You are currently viewing a new version of our website. To view the old version click .
Agriculture
  • Article
  • Open Access

28 July 2022

Sexual Dimorphism in Bone Quality and Performance of Conventional Broilers at Different Growth Phases

,
,
and
1
Animal Health and Animal Welfare, Faculty of Agricultural and Environmental Sciences, University of Rostock, Justus-von-Liebig-Weg 6b, 18059 Rostock, Germany
2
Department 3.7, Research Livestock, Chamber of Agriculture Lower Saxony, Mars-la-Tour Str. 6, 26111 Oldenburg, Germany
3
Institute for Animal Hygiene, Animal Welfare and Farm Animal Behavior, University of Veterinary Medicine Hannover, Foundation, Bischofsholer Damm 15, 30173 Hanover, Germany
4
Institute of Animal Science, Farm Animal Ethology, University of Bonn, Endenicher Allee 15, 53115 Bonn, Germany
This article belongs to the Special Issue Animal Hygiene on Farms - Realising Animal Health Prevention

Abstract

The objective of this study was to analyze sexual dimorphism with regard to the bone quality of Ross 308 broilers. The relationship between carcass traits, performance and bone quality was analyzed. The effect of sex and age at slaughter was examined in four replicates, always on day 31 and day 38. The weight, length, minimum diameter and breaking strength of the tibiotarsi were measured to determine the bone quality. Female tibiotarsi were shorter, lighter and had a lower minimum diameter and breaking strength compared to male ones. The tibiotarsi of older broilers were found to show higher values in the three-point bending test. The effects on broiler performance were determined by measuring the live body weight, carcass and cut weights. The results demonstrate significant effects of the age at slaughter and the sex (p < 0.001) on all measured parameters, with males always reaching higher values compared to females. A strong correlation of performance and bone parameters could be observed between live weight and weight of the tibiotarsi on both days of data collection. Therefore, it could be beneficial to raise female and male broilers separately. However, in order to make specific recommendations for practice, further knowledge is necessary.

1. Introduction

Many avian species show a distinct sexual dimorphism in color, size or shape. In poultry production, it can be useful to rear males and females separately if the disparities, especially in the size and therefore in the live weight, are striking. Turkeys provide one example for this method, because sex differences in live body weight are strongly pronounced and increase by age [1]. Female turkeys start overproducing fat instead of muscle tissue over time, if they are reared together with the males and are fed the same diet. Furthermore, females reach their peak of the growth rate 25 days earlier compared to males [1]. However, with regard to animal welfare, it is important that there is a market for both sexes.
Conventional broiler chickens are usually housed as hatched (hence mixed sex). Conventional production cycles normally last no longer than 38 to 42 days, and the breeding company attests only small differences regarding the live body weight of male and female broilers at that age. As an example, the live weights mentioned for the conventional strain Ross 308, the strain of the animals in this study, are 2093 g for female and 2376 g for male broilers after 35 days of fattening [2]. In addition, sex determination is laborious and, especially for the large number of animals needed for the conventional broiler production, very time-consuming. Nevertheless, previous studies describe significant sex differences in live body weight and other performance parameters [3,4,5,6,7]. The variations in performance parameters of male and female broilers depend on the availability of food and water. Marks [8] observed no sexual dimorphism if broilers were housed under water-restricted conditions. However, in the control group, with ad libitum water supply, males were significantly heavier than females. Henry and Burke [9] state that the growth potential is already determined in the early embryonic development. Male embryos with a brooding duration of 20 days have a greater number of myofibers than females, which might be the reason for their greater muscle growth, leading to the higher final weight of male broilers at the end of the fattening period. Besides these factors, sex dimorphism also depends on the strain. Accordingly, several authors found significant differences in performance parameters when comparing different genetics [10,11,12,13]. However, more data about performance and carcass composition of male and female broilers are necessary for a differentiated consideration of the performance potential of each sex. Beside gaps in reporting the genetics used and small sample sizes in some of the studies, there is especially a lack of knowledge on the linkage between performance parameters and the bone quality.
Broiler growth increased within 48 years, from 1957 to 2005, by about more than 400% and the feed conversion ratio decreased by about 50% within this time [14]. However, the breeding for higher growth potentials has to consider the animal’s health. Bone strength is an important factor in this context and has already been considered in earlier studies [15,16,17]. Alkhtib et al. [18] determined the bone quality of broilers of the strain Ross 308 by measuring the length, width, breaking strength and mineral composition of male and female tibiotarsi. Certainly, it is already known that the bone stability is affected by many different factors, such as the strain, nutrition, management and the chosen rearing system [10,19,20]. It was observed that physical activity could help to improve the bone health [16,17] and some studies stated that the growth rate could influence the bone quality in terms of bone mineralization and the incidence of tibial dyschondroplasia [15,21]. Although, there is very little known about potential correlations of the live body weight and the bone strength, as well as about the impact of the bone morphology (length and width) on its strength in consideration of different phases of growth.
The objective of this study was to compare the performance parameters and bone quality of male and female broilers at two different dates of the fattening period and thus at different market classes. It was hypothesized that the bone quality is correlated to performance parameters and would consequently differ between sexes. The intention was to investigate whether the live weight compromises the bone quality and how the bone morphology affects its strength. Thus, broiler production and welfare concerns can be combined. This could be of interest in the context of animal health and welfare. In addition, its aim was to clarify to what extent sexual dimorphism of live body weight and bone strength is pronounced in broilers of the strain Ross 308. Clear and resilient data are necessary to decide whether a rearing system separating males and females could also be useful in commercial broiler production.

2. Materials and Methods

2.1. Animals and Management

The study was performed on a practicing farm in southern Germany. The farm housed 25,000 broilers of the fast-growing strain Ross 308 for each fattening period in a conventional broiler facility. Four replicates were included in the study and all birds of the sample were raised in the same stable (20.5 × 61.0 m). The chicks were supplied by the Brüterei Süd ZN of the BWE-Brüterei Weser-Ems GmbH & Co. KG, Regenstauf, Germany. The breeder age varied between production week 25 and 32 (Table 1) within the four replicates. In three of the four fattening periods, the chicks were sexed directly after hatching and males and females were separated. The barn was divided into two sections by cross-cutting the space with small grids. The males (♂) were housed in the rear and the females (♀) in the front of the barn at a ratio of 12,600 ♂:12,400 ♀ in the first two replicates and 16,000 ♂:9000 ♀ in the third one. The size of the two sections was adjusted to the number of birds delivered, resulting in an approximately 50:50 separation of the barn for the first two fattening periods and a 70:30 separation for fattening period 3. After the thinning on day 31, the grids were removed and males were reared together with females for the last seven days of fattening. With this method, a stocking density of ≤35 kg/m2 was realized for both sexes and the mixed-sex group at any time. In the fourth fattening period, chicks were delivered without sexing and also supplied by the Brüterei Süd ZN of the BWE-Brüterei Weser-Ems GmbH & Co. KG, Regenstauf, Germany. The stocking density for the fourth fattening period was ≤35 kg/m2 as well. The assessments of this fattening period were performed, respectively.
Table 1. Overview of the experimental design and the data collection.
The barn was lengthwise equipped with an elevated platform (55.5 m length × 1.20 m width × 0.7 m height), six drinker lines (290 nipples per line) and four feeder lines (76 round feeders per line). The surface of the platform (~66.6 m2) was not included in the officially provided usable area. Therefore, the stocking density was calculated on the basis of the barn floor area, and the platform area can be considered as an enlargement of the usable space. Straw pellets were used as litter material (1 kg/m2). Long straw was scattered if litter was wet during the fattening period at certain areas of the barn. After every production cycle the litter was removed completely, the facility was washed, disinfected and prepared for the next housing. Before housing, the stable was heated to 33 °C air temperature. The lighting program started with 23 h of artificial light and 1 h of darkness. In the following days, the dark period evenly increased up to 6 h (00–06 a.m.) from the sixth day of fattening until the end of the fattening period.
Food and water were provided ad libitum. Males and females were fed the same commercial fattening diet (Starter, Grower Feed and Finisher, KAMA-Kraftfutterwerk Karl Mansdörfer GmbH & Co. KG, Senden-Iller, Germany). Due to the technical equipment available in the barn, the feed amount could not be recorded separately for males and females. The diets were formulated mainly using wheat, soybean meal extract, corn, colza meal extract and soybean oil. The calculated compositions of the diets are shown in Table 2.
Table 2. Calculated compositions of the diets.
All chicks were vaccinated against infectious bronchitis (day 0) in the hatchery and subsequently against Gumboro (infectious bursal disease) (day 10), against Newcastle disease (day 14) and once more against infectious bronchitis (day 16).

2.2. Data Collection

Animals were slaughtered on day 31 and day 38 within each of the four replicates. The farm generally slaughtered females on day 31, while males were slaughtered on day 38. However, for the collection of data for this study, 60 broilers of both sexes (30 per sex) were randomly selected on both days of slaughtering, placed in separate crates and transported to the slaughterhouse within a distance of 6 km. All broilers were weighed to record the live weight before being slaughtered by electrical stunning and bleeding. Afterwards, all animals of the sample were marked and passed the usual slaughtering process up to the cooling. All carcasses were disjointed in the same way and the determined sex was confirmed by examining the gonads. The parts with skin (wing, breast with bone and thigh) were weighed in grams with a digital scale (Kern 440-53N, Kern & Sohn GmbH, Balingen, Germany) and one thigh (left and right alternating and randomly selected in equal parts) of each carcass was withheld for the preparation of the tibiotarsus. The muscle tissue was carefully removed using a scalpel blade. All bones were weighed in grams (fresh), measured in length (cm) and minimum diameter (mm) (Figure 1) with a digital caliper and then frozen (−20.0 °C) for later determination of the bone breaking strength.
Figure 1. Prepared tibiotarsus for measuring of minimum diameter and length, with marked centre-point for three-point bending test.
For the three-point bending test, the bones were thawed in small groups (max. 60 bones at a time) and the center point of each bone (Figure 1) was marked. The FMT-310BUK1 Force Tester (ALLURIS GmbH & Co. KG, Freiburg im Breisgau, Germany) was used to measure the peak force (N) and the deformation at peak (mm) by a constant speed of 5 mm/min and a distance between support blocks, on which the bones were placed, of 40 mm.

2.3. Statistical Analysis

The SAS software (SAS, Version 9.4, Statistical Analysis Institute, Cary, NC, USA) was used for statistical analysis.
Data were analyzed using generalized linear mixed models (GLIMMIX procedure), assuming a normal distribution. Residuals and data were checked for distribution based on normality plots created with the univariate procedure in SAS. Parameters referring to the performance included live body and carcass weight, as well as the weight of the thigh, breast and wings. Parameters referring to the bone quality included length, weight and minimum diameter of the tibiotarsi and parameters measured with the three-point bending test, such as peak force and deformation at peak of the tibiotarsi. The ANOVAs were calculated for each parameter separately. Age at slaughter (day 31, day 38), sex (male, female) and the interaction between both were included as fixed factors. For bone parameters, the side of the tibiotarsus (left, right) was similarly included as a fixed effect. Pairwise comparisons within the fixed factors (e.g., day 31 vs. day 38; male vs. female; left vs. right) were conducted using Tukey–Kramer tests.
Furthermore, correlation analyses were conducted for all parameters of the bone quality on each age at slaughter (sex not specified) and for each sex per age, using the CORR procedure. Pearson correlation coefficients (rP) were calculated.
The level of significance was set for p < 0.05.

3. Results

3.1. Performance Parameters

The effects of sex and age at slaughter are presented in Table 3. The average live body weight of male broilers was 344 g (+19.17%) higher compared to female broilers. Males were found to have a 240 g (+18.27%) higher carcass weight than females, and thighs were 76.3 g (+18.25%) heavier, wings 21.5 g (+15.50%) heavier and the breast 98.8 g (+19.36%) heavier compared to females. All these sex differences in the measured performance parameters were found to be significant (all p < 0.001).
Table 3. Performance parameters of male and female broilers (average value of day 31 and day 38) and on day 31 and day 38 (average value of males and females) within four replicates.
The average live body weight increased significantly by 702 g (+43.27%) between day 31 and day 38. The weight gain of the carcass was 520 g (+44.37%), thighs increased by 154 g (+40.81%), wings by 50.0 g (+40.18%) and the breast by 236 g (+53.61%) within one week. Therefore, regarding the age at slaughter, a significant impact could be detected for all parameters as well (all p < 0.001).
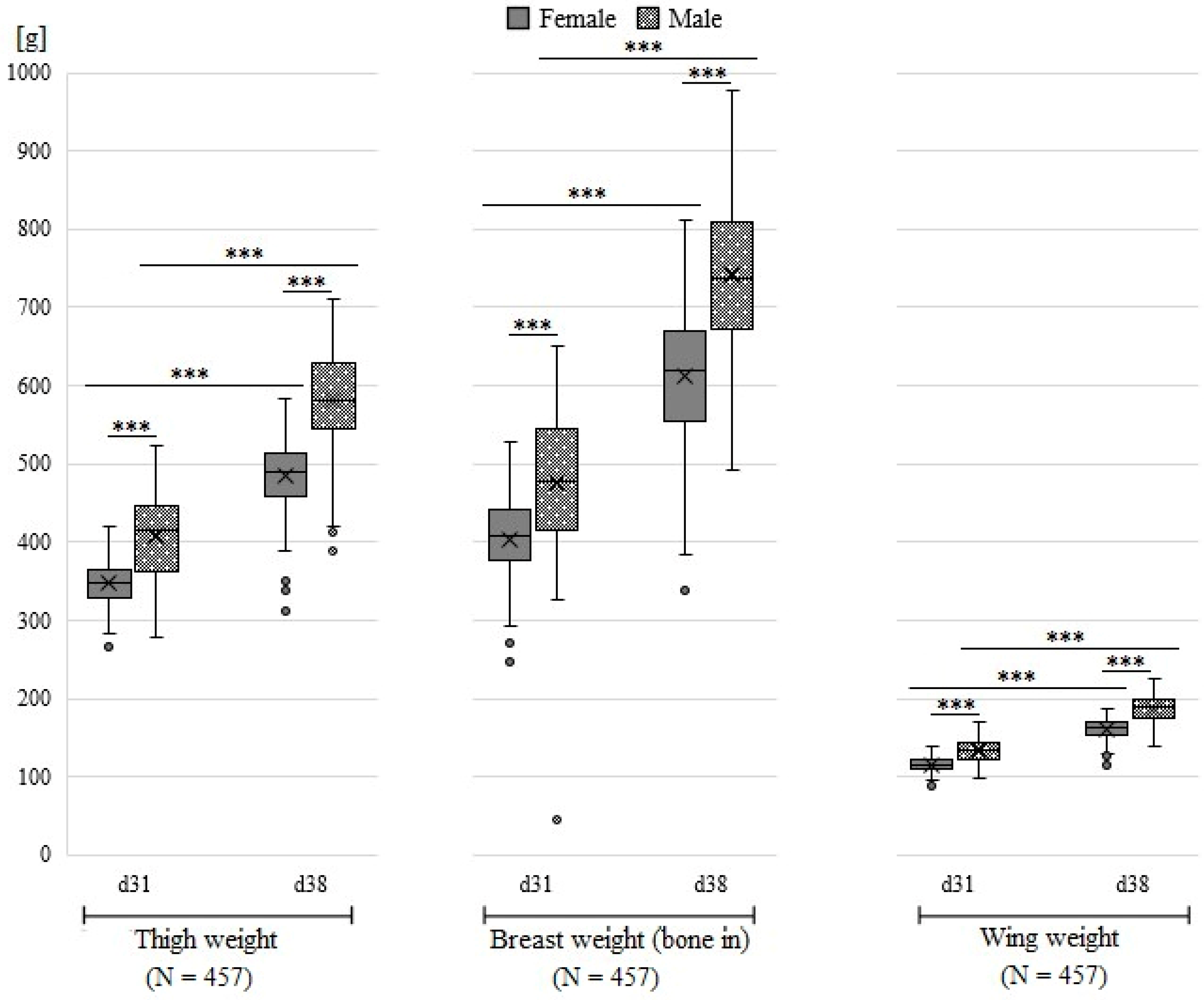
Furthermore, the effect of the interaction of age at slaughter and sex are shown in Figure 2 and Figure 3. A breast weight of 476 g on day 31 and 742 g on day 38 of male broilers in comparison to 404 g (day 31) and 612 g (day 38) of female broilers could be observed. With an increase of 55.89% between both ages at slaughter, the breast of the male broilers showed the highest rate of growth in this study. Males had 60.3 g (+17.35%) heavier thighs at day 31 compared to females. This sex difference in thigh weight increased up to 95.2 g (+19.63%) seven days later. All differences in thigh, breast and wing weight between males and females on day 31 and day 38 were significant (p < 0.001).
Figure 2. Effect of the interaction between sex (females presented in gray, males presented with patterns) and age at slaughter (day 31, day 38) on live body weight and carcass weight. Results are presented as boxplots (data range, median, lower quartile, and upper quartile; outliers are included in the graph as dots); significant differences between sex and age are marked by asterisks: *** p < 0.001 (Tukey–Kramer tests).
Figure 3. Effect of the interaction between sex (females presented in gray, males presented with patterns) and age at slaughter (day 31, day 38) on thigh, breast and wing weight. Results are presented as boxplots (data range, median, lower quartile, and upper quartile; outliers are included in the graph as dots); significant differences between sex and age are marked by asterisks: *** p < 0.001 (Tukey–Kramer tests).
The same effect (p < 0.001) was determined regarding live body weight and carcass weight. Male broilers showed an average live body weight of 1752 g on day 31, which was 267 g (+17.99%) more than the live weight found in females. On fattening day 38, the average live body weight of female broilers was 2109 g. Male broilers of the same age weighed 2527 g (+19.84%). The carcass weight of male broilers increased by 46.03% within seven days, compared to an increase by 42.99% in the carcass weight of females.

3.2. Bone Parameters

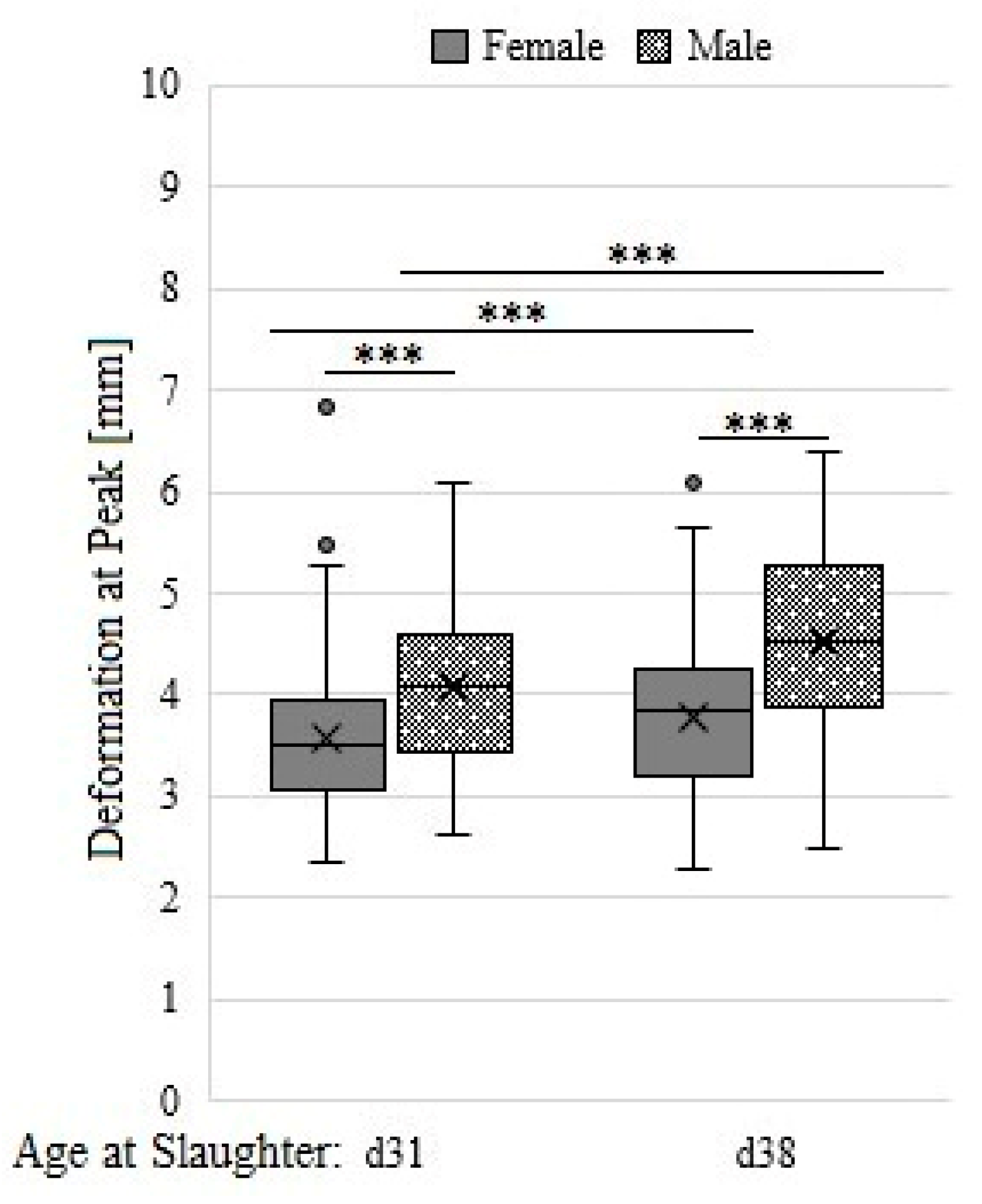
The results of the measurements regarding the bone quality are presented in Figure 4, Figure 5 and Figure 6. The highest levels in the bone parameters weight, length and minimum diameter of the bone, peak force and deformation at peak can be observed in males on fattening day 38. The average weight of a tibiotarsus on day 31 was 10.2 g and increased recognizably (p < 0.001) to 14.3 g seven days later (+40.23%). Tibiotarsus length and minimum diameter substantially increased (p < 0.001) between day 31 and day 38 as well. Length of the tibiotarsus increased by 13.10%, the minimum diameter by 15.95%, the breaking strength by 25.54% and the deformation at peak by 8.45% in seven days.
Figure 4. Effect of the interaction between sex (females presented in gray, males presented with patterns) and age at slaughter (day 31, day 38) on tibiotarsus weight, length and minimum diameter. Results are presented as boxplots (data range, median, lower quartile, and upper quartile; outliers are included in the graph as dots); significant differences between sex and age are marked by asterisks: *** p < 0.001 (Tukey–Kramer tests).
Figure 5. Effect of the interaction between sex (females presented in gray, males presented with patterns) and age at slaughter (day 31, day 38) on measured peak force of the tibiotarsus (N = 445). Results are presented as boxplots (data range, median, lower quartile, and upper quartile; outliers are included in the graph as dots); significant differences between sex and age are marked by asterisks: *** p < 0.001 (Tukey–Kramer tests).
Figure 6. Effect of the interaction between sex (females presented in gray, males presented with patterns) and age at slaughter (day 31, day 38) on measured deformation at peak of the tibiotarsus (N = 445). Results are presented as boxplots (data range, median, lower quartile, and upper quartile; outliers are included in the graph as dots); significant differences between sex and age are marked by asterisks: *** p < 0.001 (Tukey–Kramer tests).
Male and female broilers vary considerably at both times of slaughter in length, weight and minimum diameter of the tibiotarsi (Figure 4) and also in breaking strength (Figure 5) and deformation at peak (Figure 6). The fresh weight of a male tibiotarsus was on average 25.54% greater, they were 3.21% longer and they had a greater minimum diameter (+14.63%) compared to females. The average peak force of female tibiotarsi was 191 N and the measured deformation at peak was 3.67 mm, compared to a peak force of 224 N and 4.30 mm deformation at peak for male tibiotarsi. Peak force increased from day 31 to day 38 by 50.0 N (+25.27%) for males and by 43.4 N (+25.74%) for females (Figure 5). The effect of sex and age at slaughter were found to be significant (all p < 0.001) on all measured bone parameters.
The side (left or right tibiotarsus) did not significantly affect any of the examined bone parameters, such as weight, length, minimum diameter, peak force and deformation at peak on any of the two assessment days (Table 4).
Table 4. Left and right tibiotarsus weight, length, minimum diameter, peak force and deformation at peak on day 31 and day 38 for male and female broilers.

3.3. Correlations

The correlation analyses for each sex per age are presented in Table 5. For most combinations, the correlation was significant for both sexes and both days. The highest correlation coefficient could be found between the tibia minimum diameter and the peak force of male broilers on day 31. However, the analyzed values varied considerably between the dates or the sex within a group of the same combined parameters, e.g., tibia minimum diameter × peak force.
Table 5. Pearson correlation coefficients (rP) for the parameters live body weight, tibiotarsus weight, length, minimum diameter, peak force, deformation at peak and each sex per age of slaughtering (day 31, day 38), NS = not significant, * p < 0.05, ** p < 0.01, *** p < 0.001.
The strongest correlation of performance and bone parameters could be found between live weight and weight of the tibiotarsus on day 31 (rP = 0.786, p < 0.001) and on day 38 (rP = 0.766, p < 0.001). The live weight also correlates with the minimum diameter, length and breaking strength of the tibiotarsus on both dates (rP = 0.464 to 0.739, p < 0.001).
Within the bone parameters, breaking strength correlates to weight (day 31: rP = 0.579, day 38: rP = 0.484, p < 0.001), length (day 31: rP = 0.316, p < 0.001, day 38: rP = 0.233, p < 0.001) and the minimum diameter of the tibiotarsus (day 31: rP = 0.690, day 38: rP = 0.449, p < 0.001). The tibiotarsus minimum diameter correlates with the length on day 31 (rP = 0.550, p < 0.001) and on day 38 (rP = 0.402, p < 0.001) as well, and another weak correlation could be found between tibiotarsus length and deformation at peak of the tibiotarsus (day 31: rP = 0.320, day 38: rP = 0.266, p < 0.001).
Moreover, no significant correlation could be found for tibia length × minimum diameter for 38-day-old males as well as for tibia length × peak force and tibia length × deformation at peak for females in general.

4. Discussion

The results of the presented study found significant differences in both bone quality and performance, due to the sex. Furthermore, a significant effect of age and the interaction between age and sex were found. These results confirm the initial hypotheses on the basis of previous studies, expecting an effect of sex and age at slaughter on all parameters addressed in this study. This might be relevant for broiler production systems, indicating a beneficial effect of raising male and female broilers separately.

4.1. Performance Parameters

Age at slaughter was revealed to have a significant effect on the performance. In general, the live body weight increased with an average of 702 g (+43.27%) between day 31 and day 38, which underlines the enormous growth rate in the last week of the fattening period. Müller Fernandes et al. [11] concluded that the daily weight gain of broilers of the strain Ross 308 increases until fattening day 35. Afterwards, the daily growth decreases; thus, the growth rate slows down. According to this, the data collection for this study took place around the peak of the growth curve of Ross 308, stated by Müller Fernandes et al. [11]. The inflection point of the growth curve depends on the strain and the sex [11].
Males were already significantly heavier (+17.99%) on fattening day 31 compared to females. This corresponds to Trocino et al. [6], who observed significant differences in the live weight between male and female broilers on day 22 and day 46, using a standard-breast-yield genotype and a high breast-yield genotype for their investigations. In accordance with these results, Müller Fernandes et al. [11] also discovered a high impact of the sex on live weight for broilers of the strain Ross 308 and other commercial strains. A certain degree of sex dimorphism is already shown in the performance objectives of Ross 308 [2]. However, the therein-declared differences in live body weight between males and females are lower than those observed in this study. A target weight of 1955 g for male and 1747 g for female broilers is indicated on fattening day 31 (+11.91%) [2]. In comparison, the results of this study showed that males were 17.99% heavier compared to females at the same age. On day 38, Aviagen [2] states a higher live weight of males of about 14.74% and, in this study, males were 19.84% heavier than females. However, it should be noted that, due to practical reasons, in this study male broilers were always housed in the rear and the females in the front of the barn. Therefore, effects caused by the environment cannot be excluded completely. Furthermore, for the interpretation of data, it has to be kept in mind that the present study includes data of one farm only; results might therefore be influenced by the farm’s specific management. Nevertheless, the results of this study and the data of Aviagen [2] show the same trend—the sex differences in live body weight increase with age. Similar results were also found by Laseinde and Oluyemi [3]. They calculated a divergence ratio for the body weight gain per week by dividing the male by the female values to express the sexual dimorphism and observed a gradual increase in this coefficient up to the 8th week of the growth period. Our results indicate that if, for the thinning, only female broilers were selected and male broilers were withheld, the yield would increase. Due to that, the efficiency of the total fattening period could be improved. This method would enable a greater utilization of the higher male growth potential, despite both sexes being used. In addition, this increase in efficiency is not depending on a further breeding progress for a higher growth potential. Keeping in mind that some studies observed heavier and fast-growing broilers being more prone to leg problems and lameness [22,23], this method might serve to protect the animal’s welfare.

4.2. Bone Parameters

The tibiotarsi of male broilers were longer, heavier, had a greater minimum diameter and a higher breaking strength compared to the females, which was to be expected and coincides with results of previous studies [18,24,25].
Bone stability is affected by many different factors, such as nutrition, the rearing system and the management [19,20], which makes it more complex to ensure an adequate bone quality. Bond et al. [26] stated that the tibiotarsi of cage-reared broilers are shorter in comparison to floor-reared broilers. Broilers in treatments with barriers, placed between drinker line and feeder line, have an increased diameter of the tibial diaphysis [27]. In addition, Skrbic et al. [16] showed an improved tibia quality of broilers reared in lower stocking densities. The waiver of cages, a reduced stocking density and barriers—all of these measures cause an increased activity and therefore an enhanced bone quality.
In this study, both sexes were raised in the same stable, within identical conditions. That leads to the assumption that the differences in the bone parameters between males and females can be considered as physiological ones. The findings agree with those of Ziaei et al. [28], who state that bones of males have greater minimum and maximum diameter and greater peak forces on day 39 compared to females. They suggested a better mineral retention in bones of male broilers. However, Han et al. [29] could not find significant differences in calcium, phosphorus and ash content of leg bones of males and females. Rath et al. [30] showed that testosterone implants lead to an increase in bone strength of young broilers. So, the observed variations in the bone quality might to a certain extent be caused by hormonal differences. Mönch et al. [31] stated a higher risk for epiphysiolysis after mechanical loading for 37-to-42-day-old female broilers and assumed differences in skeletal development due to hormonal differences as a possible reason.

4.3. Correlations

The results from this study show a link between the body weight and the bone stability. The tibiotarsi of heavier animals had a higher peak force in the three-point bending test and a greater minimum diameter. This positive correlation is important because weak legs could lead to reduced activity and, due to this, the feed and water intake would decrease. Therefore, the selection of growth necessarily has to consider the strength of the bones. Based on the results of this study, a higher live weight does not compromise the bone strength as a key benchmark of bone quality. Previous studies observed that broilers with higher growth rates have worse gait scores [21,22]. However, the growth rate cannot be equated with the actual body weight in this discussion, which was determined in this study. Therefore, the comparability is limited. The interaction of the bone strength and lameness was not part of this study but needs to be considered for a holistic approach. Bizeray et al. [27] observed an impaired gait score but no effect on bone strength when comparing three enriched treatments and one control with regard to the leg condition. This indicates that there is little informative value in a comparison of the bone strength and the gait score.
The peak force increased from day 31 to day 38 by 25.27% for males and by 25.74% for females, whereas the relative increase in the live weight was higher for males (+44.22%) compared to females (+42.00%) within the same period. Therefore, these results indicate that the weight gain and the increase in the bone strength is not coordinated in the same way for males and females. Although, the Pearson correlation coefficient for peak force × live body weight is higher for males than for females.
In addition, it was found that there is a stronger correlation between peak force × minimum diameter of the tibiotarsus than between peak force × length of the tibiotarsus. Therefore, the bone morphology affects its strength. In order to improve the bone stability, it is especially important that the width is taken into account.

5. Conclusions

The significant sex differences found for all considered performance parameters in this study confirm the results of previous studies. The research was conducted on a commercial practicing farm, which underlines the relevance of these results for commercial broiler production on the one hand, and provides a new perspective on present findings on the other hand.
Sex differences could also be affirmed for the bone quality. Differences in the breaking strength of males and females seem to be of a physiological nature. Regarding this fact, further investigations are necessary to understand this apparent disparity.
Furthermore, strong correlation of both the live weight and the bone morphology with the bone quality could be found for both sexes. At the same time, the weight gain and the increase in the bone strength do not appear to be coordinated equally for males and females. It is necessary to get to know these interrelationships between weight gain and the increase in the bone strength better, to provide insight into the welfare of fast-growing broilers.
Altogether, the results of the present study might serve as a starting point to discuss the benefits of rearing broilers separately according to sex and, in consequence, feed them differently according to their growth characteristics. With this method, the productivity might increase without the need to breed in favor of a higher performance, which could have an impact on animal welfare as well.
However, to be able to make specific recommendations, further research in order to confirm the replicability of results on other farms is needed. Furthermore, the effect of an appropriate feeding system for each sex should be added to the study design in this context.

Author Contributions

B.S. was responsible for financial acquisition and initial project development. J.M., H.L., B.S. and J.S. contributed to conceptualization and methodology of the study. J.M. and J.S. collected the experimental data. J.S. performed the statistical analysis. J.M. contributed figures and tables and wrote the first draft of the manuscript. J.M., H.L., B.S. and J.S. contributed to manuscript revision, read, and approved the submitted version. J.M., H.L., B.S. and J.S. agree to be accountable for the content of the work. All authors have read and agreed to the published version of the manuscript.

Funding

This work (Model and Demonstration Project for animal welfare) is financially supported by the Federal Ministry of Food and Agriculture based on a decision of the Parliament of the Federal Republic of Germany, granted by the Federal Office for Agriculture and Food (Funding number: 2817MDT301/11).

Institutional Review Board Statement

The study did not include procedures to animals of a type that requires formal approval from an animal ethics committee because the whole data collection, except the recording of the live body weight, took place after slaughter and all animals were slaughtered for the use in the food chain. Recording the body weight of broilers is considered as good practice in management of broiler flocks. All authors confirm that any aspect of the work covered in this manuscript that has involved animals has been conducted according to the Guide for the Care and Use of Agricultural Animals in Research and Teaching, fourth edition, 2020, published by the American Dairy Science Association, the American Society of Animal Science, and the Poultry Science Association. All animals used were housed according to the German Order on the Protection of Animals and the Keeping of Production Animals prior to slaughter. Sampling procedures were in accordance with the German Animal Welfare Act, the regulations on the welfare of animals used for experiments or for other scientific purposes and national and international regulations on the welfare of animals at slaughter (Council Regulation (EC) No 1099/2009, of 24 September 2009, on the protection of animals at the time of killing).

Data Availability Statement

The datasets generated during the current study are available from the authors on reasonable request.

Acknowledgments

The authors would like to thank the staff of the farm for the provision of birds and facilities, as well as the slaughterhouse and the staff for the support, especially during the data collection. Special thanks are given to Peter Hiller (Chamber of Agriculture Lower Saxony, Oldenburg, Germany), who supported the study with his advice, to Martin Andersen (University of Rostock, Rostock, Germany) for his commitment in the laboratory and to Franziska May (University of Veterinary Medicine Hannover, Hanover, Germany) for her general assistance during the project. We acknowledge financial support by Deutsche Forschungsgemeinschaft and Universität Rostock within the funding programme Open Access Publishing.

Conflicts of Interest

The authors declare that the research was conducted in the absence of any commercial or financial relationships that could be construed as a potential conflict of interest.

References

  1. Tůmová, E.; Gous, R.M.; Chodová, D.; Ketta, M. Differences in growth and carcass composition of growing male and female turkeys. Czech J. Anim. Sci. 2020, 65, 330–336. [Google Scholar] [CrossRef]
  2. Aviagen–Broiler Ross 308 Performance Objectives. Available online: http://eu.aviagen.com/tech-center/download/1339/Ross308-308FF-BroilerPO2019-EN.pdf (accessed on 21 November 2021).
  3. Laseinde, E.A.O.; Oluyemi, J.A. Sexual dimorphism in the growth pattern of broilers under different dietary and housing conditions. Nig. J. Anim. Prod. 1997, 24, 1–6. [Google Scholar]
  4. Shahin, K.A.; Elazeem, F.A. Effects of breed, sex and diet and their interactions on carcass composition and tissue weight distribution of broiler chickens. Arch. Tierz. 2005, 48, 612–626. [Google Scholar] [CrossRef]
  5. Adedibu, I.I.; Ayorinde, K.L. Sexual Dimorphism in Predicting Body Weight of Two Broiler Strains. Nigeria. J. Anim. Sci. 2011, 13, 20–31. [Google Scholar]
  6. Trocino, A.; Piccirillo, A.; Birolo, M.; Radaelli, G.; Bertotto, D.; Filiou, E.; Petracci, M.; Xiccato, G. Effect of genotype, gender and feed restriction on growth, meat quality and the occurrence of white striping and wooden breast in broiler chickens. Poult. Sci. 2015, 94, 2996–3004. [Google Scholar] [CrossRef]
  7. Madilindi, M.A.; Mokobane, A.; Letwaba, P.B.; Tshilate, T.S.; Banga, C.B.; Rambau, M.D.; Bhebhe, E.; Benyi, K. Effects of sex and stocking density on the performance of broiler chickens in a subtropical environment. S. Afr. J. Anim. Sci. 2018, 48, 459–468. [Google Scholar] [CrossRef]
  8. Marks, H.L. The Role of Water Intake on Sexual Dimorphism for Early Growth of Broilers. Poult. Sci. 1986, 65, 433–435. [Google Scholar] [CrossRef]
  9. Henry, M.H.; Burke, W.H. Sexual Dimorphism in Broiler Chick Embryos and Embryonic Muscle Development in Late Incubation. Poult. Sci. 1998, 77, 728–736. [Google Scholar] [CrossRef] [PubMed]
  10. Shim, M.Y.; Karnuah, A.B.; Mitchell, A.D.; Anthony, N.B.; Pesti, G.M.; Aggrey, S.E. The effects of growth rate on leg morphology and tibia breaking strength, mineral density, mineral content, and bone ash in broilers. Poult. Sci. 2012, 91, 1790–1795. [Google Scholar] [CrossRef]
  11. Müller Fernandes, J.I.; Bortoluzzi, C.; Triques, G.E.; Garcez Neto, A.F.; Peiter, D.C. Effect of strain, sex and age on carcass parameters of broilers. Acta Sci. Anim. Sci. 2013, 35, 99–105. [Google Scholar] [CrossRef]
  12. Kareem, O.L.; Zubair, J.I.; Useni, S.S.; Zanna, A. Effects of sexual dimorphism on two strains of broiler birds (Anak and Shaver). Gashua J. Irrig. Desertf. Stud. 2016, 2, 149–157. [Google Scholar]
  13. Nogueira, B.R.F.; Reis, M.P.; Carvalho, A.C.; Mendoza, E.A.C.; Oliveira, B.L.; Silva, V.A.; Bertechini, A.G. Performance, Growth Curves and Carcass Yield of Four Strains of Broiler Chicken. Braz. J. Poult. Sci. 2019, 21, 1–8. [Google Scholar] [CrossRef]
  14. Zuidhof, M.J.; Schneider, B.L.; Carney, V.L.; Korver, D.R.; Robinson, F.E. Growth, efficiency, and yield of commercial broilers from 1957, 1978, and 2005. Poult. Sci. 2014, 93, 2970–2982. [Google Scholar] [CrossRef] [PubMed]
  15. Williams, B.; Solomon, S.; Waddington, D.; Thorp, B.; Farquharson, C. Skeletal development in the meat-type chicken. Br. Poult. Sci. 2000, 41, 141–149. [Google Scholar] [CrossRef] [PubMed]
  16. Skrbic, Z.; Pavlovski, Z.; Lukic, M.; Milic, D. The effect of rearing conditions on carcass slaughter quality of broilers from intensive production. Afr. J. Biotechnol. 2011, 10, 1945–1952. [Google Scholar]
  17. Pedersen, I.J.; Tahamtani, F.M.; Forkman, B.; Young, J.F.; Poulsen, H.D.; Riber, A.B. Effects of environmental enrichment on health and bone characteristics of fast growing broiler chickens. Poult. Sci. 2020, 99, 1946–1955. [Google Scholar] [CrossRef] [PubMed]
  18. Alkhtib, A.; Sanni, C.O.; Burton, E.; Scholey, D. What is “normal”? Morphology and mineralization of tibias from healthy, on farm broilers. J. Appl. Poult. Res. 2021, 30, 100190. [Google Scholar] [CrossRef]
  19. Rath, N.C.; Huff, G.R.; Huff, W.E.; Balog, J.M. Factors Regulating Bone Maturity and Strength in Poultry. Poult. Sci. 2000, 79, 1024–1032. [Google Scholar] [CrossRef]
  20. Dibner, J.J.; Richards, J.D.; Kitchell, M.L.; Quiroz, M.A. Metabolic Challenges and Early Bone Development. J. Appl. Poult. Res. 2007, 16, 126–137. [Google Scholar] [CrossRef]
  21. Fanatico, A.C.; Pillai, P.B.; Hester, P.Y.; Falcone, C.; Mench, J.A.; Owens, C.M.; Emmert, J.L. Performance, livability, and carcass yield of slow- and fast-growing chicken genotypes fed low-nutrient or standard diets and raised indoors or with outdoor access. Poult. Sci. 2008, 87, 1012–1021. [Google Scholar] [CrossRef] [PubMed]
  22. Kestin, S.C.; Gordon, S.; Su, G.; Sørensen, P. Relationships in broiler chickens between lameness, liveweight, growth rate and age. Vet. Rec. 2001, 148, 195–197. [Google Scholar] [CrossRef] [PubMed]
  23. Shim, M.Y.; Karnuah, A.B.; Anthony, N.B.; Pesti, G.M.; Aggrey, S.E. The effects of broiler chicken growth rate on valgus, varus, and tibial dyschondroplasia. Poult. Sci. 2012, 91, 62–65. [Google Scholar] [CrossRef] [PubMed]
  24. Rath, N.C.; Balog, J.M.; Huff, W.E.; Huff, G.R.; Kulkarni, G.B.; Tierce, J.F. Comparative differences in the composition and biomechanical properties of tibiae of seven- and seventy-two-week-old male and female broiler breeder chickens. Poult. Sci. 1999, 78, 1232–1239. [Google Scholar] [CrossRef] [PubMed]
  25. Applegate, T.J.; Lilburn, M.S. Growth of the Femur and Tibia of a Commercial Broiler Line. Poult. Sci. 2002, 81, 1289–1294. [Google Scholar] [CrossRef]
  26. Bond, P.L.; Sullivan, T.W.; Douglas, J.H.; Robeson, L.G. Influence of Age, Sex, and Method of Rearing on Tibia Length and Mineral Deposition in Broilers. Poult. Sci. 1991, 70, 1936–1942. [Google Scholar] [CrossRef] [PubMed]
  27. Bizeray, D.; Estevez, I.; Leterrier, C.; Faure, J.M. Influence of Increased Environmental Complexity on Leg Condition, Performance, and Level of Fearfulness in Broilers. Poult. Sci. 2002, 81, 767–773. [Google Scholar] [CrossRef]
  28. Ziaei, N.; Guy, J.H.; Edwards, S.A.; Blanchard, P.J.; Ward, J.; Feuerstein, D. Effect of Gender on Factors Affecting Excreta Dry Matter Content of Broiler Chickens. J. Appl. Poult. Res. 2007, 16, 226–233. [Google Scholar] [CrossRef]
  29. Han, J.C.; Qu, H.X.; Wang, J.G.; Chen, G.H.; Yan, Y.F.; Zhang, J.L.; Hu, F.M.; You, L.Y.; Cheng, Y.H. Comparison of the Growth and Mineralization of the Femur, Tibia, and Metatarsus of Broiler Chicks. Braz. J. Poult. Sci. 2015, 17, 333–340. [Google Scholar] [CrossRef]
  30. Rath, N.C.; Huff, W.E.; Balog, J.M.; Bayyari, G.R. Effect of gonadal steroids on bone and other physiological parameters of broiler chickens. Poult. Sci. 1996, 75, 556–562. [Google Scholar] [CrossRef]
  31. Mönch, J.; Rauch, E.; Hartmannsgruber, S.; Erhard, M.; Wolff, I.; Schmidt, P.; Schug, A.R.; Louton, H. The welfare impacts of mechanical and manual broiler catching and of circumstances at loading under field conditions. Poult. Sci. 2020, 99, 5233–5251. [Google Scholar] [CrossRef]
Publisher’s Note: MDPI stays neutral with regard to jurisdictional claims in published maps and institutional affiliations.

Article Metrics

Citations

Article Access Statistics

Multiple requests from the same IP address are counted as one view.