Abstract
The pine shoot beetles Tomicus minor and Tomicus yunnanensis are important stem borers of Pinus yunnanensis in southwestern China. To determine strategies for cold resistance and changes in major cold-resistant substances in adults of two Tomicus species during two critical transferring periods, “shoot-to-trunk” and “trunk-to-shoot”, the insects’ supercooling point (SCP), freezing point (FP), and antifreeze protective substances were determined. The SCP and FP did not differ between female and male adults in the shoot-to-trunk phase, but were significantly lower in females in the trunk-to-shoot period. Although there was no difference in the SCP and FP between the two Tomicus species adults, both indexes were significantly lower in the shoot-to-trunk period than in the trunk-to-shoot period. The trehalose content in females of two Tomicus species was significantly lower than that in males in the trunk-to-shoot period, and the protein, glycerol, glycogen, fat, and sorbitol contents were different between the species in the same period. The protein and water content in adults of both species were significantly lower in the shoot-to-trunk period than in the trunk-to-shoot period, but the content of glycerol, trehalose, water, sorbitol, glycogen, and fat content were significantly higher in the shoot-to-trunk. Different types of cold-resistant substances regulating sex, species, and developmental stages were found, and the most abundant were cold-resistant substances regulating developmental stages.
1. Introduction
The pine shoot beetles in the genus Tomicus Latreille (Coleoptera, Curculionidae, Scolytinae) are important borer insects in Pinus plants [1]. Among them, Tomicus minor Hartig and Tomicus yunnanensis Kirkendall and Faccoli are well-known pests infesting Pinus yunnanensis in southwestern China. T. yunnanensis in southwestern China was previously recognized as a member of T. piniperda, but molecular examination revealed that it was genetically distinct from other populations and it was formally described as a new species. This species is an unusually highly aggressive pine shoot beetle [1,2]. In southwestern China, both T. minor and T. yunnanensis are sympatric and can colonize shoots and trunks of the same individual P. yunnanensis, seriously decimating over 200,000 ha of pine forest in Yunnan for almost three decades [3,4]. Tomicus adults damage trees in two stages, shoot-feeding and trunk-breeding; the former is a period of maturation feeding, in which newly emerged adults tunnel in branch tips until sexual maturity from April to October every year [5,6], and the latter is also known as the trunk-to-shoot period. T. yunnanensis reproduces from early November to March of the following year, whereas T. minor starts to reproduce about 1–2 weeks later, from late November to late March or early April, and usually only infests trees that are already infested by T. yunnanensis [7]. The gap between the two damage stages is the transferring period, which is also the key period for prevention and control, especially the shoot-to-trunk and the trunk-to-shoot periods. The peak times in both sexes of T. minor were later than in T. yunnanensis during the transferring phase from shoot-to-trunk [8]. The peak of T. yunnanensis in the shoot-to-trunk period was around the second half of February, and that for T. minor was around the first half of March [9].
Insects are ectothermic and are usually affected by ambient temperature. Insects in temperate regions usually adjust their own temperature to resist subzero temperatures. The cold tolerance of insects determines their survival, reproduction, and population continuation [10,11]. Measuring the supercooling point (SCP) and freezing point (FP) is a common and reliable procedure to determine cold tolerance strategies of insects [12]. The SCP of an insect is the temperature at which the body temperature is below the FP while biofluids remain liquid, while the FP is the temperature at which the biofluid freezes [13]. Previous studies have shown that insect cold resistance is related to specific developmental stages, seasonal environmental changes, and genetic factors [14]. For example, the pine beetle, Dendroctonus armandi could adjust its own cold tolerance to adapt to changes in environmental temperature [15], while the overwintering larvae and adults of D. valens (LeConte) could improve its cold tolerance by lowering its own SCP [16]. Insects have developed sophisticated biochemical strategies for adapting to low temperatures; the relative contents of water, fat, protein, and some cryoprotectants, such as trehalose, glycerol, sorbitol, and amino acids in both freeze-tolerant and freeze-intolerant insects species are closely related to their cold tolerance [17]. Increases in lipids and glycerol content to improve cold tolerance [13], and a decrease in water content in the body, favors a decrease in the SCP and FP [18]. When insects encounter low temperatures or enter the overwintering period, they reduce their activity to reduce their metabolic rate and only consume their accumulated energy substances (fat, sugar, etc.) to meet their basic physiological and biochemical metabolic needs [19].
In recent years, global temperatures have been rising and extreme climates have become more common; the southwest of China has suffered many extremely low temperatures in the winter. The cold-resistant abilities of Tomicus spp. in different sexes, different species, and different developmental stages, as well as the corresponding changes in their cold resistance strategies remain unclear. These factors play an important role in the occurrence of these insects, as well as in formulating research-based control measures [16,20]. In the current study, the SCP and FP of adults of two Tomicus spp. were investigated during the transferring period from the shoot-to-trunk and trunk-to-shoot phases: subsequently, the water, fat, glycerol, glycogen, trehalose, and sorbitol contents at the corresponding stages were determined. This study intended to provide a theoretical basis for studying the potential distribution, competitive abilities, and low-temperature control of these two Tomicus species.
2. Materials and Methods
2.1. Insects Collection and Rearing
Adults of T. minor and T. yunnanensis were collected from Pupeng Town, Xiangyun County, Dali Autonomous Prefecture Province, Yunnan Province, China (25°20′25.96″ N, 100°54′31.43″ E). Individuals were collected in the shoot-to-trunk period from November to December 2021. The damaged branches of P. yunnanensis containing the pine shoot beetles were placed in 50 mL centrifuge tubes with air holes and brought back to the laboratory for further study. The collection time in the trunk-to-shoot period was from April to May 2022. For this, the trunks of P. yunnanensis infested by the two species were cut into about 1-metre-long logs, which were sealed with wax at both ends and transported back to the Forest Conservation Laboratory in the forestry of Guizhou University. Before testing, the two Tomicus spp. were separated according to species and sex using a stereomicroscope (Nikon-smz 500, Nikon, Tokyo, Japan) based on the morphological characteristics reported by Wang et al. [21,22]. The insects were reared in an artificial climate chamber (RXZ–380A–LED, Aucama, Qingdao, China) at 25 ± 1 ℃, with illumination of 3000 LX, a 14:10 h light:dark photoperiod, and relative humidity of 65% ± 5%.
2.2. Determination of the SCP and FP
To study the insects’ cold tolerance, we analyzed three experimental comparisons: (1) different sexes of the two Tomicus species, (2) different species (T. minor and T. yunnanensis) and (3) different developmental stages, namely the shoot-to-trunk and trunk-to-shoot periods. In each comparison, healthy female and male adults (F:M, 1:1; n = 50). The SCP and FP of adults beetles were determined using the thermocouple method (SUN-V intelligent insect supercooling point tester; Pengcheng Electronic Technology Center of Beijing, China). The abdomens of individuals were fixed on a temperature-sensitive probe with transparent adhesive tape, and the probe was wrapped with absorbent cotton to prevent rapid cooling of the insect body and placed into a programmable refrigerator (DW-40L525; Aucama, Qingdao, China). The temperature was lowered at a rate of 0.5 ℃ per minute from 20 ℃ to the desired temperatures. The temperature at which the insects started to freeze was taken as the SCP. After insects freeze, they release heat, which can be seen shown as a jump in the temperature curve, and this peak was considered the FP. The data were recorded automatically using software, and the curves were magnified to obtain clear turning points (SCP) and peak points (FP).
2.3. Measurement of the Biochemical Substances
2.3.1. Water Content and Fat Content
The fat content and water content were determined using the chloroform–methanol method [23]; 1.5 mL centrifuges tubes were numbered and weighed (W) using an electronic balance (d = 0.0001 g, PR124ZH/E; Ohouse Instruments [Changzhou] Co., Ltd., Changzhou, China). Twenty individuals (10 male, 10 female) were placed into the tubes, and their wet weight (fresh weight, FW) was measured; after being placed into an oven at 60 °C for 48 h (WGL-30B Taisite, Tianjin, China), the dried weight (dry weight, DW) was measured. After this treatment, ten 2 mm grinding beads were added to each centrifuge tube with 0.2 mL of a 2:1 chloroform:methanol mixture, and the insect bodies were homogenized using a fully automatic sample freeze-grinding instrument (JXFSTPRP-CL, Jingxin, Shanghai, China). The samples were mixed and centrifuged for 10 min (10,000 r/min) (Centrifuge 5418 R, Eppendorf, Hamburg, Germany) after adding 0.8 mL of the mixed liquid. The supernatant was removed, and 1 mL of the liquid mixture was added to the supernatant. Centrifuge tubes with precipitates were dried and placed in an oven at 60 ℃ for 24 h to determine the lean dry weight (LDW).
2.3.2. Glycerol Content
For the respective methods used to make oxidants, color reagents, and the glycerol standard curve, refer to Wu et al. [24]. Twenty individuals (10 male, 10 female) of the treated pine shoot beetles were placed into the centrifuge tubes and weighed (W2). Ten 2-mm grinding beads were added with 200 μL of pure water, and the homogenate was ground using a frozen grinder. Then 1300 μL of pure water were added, the contents were mixed thoroughly, and centrifuged at 10,000 r/min for 10 min. The supernatant was then removed. According to the methods of measuring standard liquid, the glycerol content can be obtained from the standard curve according to the optical density (OD) value of the measured liquid.
2.3.3. Glycogen Trehalose and Sorbitol Content
After the same pretreatment described in Section 2.2., twenty individuals (10 male, 10 female) were weighed with an electronic balance and placed into tubes. The contents of glycogen, trehalose, and sorbitol were determined using a Spectrophotometer kit (ZT-2-Y; Suzhou Comin biotechnology Co., Ltd., Suzhou, China). An anthrone colorimetry method was adopted to determine trehalose concentrations. The principle behind determining sorbitol content is that sorbitol can form a blue complex with Cu2+ in alkaline solution. Glycogen was extracted using a strong alkali solution and measured under strong acid conditions using anthrone. This compound has a specific absorption peak at 620 nm after grinding, extraction, quiescence, centrifugation, boiling and cooling.
2.3.4. Protein Concentration
After the same pretreatment described in Section 2.2., twenty adults (10 male, 10 female) were sampled. The adults were weighed using an electronic balance and placed into tubes. Protein concentrations were determined using a microplate Elisa kit (Nanjing Jiancheng Bioengineering Institute, Nanjing, China). Cu2+ can be reduced to Cu2+ in alkaline conditions, and Cu2+ can react with BCA reagents and form a purple complex. This substance has a specific absorption peak at 562 nm after grinding, extraction, quiescence, centrifugation, and a 30 min incubation.
The determination of fat content was replicated five times, and the determination of other substances was replicated six times per treatment, with ten male and ten female adults in each replication.
2.4. Statistical Analyses
The data were processed using SPSS (v24.0; IBM Corp., Armonk, NY, USA) software; independent-samples t-tests (p < 0.05) were used for data with normal distributions and equal variances, and the Mann–Whitney U test (p < 0.05) was used as a nonparametric test for data with non-normal distribution or uneven variances. The SCP and FP were compared between female and male adults between the two periods and between the two Tomicus species in each period. The contents of cold-resistant substances were normally distributed, and the Mann-Whitney U test (p < 0.05) was used for their comparison. At the same period, the changes in cold-resistant substances in the two Tomicus species were normally distributed, and the independent-sample t-test (p < 0.05) was used to compare these. Origin 2018 software (Origin Lab, Northampton, MA, USA) was used for mapping. Data are reported here as mean ± SEM, and the level of significance in all tests was set at p < 0.05.
3. Results
3.1. Supercooling Point and Freezing Point
3.1.1. Sex Differences
During the shoot-to-trunk period, there were no differences in the SCP and FP between the sexes in each species. However, the SCP and FP were significantly lower in females during the trunk-to-shoot period (Table 1).
Table 1.
SCP and FP of Tomicus minor and Tomicus yunnanensis at two periods.
3.1.2. Species Differences
There were no significant differences in the SCP and FP between T. minor and T. yunnanensis in the same period (Table 1).
3.1.3. Period Differences
There were significant differences in the SCP and FP between T. minor and T. yunnanensis between periods. The SCP and FP of both Tomicus species in the trunk-to-shoot period were significantly lower than those in the shoot-to-trunk period in T. minor (Table 1).
3.2. Content of Cold-Resistant Substances
3.2.1. Differences in Cold-Resistant Substances between Sexes
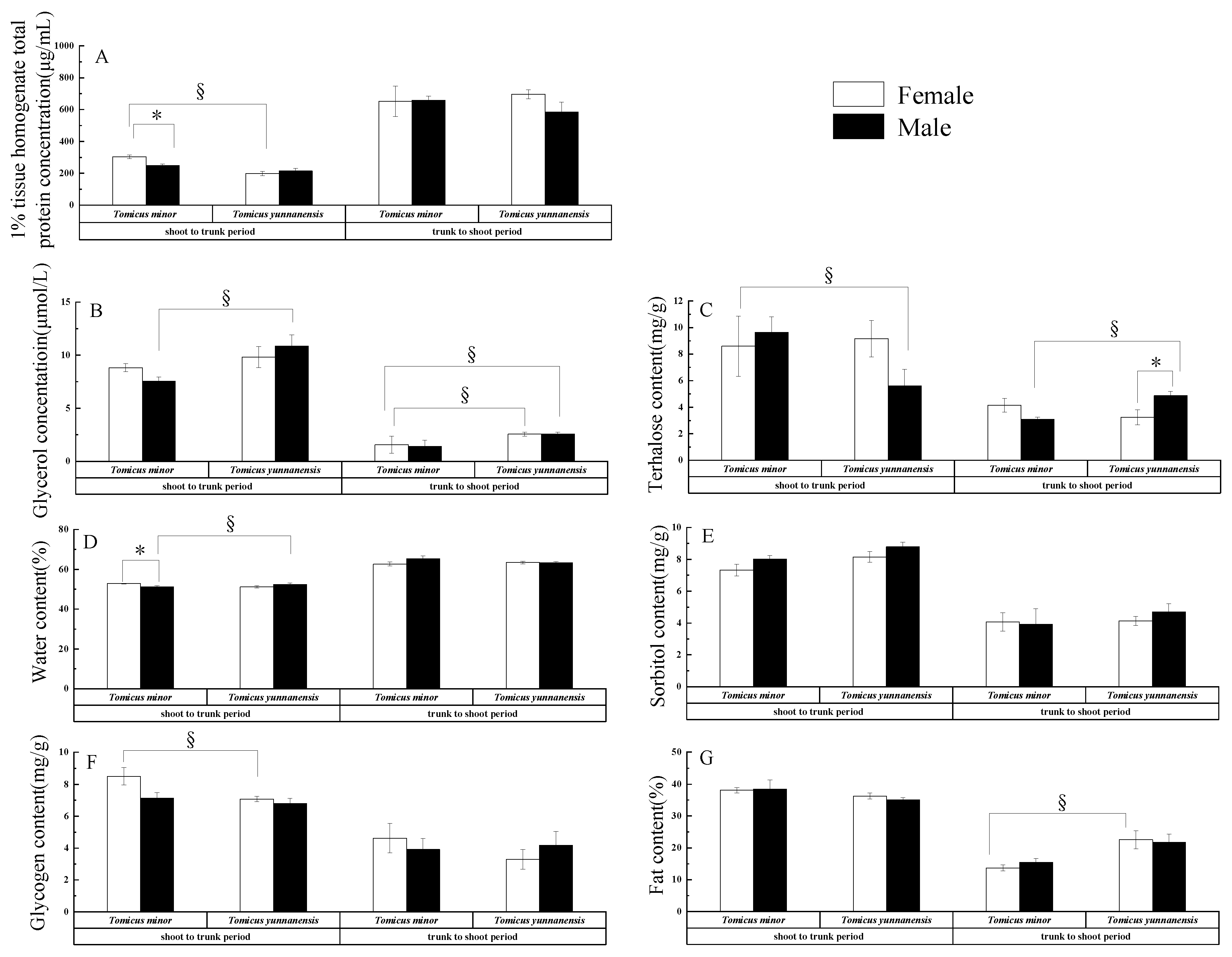
During the transferring period from shoot-to-trunk, there were no differences in the amounts of cold-resistant substances between male and female adults of T. minor, except for protein (t = 3.488, df = 10, p = 0.006) (Figure 1A) and water (t = 2.244, df = 10, p = 0.049) (Figure 1D), and there were no significant differences in the amounts between male and female T. yunnanensis in this period. There were significant differences in the amounts of protein (t = 5.844, df = 12, p = 0.000) (Figure 1A), water (t = 2.566, df = 10, p = 0.028) (Figure 1D), and glycogen (t = 2.999, df = 10, p = 0.013) (Figure 1F) between the two Tomicus species in the shoot-to-trunk period. The amounts of protein, water, were significantly higher in females than males in T. minor. However, the amount of trehalose (Figure 1C) in T. minor males was significantly higher than in T. yunnanensis. In the same period, there were no significant differences in the contents of the other substances between the two Tomicus species in both sexes.
Figure 1.
Contents of substances between female and male adults of two Tomicus at the shoot-to-trunk and trunk-to-shoot periods. Note: protein; (A), glycerol; (B), trehalose; (C), water; (D), sorbitol; (E), glycogen; (F), fat (G). The data are mean ± S.E, * in the same plot indicated that there were significant differences between the male and female of two Tomicus species at the same period (p < 0.05), and § in the same plot indicated that there were significant differences between the female and male adults of T. minor and T. yunnanensis in the same period (p < 0.05).
During the transferring period from the trunk-to-shoot, there were no differences in cold-resistant substances between male and female adults in T. yunnanensis, except for trehalose (t = −2.446, df = 10, p = 0.034) (Figure 1C); trehalose was significantly higher in males than females (3.24 mg/g vs. 4.86 mg/g, respectively). In the trunk-to-shoot period, significant differences were found between the two Tomicus species; in females, these were in the contents glycerol (t = −6.959, df = 10, p = 0.000) (Figure 1B), and fat (t = −3.377, df = 9, p = 0.010) (Figure 1G); in males, there was a significant difference in trehalose content (t = −4.764, df = 10, p = 0.001) (Figure 1C). Glycerol and fat content were higher in female T. yunnanensis than in female T. minor; the glycerol concent of male T. yunnanensis was higher than that of male T. minor.
3.2.2. Differences in Cold-Resistant Substances between Species in the Same Period
In the shoot-to-trunk periods, T. minor and T. yunnanensis showed significant differences in protein (t = 3.918, df = 10, p = 0.001) (Figure 2A), glycerol (t = −2.737, df = 10, p = 0.012) (Figure 2B), sorbitol (t = −2.457, df = 10, p = 0.022) (Figure 2E), and glycogen content (t = 2.164, df = 10, p = 0.042) (Figure 2F); and protein concentrations were 276.38 μmol/L and 206.69 μmol/L, glycerol concentrations were 8.19 μmol/L and 10.33 μmol/L, sorbitol concentrations were 7.67 mg/g and 8.47 mg/g, and glycogen concentrations were 7.82 mg/g and 6.93 mg/g, respectively. However, trehalose (t = 1.063, df = 10, p = 0.300) (Figure 2C), water (t = 0.305, df = 10, p = 0.763) (Figure 2D), and fat contents (t = 1.689, df = 9, p = 0.177) (Figure 2G), showed no difference between the two species. There were significant differences in glycerol (t = −8.992, df = 10, p = 0.000) (Figure 2B) and fat content (t = −3.775, df = 9, p = 0.001) (Figure 2G) between T. yunnanensis and T. minor in the trunk-to-shoot period; the glycerol concentrations were 1.48 μmol/L and 2.62 μmol/L and the fat content concentrations were 14.58% and 22.14%, respectively. However, there were no significant differences in protein (t = 0.247, df = 10, p = 0.807) (Figure 2A), trehalose (t = −0.858, df = 10, p = 0.401) (Figure 2C), water (t = 0.603, df = 10, p = 0.552) (Figure 2D), sorbitol (t = −0.681, df = 10, p = 0.503) (Figure 2E), or glycogen contents (t = 0.699, df = 10, p = 0.492) (Figure 2F).
Figure 2.
Contents of substances in adults of two Tomicus species at two periods. Note: protein; (A), glycerol; (B), trehalose; (C), water; (D), sorbitol; (E), glycogen; (F), fat (G). The data were mean ± S.E, * in the same plot indicated that there were significant differences in different stages of the same species of Tomicus (p < 0.05), and § in the same plot indicated that there were significant differences in the two Tomicus species (p < 0.05) at the same period.
3.2.3. Differences in Cold-Resistant Substances between Periods
Comparing the shoot-to-trunk and trunk-to-shoot periods, T. minor showed significant differences in protein (df = 22, p = 0.000) (Figure 2A), glycerol (df = 22, p = 0.000) (Figure 2B), trehalose (df = 22, p = 0.000) (Figure 2C), water (df = 22, p = 0.000) (Figure 2D), sorbitol (df = 22, p = 0.000) (Figure 2E), glycogen (df = 22, p = 0.000) (Figure 2F), and fat contents (df = 20, p = 0.000) (Figure 2G); the protein concentrations were 276.38 μmol/L and 655.40 μmol/L, and the glycerol concentrations were 8.19 μmol/L and 1.48 μmol/L in the shoot-to-trunk and trunk-to-shoot periods, respectively. T. yunnanensis also showed significant differences in protein (df = 22, p = 0.000) (Figure 2A), glycerol (df = 22, p = 0.000) (Figure 2B), trehalose (df = 22, p = 0.021) (Figure 2C), water content (df = 22, p = 0.000)(Figure 2D), sorbitol (df = 22, p = 0.000) (Figure 2E), glycogen (df = 22, p = 0.000) (Figure 2F), and fat contents (df = 22, p = 0.000) (Figure 2G); the protein concentrations were 206.63 μmol/L and 640.56 μmol/L and the glycerol concentrations were 10.33 μmol/L and 2.79 μmol/L in the shoot-to-trunk and trunk-to-shoot periods, respectively.
4. Discussion
4.1. Supercooling and Freezing Points
One of the key characteristics of cold resistance in insects is the phenomenon of supercooling; which shows that the lower the SCP or FP, the stronger the cold resistance of an insect, with this cold hardiness determining their distribution to a certain extent [25]. Cold hardiness varies among insects, developmental stages, and individuals [26]. In the present study, the SCP and FP of two sympatric Tomicus species were measured during the transferring phase from the shoot-to-trunk and trunk-to-shoot periods; there were no differences in SCP and FP between sexes in the two species during the shoot-to-trunk period, but there were in the trunk-to-shoot period, the SCP and FP of the females were less than those of males. There were no significant differences in SCP and FP between T. yunnanensis and T. minor in the same period, but they were significantly lower in the shoot-to-trunk period than the trunk-to-shoot period.
These results indicate that the cold resistance of female in Tomicus species was stronger during the trunk-to-shoot period. The female individuals of some insects are significantly larger than the male individuals, such as the Xylosandrus germanus Blandford [27]. The female individuals of the two Tomicus species may be larger than the male adults. In addition, in the trunk-to-shoot period, the female and male adults of the two Tomicus species have just emerged from the tree trunk and have not yet eaten nutrition from the tree trunk; the fat content in the female insects is relatively higher, so the female insects have a slightly stronger cold resistance. The cold tolerances were higher due to reduced SCP and FP; this is similar to results from D. valens [16], Ceroplastes japonicus Green [18], and Galeruca daurica Joannis [28]. There could be a few reasons for this: (1) There could be differences in developmental processes, with individuals being more cold-resistant in winter, or (2) differences in ambient stress. With the shoot-to-trunk period being in the winter cold, Tomicus individuals adapted to the low-temperature environment after a long periods of low-temperature acclimation, while the trunk-to-shoot period was in the warmer spring and summer. However, in this period, temperatures can suddenly become cold, and individuals were susceptible to short-term low-temperature stress; the two pine shoot beetles species started new life cycles in the tree trunks during the trunk-to-shoot period, and the SCP and FP increased significantly. This is in accordance with the metabolic laws of insects, and the cold tolerances of Chilo suppressalis, Histia rhodope and Athetis lepigone also change seasonally; the changes seen here were consistent with those of other insects [29,30,31], indicating that there are many factors that affect the SCP and FP, such as the weight of insects, the source of insects in different seasons, the growth and development of the insects themselves, and different feeding states, among others.
4.2. Cold Hardiness of Adults of Two Tomicus Species
Low temperatures are unfavorable to the growth and development of insects, and manipulation of the environment with unfavorable temperatures is a primary physical pest control approach [32]. However, insects have evolved a series of adaptive and physiological behavioral strategies. For example, Agrotis segetum Schiff living in soil will burrow into the deep soil layer to avoid low temperatures [33]. Insects usually adjust their physiological states and biochemical substances to support higher cold tolerance strategies [34]. When temperatures are low, insects reduce the damage caused by the freezing of biofluids by reducing the water content in the body, resulting in an increase in the concentrations of biofluids, a decrease in the SCP, metabolic activity, and energy expenditure; these changes are advantageous for insects to survive at low temperatures. The results here showed that the water content of T. minor females was higher than that of males, and the water content of T. minor males was higher than that of T. yunnanensis females during the shoot-to-trunk period. Although there were no significant differences between the SCP and FP between sexes in the two Tomicus species in this period, the SCP and FP of T.yunnanensis were slightly higher than those of T. minor, which suggested that T. yunnanensis might alleviate the damage caused by cold temperatures by reducing the water content in their bodies to make them more hardy. The SCP and FP were lower in the shoot-to-trunk period, which is where colder temperatures are also encountered. This is consistent with the changes in SCP; the decrease of water content in the body can slow down the metabolism and reduce the free water content, which is beneficial to decreasing of the SCP and FP. The relationship between water content and cold tolerance has been confirmed in many insects [35].
Protein is the material base of insect life and an important substance for insect overwintering [29,30]. The present study showed that protein concentrations were significantly higher during the trunk-to-shoot period, and the same difference was also observed in other insects such as H. rhodope, C. suppressalis, and Dendrolimus spectabilis [29,30,36]. Some studies have found that proteins in overwintering worms may be transferred to hemolymph or transformed into other cold-tolerant substances to cope with stress from low temperatures. Insects also regulate cold tolerance by accumulating antifreeze proteins, such as heat shock protein and other proteins related to cold tolerance. Therefore, it can be inferred that the cold tolerance strategy of two of these pine shoot beetles during the trunk-to-shoot period may be to synthesize proteins to decrease the SCP and FP, improving their cold tolerance.
Glycogen is also an important substance for energy, and the total sugar content can also indicate the cold tolerance of insects [30]. The present results showed that the glycogen content in T. minor was higher during the shoot-to-trunk period than that of T. yunnanensis; in this period, the cold tolerance of the T. minor may be improved by accumulating proteins and reducing amounts of glycogen and other energy substances [37]. Glycogen content was significantly different between the two periods, with the content being higher in the shoot-to-trunk period than in the trunk-to-shoot period. The glycogen content of glycogen, as the main energy storage substance in insects, was thus higher in the colder period. This may indicate that the metabolism of the species requires more energy during the shoot-to-trunk period; at the same time, in this phase, the animals are overwintering and produce offspring [38].
Fat can be hydrolyzed into smaller molecules to increase the concentrations of biofluids and this can combine with reduced body water content to reduce the damage caused by fluid freezing. Hydrolysis of fatty compounds leads to an increase of antifreeze substances such as glycerol and trehalose, which leads to a decrease in SCP, thus improving cold resistance [25]. The fat content of T. minor females was higher than that of T. yunnanensis females during the trunk-to-shoot period. This may be caused by the differences between individuals of the two species. The fat content of T. yunnanensis was higher than that of Tomicus in the shoot-to-trunk period, but the opposite was seen in the trunk-to-shoot period, and the fat content of both species was higher in the shoot-to-trunk period than in the trunk-to-shoot period. This shows that the two Tomicus species improve their cold tolerance by accumulating fat, which is similar to results from of D. valens, which accumulate fat for metabolism to maintain their survival [16].
Natural accumulation of some cryoprotectant substances (e.g., small molecular glycerol, sorbitol, mannitol, pentacarbonyl polyols, trehalose, glucose, fructose, amino acids, and fatty acids) in some insects is a strategy for enhancing cold tolerance [17]. When temperatures drop, insects convert sugars and other substances in their bodies into fat, thus increasing their cold tolerance and preparing them for the winter. This fat can be hydrolyzed into smaller molecules to increase the concentrations of biofluids, in combination with reducing water content in the body, thereby reducing the damage caused by the freezing of biofluids. This has been shown in insects such as D. valens, D. armandi, and Grapholitha molesta [6,15,39]. Insects also regulate cold tolerance by accumulating antifreeze proteins, heat shock proteins, and other proteins related to cold tolerance [25]. Therefore, it can be inferred that the cold tolerance strategy of the two Tomicus species studied herein may be to synthesize proteins to decrease the SCP and FP to improve their cold tolerance.
The present results showed that the contents of glycerin, trehalose, sorbitol, glycogen, and fat in the two Tomicus species were higher in the shoot-to-trunk period, but the contents of protein and water showed an opposite pattern. The results showed that the cold tolerance strategy employed by the two species was to increase their cold tolerance by accumulating glycerol, trehalose, sorbitol, glycogen, and fat to decrease the SCP and FP. Thus, the cold hardiness mechanisms of Tomicus species may involve a role in a system composed of several cold hardiness substances, which is consistent with the mechanisms of cold hardiness mechanism seen in most studied insects; for example, Scolytus ratzeburgi Janson larvae use a glycerol–sorbitol–glucose–trehalose system [40].
The external factors that affect cold tolerance in insects mainly include seasonal temperature changes and the geographical environment and location; the many internal factors affecting cold tolerance include host nutrition, sex differences, body size, and developmental stages. Hence, the content of various cold-tolerant substances may vary with cold-tolerance strategies [41,42,43]. Changes in biochemical substances in the adults of the two Tomicus species studied herein were not only related to their metabolism, but also to the changes in external temperature. The present study revealed changes in cold tolerance and cold substances in female and male adults of two Tomicus species at different development stages, and can provide theoretical guidance to analyze geographical distributions harm caused by these insects, and interspecific competitiveness. At the same time, describing differences between biological substances and relating these to the SCP and FP could guide physical prevention and control measures for these pests. Therefore, future studies on cold tolerance of these two Tomicus species should take into account the influence of various factors in order to elucidate their cold tolerance more comprehensively. The present study provides a theoretical basis for studying the distribution, competitiveness, and low-temperature control strategies for two Tomicus species.
Author Contributions
Conceptualization, X.P., C.W. and L.G. (Lei Gao); methodology, X.P., S.C. and M.Y.; software, X.P., L.G. (Li Guo) and Z.Z.; validation, X.P., S.C. and Q.P.; writing—original draft preparation, X.P. and C.W.; writing—review and editing, L.G. (Li Guo), L.G. (Lei Gao), Z.Z., M.Y. and C.W. All authors have read and agreed to the published version of the manuscript.
Funding
This research was funded by the National Natural Science Foundation of China: (32260396); Cultivation Project of Guizhou University: Cultivation of Guizhou University [2020] 63; Scientific and Technological Innovation Talent Team Construction Project of Expanding and Application of Natural Enemies of Important Crop Pests in Guizhou Province: Qian Ke He Platform Talent-CXTD: [2021] 004; Construction Project of Natural Enemy Expansion Breeding Room in Guizhou province: Guizhou Development and Reform Investment [2021] 318.
Institutional Review Board Statement
Not applicable.
Informed Consent Statement
Not applicable.
Data Availability Statement
Not applicable.
Acknowledgments
We would like to thank Chen Wenlong of the Institute of Entomology of Guizhou University for his assistance in the use of the supercooling apparatus. All contributions have been attributed appropriately via co-authorship and acknowledgements.
Conflicts of Interest
The authors declare that they have no known competing financial interests or personal relationships that could have appeared to influence the work reported in this paper.
References
- Kirkendall, L.R.; Faccoli, M.; Ye, H. Description of the Yunnan shoot borer, Tomicus yunnanensis Kirkendall & Faccoli sp. n. (Curculionidae, Scolytinae), an unusually aggressive pine shoot beetle from southern China, with a key to the species of Tomicus. Zootaxa 2008, 1819, 25–39. [Google Scholar]
- Liu, H.; Zhang, Z.; Ye, H.; Wang, H.B.; Clarke, S.R.; Lu, J. Response of Tomicus yunnanensis (Coleoptera: Scolytinae) to infested and uninfested Pinus yunnanensis bolts. J. Econ. Entomol. 2010, 103, 95–100. [Google Scholar] [CrossRef] [PubMed]
- Lu, J.; Zhao, T.; Ye, H. The shoot-feeding ecology of three Tomicus species in Yunnan Province, southwestern China. J. Insect Sci. 2014, 14, 37. [Google Scholar] [CrossRef] [PubMed]
- Ye, H.; Ding, X.S. Impacts of Tomicus minor on distribution and reproduction of Tomicus piniperda (Col., Scolytidae) on the trunk of the living Pinus yunnanensis trees. J. Appl. Entomol. 1999, 123, 329–333. [Google Scholar]
- Ye, H.; Li, L.S. Spatial distribution of Tomicus piniperda in the shoot-eating period. Acta Entomol. Sin. 1994, 37, 311–316. [Google Scholar]
- Ye, H.; Lü, J.; Francois, L. On the bionomics of Tomicus minor (Hartig) (Coleoptera: Scolytidae) in Yunnan Province. Acta Entomol. Sin. 2004, 47, 223–238. [Google Scholar]
- Chen, P.; Li, L.; Liu, H. Host preference and competition in bark beetles, Tomicus yunnanensis and T. minor in breeding period. J. West China For. Sci. 2010, 1, 15–20. [Google Scholar]
- Wu, C.X.; Liu, F.; Zhang, S.F.; Kong, X.B.; Zhang, Z. Semiochemical regulation of the intraspecific and interspecific behavior of Tomicus yunnanensis and Tomicus minor during the shoot-feeding phase. J. Chem. Ecol. 2019, 45, 227–240. [Google Scholar] [CrossRef]
- Shen, S.W. Space-Time Niche of Two Tomicus Species and Induced Physiological Effects to Pinus Yunnanensis. Ph.D. Thesis, Beijing Forestry University, Beijing, China, 2017. [Google Scholar]
- Régnière, J.; St-Amant, R.; Duval, P. Predicting insect distributions under climate change from physiological responses: Spruce budworm as an example. Biol. Invasions 2012, 14, 1571–1586. [Google Scholar] [CrossRef]
- Kendall, D. The Ecology of Insect Overwintering. Exp. Agric. 1993, 30, 487–488. [Google Scholar] [CrossRef]
- Andreadis, S.S.; Spanoudis, C.G.; Athanassiou, C.G.; Savopoulou-Soultani, M. Factors influencing supercooling capacity of the koinobiont endoparasitoid Venturia canescens (Hymenoptera: Ichneumonidae). Pest Manag. Sci. 2014, 70, 814–818. [Google Scholar] [CrossRef] [PubMed]
- Song, Y.F. Study on Tolerance of Callosobruchus Chinensis (Linnaeus) Adults to Low Temperature and Its Physiological and Biochemical Mechanisms. Master’s Thesis, Southwest University, Chongqing, China, 2017. [Google Scholar]
- Lee, R.J. Insect cold-hardiness: To freeze or not to freeze. BioScience 1989, 39, 308–311. [Google Scholar] [CrossRef]
- Wang, J.; Gao, G.Q.; Zhang, R.R.; Dai, L.L.; Chen, H. Metabolism and cold tolerance of Chinese white pine beetle Dendroctonus armandi (Coleoptera: Curculionidae: Scolytinae) during the overwintering period. Agr. For. Meteorol. 2017, 19, 10–22. [Google Scholar]
- Dong, Y.X.; Pei, J.H.; Shao, Y.Y.; Zong, S.X.; Hou, Z.H. Cold tolerance and cold tolerant substances of larva and adult of Dendroctonus valens LeConte. J. Econ. Entomol. 2021, 43, 978–985. [Google Scholar]
- Toxopeus, J.; Sinclair, B.J. Mechanisms underlying insect freeze tolerance. Biol. Rev. 2018, 93, 1891–1914. [Google Scholar] [CrossRef]
- Liu, Z.L.; Yuan, Z.L.; Lou, L. Changes in the cold hardiness and contents of the related biochemical substances in female adults of Ceroplastes japonicus (Hemiptera: Coccoidea) before and after overwintering. Acta Entomol. Sin. 2017, 60, 120–126. [Google Scholar]
- Jong, X.H.; Kang, L. Research progress in insect cold hardines. Acta Entomol. Sin. 2002, 22, 2202–2207. [Google Scholar]
- Prasanna, B.M.; Huesing, J.E.; Eddy, R. Fall Armyworm in Africa: A Guide for Integrated Pest Management; CIMMYT: Veracruz, Mexico, 2018; pp. 29–43. [Google Scholar]
- Wang, J.H. Chemical Ecological Relationships of Three Tomicus Species. Ph.D. Thesis, Chinese Academy of Forestry, Beijing, China, 2015. [Google Scholar]
- Li, X.; Zhen, Z.; Cao, P.; Wang, H.B.; Han, P.D. Classification of Tomicus species. Sci. Silvae Sin. 2012, 48, 110–116. [Google Scholar]
- Colinet, H.; Vernon, P.; Hance, T. Does thermal-related plasticity in size and fat reserves influence supercooling abilities and coldtolerance in Aphidius colemani ( Hymenoptera: Aphidiinae ) mummies? J. Therm. Biol. 2007, 32, 374–382. [Google Scholar] [CrossRef]
- Wu, J.; Yuan, F. Changes of glycerol content in diapause larvae of the orange wheat blossom midge, Sitodiplosis mosellana (Gehin) in various seasons. Insect Sci. 2008, 11, 27–35. [Google Scholar] [CrossRef]
- Pei, J.H.; Li, C.C.; Ren, L.L.; Zong, S.X. Factors influencing cold hardiness during overwintering of Streltzoviella insularis (Lepidoptera: Cossidae). J. Econ. Entomol. 2020, 113, 1254–1261. [Google Scholar] [CrossRef] [PubMed]
- Chen, H.; Liang, G.M.; Zhou, L.Y.; Guo, F.; Wu, K.M.; Guo, Y.Y. Research progresses in the cold hardiness of insects. Plant Prot. 2010, 36, 18–24. [Google Scholar]
- Yang, Q.F.; Zhou, Z.J.; Li, Q.; Zhi, Y.R.; Wu, C.L. Morphological characteristics of the new pest attacking grapevine Xylosandrus germanus. Chin. Bull. Entomol. 2008, 45, 219–223+345. [Google Scholar]
- Li, H.; Zhou, X.R.; Pang, B.P.; Chang, J. Supercooling capacity and cold hardiness of Galeruca daurica ( Coleoptera: Chrysomelidae). Acta Entomol. Sin. 2014, 57, 212–217. [Google Scholar]
- Qiang, C.K.; Du, Y.Z.; Yu, Y.L.; Cui, Y.D.; Lu, M.X.; Zheng, F.S. Dynamic changes of cold-resistant substances in overwintering larvae of Chilo suppressalis (Walker). Chin. J. App. Entomol. 2008, 19, 599–605. [Google Scholar]
- Yang, H.B.; Hu, Z.J.; Dong, J.F.; Zu, P.H.; Li, D.X. Changes in the cold hardiness of overwintering larvae of Histia rhodope ( Lepidoptera: Zygaenidae). Acta Entomol. Sin. 2019, 62, 979–986. [Google Scholar]
- Liu, Y.J.; Zhang, T.T.; Bai, S.X.; He, K.L.; Wang, Z.Y. Changes of cold hardiness of the overwintering larvae of Athetis lepigone ( Lepidoptera: Noctuidae) at different overwintering stages. Acta Entomol. Sin. 2014, 57, 379–384. [Google Scholar]
- Bale, J.S.; Hayward, S.A.L. Insect overwintering in a changing climate. J. Exp. Biol. 2010, 213, 980–994. [Google Scholar] [CrossRef]
- Huang, G.X.; Wang, Y.C.; You, Z.P. Studies on cold tolerance funtions of Agrotis Segetum. J. Zhejiang For. Coll. 1990, 7, 140–146. [Google Scholar]
- Zachariassen, K.E. Physiology of cold tolerance of insects. Physiol. Rev. 1985, 65, 799–932. [Google Scholar] [CrossRef]
- Worland, M.R. The relationship between water content and cold tolerance in the Arctic collembolan Onychiurus arcticus (Collembola: Onychiuridae). Eur. J. Entomol. 1996, 93, 314–348. [Google Scholar]
- Han, R.D.; Sun, X.G.; Xu, Y.Y.; Zhang, W.G. The biochemical mechanism of cold-hardiness in overwintering larva of Dendrolimus spectabilis Butler(Lepidoptera: Lasiocampidae). Acta Entomol. Sin. 2005, 25, 1352–1356. [Google Scholar]
- Zhang, Y.J. Studies on the Cold Hardiness and Mechanism of Overwintering Larva of Chilo Supperssalis(Walker). Master’s Thesis, Central China Agricultural University, Wuhan, China, 2007. [Google Scholar]
- Ye, H. On the bionomy of Tomicus piniperda (L.) (Col., Scolytidae) in the Kunming region of China. J. Appl. Entomol. 1991, 112, 366–369. [Google Scholar]
- Kong, W.W.; Wang, Y.; Guo, Y.F.; Gao, Y.; Zhao, F.; Li, J.; Ma, R.Y. Supercooling points and freezing points of Grapholita molesta (Busck). Plant Prot. 2019, 45, 102–105. [Google Scholar]
- Holden, C.P.; Storey, K.B. 6-phosphogluconate dehydrogenase from a freeze tolerant insect: Control of the hexose monophosphate shunt and NADPH production during cryprotectant synthesis. Insect Biochem. Mol. Biol. 1994, 24, 167–173. [Google Scholar] [CrossRef]
- Hahn, D.A.; Martin, A.R.; Porter, S.D. Body size, but not cooling rate, affects supercooling points in the red imported fire ant, solenopsis invicta. Environ. Entomol. 2008, 37, 1074–1080. [Google Scholar] [CrossRef]
- Izadi, H.; Mohammadzadeh, M.; Mehrabian, M. Changes in biochemical contents and survival rates of two stored product moths under different thermal regimes. J. Therm. Biol. 2019, 80, 7–15. [Google Scholar] [CrossRef]
- Yue, L.; Zhou, Z.S.; Liu, Z.B.; Guo, J.Y.; Wang, F.H. Effects of rapid cold hardening in different intensities on the physiologicalindices related to cold tolerance in adults of Ophraella communa ( Coleoptera: Chrysomelidae). Acta Entomol. Sin. 2014, 57, 631–638. [Google Scholar]
Disclaimer/Publisher’s Note: The statements, opinions and data contained in all publications are solely those of the individual author(s) and contributor(s) and not of MDPI and/or the editor(s). MDPI and/or the editor(s) disclaim responsibility for any injury to people or property resulting from any ideas, methods, instructions or products referred to in the content. |
© 2022 by the authors. Licensee MDPI, Basel, Switzerland. This article is an open access article distributed under the terms and conditions of the Creative Commons Attribution (CC BY) license (https://creativecommons.org/licenses/by/4.0/).

