Next Article in Journal
Residues of the Acaricides Abamectin, Hexythiazox, and Spiromesifen in Eggplant (Solanum melongena L.) Fruits Grown under Field Conditions in Najran, Saudi Arabia
Previous Article in Journal
Drought Damage Assessment for Crop Insurance Based on Vegetation Index by Unmanned Aerial Vehicle (UAV) Multispectral Images of Paddy Fields in Indonesia
 
 
Font Type:
Arial Georgia Verdana
Font Size:
Aa Aa Aa
Line Spacing:
Column Width:
Background:
Article

Sowing Date and Fertilization Level Are Effective Elements Increasing Soybean Productivity in Rainfall Deficit Conditions in Central Europe

by
Bogdan Kulig
and
Agnieszka Klimek-Kopyra
*
Department of Agroecology and Plant Production, University of Agriculture in Kraków, Al. Mickiewicza 21, 31-120 Kraków, Poland
*
Author to whom correspondence should be addressed.
Agriculture 2023, 13(1), 115; https://doi.org/10.3390/agriculture13010115
Submission received: 31 October 2022 / Revised: 28 December 2022 / Accepted: 28 December 2022 / Published: 31 December 2022
(This article belongs to the Section Crop Production)

Abstract

Soybean yield is the result of the interaction of environmental factors and agricultural practices. Agricultural practices developed for soybean assume optimal cultivation conditions. Aberrant rainfall distribution during the growing season reduces the productivity of the plants and the efficiency of N uptake, which is reflected in the seed yield and quality. Few studies in the literature focus on this question. Therefore, the purpose of this assessment was to compare yield, yield quality of two soybean cultivars (Augusta and Mavka) with two nitrogen application rate (basic and increased) and two date of sowing (early and late), in two-year field experiments under temperate zone conditions in central Europe. Results show that early sowing in combination with higher nitrogen application substantially improves crop productivity and the efficiency of nitrogen binding, especially in drought years. In contrast, delaying sowing by two weeks reduced the productivity of the plants, which was not compensated for by a higher level of mineral nitrogen application. Early sowing of the Mavka cultivar was more productive and more efficient in nitrogen accumulation in the seed yield in comparison to the Augusta cultivar. Under water deficit conditions a higher level of urea application and earlier sowing are recommended.

1. Introduction

Soybean is one of the most important cultivated legume plants in the world, due to the wide range of applications of its seeds in many branches of food and technical industries [1,2,3], made possible by their unique chemical composition [4]. As a legume plant, it is rich in protein, with an average content of 35–40% DW. The seeds are also rich in fat, amounting to 18–25% DW [4]. Soybean protein has high content of essential amino acids, including tryptophan and lysine [4]. Moreover, the seeds are a source of many important vitamins and minerals. Soybean meal is used in mainly broiler farming, i.e., production of poultry meat, and pig farming, for production of pork [5,6]. World production of soybean increased from approximately 160 million tons on 70 million ha in 1998 to 350 million tons on 125 million ha in 2018 [7]
It is also worth noting the microbiological properties of soybean, which forms a taproot and enters into symbiosis with bacteria of the species Bradyrhizobium japonicum, making it self-sufficient in terms of nitrogen. This unquestionably has a positive effect on the structure and physicochemical properties of the soil [8,9].
Two parts of the world account for nearly 88% of world soybean production (South America 51% and North America 36.9%). The remaining 12% of production is distributed among four geographic regions (Asia 8.4%, Europe 2.9%, Africa 0.8%, and Oceania 0.3%). The leading soybean-producing countries are the United States, Brazil, and Argentina, followed by China, India, and Paraguay. The largest producers in Europe are Russia and Ukraine, while in the UE-27, the leaders are Italy, France, and Romania [7]. The productivity of soybean grown in Central Europe is not high, at 2.0–2.5 t ha−1. Soybean productivity is determined by temperature conditions and rainfall levels, but also by cultivation technology, e.g., levels of mineral fertilization, sowing density, and the choice of cultivars [10,11,12,13]. Until recently, soybean in Central Europe was sown in the first 10 days of May, due to temperature conditions. Currently, due to progressive climate change, soybean can be sown 2–3 weeks earlier.
The phenomenon of unpredictable stretches of rain and dry periods during the growing season, as a consequence of progressive global warming, necessitates continual adaptation of agricultural practices for legume crops, including soybean. The global warming currently taking place [14] will affect crop production on a global scale irrespective of steps taken to protect the climate. Regional temperature projections based on numerous models [15,16] indicate significant warming throughout Europe for all seasons of the year, but with the greatest temperature increase in winter. For Central Europe, models project a 3.0–3.5 °C increase in the average annual temperature, with a 3.5–5 °C increase in winter (higher in the east and lower in the west) and 3.0–3.5 °C in summer (higher in the south and lower in the north). In addition, changes in annual precipitation totals are predicted in this region.
Falloon and Betts [17] showed that climate change can have adverse effects on agriculture in the temperate zone due to water deficits in summer, creating the need for irrigation of soybean crops in traditional cultivation areas. Thus, changing agroclimatic conditions can shift cultivation of soybean with a longer growing period to the northern parts of the temperate climate zone, above the 50th parallel [18,19], giving these cultivars a chance at wider cultivation. However, Kasperska–Wołowicz et al. [20] claimed that the predicted climate change and the associated increase in plants water needs, as well as decrease in available water resources in soils, should result in an increase in irrigated area and a rise in irrigation water requirements. Based on the Kasperska–Wołowicz et al. [20] study of the effects of different irrigation regimes on soybean yield, water use efficiency, harvest index, oil and protein, it was found that any increase in the irrigation water amount resulted in the rise of the dry matter and seed yield of different soybean cultivars. Irrigation system of arable crop is limited in central Europe due to the cost of water and energy. Hence, the negative effects of climate change will be observed year by year. Lack of available water in soil during vegetation season will limit nutrients uptake from soil by plants, which will influence on yield quality and quantity of soybean.
In order to consider soybean cultivation for maximum profit, improvements of crop management techniques should be implemented. The date of sowing and the level of nitrogen fertilization are factors that have a large impact on the yield and yield components. Many studies [21,22,23] confirmed that the final yield decreased with a delay of soybean seed sowing. Ibrahim [22] demonstrated that delayed soybean sowing resulted in a significant reduction in seed yield. This was due to the shorter growing season and the reduction in the number of pods per plant and thousand seed weight. Similar finding were described by Nwofia et al. [23]. The authors proved the significant interaction between the years of study, date of sowing, and variety, which were determined mainly by among number of pods per plant. Jarecki and Bobrecka-Jamro [24] noted that the sowing date not strongly determine soybean yielding, however this factor varied over the years of the study. The authors’ findings were supported by Bastidas et al. [21] who claimed that water deficit during germination decrease seed yields the most.
Sowing date of soybean has been shown to have a large impact on plant productivity. However, it is largely unknown how other management practices such as cultivar type and dose of nitrogen fertilization should be adjusted based on date of sowing.
The efficiency of soybean cultivation is related to environmental and agrotechnical factors. One of the most important yields–creating factor for soybean cultivation remains nitrogen. The application of mineral nitrogen fertilization is further subordinate to biological activity of soil and weather conditions than it has economic and environmental justification [25].
Low temperature and soil drought weaken the process of symbioses [26]. Therefore, application of nitrogen fertilization in suboptimal environmental conditions is justifiable for soybean production [25]. However, still suitable agrotechnical principles, e.g., application dose of nitrogen in combination with date of sowing and cultivar type, for soybean cultivation are underestimating. Few scientific studies have been carried out in European drought conditions on the influence of the sowing date in combination with the level of nitrogen application and choice of cultivar on the yield and chemical composition of soybeans. The aim of the study was to determine the yield, yield quality, and N uptake of two different soybean cultivars depending on the sowing date and level of mineral nitrogen application.

2. Materials and Methods

2.1. Experiment and Field Management

A two-year (2014–2015) field experiment was set up on a production farm in the village of Rączyna (N 49°55′0.05″ E 22°26′11.70″) in south-eastern Poland, in a region with favorable weather for soybean cultivation. The three-factor experiment was set up in a split-block design with four replicates. The first factor was the sowing date: ‘early sowing’ named in the paper as term I of sowing (last 10 days of April—S1) and ‘late sowing’ named in paper as term II of sowing (first 10 days of May—S2). The second factor was the level of mineral nitrogen application: basic fertilization (30 kg N—N1) and increased fertilization (60 kg N—N2). The third factor was the soybean cultivar: Augusta (maturity group MG 0000) and Mavka (MG 000).
For the purposes of the experiment two cultivars differing in growing period length were selected. Augusta is a very early cultivar meant to be grown in central and southern Poland, where the climate conditions are most favorable to soybean cultivation. Mavka is an early cultivar distinguished by high resistance to lodging and seed shattering.
The experiment was conducted on Haplic Luvisol, classified as good rye complex, valuation class IIIb, with 6.3–6.5 pH. The granulometric composition of the soil was 59.2% of sand, 25.9% of silt, and 15% of clay. The concentration of available nutrients range from medium to low. The soil contents were 2400 mg P2O5 in kg −1 of soil, and 1800 mg K2O in kg −1 of soil. Soil liming was carried out after harvest of the precursor crop, which was potato. The crop succeeding potato was winter wheat, which was harvested in the first 10 days of August. The crop residues were shredded and left in the field. Next, prior to skimming, a urea solution was applied (30 kg N ha−1) in order to even the N:C ratio and accelerate the decomposition of the crop residues. In the first 10 days of November, winter ploughing was carried out to a depth of 25 cm. Field work was resumed after the snow had receded and it was possible to enter the field. Harrowing was carried out to stop evaporation. Mineral fertilizers were applied to the soil the day before it was prepared for sowing. Pre-sowing cultivation was carried out using a tilling and sowing machine to a depth of 8 cm. The sowing dates were based on optimal dates for the species and on weather conditions in the spring. Sowing was carried out with a single-row seeder at a depth of 5–6 cm. In 2014, soybeans were sown on 23 April (S1—early sowing) and 1 May (S2—optimal sowing date). In 2015, the sowing dates were 20 April (S1—early sowing) and 28 April (S2—optimal).
Two fertilization levels were used. The basic level (N1) included 30 kg N as urea, while the increased level (N2) consisted of 60 (30 + 30) kg N as urea. In addition, before sowing, 79 kg P as ammonium phosphate and 102 kg K as potassium chloride were applied. Seeds for sowing were treated the day before sowing with a fungicidal dressing containing two active substances: carboxin, a carboxyanilide, in the amount of 200 g dm3, and thiram, a dithiocarbamate, in the amount of 200 g dm3. A few hours before sowing, the seeds were inoculated with the bacterial inoculant Nitragina, which contains rhizobia of the species Bradyrhizobium japonicum. Seeds were sown at a rate of 100 seeds m2. Field observations revealed an emergence rate of 75–85%.
Exceeding the sowing standard by 10% made it possible to obtain the target density of at least 75 plants m2. The area of each experimental plot was 10 m2. Seeds were sown at 20 cm row spacing using a precision seeder. The first emergence was observed earlier in the treatments where sowing took place at the optimal date, i.e., 15–16 days after sowing, as compared to 18–19 days after early sowing. Weed seedlings, which are highly competitive with soybean, appeared at the same time. A strategy of post-emergence monocotyledonous weed control was adopted, involving application of Fusilade Forte 150 EC in the amount of 1 dm3 ha−1 at the stage at which the weeds had 2–3 leaves, mainly targeting couch grass. Basagran 480 SL in the amount of 2.5 dm3 ha−1 was applied against dicotyledonous weeds, mainly knotweed and white goosefoot. In addition, when the plants were about 40 cm high, weeding was carried out to completely eliminate the remaining weeds. When the plants have entered the bud-forming stage, mineral fertilizer, i.e., 30 kg N ha−1 in the form of urea, was applied in the plots with the increased level of fertilization (N2). The plants in all treatments received foliar application of microelements in the form of an aqueous solution of the fertilizer Sonata, containing MgO (15%), SO3 (32%), B (0.8%), Co (0.004%), Cu (0.25%), Fe (0.55%), Mn (0.6%), Mo (0.01%), and Zn (0.5%). In both years, the Augusta cultivar was harvested first, as it reached technological maturity sooner. Harvest of the Mavka cultivar took place some days later. A representative sample of 10 plants was collected from each plot for biometric measurements. The plants that remained on the field were harvested with a Claas Consul grain combine.

2.2. Laboratory Analysis

The protein, fat, and starch content in seed yield were determined by near-infrared spectroscopy (NIRS) using and MPA FT-NIR spectrometer (Bruker, Billerica, MA, USA).
Total nitrogen content was determined in seeds and dried parts of soybean plant in order to calculate NHI (g g−1) according to formula (NHI = N seed/N total) proposed by Salado-Navarro et al. [20] and presented by Zając et al. [13]. N uptake was calculated based on the formula presented by Janket et al. [27].

2.3. Statistical Analysis

The obtained results were subjected to an analysis of variance (ANOVA) using TIBCO Statistica 13.3 software (TIBCO Software Inc, Palo Alto, CA, USA). The statistical significance among treatments were determined using Tukey’s test for significance level of α = 0.05.

3. Results

3.1. Weather Conditions

The dates for the experiment were determined based on the weather in previous years. The sowing date was determined by the soil temperature (+8 °C). The weather was analyzed using data from the weather station in Krzeczowice, located 8 km from the experimental plots.
Data on the weather, i.e., the distribution of precipitation totals and average temperature, are presented in Figure 1 and Figure 2. Rainfall distribution during the study period (2014–2015) was varied. The precipitation total was higher (403.6 mm) in the first year (2014) than in 2015 (240.6 mm); the difference was 163 mm. In 2014 the least rainfall was recorded in April (37.2 mm), which significantly affected the germination and emergence of the soybean plants. In 2015 rainfall was lowest in August (7.4 mm). This caused a reduction in the number of seeds in the pods due to water stress during seed development and maturation. In both 2014 and 2015, water stress occurred at three critical moments for soybean cultivation. The first was the period of soil preparation for sowing and emergence, in the last 20 days of April. As a result of the low rainfall total during this period, emergence was prolonged and uneven. The second period of stress was in June, when the plants begin to flower. This stress was clearly evident in 2015, when the rainfall total was only 12 mm. The third critical period was during seed development in August and September. A negative consequence of stress during this development stage was a reduction in the number of seeds in the pods, leading to a reduction in yield. This phenomenon was observed in 2015, when the rainfall total was only 7.4 mm.
Analysis of temperatures (Figure 2) during the soybean growing period showed that the lowest average temperature was recorded in May. In the first 10 days of the month, in both years of the experiment, the temperature fell to 2.8 °C. For early sowing in 2015, the last 10 days of April, when the temperature fell to 0.0 °C proved to be the most difficult. Temperatures around 0 °C during emergence prolong this stage.
The warmest month of the 2014 growing season was July, with an average temperature of 20.5 °C, while in 2015 the highest average temperature was recorded in August (22.1 °C). The first 10 days of August were the warmest of the entire growing period in both years of the experiment, reaching 32.7 °C in 2014 and 35.4 °C in 2015. In the second year, the high temperature during this period in combination with the low precipitation total caused physiological drought and an earlier end to the growing period than in 2014, when optimal rainfall distribution at the end of the growing season even delayed the date when harvest was possible.
The average temperatures in the soybean growing periods in 2014 and 2015 indicate that these periods were warmer than the analogous long-term averages. In the first year of observations, the greatest discrepancy was noted in July, when the average temperature was 12.6% higher than the long-term average. In the second year of the study, the month that deviated most from the long-term average was August, which was 21.2% warmer. The most similar values in 2014 were noted in June, when the deviation was 1.80%. In 2015, the value for May was identical to the long-term average.
In order to more precisely characterize the thermal and water conditions prevailing during the plant vegetation period, the hydrothermal agricultural index was proposed by Sielianinov [28].
Sielianinov’s hydrothermal index (K) is computed as follows: K = P/0.1Σt, where P is sum of monthly mean precipitation in mm, Σt is the sum of daily mean air temperature (0 °C). The hydrothermal index K is the most credible in identifying the atmospheric drought during the periods when the average daily temperatures are higher than 10 °C.
The following ranges of values for the Selyaninov’s Hydrotermal index (K) were assumed: extremely dry K ≤ 0.4; very dry 0.4 < K ≤ 0.7; dry 0.7 < K ≤ 1.0; quite dry 1.0 < K ≤ 1.3; optimal 1.3 < K ≤ 1.6; quite damp 1.6 < K ≤ 2.0; wet 2.0 < K ≤ 2.5; very wet 2.4 < K ≤ 3.0; extremely humid K > 3.0 [28].
In the analyzed period of research, soil drought was noted both years in terms of a decade and months (Figure 3a,b). The conducted observation imply that in two years of the study the extreme drought (K ≤ 0.4) occurred in each decade, with the exception of 1st decade of May. On the monthly frame, it was found that in May and July very dry period (K 0.4 < 0.7) was observed only in 2014.
Comparison of the length of the growing period (Table 1) of the two cultivars shows that it was shorter for the Augusta cultivar than for Mavka by 12 days on average. In 2014, the growing period was longer for both cultivars, due to the optimal rainfall distribution during the growing season. In consequence, the Augusta cultivar reached technological maturity in the middle 10 days of September, and the Mavka cultivar in the first 10 days of October.
The growing period was much shorter in 2015. This was due to a low precipitation total during the growing season, resulting in physiological drought. The Augusta cultivar reached technological maturity for harvesting in the first 10 days of September, and the Mavka cultivar at the start of the middle 10-day period in September.
Analysis of the effect of the early sowing date on the harvest time for the two cultivars revealed that the sowing date did not significantly shorten the growing period. The cultivars reached technological maturity at a similar time in the case of both the early and optimal sowing dates. This was influenced by the temperature distribution after sowing. The slow warming of the soil after early sowing prolongs emergence and evens out the development rate of the growing stages in comparison to sowing at the optimal date. A negative consequence of prolonged emergence was longer exposure of germinating seeds and emerging seedlings.

3.2. Soybean Yield and Efficiency of N Utilization

The main effects of the factors, i.e., the sowing date and fertilization, had a minor influence on soybean yield (Table 2). The only factor that significantly differentiated seed yield in the two years was the cultivar. The statistical analysis showed significant differences in the yield of the cultivars in the wet year of 2014, which revealed the actual yield potential of the cultivars. In the dry year of 2015, however, only trends were shown. In the wet year, significantly higher yields were obtained for the very early Augusta cultivar than for the Mavka cultivar. The seed yield was significantly dependent on the interaction of agrotechnical factors: sowing date and fertilizer; sowing date and cultivar; and fertilizer and cultivar (Figure 3a,b).
Early sowing together with increased nitrogen application led to an increase in seed yield, on average by 0.3 dt ha. However, late sowing of soybean was more effective for plant productivity with lower dose of nitrogen fertilization (Figure 4a).
A similar phenomenon was observed in the case of the interaction of sowing date and cultivar (Figure 3b). Early sowing of the Mavka cultivar resulted in an average yield increase of 0.6 dt in comparison to the Augusta cultivar.
The main effects of the factors had a pronounced influence on the 1000 seed weight (TSW) of soybean (Table 2), which was confirmed in the interaction of the factors (Figure 5). Significantly higher TSW was obtained in the plots with early sowing and increased nitrogen application.
Irrespective of the sowing date, TSW was significantly higher for the Mavka cultivar than for the early Augusta cultivar (Figure 5). There was a significant increase in the 1000 seed weight of the Mavka cultivar sown at the late date (195 g). Early sowing of the Mavka cultivar limited its potential to produce large seeds. The 1000 seed weight was low—on average 30 g lower than in the case of the late sowing date.
Table 3 presents the efficiency of nitrogen uptake by the seeds and the nitrogen harvest index (NHI). Increased N uptake was recorded in 2014 when there was more rainwater available to the plants. In the subsequent year there was a non-significant trend for the influence of the experimental factors on efficiency of N uptake. Greater differences in nitrogen content in the seed yield resulted from the interactions between sowing date and fertilizer and between fertilizer and cultivar (Figure 6). Increased nitrogen application in 2014 significantly increased the amount of N accumulated in the soybeans (Table 3). This was not observed in 2015 or for the two-year period. Analysis of the interaction of the factors revealed that the efficiency of nitrogen uptake was significantly higher when the higher nitrogen application rate was combined with the early sowing date (S1).
The soybean cultivars did not differ significantly in the amount of accumulated nitrogen, although there was a pronounced trend of higher N for the Mavka cultivar. Nitrogen accumulation depended on the interaction between the cultivars and the sowing date (Figure 5A). Early sowing (S1) of the Mavka cultivar resulted in a significant increase in the efficiency of nitrogen uptake in comparison to the early Augusta cultivar (Figure 5B).
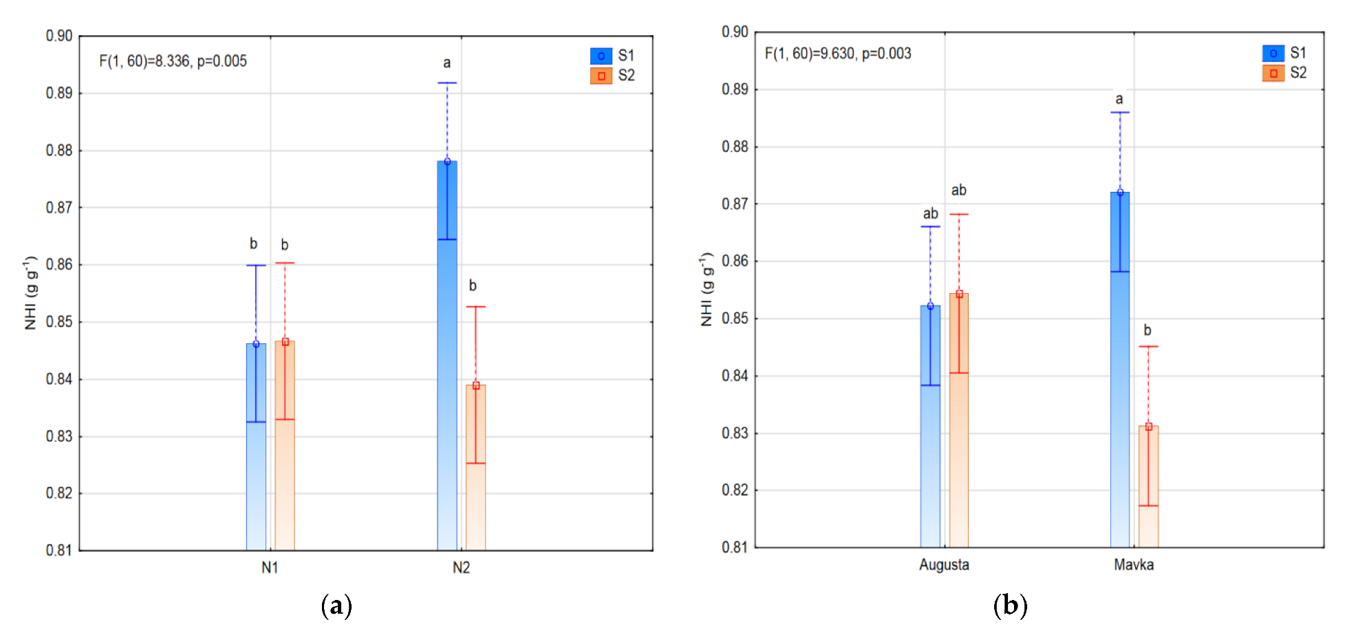
The nitrogen harvest index (NHI) was significantly higher in the case of the early sowing date in both years (Table 3, Figure 7). This trend was significant for the two-year study period. The nitrogen application rates were not significant in 2014, but in 2015, increased nitrogen application caused a significant increase in the NHI value. A similar trend was noted for the two-year study period (Table 3). The cultivars had different effects on NHI in each of the two years; it was higher for the Mavka cultivar in 2014, but for the Augusta cultivar in 2015. In consequence, the difference in NHI for the two-year study period was not significant.
NHI was significantly differentiated by the interactions; in both years the interaction between sowing date and fertilizer and the interaction between sowing date and cultivar were significant (Figure 7). Higher fertilization (F2) of the Mavka cultivar sown at the early date significantly increased NHI by 0.8.

3.3. Analysis of the Chemical Composition of Seeds

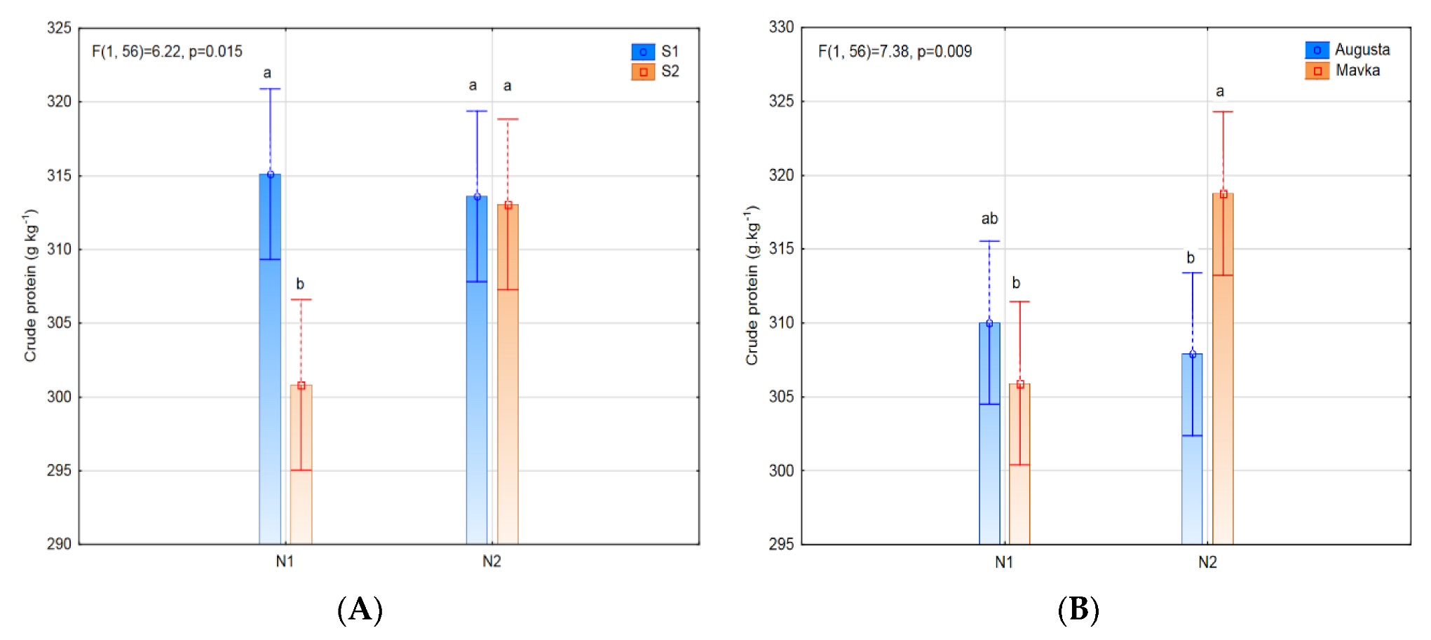
The chemical analysis of the seeds was influenced by the agrotechnical factors, i.e., to a large extent by the sowing date and choice of cultivar, and to a lesser extent by fertilization (Table 4). The average crude protein content in the seeds ranged from 306 to 314 g kg−1. The highest crude protein content (321 g kg−1) was obtained in the dry year of 2015 as a result of early sowing, while the lowest crude protein content (304 g kg−1) was recorded for the later sowing date in the wet year of 2014. However, the crude protein content was lowest in the plots fertilized with the basic level of nitrogen in the wet year (301.2 g kg−1).
The choice of cultivar was also shown to influence the crude protein content in the seeds. In the dry year, the content of crude protein in the Mavka cultivar (319 g kg−1) was significantly higher than in the Augusta cultivar. A significant interaction of factors was noted only in the wet year (2014).
The crude protein content in the seeds was shown to be little influenced by the experimental factors. In 2014, as expected, the increase in mineral nitrogen application was associated with a significant increase in the crude protein content in the seeds. In the second year of the study (2015), the Mavka cultivar accumulated significantly more crude protein in the seed yield. The early sowing date caused a significant increase in crude protein accumulation compared to the later sowing date (Table 4). However, it was the effect of significant interaction between factors: the sowing date with fertilization and of fertilization with the choice of cultivar (Figure 8A,B).
The crude starch content in the soybean seeds in the years of the study increased when sowing took place at the late date. The level of fertilizer did not significantly influence the crude starch content in the seeds. The Augusta cultivar accumulated significantly less crude starch in its seeds than the Mavka cultivar in both years. Crude starch accumulation in the seeds in 2015 was significantly influenced by the interaction between cultivar and fertilization (Figure 9). Mavka accumulated the highest content of crude starch in seeds in treatment with lower nitrogen fertilization. This result proved that selected cultivars of soybean such as Mavka are more effective in water and nutrients absorption during vegetation season, thus revealing a greater chemical component seed yield.
The crude fat content in the soybean seeds was less varied in comparison with the crude protein and crude starch content. Only in the Mavka cultivar in 2015 was higher crude fat content obtained in the seeds. None of the interactions analyzed significantly influenced the crude fat content in the seeds.

4. Discussion

Improvement of agricultural practices for soybean remains an important subject of research for European scientists, due to the relatively short time (about 150 years) during which it has been cultivated in Europe [29]. The choice of cultivar earliness class, sowing date, and level of nitrogen fertilization remain important factors in assessment of the yield potential of soybean. The results of the study clearly indicate that the biology of soybean yield is determined by weather during the year and by agricultural practices, which are supported by previous studies [30]. Soybean yield in the study was 2.1–2.7 t ha−1 and depended on the level of fertilizer, sowing date, and earliness of the cultivar. The sowing date had a positive influence on soybean yield. The earlier sowing date resulted in a significant increase in yield, on average by 0.2 t ha−1. Research shows that considered late sowing as an optimal should be updated according to environmental conditions observed in early spring. The research clearly proved the production legitimacy of soybean sowing two weeks earlier than the data used by farmers in considered region. Farmers risk sowing soybean earlier due to the potential risk of spring frost. However, observed increased of plants productivity may become a trigger to change their agrotechnical practices.
Application of mineral nitrogen also positively affected yield. Higher application of mineral nitrogen caused an increase in soybean yield, on average by 0.2 t ha−1. In addition, the interaction between fertilization and sowing date significantly influenced the soybean yield. Higher nitrogen application in the crops sown early resulted in a marked increase in their productivity.
Hankinson et al. [31] assessed the influence of planting date and starter fertilizer on soybean yield, assuming that starter fertilizer might be more beneficial to soybean sown earlier due to the low soil temperature and thus limited nutrient availability in early spring. Presented studies fully confirmed earlier studies [31], as it showed that the use of early sowing must be supported by a higher dose of nitrogen.
In all parts of the world, soybean yield is determined by the sowing date [32,33,34,35,36,37]. The field study conducted by Serafin-Andrzejewska et al. [37], under specific environmental conditions in south-western Poland, revealed that delaying the sowing day length available for soybean plants influencing development and yield. Delaying the sowing date by 20 days in relation to earliest resulted in shortening of the length of the vegetative development by 12 days and the shortening of the entire vegetation period by 14 days, which contribute to a significant decrease in yield. Similar findings were obtained by Borowska, and Prusiński [36]. Authors proved that the significantly highest soybean yields were collected from the sowing at a turn of April and May, and the highest seed and protein yield, as well as protein content in seed, were recorded for the mid-early Merlin cultivar. However, the authors noticed that neither the number and the seed weight per pod nor the 1000-seed weight significantly depended on the sowing date. Presented study confirm results described by mentioned authors [36,37], since we proved significantly higher soybean yield, 1000 seed yield and yield quality, which was recorded from the early sowing. Delete seed sowing decreased nitrogen uptake with yield, crude protein and crude fat content in seed yield, since plant growth and development was shortening by 14 days. A longer vegetation period was more beneficial for plants growth, development, and for effectivity of nutrients efficiency. Another important reason of better plant efficiency from earlier sowing was their growth in conditions with optimal rainfall distribution during growing season.
Faligowska et al. [33] assessed the influence of sowing date on the yield and seed sowing value of soybean cultivated in north-western Poland. The authors demonstrated that the sowing date had a significant influence on yield. Soybean sown early produced 1.8 t ha−1, while the crop sown on the optimal sowing date produced 2.2 t ha−1, and the highest seed yield of 2.5 t ha−1 was obtained from the crop sown on the third date. Our findings did not confirm significant effect of sowing date on seed yield. The sowing date had a minor influence on soybean yield since it creates differences between treatments around 0.3 t ha−1. However, we noticed a slightly higher yield was gained from an earlier sowing date, and this trend was observed independently from the weather conditions during the growing season.
Bateman et al. [34] showed that soybean planted too early or too late may be negatively impacted by environmental conditions that are not ideal for quality stand emergence. The data suggest that the optimum planting dates for soybean in Mississippi are between 10 April and 1 May, and that this planting window will help with all aspects of soybean agronomics, including stand quality, plant height, canopy closure, insect pressure, and yield.
Presented study confirm, that markedly higher yield was obtained for the MG 000 Mavka cultivar grown in the year with more rainfall. Mavka, cultivar characterized by longer growth of vegetation, sown early (in April) produced much higher yield in conditions of higher nitrogen application, compared to Augusta.
Vollmann et al. [37] and Gawęda et al. [38] showed that the weather during the soybean growing period, the level of mineral fertilizers, and plant protection are the main factors determining soybean yield. This was partially confirmed in the present study. The efficiency of soybean fertilization was determined by the weather during the year. The drought in 2015 substantially reduced yield in comparison to 2014, when rainfall distribution was optimal. However, the early sowing date in combination with higher nitrogen application proved to be an effective means of increasing soybean productivity, especially in dry years.
The chemical composition of the soybeans was influenced by the cultivar. On average for the cultivars, the seeds contained 310.6 (g kg−1 DW) protein, 185.4 (g kg−1 DW) fat, and 349 (g kg−1 DW) crude starch. The cultivar factor clearly influenced these parameters, which has been demonstrated in other studies as well [39]. The starch content was very similar in both cultivars and was not influenced by the cultivar factor.

5. Conclusions

Early sowing in combination with higher nitrogen application is an effective way to increase soybean productivity, especially in dry years. The choice of cultivars, whose production potential is revealed in suboptimal growth conditions (drought or water shortage), and seems to be also important. The study proved that farmers should selected 000 soybean cultivars such as Mavka, which characterized by more effective nutrients uptake even in drought conditions, and produces high yield quality and quantity.
Higher nitrogen application for soybean sown in the last 10 days of April has a beneficial effect on yield by extending the period of efficient nitrogen uptake.
Higher nitrogen application is not recommended in conditions of late sowing of soybean, because the efficiency of nitrogen uptake declines. The study indicates a clear need to continue research to improve agricultural practices for soybean in rainfall deficit conditions during the growing season.

Author Contributions

Conceptualization, A.K.-K.; Formal analysis, A.K.-K. and B.K.; Funding acquisition, A.K.-K. and B.K.; Investigation, A.K.-K. and B.K.; Writing—original draft, A.K.-K.; Writing—review and editing, A.K.-K. and B.K. All authors have read and agreed to the published version of the manuscript.

Funding

This research was funded by Ministry of Education.

Institutional Review Board Statement

Not applicable.

Data Availability Statement

Not applicable.

Conflicts of Interest

The authors declare no conflict of interest.

References

  1. Klimek-Kopyra, A.; Ślizowska, A.; Kopyra, M. Możliwości produkcji i wykorzystania soi w aspekcie biogospodarki w. In Biogospodarka. Aspekty Społeczne, Instytucjonalne i Produkcyjne; Bedla, D., Szarek, J., Eds.; Wydawnictwo Homini, Tyniec Wydawnictwo Benedyktynów: Kraków, Poland, 2020; ISBN 978-83-8205-055-4. (In Polish) [Google Scholar]
  2. Fenta, B.A.; Beebe, S.E.; Kunert, K.J.; Burridge, J.D.; Barlow, K.M.; Lynch, J.P.; Foyer, C.H. Field phenotyping of soybean roots for drought stress tolerance. Agronomy 2014, 4, 418–435. [Google Scholar] [CrossRef]
  3. Guzeler, N.; Yildirim, C. The utilization and processing of soybean and soybean products. J. Agric. Facult. Uludag Univer. 2016, 30, 546–553. [Google Scholar]
  4. Bellaloui, N.; Reddy, K.N.; Bruns, H.A.; Gillen, A.M.; Mengistu, A.; Zobiole, L.H.; Fisher, D.K.; Abbas, H.K.; Zablotowicz, R.M.; Kremer, R.J. Soybean seed composition and quality: Interactions of environment, genotype, and management practices. In Soybeans: Cultivation, Uses and Nutrition, 1st ed.; Gillen, A., Ed.; Nova Science Publishers, Inc.: New York, NY, USA, 2011; pp. 1–42. [Google Scholar]
  5. Brzóska, F.; Sliwa, J. Non-gm soybean–production and possible use in animal feeding in Poland. Part, I. Soy in the fodder balance and its cultivation in Poland. Wiadomości Zootech. 2016, 54, 98–100. [Google Scholar]
  6. Dei, H. Soybean as a Feed Ingredient for livestock and poultry. In Recent Trends for Enhancing the Diversity and Quality of Soybean Products; InTech.: London, UK, 2011; Volume 10, pp. 215–226. [Google Scholar]
  7. FAOStat. 2021. Available online: http://www.fao.org/faostat/en/#data (accessed on 1 January 2022).
  8. Anthony, P.; Malzer, G.; Sparrow, S.; Zhang, M. Soybean Yield and Quality in relation to soil properties. Agron. J. 2012, 104, 1443–1458. [Google Scholar] [CrossRef]
  9. Faé, G.S.; Kemanian, A.R.; Roth, G.W.; White, C.; Watson, J.E. Soybean Yield in Relation to Environmental and Soil Properties. Eur. J. Agron. 2020, 118, 126070. [Google Scholar] [CrossRef]
  10. Latawiec, A.E.; Korys, A.; Korys, K.A.; Kubon, M.; Sadowska, U.; Gliniak, M.; Sikora, J.; Drosik, A.; Niemiec, M.; Klimek-Kopyra, A.; et al. Analysis of the Economic Potential Trough Biochar Use for Soybean Production in Poland. Agronomy 2021, 11, 2108. [Google Scholar] [CrossRef]
  11. Szpunar-Krok, E.; Wondołowska-Grabowska, A.; Bobrecka-Jamro, D.; Jańczak-Pieniążek, M.; Kotecki, A.; Kozak, M. Effect of Nitrogen Fertilization and Inoculation with Bradyrhizobium japonicum on the Fatty Acid Profile of Soybean (Glycine max (L.) Merrill) Seeds. Agronomy 2021, 11, 941. [Google Scholar] [CrossRef]
  12. Klimek-Kopyra, A.; Bacior, M.; Lorenc-Kozik, A.; Neugschwandtner, R.W.; Zając, T. Intraspecific competition as a driver for true production potential of soybean. Ital. J. Agron. 2020, 16, 1–11. [Google Scholar] [CrossRef]
  13. Zając, T.; Oleksy, A.; Ślizowska, A.; Śliwa, J.; Klimek-Kopyra, A.; Kulig, B. Aboveground dry biomass partitioning and nitrogen accumulation in early maturing soybean ‘Merlin’. Acta Agrobot. 2017, 70, 1728. [Google Scholar] [CrossRef]
  14. IPCC. 5th Assessment Report Climate Change 2013. The Physical Science Basis. 2013. Available online: http://www.ipcc.c (accessed on 1 January 2022).
  15. Christensen, J.H.; Hewitson, B.A.; Busuioc, A.; Chen, X.; Gao, I.; Held, R.; Jones, R.K.; Kolli, W.-T.; Kwon, R.; Laprise, V.; et al. Regional Climate Projections. [w:] Climate Change 2007: The Physical Science Basis. In Contribution of Working Group I to the Fourth Assessment Report of the Intergovernmental Panel on Climate Change; Solomon, S., Qin, D., Manning, M., Chen, Z., Marquis, M., Averyt, K.B., Tignor, M., Miller, H.L., Eds.; Cambridge University Press: Cambridge, UK; New York, NY, USA, 2007. [Google Scholar]
  16. Twardosz, R.; Walanus, A.; Guzik, I. Warming in Europe: Recent Trends in Annual and Seasonal temperatures. Pure Appl. Geophys. 2021, 178, 4021–4032. [Google Scholar] [CrossRef]
  17. Falloon, P.; Betts, R. Climate impacts on European agriculture and water management in the context of adaptation and mitigation—The importance of an integrated approach. Sci. Total Env. 2010, 408, 5667–5687. [Google Scholar] [CrossRef]
  18. Rosenzweig, C.; Parry, M.L. Potential impact of climate change on world food supply. Nature 1994, 367, 133–138. [Google Scholar] [CrossRef]
  19. Lobell, D.B.; Schlenker, W.; Costa-Roberts, J. Climate trends and global crop production since 1980. Science 2011, 333, 616–620. [Google Scholar] [CrossRef]
  20. Kasperska-Wołowicz, W.; Rolbiecki, S.; Sadan, A.H.; Rolbiecki, R.; Jagosz, B.; Stachwoski, P.; Liberacki, D.; Bolewski, T.; Prus, P.; Pal-Fam, F. Impact of the projected cli mate change on soybean water Leeds in the Kuyavia region in Poland. J. Water Land Dev. 2021, 51, 199–207. [Google Scholar]
  21. Bastidas, A.M.; Setiyono, T.D.; Dobermann, A.; Cassman, K.G.; Elmore, R.W.; Graef, G.L.; Specht, J.E. Soybean sowing date: The vegetative, reproductive, and agronomic impacts. Crop Sci. 2008, 48, 727–740. [Google Scholar] [CrossRef]
  22. Ibrahim, S.E. Agronomic studies on irrigated soybeans in central Sudan. II. Effect of sowing date on grain yield and yield components. Int. J. Agri Sci. 2012, 2, 766–773. [Google Scholar]
  23. Nwofia, G.E.; Edugbo, R.E.; Mbah, E.U. Interaction of genotype × sowing date on yield and associated traits of soybean [Glycine max (L.) Merrill] over two cropping seasons in a humid agro-ecological zone of south-eastern Nigeria. J. Agric. Sci. 2016, 11, 164–177. [Google Scholar] [CrossRef][Green Version]
  24. Jarecki, W.; Bobrecka-Jamro, D. Effect of sowing date on the yield and seed quality of soybean (Glycine max (L.) Merr.). J. Elem. 2021, 26, 7–18. [Google Scholar] [CrossRef]
  25. Adesemoye, A.; Kloepper, J. Plant- microbes interactions in enhanced fertilizer-use efficiency. Appl. Microbiol. Biotechnol. 2009, 85, 1–12. [Google Scholar] [CrossRef] [PubMed]
  26. Bordeleau, L.M.; Prevost, D. Nodulation and nitrogen fixation in extreme environments. Plant Soil 1994, 161, 115–125. [Google Scholar] [CrossRef]
  27. Janket, S.; Jogloy, N.; Vorasoot, B.; Toomsan, W.; Kaewpradit, P.; Theerakulpisut, C.C.; Holbrook, C.; Kvien, K.; Banterng, P. Nutrient uptake and nutrient use efficiency of cassava genotypes with different starch bulking periods as affected by different planting dates. J. Plant Nutrit. 2021, 44, 580–599. [Google Scholar] [CrossRef]
  28. Skowera, B.; Kopcińska, J.; Kopeć, B. Changes in thermal and precipitation conditions in Poland in 1971–2010. Ann. Warsaw Univ. Life Sci. SGGW Land Reclam. 2014, 46, 153–162. [Google Scholar] [CrossRef]
  29. Wenda-Piesik, A.; Ambroziak, K. The Choice of Soybean Cultivar Alters the Underyielding of Protein and Oil under Drought Conditions in Central Poland. Appl. Sci. 2022, 12, 7830. [Google Scholar] [CrossRef]
  30. Rębilas, K.; Klimek-Kopyra, A.; Bacior, M.; Zając, T. A model for the yield losses estimation in an early soybean (Glycine max (L.) Merr.) cultivar depending on the cutting height at harvest. Field Crops Res. 2020, 254, 107846. [Google Scholar] [CrossRef]
  31. Hankinson, M.W.; Lindsey, L.; Culman, S.W. Effect of planting date and starter fertilizer on soybean grain yield. Crop Forage Turfgrass Manag. 2015, 1, 1–6. [Google Scholar] [CrossRef]
  32. Pedersen, P.; Lauer, J.G. Response of soybean yield components to management system and planting date. Agron. J. 2004, 96, 1372–1381. [Google Scholar] [CrossRef]
  33. Faligowska, A.; Panasiewicz, K.; Szymanska, G.; Szukała, J.; Koziara, W.; Ratajczak, K. Wpływ terminu siewu na plonowanie i wartos’c´ siewna˛ nasion soi. Biul. IHAR 2019, 285, 195–196. (In Polish) [Google Scholar]
  34. Bateman, N.R.; Catchot, A.L.; Gore, J.; Cook, D.R.; Musser, F.R.R.; Irby, J.T. Effects of planting date for soybean growth, development, and yield in southern USA. Aronomy 2020, 10, 596. [Google Scholar] [CrossRef]
  35. Borowska, M.; Prusiński, J. Effect of soybean cultivars sowing dates on seed yield and its correlation with yield parameters. Plant Soil Environ. 2021, 67, 360–366. [Google Scholar] [CrossRef]
  36. Serafin-Andrzejewska, M.; Helios, W.; Jama-Rodzenska, A.; Kozak, M.; Kotecki, A.; Kuchar, L. Effect of sowing date on soybean development in south-western Poland. Agriculture 2021, 11, 413. [Google Scholar] [CrossRef]
  37. Vollmann, J.; Fritz, C.N.; Wagentristl, H.; Ruckenbauer, P. Environmental and genetic variation of soybean seed protein content under Central European growing conditions. J. Sci. Food Agric. 2000, 80, 1300–1306. [Google Scholar] [CrossRef]
  38. Gawęda, D.; Cierpiała, R.; Bujak, K.; Wesołowski, K. Soybean yield under different tillage systems. Acta Sci. Pol. Hort. Cultus. 2014, 13, 43–54. [Google Scholar]
  39. Biel, W.; Gaweda, D.; Łysoń, E.; Hury, G. The influence of genetic and agrotechnical factors on the nutritional value of soybean. Acta Agroph. 2017, 24, 395–404. (In Polish) [Google Scholar]
Figure 1. Rainfall distribution (mm) during the growing period of April–September in the two years of the experiment, divided into 10-day periods.
Figure 1. Rainfall distribution (mm) during the growing period of April–September in the two years of the experiment, divided into 10-day periods.
Agriculture 13 00115 g001
Figure 2. Temperature (°C) during the growing period for the experiment in 2014–2015.
Figure 2. Temperature (°C) during the growing period for the experiment in 2014–2015.
Agriculture 13 00115 g002
Figure 3. Sielianinov’s hydrothermal index K t in growing season of soybean (a) in decades and (b) in months.
Figure 3. Sielianinov’s hydrothermal index K t in growing season of soybean (a) in decades and (b) in months.
Agriculture 13 00115 g003
Figure 4. Significant interactions between sowing date and fertilizer (a) and sowing date and cultivar (b) on soybean yield. The standard error (SD) of each mean is presented as an error bar. The occurrence of the same letter pointer at averages (at least one) means that there is no statistically significant difference between them.
Figure 4. Significant interactions between sowing date and fertilizer (a) and sowing date and cultivar (b) on soybean yield. The standard error (SD) of each mean is presented as an error bar. The occurrence of the same letter pointer at averages (at least one) means that there is no statistically significant difference between them.
Agriculture 13 00115 g004
Figure 5. Significant interactions between fertilizer and cultivar (a) and sowing date and cultivar (b) on 1000 seed weight. The standard error (SD) of each mean is presented as an error bar. The occurrence of the same letter pointer at averages (at least one) means that there is no statistically significant difference between them.
Figure 5. Significant interactions between fertilizer and cultivar (a) and sowing date and cultivar (b) on 1000 seed weight. The standard error (SD) of each mean is presented as an error bar. The occurrence of the same letter pointer at averages (at least one) means that there is no statistically significant difference between them.
Agriculture 13 00115 g005
Figure 6. Significant effect of interaction of fertilizer and sowing date (a) and cultivar and sowing date on efficiency of N uptake (b). The standard error (SD) of each mean is presented as an error bar. The occurrence of the same letter pointer at averages (at least one) means that there is no statistically significant difference between them.
Figure 6. Significant effect of interaction of fertilizer and sowing date (a) and cultivar and sowing date on efficiency of N uptake (b). The standard error (SD) of each mean is presented as an error bar. The occurrence of the same letter pointer at averages (at least one) means that there is no statistically significant difference between them.
Agriculture 13 00115 g006
Figure 7. Significant effect of interaction of fertilizer and sowing date (a) and cultivar and sowing date on NHI (b). The standard error (SD) of each mean is presented as an error bar. The occurrence of the same letter pointer at averages (at least one) means that there is no statistically significant difference between them.
Figure 7. Significant effect of interaction of fertilizer and sowing date (a) and cultivar and sowing date on NHI (b). The standard error (SD) of each mean is presented as an error bar. The occurrence of the same letter pointer at averages (at least one) means that there is no statistically significant difference between them.
Agriculture 13 00115 g007
Figure 8. Significant interaction of sowing date and fertilization (A) and fertilization and cultivar (B) on crude protein content. The standard error (SD) of each mean is presented as a bar. The occurrence of the same letter pointer at averages (at least one) means that there is no statistically significant difference between them.
Figure 8. Significant interaction of sowing date and fertilization (A) and fertilization and cultivar (B) on crude protein content. The standard error (SD) of each mean is presented as a bar. The occurrence of the same letter pointer at averages (at least one) means that there is no statistically significant difference between them.
Agriculture 13 00115 g008
Figure 9. Significant interaction of cultivar and fertilization on crude starch (2015 year). The standard error (SD) of each mean is presented as a bar. The occurrence of the same letter pointer at averages (at least one) means that there is no statistically significant difference between them.
Figure 9. Significant interaction of cultivar and fertilization on crude starch (2015 year). The standard error (SD) of each mean is presented as a bar. The occurrence of the same letter pointer at averages (at least one) means that there is no statistically significant difference between them.
Agriculture 13 00115 g009
Table 1. Length of growing period (number of days after sowing) depending on sowing date and cultivar.
Table 1. Length of growing period (number of days after sowing) depending on sowing date and cultivar.
Sowing dateYearC1 (cv. Augusta)C2 (cv. Mavka)
S1 (Early)2014146 162
2015138 145
S2 (Late)2014139 155
2015130 137
Table 2. Comparison of yield and TSW of soybean depending on sowing date, fertilization and cultivar.
Table 2. Comparison of yield and TSW of soybean depending on sowing date, fertilization and cultivar.
Factor Seed Yield (dt ha−1) TSW (g)
201420152014–2015201420152014–2015
Sowing dateS126.8 a
±7.37
24.1 a
±6.94
25.5 a
±7.18
169.1 a
±28.2
156.3 a
±29.6
162.7a
±29.1
S224.3 a
±4.41
21.4 a
±4.92
22.8 a
±4.83
163.7 b
±27.7
148.0 b
±20.5
155.8a
±23.8
FertilizerN124.2 a
±6.41
22.1 a
±23.1
23.2 a
±5.90
163.3 a
±23.0
140.3 b
±19.6
151.8a
±20.9
N226.9 a
±5.69
23.4 a
±23.4
25.1 a
±6.46
169.5 b
±32.0
164.0 a
±28.2
166.7a
±29.8
Cultivar C123.9 a
±6.48
22.1 a
±22.1
23.0 a
±6.01
139.9 a
±2.75
135.9 b
±15.1
137.9a
±14.5
C227.2 b
±5.47
23.4 a
±23.4
25.3 a
±6.31
192.9 b
±8.77
168.4 a
±14.6
180.6a
±19.4
S × N0.001 **0.250.001 **0.001 **0.001 **0.38
S × C0.04 *0.050.01 *0.001 **0.001 **0.03 *
N × C0.002 *0.150.420.001 **0.001 **0.001 **
S × N × C0.460.450.930.001 **0.001 **0.78
S1—early sowing date, S2—late sowing date; N1—basic fertilization; N2—increased fertilization; C1—Augusta cultivar; C2—Mavka cultivar. Letter indicators at averages determine the so-called homogeneous groups (statistically homogeneous). The occurrence of the same letter pointer at averages (at least one) means that there is no statistically significant difference between them. Value of SD of each mean is given after ±. * Significant at p = 0.05 probability level. ** Significant at p = 0.01 probability level.
Table 3. N uptake by seeds and nitrogen harvest index (NHI) depending on sowing date, fertilization, and cultivar.
Table 3. N uptake by seeds and nitrogen harvest index (NHI) depending on sowing date, fertilization, and cultivar.
Factor N uptake (kg ha−1) NHI (g g−1)
201420152014–2015201420152014–2015
Sowing dateS1131.9 a
±36.0
124.3 a
±36.8
128.1 a
±36.07
0.87 a
±0.02
0.85 a
±0.02
0.86 a
±0.02
S2117.8 a
±19.5
105.7 a
±23.9
111.7 b
±22.32
0.85 b
±0.02
0.82 b
±0.03
0.84 b
±0.03
FertilizerN1116.2 a
±29.1
111.4 a
±27.6
113.8 a
±28.01
0.86 a
±0.02
0.82 a
±0.01
0.84 a
±0.03
N2133.4 b
±27.9
118.6 a
±36.4
126.0 a
±32.79
0.86 a
±0.02
0.85 b
±0.02
0.85 b
±0.02
Cultivar C1117.5 a
±32.1
110.3 a
±28.7
113.9 a
±30.16
0.86 b
±0.02
0.84 a
±0.01
0.85 a
±0.02
C2132.2 a
±25.3
119.6 a
±35.5
125.9 a
±30.87
0.87 a
±0.02
0.83 b
±0.01
0.85 a
±0.03
S × N0.006 *0.3100.017 *0.000 *0.000 *0.001 *
S × C0.0640.0600.013 *0.017 *0.000 *0.000 *
N × C0.011 *0.1100.7700.045 *0.000 *0.05
S × N × C0.3350.4600.9800.2220.000 *0.003 *
S1—early sowing date, S2—late sowing date; N1—basic fertilization; N2—increased fertilization; C1—Augusta cultivar; C2—Mavka cultivar. Letter indicators at averages determine the so-called homogeneous groups (statistically homogeneous). The occurrence of the same letter pointer at averages (at least one) means that there is no statistically significant difference between them. Value of SD of each mean is given after ±. * Significant at p = 0.05 probability level. ** Significant at p = 0.01 probability level.
Table 4. Comparison of content (g kg−1) of protein, starch and fat in soybean seeds depending on sowing date, fertilization and cultivar.
Table 4. Comparison of content (g kg−1) of protein, starch and fat in soybean seeds depending on sowing date, fertilization and cultivar.
Factor Crude Protein (g kg−1)Crude Starch (g kg−1)Crude Fat (g kg−1)
201420152014–2015201420152014–2015201420152014–2015
Sowing dateS1307.6 a
±9.84
321.1 a
±8.45
314.3 a
±11.3
353.0 b
±15.1
338.7 b
±4.54
345.9 a
±13.1
184.5 a
±7.29
188.5 a
±3.11
186.5 a
±5.88
S2304.2 a
±15.7
309.6 b
±9.44
306.9 b
±13.1
362.9 a
±10.0
341.3 a
±4.47
352.1 a
±13.4
180.2 a
±4.03
188.6 a
±3.10
184.4 a
±5.57
FertilizerN1301.2 b
±12.8
314.8 a
±11.9
307.9
±13.9
358.4 a
±13.6
340.7 a
±5.79
349.5 a
±13.7
182.7 a
±5.52
188.2 a
±3.22
185.4 a
±5.25
N2310.7 a
±11.8
315.9 a
±9.36
313.3
±10.8
357.5 a
±13.9
339.4 a
±3.12
348.5 a
±13.5
181.9 a
±6.98
188.9 a
±2.94
185.5 a
±6.35
Cultivar C1306.4 a
±11.1
311.5 a
±11.3
308.9
±11.3
348.6 b
±10.1
337.7 b
±3.53
343.1 b
±9.30
183.2 a
±6.38
186.2 b
±1.98
184.7 a
±4.90
C2305.5 a
±15.1
319.2 b
±8.47
312.3
±13.9
367.3 a
±9.47
342.4 a
±4.46
354.9 a
±14.6
181.5 a
±6.09
190.9 a
±1.92
186.2 a
±6.54
S × N0.007 *0.230.01 *0.8660.270.760.2720.740.37
S × C0.2550.620.320.2130.620.590.3160.490.36
N × C0.003 *0.240.009 *0.5570.006 *0.760.9210.690.86
S × N × C0.1530.610.520.1650.330.610.1940.6040.41
S1—early sowing date, S2—late sowing date; N1—basic fertilization; N2—increased fertilization; C1—Augusta cultivar; C2—Mavka cultivar. Letter indicators at averages determine the so-called homogeneous groups (statistically homogeneous). The occurrence of the same letter pointer at averages (at least one) means that there is no statistically significant difference between them. Value of SD of each mean is given after ±. * Significant at p = 0.05 probability level. ** Significant at p = 0.01 probability level.
Disclaimer/Publisher’s Note: The statements, opinions and data contained in all publications are solely those of the individual author(s) and contributor(s) and not of MDPI and/or the editor(s). MDPI and/or the editor(s) disclaim responsibility for any injury to people or property resulting from any ideas, methods, instructions or products referred to in the content.

Share and Cite

MDPI and ACS Style

Kulig, B.; Klimek-Kopyra, A. Sowing Date and Fertilization Level Are Effective Elements Increasing Soybean Productivity in Rainfall Deficit Conditions in Central Europe. Agriculture 2023, 13, 115. https://doi.org/10.3390/agriculture13010115

AMA Style

Kulig B, Klimek-Kopyra A. Sowing Date and Fertilization Level Are Effective Elements Increasing Soybean Productivity in Rainfall Deficit Conditions in Central Europe. Agriculture. 2023; 13(1):115. https://doi.org/10.3390/agriculture13010115

Chicago/Turabian Style

Kulig, Bogdan, and Agnieszka Klimek-Kopyra. 2023. "Sowing Date and Fertilization Level Are Effective Elements Increasing Soybean Productivity in Rainfall Deficit Conditions in Central Europe" Agriculture 13, no. 1: 115. https://doi.org/10.3390/agriculture13010115

APA Style

Kulig, B., & Klimek-Kopyra, A. (2023). Sowing Date and Fertilization Level Are Effective Elements Increasing Soybean Productivity in Rainfall Deficit Conditions in Central Europe. Agriculture, 13(1), 115. https://doi.org/10.3390/agriculture13010115

Note that from the first issue of 2016, this journal uses article numbers instead of page numbers. See further details here.

Article Metrics

Back to TopTop