] [CrossRef]
- Gupta, R.; Meghwal, M.; Prabhakar, P.K. Bioactive compounds of pigmented wheat (Triticum aestivum): Potential benefits in human health. Trends Food Sci. Technol. 2021, 110, 240–252. [Google Scholar] [CrossRef]
- Balli, D.; Cecchi, L.; Pieraccini, G.; Innocenti, M.; Benedettelli, S.; Mulinacci, N. What’s new on total phenols and γ-oryzanol derivatives in wheat? A comparison between modern and ancient varieties. J Food Compost Anal. 2022, 109, 104453. [Google Scholar] [CrossRef]
- Harkness, C.; Semenov, M.A.; Areal, F.; Senapati, N.; Trnka, M.; Balek, J.; Bishop, J. Adverse weather conditions for UK wheat production under climate change. Agric. For. Meteorol. 2020, 282, 107862. [Google Scholar] [CrossRef]
- Deryng, D.; Conway, D.; Ramankutty, N.; Price, J.; Warren, R. Global crop yield response to extreme heat stress under multiple climate change futures. Environ. Res. Lett. 2014, 9, 034011. [Google Scholar] [CrossRef]
- Trnka, M.; Rötter, R.P.; Ruiz-Ramos, M.; Kersebaum, K.C.; Olesen, J.E.; Žalud, Z.; Semenov, M.A. Adverse weather conditions for European wheat production will become more frequent with climate change. Nat. Clim. Change. 2014, 4, 637–643. [Google Scholar] [CrossRef]
- Powell, J.P.; Reinhard, S. Measuring the effects of extreme weather events on yields. Weather Clim. Extrem. 2016, 12, 69–79. [Google Scholar] [CrossRef]
- Barlow, K.M.; Christy, B.P.; O’leary, G.J.; Riffkin, P.A.; Nuttall, J.G. Simulating the impact of extreme heat and frost events on wheat crop production: A review. Field Crops Res. 2015, 171, 109–119. [Google Scholar] [CrossRef]
- Gu, L.; Hanson, P.J.; Post, W.M.; Kaiser, D.P.; Yang, B.; Nemani, R.; Pallardy, S.G.; Meyers, T. The 2007 eastern US spring freeze: Increased cold damage in a warming world? BioScience 2008, 58, 253–262. [Google Scholar] [CrossRef]
- Holman, J.D.; Schlegel, A.J.; Thompson, C.R.; Lingenfelser, J.E. Influence of precipitation, temperature, and 56 years on winter wheat yields in western Kansas. Crop Manag. 2011, 10, 1–10. [Google Scholar] [CrossRef]
- Zheng, B.; Chapman, S.C.; Christopher, J.T.; Frederiks, T.M.; Chenu, K. Frost trends and their estimated impact on yield in the Australian wheatbelt. J. Exp. Bot. 2015, 66, 3611–3623. [Google Scholar] [CrossRef] [PubMed]
- Crimp, S.J.; Zheng, B.; Khimashia, N.; Gobbett, D.L.; Chapman, S.; Howden, M.; Nicholls, N. Recent changes in southern Australian frost occurrence: Implications for wheat production risk. Crop Pasture Sci. 2016, 67, 801–811. [Google Scholar] [CrossRef]
- Tshewang, S.; Jessop, R.; Birchall, C. Effect of frost on triticale and wheat varieties at flowering in the north eastern Australian cereal belt. Cereal Res. Commun. 2017, 45, 655–664. [Google Scholar] [CrossRef]
- Xiao, L.; Liu, L.; Asseng, S.; Xia, Y.; Tang, L.; Liu, B.; Cao, W.; Zhu, Y. Estimating spring frost and its impact on yield across winter wheat in China. Agric. For Meteorol. 2018, 260, 154–164. [Google Scholar] [CrossRef]
- Matysiak, K.; Kierzek, R.; Siatkowski, I.; Kowalska, J.; Krawczyk, R.; Miziniak, W. Effect of exogenous application of amino acids l-arginine and glycine on maize under temperature stress. Agronomy 2020, 10, 769. [Google Scholar] [CrossRef]
- Malek, M.; Ghaderi-Far, F.; Torabi, B.; Sadeghipour, H.R. Dynamics of seed dormancy and germination at high temperature stress is affected by priming and phytohormones in rapeseed (Brassica napus L.). J. Plant Physiol. 2022, 269, 153614. [Google Scholar] [CrossRef]
- Wang, X.; Cai, J.; Liu, F.; Dai, T.; Cao, W.; Wollenweber, B.; Jiang, D. Multiple heat priming enhances thermo-tolerance to a later high temperature stress via improving subcellular antioxidant activities in wheat seedlings. Plant Physiol. Biochem. 2014, 74, 185–192. [Google Scholar] [CrossRef]
- Kosová, K.; Vítámvás, P.; Planchon, S.; Renaut, J.; Vanková, R.; Prášil, I.T. Proteome analysis of cold response in spring and winter wheat (Triticum aestivum) crowns reveals similarities in stress adaptation and differences in regulatory processes between the growth habits. J. Proteome Res. 2013, 12, 4830–4845. [Google Scholar] [CrossRef]
- Li, X.; Cai, J.; Liu, F.; Dai, T.; Cao, W.; Jiang, D. Cold priming drives the sub-cellular antioxidant systems to protect photosynthetic electron transport against subsequent low temperature stress in winter wheat. Plant Physiol. Biochem. 2014, 82, 34–43. [Google Scholar] [CrossRef]
- Berova, M.; Zlatev, Z.; Stoeva, N. Effect of paclobutrazol on wheat seedlings under low temperature stress. Bulg. J. Plant Physiol. 2002, 28, 75–84. [Google Scholar]
- Xiao, L.; Asseng, S.; Wang, X.; Xia, J.; Zhang, P.; Liu, L.; Tang, L.; Cao, W.; Zhu, Y.; Liu, B. Simulating the effects of low-temperature stress on wheat biomass growth and yield. Agric. For Meteorol. 2022, 326, 109191. [Google Scholar] [CrossRef]
- Shah, T.; Latif, S.; Khan, H.; Munsif, F.; Nie, L. Ascorbic acid priming enhances seed germination and seedling growth of winter wheat under low temperature due to late sowing in Pakistan. Agronomy 2019, 9, 757. [Google Scholar] [CrossRef]
- Janowiak, F.; Maas, B.; Dörffling, K. Importance of abscisic acid for chilling tolerance of maize seedlings. J. Plant Physiol. 2002, 159, 635–643. [Google Scholar] [CrossRef]
- Ruelland, E.; Zachowski, A. How plants sense temperature. Environ. Exp. Bot. 2010, 69, 225–232. [Google Scholar] [CrossRef]
- Ji, H.; Xiao, L.; Xia, Y.; Song, H.; Liu, B.; Tang, L.; Cao, W.; Zhu, Y.; Liu, L. Effects of jointing and booting low temperature stresses on grain yield and yield components in wheat. Agric. For Meteorol. 2017, 243, 33–42. [Google Scholar] [CrossRef]
- Zhang, Y.; Liu, L.; Chen, X.; Li, J. Effects of Low-Temperature Stress during the Anther Differentiation Period on Winter Wheat Photosynthetic Performance and Spike-Setting Characteristics. Plants 2022, 11, 389. [Google Scholar] [CrossRef]
- Monroy, A.F.; Dryanova, A.; Malette, B.; Oren, D.H.; Ridha Farajalla, M.; Liu, W.; Danyluk, J.; Ubayasena, L.W.C.; Kane, K.; Scoles, G.J.; et al. Regulatory gene candidates and gene expression analysis of cold acclimation in winter and spring wheat. Plant Mol. Biol. 2007, 64, 409–423. [Google Scholar] [CrossRef]
- Theocharis, A.; Clément, C.; Barka, E.A. Physiological and molecular changes in plants grown at low temperatures. Planta 2012, 235, 1091–1105. [Google Scholar] [CrossRef]
- Takahashi, D.; Li, B.; Nakayama, T.; Kawamura, Y.; Uemura, M. Plant plasma membrane proteomics for improving cold tolerance. Front. Plant Sci. 2013, 4, 90. [Google Scholar] [CrossRef]
- Wang, Y.X.; Ya, H.U.; Chen, B.H.; Zhu, Y.F.; Dawuda, M.M.; Svetla, S. Physiological mechanisms of resistance to cold stress associated with 10 elite apple rootstocks. J. Integr. Agric. 2018, 17, 857–866. [Google Scholar] [CrossRef]
- Jan, N.; Andrabi, K.I. Cold resistance in plants: A mystery unresolved. Electron. J. Biotechnol. 2009, 12, 14–15. [Google Scholar] [CrossRef]
- Rivero, R.M.; Ruiz, J.M.; Garcıa, P.C.; Lopez-Lefebre, L.R.; Sánchez, E.; Romero, L. Resistance to cold and heat stress: Accumulation of phenolic compounds in tomato and watermelon plants. Plant Sci. 2001, 160, 315–321. [Google Scholar] [CrossRef] [PubMed]
- Jisha, K.C.; Vijayakumari, K.; Puthur, J.T. Seed priming for abiotic stress tolerance: An overview. Acta Physiol. Plant. 2013, 35, 1381–1396. [Google Scholar] [CrossRef]
- Paparella, S.; Araújo, S.S.; Rossi, G.; Wijayasinghe, M.; Carbonera, D.; Balestrazzi, A. Seed priming: State of the art and new perspectives. Plant Cell Rep. 2015, 34, 1281–1293. [Google Scholar] [CrossRef]
- Masondo, N.A.; Kulkarni, M.G.; Finnie, J.F.; Van Staden, J. Influence of biostimulants-seed-priming on Ceratotheca triloba germination and seedling growth under low temperatures, low osmotic potential and salinity stress. Ecotoxicol. Environ. Saf. 2018, 147, 43–48. [Google Scholar] [CrossRef]
- Ellouzi, H.; Oueslati, S.; Hessini, K.; Rabhi, M.; Abdelly, C. Seed-priming with H2O2 alleviates subsequent salt stress by preventing ROS production and amplifying antioxidant defense in cauliflower seeds and seedlings. Sci. Hortic. 2021, 288, 110360. [Google Scholar] [CrossRef]
- Li, C.; Jiang, D.; Wollenweber, B.; Li, Y.; Dai, T.; Cao, W. Waterlogging pretreatment during vegetative growth improves tolerance to waterlogging after anthesis in wheat. Plant Sci. 2011, 180, 672–678. [Google Scholar] [CrossRef]
- Chen, K.; Arora, R. Priming memory invokes seed stress-tolerance. Environ. Exp. Bot. 2013, 94, 33–45. [Google Scholar] [CrossRef]
- Sharma, S.N.; Maheshwari, A.; Sharma, C.; Shukla, N. Gene expression patterns regulating the seed metabolism in relation to deterioration/ageing of primed mung bean (Vigna radiata L.) seeds. Plant Physiol. Biochem. 2018, 124, 40–49. [Google Scholar] [CrossRef]
- Kanjevac, M.; Jakovljević, D.; Bojović, B. Improvement of physiological performance of selected cereals by modulating pregerminative metabolic activity in seeds. Cereal Res. Commun. 2021, 50, 831–839. [Google Scholar] [CrossRef]
- Hanson, J. Procedures for Handling Seeds in Genebanks; International Board for Plant Genetic Resources: Rome, Italy, 1985; Volume 1. [Google Scholar]
- Jakovljević, D.; Bojović, B.; Stanković, M.; Topuzović, M. Characteristics of in vitro seed germination of three basil genotypes under different nutrition. Kragujev. J. Sci. 2020, 42, 135–142. [Google Scholar] [CrossRef]
- Bojović, B.M.; Jakovljević, D.Z.; Ćurcić, S.S.; Stanković, M.S. Phytotoxic potential of common nettle (Urtica dioica L.) on germi-nation and early growth of cereals an vegetables. Allelopathy J. 2018, 43, 175–186. [Google Scholar] [CrossRef]
- Lowry, O.H.; Rosebrough, N.J.; Farr, A.L.; Randall, R.J. Protein measurement with the Folin phenol reagent. J. Biol. Chem. 1951, 193, 265–275. [Google Scholar] [CrossRef]
- Jakovljević, D.; Topuzović, M.; Stanković, M. Nutrient limitation as a tool for the induction of secondary metabolites with antioxidant activity in basil cultivars. Ind Crops Prod. 2019, 138, 111462. [Google Scholar] [CrossRef]
- Jakovljević, D.; Stanković, M.; Bojović, B.; Topuzović, M. Regulation of early growth and antioxidant defense mechanism of sweet basil seedlings in response to nutrition. Acta Physiol. Plant. 2017, 39, 1–13. [Google Scholar] [CrossRef]
- Beauchamp, C.; Fridovich, I. Superoxide dismutase: Improved assays and an assay applicable to acrylamide gels. Anal. Biochem. 1971, 44, 276–287. [Google Scholar] [CrossRef]
- Goth, L. A simple method for determination of serum catalase activity and revision of reference range. Clin. Chim. Acta. 1991, 196, 143–151. [Google Scholar] [CrossRef]
- Jia, L.; Xu, W.; Li, W.; Ye, N.; Liu, R.; Shi, L.; Bin Rahman, R.A.N.M.; Fan, M.; Zhang, J. Class III peroxidases are activated in proanthocyanidin-deficient Arabidopsis thaliana seeds. Ann. Bot. 2013, 111, 839–847. [Google Scholar] [CrossRef]
- Kukavica, B.; Morina, F.; Janjic, N.; Boroja, M.; Jovanović, L.; Veljović-Jovanović, S. Effects of mixed saline and alkaline stress on the morphology and anatomy of Pisum sativum L.: The role of peroxidase and ascorbate oxidase in growth regulation. Arch. Biol. Sci. 2013, 65, 265–278. [Google Scholar] [CrossRef]
- Singleton, V.L.; Orthofer, R.; Lamuela-Raventós, R.M. Analysis of total phenols and other oxidation substrates and anti-oxidants by means of folin-ciocalteu reagent. Meth. Enzymol. 1999, 299, 152–178. [Google Scholar] [CrossRef]
- Quettier-Deleu, C.; Gressier, B.; Vasseur, J.; Dine, T.; Brunet, C.; Luyckx, M.; Cazin, M.; Cazin, J.K.; Bailleul, F.; Trotin, F. Phenolic compounds and antioxidant activities of buckwheat (Fagopyrum esculentum Moench) hulls and flour. J. Ethnopharmacol. 2000, 72, 35–42. [Google Scholar] [CrossRef] [PubMed]
- Stanković, M.S.; Radić, Z.S.; Blanco-Salas, J.; Vázquez-Pardo, F.M.; Ruiz-Téllez, T. Screening of selected species from Spanish flora as a source of bioactive substances. Ind. Crops Prod. 2017, 95, 493–501. [Google Scholar] [CrossRef]
- Ding, F.; Wang, C.; Zhang, S.; Wang, M. A jasmonate-responsive glutathione S-transferase gene SlGSTU24 mitigates cold-induced oxidative stress in tomato plants. Sci. Hortic. 2022, 303, 111231. [Google Scholar] [CrossRef]
- Akula, R.; Ravishankar, G.A. Influence of abiotic stress signals on secondary metabolites in plants. Plant Signal. Behav. 2011, 6, 1720–1731. [Google Scholar] [CrossRef]
- Szymańska, R.; Ślesak, I.; Orzechowska, A.; Kruk, J. Physiological and biochemical responses to high light and temperature stress in plants. Environ. Exp. Bot. 2017, 139, 165–177. [Google Scholar] [CrossRef]
- Bose, B.; Kumaria, S.; Tandon, P. Physiological insights into the role of temperature and light conditions on in vitro growth, embrane thermostability and antioxidative activity of Nardostachys jatamansi, an IUCN Red-listed critically endangered therapeutic plant. S. Afr. J. Bot. 2022, 146, 365–374. [Google Scholar] [CrossRef]
- Lukatkin, A.S.; Brazaitytė, A.; Bobinas, Č.; Duchovskis, P. Chilling injury in chilling-sensitive plants: A review. Agriculture 2012, 99, 111–124. [Google Scholar]
- Liu, L.; Ji, H.; An, J.; Shi, K.; Ma, J.; Liu, B.; Tang, L.; Cao, W.; Zhu, Y. Response of biomass accumulation in wheat to low-temperature stress at jointing and booting stages. Environ. Exp. Bot. 2019, 157, 46–57. [Google Scholar] [CrossRef]
- Hussain, H.A.; Hussain, S.; Khaliq, A.; Ashraf, U.; Anjum, S.A.; Men, S.; Wang, L. Chilling and drought stresses in crop plants: Implications, cross talk, and potential management opportuni-ties. Front. Plant Sci. 2018, 9, 393. [Google Scholar] [CrossRef]
- Li, Z.; Xu, J.; Gao, Y.; Wang, C.; Guo, G.; Luo, Y.; Huang, Y.; Hu, W.; Sheteiwy, M.S.; Guan, Y.; et al. The synergistic priming effect of exogenous salicylic acid and H2O2 on chilling tolerance enhancement during maize (Zea mays L.) seed germination. Front. Plant Sci. 2017, 8, 1153. [Google Scholar] [CrossRef] [PubMed]
- Hussain, S.; Khan, F.; Hussain, H.A.; Nie, L. Physiological and biochemical mechanisms of seed priming-induced chilling tolerance in rice cultivars. Front. Plant Sci. 2016, 7, 116. [Google Scholar] [CrossRef] [PubMed]
- Feghhenabi, F.; Hadi, H.; Khodaverdiloo, H.; Van Genuchten, M.T. Seed priming alleviated salinity stress during germination and emergence of wheat (Triticum aestivum L.). Agric. Water Manag. 2020, 231, 106022. [Google Scholar] [CrossRef]
- Jame, Y.W.; Cutforth, H.W. Simulating the effects of temperature and seeding depth on germination and emergence of spring wheat. Agric. For Meteorol. 2004, 124, 207–218. [Google Scholar] [CrossRef]
- Valluru, R.; Link, J.; Claupein, W. Consequences of early chilling stress in two Triticum species: Plastic responses and adaptive significance. Plant Biol. 2012, 14, 641–651. [Google Scholar] [CrossRef]
- Li, X.; Cai, J.; Liu, F.; Zhou, Q.; Dai, T.; Cao, W.; Jiang, D. Wheat plants exposed to winter warming are more susceptible to low temperature stress in the spring. Plant Growth Regul. 2015, 77, 11–19. [Google Scholar] [CrossRef]
- Fodorpataki, L.; Molnar, K.; Tompa, B.; Plugaru, S.R. Priming with vitamin U enhances cold tolerance of lettuce (Lactuca sativa L.). Not. Bot. Horti Agrobot. Cluj-Napoca 2019, 47, 592. [Google Scholar] [CrossRef]
- Iqbal, M.; Ashraf, M. Gibberellic acid mediated induction of salt tolerance in wheat plants: Growth, ionic partitioning, photosynthesis, yield and hormonal homeostasis. Environ. Exp. Bot. 2013, 86, 76–85. [Google Scholar] [CrossRef]
- Chauhan, A.; AbuAmarah, B.A.; Kumar, A.; Verma, J.S.; Ghramh, H.A.; Khan, K.A.; Ansari, M.J. Influence of gibberellic acid and different salt concentrations on germination percentage and physiological parameters of oat cultivars. Saudi J. Biol. Sci. 2019, 26, 1298–1304. [Google Scholar] [CrossRef]
- Iftikhar, A.; Ali, S.; Yasmeen, T.; Arif, M.S.; Zubair, M.; Rizwan, M.; Alhaithloul, H.A.S.; Alayafi, A.A.M.; Soliman, M.H. Effect of gibberellic acid on growth, photosynthesis and antioxidant defense system of wheat under zinc oxide nanoparticle stress. Environ. Pollut. 2019, 254, 113109. [Google Scholar] [CrossRef]
- Khan, M.N.; Khan, Z.; Luo, T.; Liu, J.; Rizwan, M.; Zhang, J.; Xu, Z.; Wu, H.; Hu, L. Seed priming with gibberellic acid and melatonin in rapeseed: Consequences for improving yield and seed quality under drought and non-stress conditions. Ind. Crops Prod. 2020, 156, 112850. [Google Scholar] [CrossRef]
- Ali, L.G.; Nulit, R.; Ibrahim, M.H.; Yien, C.Y.S. Efficacy of KNO3, SiO2 and SA priming for improving emergence, seedling growth and antioxidant enzymes of rice (Oryza sativa), under drought. Sci. Rep. 2021, 11, 1–11. [Google Scholar] [CrossRef] [PubMed]
- Phua, S.Y.; De Smet, B.; Remacle, C.; Chan, K.X.; Van Breusegem, F. Reactive oxygen species and organellar signaling. J. Exp. Bot. 2021, 72, 5807–5824. [Google Scholar] [CrossRef] [PubMed]
- Gill, S.S.; Tuteja, N. Reactive oxygen species and antioxidant machinery in abiotic stress tolerance in crop plants. Plant Physiol. Biochem. 2010, 48, 909–930. [Google Scholar] [CrossRef]
- Yu, X.; Shoaib, M.; Cheng, X.; Cui, Y.; Hussain, S.; Yan, J.; Zhou, J.; Chen, Q.; Gu, Y.; Zou, L.; et al. Role of rhizobia in promoting non-enzymatic antioxidants to mitigate nitrogen-deficiency and nickel stresses in Pongamia pinnata. Ecotoxicol. Environ. Saf. 2022, 241, 113789. [Google Scholar] [CrossRef]
- Khan, M.N.; Zhang, J.; Luo, T.; Liu, J.; Rizwan, M.; Fahad, S.; Xu, Z.; Hu, L. Seed priming with melatonin coping drought stress in rapeseed by regulating reactive oxygen species detoxification: Antioxidant defense system, osmotic adjustment, stomatal traits and chloroplast ultrastructure perseveration. Ind. Crops Prod. 2019, 140, 111597. [Google Scholar] [CrossRef]
- Zulfiqar, F. Effect of seed priming on horticultural crops. Sci. Hortic. 2021, 286, 110197. [Google Scholar] [CrossRef]
- Li, L.; Li, J.; Shen, M.; Zhang, C.; Dong, Y. Cold plasma treatment enhances oilseed rape seed germination under drought stress. Sci. Rep. 2015, 5, 1–10. [Google Scholar] [CrossRef]
- Ashraf, M.A.; Rasheed, R.; Hussain, I.; Hafeez, A.; Adrees, M.; ur Rehman, M.Z.; Rizwan, M.; Ali, S. Effect of different seed priming agents on chromium accumulation, oxidative defense, glyoxalase system and mineral nutrition in canola (Brassica napus L.) cultivars. Environ. Pollut. 2022, 309, 119769. [Google Scholar] [CrossRef]
- Moori, S.; Ahmadi-Lahijani, M.J. Hormopriming instigates defense mechanisms in Thyme (Thymus vulgaris L.) seeds under cadmium stress. J. Appl. Res. Med. Aromat. Plants 2020, 19, 100268. [Google Scholar] [CrossRef]
- Nawaz, A.; Amjad, M.; Jahangir, M.M.; Khan, S.M.; Cui, H.; Hu, J. Induction of salt tolerance in tomato (’Lycopersicon esculentum’ Mill.) seeds through sand priming. Aust. J. Crop Sci. 2012, 6, 1199–1203. [Google Scholar]
- Ahmad, P.; Jaleel, C.A.; Salem, M.A.; Nabi, G.; Sharma, S. Roles of enzymatic and nonenzymatic antioxidants in plants during abiotic stress. Crit. Rev. Biotechnol. 2010, 30, 161–175. [Google Scholar] [CrossRef]
- Zhang, Y.; Zhou, X.; Dong, Y.; Zhang, F.; He, Q.; Chen, J.; Zhu, S.; Zhao, T. Seed priming with melatonin improves salt tolerance in cotton through regulating photosynthesis, scavenging reactive oxygen species and coordinating with phytohormone signal pathways. Ind. Crops Prod. 2021, 169, 113671. [Google Scholar] [CrossRef]
- Liu, L.; Li, H.; Li, N.; Li, S.; Guo, J.; Li, X. Parental salt priming improves the low temperature tolerance in wheat offspring via modulating the seed proteome. Plant Sci. 2022, 324, 111428. [Google Scholar] [CrossRef] [PubMed]
- Ali, Q.; Daud, M.K.; Haider, M.Z.; Ali, S.; Rizwan, M.; Aslam, N.; Noman, A.; Iqbal, N.; Shahzad, F.; Deeba, F.; et al. Seed priming by sodium nitroprusside improves salt tolerance in wheat (Triticum aestivum L.) by enhancing physiological and biochemical parameters. Plant Physiol. Biochem. 2017, 119, 50–58. [Google Scholar] [CrossRef]
- Nasri, N.; Kaddour, R.; Mahmoudi, H.; Baatour, O.; Bouraoui, N.; Lachaâl, M. The effect of osmopriming on germination, seedling growth and phosphatase activities of lettuce under saline condition. Afr. J. Biotechnol. 2011, 10, 14366–14372. [Google Scholar] [CrossRef]
- Mohamed, A.A.; Castagna, A.; Ranieri, A.; di Toppi, L.S. Cadmium tolerance in Brassica juncea roots and shoots is affected by antioxidant status and phytochelatin biosynthesis. Plant Physiol. Biochem. 2012, 57, 15–22. [Google Scholar] [CrossRef] [PubMed]
- Thakur, M.; Bhattacharya, S.; Khosla, P.K.; Puri, S. Improving production of plant secondary metabolites through biotic and abiotic elicitation. J. Appl. Res. Med. Aromat. Plants 2019, 12, 1–12. [Google Scholar] [CrossRef]
- Sun, C.; Jin, L.; Cai, Y.; Huang, Y.; Zheng, X.; Yu, T. L-Glutamate treatment enhances disease resistance of tomato fruit by inducing the expression of glutamate receptors and the accumulation of amino acids. Food Chem. 2019, 293, 263–270. [Google Scholar] [CrossRef]
- Lopez-Orenes, A.; Bueso, M.C.; Conesa, H.; Calderón, A.A.; Ferrer, M.A. Seasonal ionomic and metabolic changes in Aleppo pines growing on mine tailings under Mediterranean semi-arid climate. Sci. Total Environ. 2018, 637, 625–635. [Google Scholar] [CrossRef] [PubMed]
- Álvarez-Robles, M.J.; Clemente, R.; Ferrer, M.A.; Calderón, A.; Bernal, M.P. Effects of ascorbic acid addition on the oxidative stress response of Oryza sativa L. plants to As (V) exposure. Plant Physiol. Biochem. 2022, 186, 232–241. [Google Scholar] [CrossRef] [PubMed]
- Ashraf, R.; Sultana, B.; Riaz, S.; Mushtaq, M.; Iqbal, M.; Nazir, A.; Atif, M.; Zafar, Z. Fortification of phenolics, antioxidant activities and biochemical attributes of radish root by plant leaf extract seed priming. Biocatal. Agric. Biotechnol. 2018, 16, 115–120. [Google Scholar] [CrossRef]
- Hatami, M.; Khanizadeh, P.; Bovand, F.; Aghaee, A. Silicon nanoparticle-mediated seed priming and Pseudomonas spp. inoculation augment growth, physiology and antioxidant metabolic status in Melissa officinalis L. plants. Ind. Crops Prod. 2021, 162, 113238. [Google Scholar] [CrossRef]
- Wang, X.; Zhang, X.; Hou, H.; Ma, X.; Sun, S.; Wang, H.; Kong, L. Metabolomics and gene expression analysis reveal the accumulation patterns of phenylpropanoids and flavonoids in different colored-grain wheats (Triticum aestivum L.). Food Res. Int. 2020, 138, 109711. [Google Scholar] [CrossRef]
- Kowalska, I.; Mołdoch, J.; Pawelec, S.; Podolska, G.; von Cossel, M.; Derycke, V.; Haesaert, G.; Lana, M.A.; da Silva Lopes, M.; Riche, A.B.; et al. Environmental and cultivar variability in composition, content and biological activity of phenolic acids and alkylresorcinols of winter wheat grains from a multi-site field trial across Europe. J. Cereal Sci. 2022, 107, 103527. [Google Scholar] [CrossRef]
- Ma, D.; Wang, C.; Feng, J.; Xu, B. Wheat grain phenolics: A review on composition, bioactivity, and influencing factors. J. Sci. Food Agric. 2021, 101, 6167–6185. [Google Scholar] [CrossRef]
- Shamloo, M.; Babawale, E.A.; Furtado, A.; Henry, R.J.; Eck, P.K.; Jones, P.J. Effects of genotype and temperature on accumulation of plant secondary metabolites in Canadian and Australian wheat grown under controlled environments. Sci. Rep. 2017, 7, 9133. [Google Scholar] [CrossRef]
- Mrid, R.B.; Benmrid, B.; Hafsa, J.; Boukcim, H.; Sobeh, M.; Yasri, A. Secondary metabolites as biostimulant and bioprotectant agents: A review. Sci. Total Environ. 2021, 777, 146204. [Google Scholar] [CrossRef]
- Mnafgui, W.; Hajlaoui, H.; Rizzo, V.; Muratore, G.; Elleuch, A. Priming with EDTA, IAA and Fe alleviates Pb toxicity in Trigonella Foneum graecum L. growth: Phytochemicals and secondary metabolites. J. Biotechnol. 2022, 356, 42–50. [Google Scholar] [CrossRef]
- Mahmood, S.; Wahid, A.; Azeem, M.; Zafar, S.; Bashir, R.; Sharif, O.; Ali, S. Tyrosine or lysine priming modulated phenolic metabolism and improved cadmium stress tolerance in mung bean (Vigna radiata L.). S. Afr. J. Bot. 2022, 149, 397–406. [Google Scholar] [CrossRef]
- Abotaleb, M.; Liskova, A.; Kubatka, P.; Büsselberg, D. Therapeutic potential of plant phenolic acids in the treatment of cancer. Biomolecules 2020, 10, 221. [Google Scholar] [CrossRef] [PubMed]




| Treatments | Root Length | Shoot Length | Fresh Weitgh | Dry Weitgh | SLVI | SWVI |
|---|---|---|---|---|---|---|
| Control | 8.39 ± 0.23 c | 9.43 ± 0.12 f | 99.00 ± 0.00 e | 19.30 ± 0.00 c | 1728.00 ± 0.00 e | 9.90 ± 0.00 h |
| GA3 | 10.11 ± 0.20 ab | 15.90 ± 0.23 a | 126.00 ± 0.00 bc | 22.10 ± 0.00 b | 2572.13 ± 28.87 a | 12.46 ± 0.14 cd |
| IAA | 9.56 ± 0.27 abc | 13.70 ± 0.27 b | 135.00 ± 0.00 ab | 20.60 ± 0.00 bc | 2326.00 ± 0.00 b | 13.50 ± 0.00 b |
| MgSO4 | 10.41 ± 0.37 a | 11.80 ± 0.21 c | 124.00 ± 0.00 bcd | 21.40 ± 0.00 bc | 2194.57 ± 26.43 c | 12.25 ± 0.15 de |
| KNO3 | 9.89 ± 0.31 ab | 11.79 ± 0.15 c | 146.00 ± 0.00 a | 25.50 ± 0.00 a | 2168.00 ± 0.00 c | 14.60 ± 0.00 a |
| AA | 10.71 ± 0.26 a | 11.17 ± 0.21 cd | 129.00 ± 0.00 bc | 21.50 ± 0.00 bc | 2162.84 ± 25.16 c | 12.75 ± 0.15 c |
| H2O2 | 8.61 ± 0.31 c | 10.15 ± 0.25 ef | 112.00 ± 0.00 de | 19.30 ± 0.00 c | 1854.43 ± 24.57 e | 11.07 ± 0.13 f |
| H2O | 9.04 ± 0.26 bc | 10.55 ± 0.15 de | 119.00 ± 0.00 cd | 21.70 ± 0.00 b | 1959.00 ± 0.00 d | 11.90 ± 0.00 e |
| Treatments | Total Soluble Proteins | MDA |
|---|---|---|
| Control | 98.51 ± 2.19 d | 7.84 ± 0.06 c |
| GA3 | 137.40 ± 5.93 bc | 4.55 ± 0.17 ab |
| IAA | 156.07 ± 1.39 ab | 4.35 ± 0.39 a |
| MgSO4 | 172.96 ± 7.15 a | 4.94 ± 0.06 ab |
| KNO3 | 119.84 ± 1.18 cd | 5.03 ± 0.34 ab |
| AA | 165.40 ± 4.73 a | 5.42 ± 0.11 b |
| H2O2 | 128.96 ± 6.94 c | 5.03 ± 0.11 ab |
| H2O | 136.07 ± 8.67 bc | 4.65 ± 0.00 ab |
| Treatments | Total Phenolic Content | Total Flavonoids |
|---|---|---|
| Control | 19.28 ± 0.17 b | 25.39 ± 0.02 e |
| GA3 | 20.51 ± 0.30 b | 26.45 ± 0.02 bcd |
| IAA | 19.80 ± 0.43 b | 26.41 ± 0.12 cd |
| MgSO4 | 20.13 ± 0.48 b | 26.35 ± 0.03 d |
| KNO3 | 22.50 ± 0.65 a | 26.61 ± 0.02 acd |
| AA | 21.17 ± 0.34 ab | 26.74 ± 0.05 ab |
| H2O2 | 19.23 ± 0.14 b | 26.88 ± 0.03 a |
| H2O | 20.84 ± 0.42 ab | 26.66 ± 0.10 abc |
| Extract Concentration (μg mL−1) | Treatments | |||||||
|---|---|---|---|---|---|---|---|---|
| Control | GA3 | IAA | MgSO4 | KNO3 | AA | H2O2 | H2O | |
| 500 | 51.23 ± 0.24 d | 45.90 ± 0.83 e | 51.43 ± 0.12 cd | 52.25 ± 0.95 cd | 61.89 ± 0.71 a | 56.66 ± 1.01 b | 54.71 ± 0.47 bc | 57.17 ± 0.47 b |
| 250 | 29.82 ± 0.65 e | 29.51 ± 0.47 e | 31.35 ± 0.24 de | 31.97 ± 0.35 d | 39.04 ± 0.53 a | 34.12 ± 0.30 bc | 33.09 ± 0.4 cd | 35.45 ± 0.36 b |
| 125 | 23.67 ± 0.18 d | 23.26 ± 0.10 d | 23.87 ± 0.18 d | 23.97 ± 0.12 cd | 26.74 ± 0.53 a | 24.08 ± 0.10 cd | 25.10 ± 0.10 bc | 25.72 ± 0.30 ab |
| 62.5 | 20.59 ± 0.41 b | 20.90 ± 0.12 b | 21.11 ± 0.12 b | 21.62 ± 0.30 ab | 22.54 ± 0.12 a | 21.72 ± 0.24 ab | 21.41 ± 0.30 ab | 21.00 ± 0.41 b |
| 31.25 | 18.85 ± 0.71a | 19.26 ± 0.12 a | 19.98 ± 0.10 a | 19.98 ± 0.18 a | 20.29 ± 0.12 a | 19.88 ± 0.35 a | 19.57 ± 0.30 a | 19.47 ± 0.35 a |
| 15.62 | 17.32 ± 0.89 a | 18.75 ± 0.18 a | 19.26 ± 0.12 a | 19.16 ± 0.30 a | 19.16 ± 0.30 a | 18.65 ± 0.24 a | 18.34 ± 0.18 a | 18.44 ± 0.47 a |
| 7.81 | 17.11 ± 0.89 a | 18.55 ± 0.18 a | 19.06 ± 0.12 a | 18.65 ± 0.24 a | 18.55 ± 0.30 a | 18.44 ± 0.24 a | 18.03 ± 0.24 a | 17.93 ± 0.53 a |
| 3.9 | 16.60 ± 0.71 b | 18.24 ± 0.24 ab | 18.85 ± 0.12 a | 18.44 ± 0.24 a | 18.34 ± 0.30 ab | 18.24 ± 0.24 ab | 17.83 ± 0.24 ab | 17.73 ± 0.53 ab |
| 1.9 | 16.29 ± 0.77 b | 18.03 ± 0.24 ab | 18.55 ± 0.10 a | 18.24 ± 0.24 a | 18.14 ± 0.30 ab | 18.03 ± 0.24 ab | 17.62 ± 0.24 ab | 17.32 ± 0.53 ab |
| 0.97 | 15.98 ± 0.83 b | 17.52 ± 0.18ab | 17.21 ± 0.12 ab | 17.62 ± 0.24 ab | 17.93 ± 0.30 a | 17.73 ± 0.18 ab | 17.42 ± 0.24 ab | 17.11 ± 0.53 ab |
| Compound | Treatments | |||||||
|---|---|---|---|---|---|---|---|---|
| Control | GA3 | IAA | MgSO4 | KNO3 | AA | H2O2 | H2O | |
| Gallic acid | 0.32 ± 0.05 d | 0.46 ± 0.05 ab | 0.23 ± 0.02 c | 0.29 ± 0.01 cd | 0.46 ± 0.03 abd | 0.34 ± 0.04 bc | 0.27 ± 0.00 c | 0.57 ± 0.03 a |
| 3.4-DHBA | # nd | nd | nd | nd | nd | nd | nd | nd |
| 3.5-DHBA | nd | nd | nd | nd | nd | nd | nd | nd |
| 4-HBA | 0.06 ± 0.01 d | 0.77 ± 0.01 a | 0.42 ± 0.07 b | 0.27 ± 0.05 bc | 0.32 ± 0.03 bc | 0.20 ± 0.01 cd | 0.25 ± 0.05 bc | 0.38 ± 0.01 b |
| Catechin | 6.80 ± 0.33 bc | 6.59 ± 0.62 c | 8.46 ± 0.80 bc | 6.52 ± 0.16 c | 8.26 ± 0.45 bc | 8.74 ± 0.18 b | 8.53 ± 0.13 bc | 10.9 ± 0.24 a |
| Chlorogenic acid | 0.34 ± 0.12 b | 3.77 ± 0.56 a | 2.95 ± 0.32 a | 3.98± 0.19 a | 3.56± 0.22 a | 0.39 ± 0.14 b | 0.23 ± 0.01 b | 0.31 ± 0.03 b |
| Caffeic acid | 1.11 ± 0.10 ab | 0.42 ± 0.10 c | 1.31 ± 0.18 a | 0.43 ± 0.08 c | 0.24 ± 0.10 c | 0.93 ± 0.01 ab | 0.70 ± 0.03 bc | 1.19 ± 0.09 a |
| Syringic acid | nd | nd | nd | nd | nd | nd | nd | nd |
| Epicatechin | 0.37 ± 0.10 acd | 0.54 ± 0.03 ab | 0.51 ± 0.14 ac | 0.27 ± 0.07 bcd | 0.09 ± 0.03 d | 0.18 ± 0.06 cd | 0.38 ± 0.02 acd | 0.64 ± 0.01a |
| p-Coumaric acid | 0.69 ± 0.07 ab | 0.69 ± 0.01 ab | 0.26 ± 0.10 c | 0.55 ± 0.05 b | 0.63 ± 0.06 ab | 0.84 ± 0.02 a | 0.69 ± 0.02 ab | 0.85 ± 0.04 a |
| Ferulic acid | 7.06 ± 0.33 a | 1.41 ± 0.11 e | 0.31 ± 0.19 f | 4.30 ± 0.13 d | 6.57 ± 0.1 ab | 6.12 ± 0.02 bc | 5.53 ± 0.11 c | 6.55 ± 0.19 ab |
| Sinapic acid | 0.83 ± 0.02 cd | 0.33 ± 0.01 d | 0.37 ± 0.23 d | 1.07 ± 0.22 bc | 1.37 ± 0.18 abc | 1.69 ± 0.06 ab | 1.33 ± 0.06 abc | 1.77 ± 0.03 a |
| Rutin | 1.20 ± 0.03 bcd | 1.03 ± 0.10 cd | 0.37 ± 0.06 d | 2.35 ± 0.42 ab | 2.73 ± 0.50 a | 2.25 ± 0.19 abc | 1.99 ± 0.15 abc | 3.10 ± 0.08 a |
| Naringin | 1.72 ± 0.38 d | 5.41 ± 0.34 a | 3.67 ± 0.08 b | 2.23 ± 0.07 cd | 2.68 ± 0.15 c | 2.82 ± 0.05 bc | 2.56 ± 0.05 cd | 2.90 ± 0.05 bc |
| Myricetin | nd | nd | nd | nd | nd | nd | nd | nd |
| Quercetin | 0.17 ± 0.02 d | 0.65 ± 0.01 a | 0.18 ± 0.02 d | 0.26 ± 0.02 cd | 0.27 ± 0.02 cd | 0.38 ± 0.05 bc | 0.42 ± 0.03 b | 0.47 ± 0.01 b |
| Naringenin | nd | nd | nd | nd | nd | nd | nd | nd |
| Apigenin | nd | nd | nd | nd | nd | nd | nd | nd |
| Crysin | nd | nd | nd | nd | nd | nd | nd | nd |
Disclaimer/Publisher’s Note: The statements, opinions and data contained in all publications are solely those of the individual author(s) and contributor(s) and not of MDPI and/or the editor(s). MDPI and/or the editor(s) disclaim responsibility for any injury to people or property resulting from any ideas, methods, instructions or products referred to in the content. |
© 2022 by the authors. Licensee MDPI, Basel, Switzerland. This article is an open access article distributed under the terms and conditions of the Creative Commons Attribution (CC BY) license (https://creativecommons.org/licenses/by/4.0/).
Share and Cite
Kanjevac, M.; Bojović, B.; Ćirić, A.; Stanković, M.; Jakovljević, D. Seed Priming Improves Biochemical and Physiological Performance of Wheat Seedlings under Low-Temperature Conditions. Agriculture 2023, 13, 2. https://doi.org/10.3390/agriculture13010002
Kanjevac M, Bojović B, Ćirić A, Stanković M, Jakovljević D. Seed Priming Improves Biochemical and Physiological Performance of Wheat Seedlings under Low-Temperature Conditions. Agriculture. 2023; 13(1):2. https://doi.org/10.3390/agriculture13010002
Chicago/Turabian StyleKanjevac, Milica, Biljana Bojović, Andrija Ćirić, Milan Stanković, and Dragana Jakovljević. 2023. "Seed Priming Improves Biochemical and Physiological Performance of Wheat Seedlings under Low-Temperature Conditions" Agriculture 13, no. 1: 2. https://doi.org/10.3390/agriculture13010002
APA StyleKanjevac, M., Bojović, B., Ćirić, A., Stanković, M., & Jakovljević, D. (2023). Seed Priming Improves Biochemical and Physiological Performance of Wheat Seedlings under Low-Temperature Conditions. Agriculture, 13(1), 2. https://doi.org/10.3390/agriculture13010002

