Next Article in Journal
Production and Profitability of Hybrid Rice Is Influenced by Different Nutrient Management Practices
Next Article in Special Issue
African Swine Fever: Prevalence, Farm Characteristics, Farmer’s Insight and Attitude toward Reporting of African Swine Fever Cases in the Northwest, West, Littoral and Southwest Regions of Cameroon
Previous Article in Journal
DigiPig: First Developments of an Automated Monitoring System for Body, Head and Tail Detection in Intensive Pig Farming
Previous Article in Special Issue
Potential Benefits of Boswellia sacra Resin on Immunity, Metabolic Status, Udder and Uterus Health, and Milk Production in Transitioning Goats
 
 
Font Type:
Arial Georgia Verdana
Font Size:
Aa Aa Aa
Line Spacing:
Column Width:
Background:
Article

Implementation of Straw Racks in Commercial Pig Housing—Impact on Straw Availability and Pig Behaviour

1
Department of Animal Environment and Health, Swedish University of Agricultural Sciences (SLU), P.O. Box 70568, 750 07 Uppsala, Sweden
2
Department of Animal Environment and Health, Swedish University of Agricultural Sciences (SLU), P.O. Box 234, 532 23 Skara, Sweden
*
Author to whom correspondence should be addressed.
Agriculture 2022, 12(1), 5; https://doi.org/10.3390/agriculture12010005
Submission received: 30 November 2021 / Revised: 17 December 2021 / Accepted: 18 December 2021 / Published: 21 December 2021
(This article belongs to the Special Issue Animal Hygiene on Farms - Realising Animal Health Prevention)

Abstract

This study investigated if straw racks, which enable larger straw rations, induced a more straw-directed behaviour in pigs, as a mean to facilitate the provision of manipulable material and natural behaviour. It was conducted on a commercial farm (459 pigs, 42 pens, 30–120 kg) where half of the pens received 25 L of straw on the floor (CONTROL) and the other half of the pens received straw in a rack holding 44 L of straw (RACK). The pig behaviour in five randomly assigned pens per treatment were recorded for 24 h, during three periods of production. Pig activity levels, exploratory behaviour, pen utilization and available clean straw were scan sampled. During period 1, no pigs were observed interacting with the straw racks. During this period, CONTROL pigs conducted more straw-directed behaviour and less pen-directed behaviour compared to pigs in the pens with a rack during period 1. The lack of rack interactions may imply an underdeveloped spatial cognition in the pigs. Apart from period 1, there were no significant difference in behaviour between RACK and CONTROL pigs. The racks did not disturb the use of the pen. The absent treatment effect in periods 2 and 3 may reflect that there was a too small difference in straw ration between the treatments. In order to design and implement straw racks that promote straw interaction, future studies should focus on understanding pigs’ spatial cognition.

1. Introduction

Pigs, as well as their ancestor the wild boar, are explorative animals spending most of their time conducting different types of exploratory behaviours such as sniffing, rooting, chewing and biting [1,2]. Exploratory behaviour is considered a behavioural need and hence, although pigs in commercial production are presented with feed, resting places and secured from predators, the pigs still have the urge to perform exploratory behaviour [1,3]. In barren production systems where the possibilities to satisfy the explorative needs are limited or lacking, pigs may therefore redirect their interest towards other pen mates, resulting in tail biting [1,4]. Further, pigs in barren environments have been found to rest more compared to pigs in more enriched environments [3]. A high amount of inactivity can be considered an abnormal behaviour although it has previously been consider positive as it can help maintain a high growth rate [3]. Under commercial conditions, the possibility for the pigs to conduct exploratory behaviour is commonly fully dependent on the provision of material to explore, as the pen itself mainly consists of fixed fittings which provides little or short-term exploratory options.
Tail biting is a common problem in modern pig production causing reduced production and welfare among bitten as well as biting pigs [4,5,6]. Historically, tail biting is mainly prevented by docking of the tail, as the shortened tail is thought to be less tempting for the biting pig and more sensitive to biting, and thereby the bitten pig is less accepting of the biting [4,7,8,9]. Tail docking causes acute pain as well as increases the risk of developing neuromas inducing long term pain in the pigs [4,10,11]. Tail docking does not eliminate tail biting as docked pigs often still show signs of tail biting at slaughter [12,13,14,15]. The docking does not attempt either to solve the underlying issue, namely the unsuitable environment that pigs are raised in. A sustainable solution should aim to fulfil the explorative needs and thereby minimise the risk for the development of tail biting. Thereto, the concern for animal welfare has increased in the general public. Consumers tend to put value into the animals’ possibility to behave naturally, while modern production is associated with the inability to behave naturally [16,17]. Therefore, improving the animal environment in current pig production is not only a matter of improving animal welfare, but also to increase the social acceptance, and in the long run make the pig production more sustainable.
Current production systems can be adapted with enrichment in order to stimulate activity and exploratory behaviour. Numerous studies have concluded that straw is a suitable enrichment as straw holds crucial characteristics from both the pig, such as being manipulable and edible, and management perspective as it is a by-product from crop production and thereby often available at farms [1]. Apart from stimulating straw-related behaviours [18,19], straw may also reduce the risk of tail biting [20,21]. In order to fulfil the behavioural needs of the pigs a substantial amount of straw is needed (around 400 g/pig/day) while significantly lower amounts (around 10 g/straw/pig/day) may keep tail biting at a low level, at least in production systems with relatively low stocking density and small group sizes (0.7 m2/pig, 18 pigs per pen and 0.4–1 m2/pig, 9–11 pigs per pen) [19,22]. A positive linear relationship between straw amount and straw-directed behaviour has been found [1,23]. However, the provision of large straw rations has not been implemented in commercial production. This is largely due to the risk of straw causing the blockage of the manure handling system and the slatted floor, and thereby deteriorating the pen hygiene [24]. Slatted floors are designed to pass urine and faeces and are therefore partly incompatible with straw provision [25,26]. The cost of straw has also been addressed as one of the challenges of straw provision [24]. Although current production systems have limitations, it can be argued that they are well adapted to other aspects, such as productivity. Current systems enable high biosecurity, precision feeding and watering as well as easy monitoring and handling of pigs, all of which have a high impact on animal welfare. Adapting the current production system to better fit the pigs’ behavioural needs would therefore increase the welfare of pigs in these systems, without having to completely change the systems which is both a slow and costly process. Appropriate provision of straw would enable exploratory behaviour and a reduction of tail biting without risking poor pen hygiene, while keeping the welfare benefits of existing systems. A reduction of tail biting would likely have an economic impact on pig production as already >0.86% of severe tail lesions are associated with a 4.8% decrease in average daily gain, resulting in an increased rearing period of 7 days compared to farms with less tail lesions [27]. Affected farms also had increased feed costs and a reduced mean annual farm profit by 15.1%.
Providing an environment where the pig’s behavioural needs are met is crucial for animal hygiene. As the exploratory behaviour is promoted, the risk of tail biting is reduced and thus also its subsequent health consequences, which also affect production and welfare. Promoting natural behaviour in itself also affects animal welfare positively. The general aim of this paper was to improve animal welfare by investigating different ways of providing pigs with straw. We investigated the effect of straw provision in straw racks compared to traditional floor provision and its impact on behaviour and activity levels. The hypothesis was that the provision of straw from a rack would enable a continuous flow of straw on to the pen floor and increase straw availability, while also being easily installed in current production systems. Further, the straw rack would function as a container of straw from which the pigs could fetch straw throughout the day.

2. Materials and Methods

The study comprised behavioural observations and clinical scoring of pigs on a commercial farm where the treatment aimed to improve welfare. Due to the low severity of the treatment and use of commercial animals, specific ethical approval was not needed according to the Swedish legislation (Animal Welfare Act 2018:1192 and the Animal Welfare Ordinance 2019:66) based on the EU Directive 2010/63/EU. As the treatment did not cause pain, suffering, distress or long-lasting harm equivalent to the introduction of a needle, the pigs were not purpose-bred, and the pigs were privately owned and kept in their home environment, no specific ethical permit was needed. All pigs were managed and treated according to normal management routines by staff at the commercial farm where the intervention study was performed. No animals were bred or kept for the sole purpose of this study.

2.1. Animals and Housing

The study was performed on a commercial farrow-to-finish pig farm in the south-west of Sweden between 6 December 2017 and 19 February 2018. All pigs were three breed crosses of Landrace × Yorkshire (Tn70) sows and Hampshire boars. Male pigs were surgically castrated during the first week of life after given analgesic treatment (0.3–0.5 mL Lidokel-Adrenalin vet ®). No pigs were tail-docked as tail docking is prohibited by the Animal Welfare Ordinance 2019:66. Piglets were weaned at ~5 weeks of age and thereafter moved in intact groups into a weaner unit and grouped in approximately the same way as in the finishing pig unit. The pigs were moved to the finishing pig unit, where the study was initiated, at ~12 weeks of age. Straw was provided to the pigs during all stages of production.
The study comprised a single batch of 459 pigs. The experiment was initiated as the pigs were transferred to the finishing stable at ~30 kg live weight (LW). In the finishing pig stable, the pigs were kept in 42 pens of 10 (n = 4), 11 (n = 37) or 12 (n = 1) pigs in each. The pigs were not sorted by sex but partly sorted by size so that the smallest and largest pigs were kept with pigs of similar size. All the pens were the same size and contained both solid (7.81 m2) and slatted floor (2.68 m2) and had a total area of 10.49 m2 (Figure 1). The stocking density was 1.05 m2/pig (10 pigs/pen), 0.95 m2 (11 pigs/pen) or 0.87 m2 (12 pigs/pen). The feeding trough was 3.4 m long, leaving 34 cm/pig (10 pigs/pen), 31 cm/pig (11 pigs/pen) or 28 cm/pig (12 pigs/pen). The pigs were cared for according to the normal farm routine including daily inspection and manual cleaning of the solid pen floor if necessary. The pigs were fed a cereal-based liquid feed 4 times a day until week 12 and thereafter 3 times a day according to the normal farm management. The experiment ended as >70% of the pigs were sent to slaughter at ~120 kg LW which was reached after 14 weeks in production (102 days). In order to keep track of individuals, pigs were marked manually on their back with spray paint (PORCIMARK® marking spray, Kruuse, Denmark) twice a week (Figure 1). One pig per pen was left unmarked.

2.2. Experimental Setup

2.2.1. Treatments

Every second pen in the finishing pig unit was equipped with a straw rack, mounted on the dividing wall between two adjacent pens (Figure 1). The rack was modified from JYDEN (3620-2012) by adding a plastic backplate in order to prevent straw from passing through to the neighbouring pen and pipe clamps to enable the attachment to the pen wall (Figure 2). The rack was mounted at ~50 cm height, and the pigs were around 44–47 cm in withers height when entering the experiment. The pigs were able to reach the rack throughout the production period.
Pens with a straw rack were assigned to the rack treatment (RACK) while pens without a rack were assigned to the control treatment (CONTROL). In RACK, the racks were filled with straw at the beginning of the study and the rack were subsequently refilled daily. No additional straw was provided on the floor in RACK. In CONTROL, straw was provided daily on the solid floor of the pen. The rack held ~44 L of straw while the control ration corresponded to the farm normal daily ration of ~25 L (1.8 kg) of straw. Apart from straw provision, all pigs and pens were managed in the same way. Pens in the unit with different conformation, such as sick pens, were excluded from the study and not included in the number of pigs or pens reported.

2.2.2. Focal Pens

Five sets of pens (one CONTROL and the adjacent RACK) were randomly selected for observations using the Excel function “rand between”. The pens were recorded during three different periods during the experiment, period 1 (week 2), period 2 (week 6) and period 3 (week 11). In each period, the same sets of pens were recorded in the same order, recording one set per day in five consecutive days. In total, 10 pens, five from each treatment, were recorded. The recordings were done with two cameras (Go Pro Hero 5). Each camera was mounted overlooking one pen, taking one picture per minute over 24 h each period. The time and date were subsequently added to the photos using PhotoScape X. For each registration of behaviour, pen utilization and clean straw, the pictures were subsequently assessed through scan sampling with 10 min intervals and recorded in Microsoft Excel.

2.2.3. Behaviour

The behaviours were assessed according to the following ethogram (Table 1). All pigs were individually assessed, first assessing the primary state (activity level) and subsequently the exploratory behaviour.

2.2.4. Pen Utilization

Pen utilization was defined as the distribution of pigs within the pen at a specific time. The pen utilization was assessed according to following zone division in Figure 1. All pigs were individually assessed. Pigs were considered located in a zone when the larger part of the body was in that zone. If both halves of the pig were located in two zones, the pig was scored as located in the same zone as the head.

2.2.5. Clean Straw

The amount of clean (unsoiled, seemingly fresh) straw was assessed visually on the solid pen floor and in the straw rack separately in each pen every 10 min (Table 2). The amount of clean straw on the pen floor was assessed in both treatments while the amount of straw left in the rack was only assessed in RACK.

2.3. Data Analysis

All statistical analysis was performed using Microsoft Excel 2016 and SAS software, version 9.4. The descriptive analysis was performed through PROC FREQ. All analyses were conducted at the pen level, which was the smallest unit that the treatment could be applied on. LS-means was used to compare means.

2.3.1. Activity Levels

The data (residuals) were considered sufficiently normally distributed through visual inspection. Differences in activity levels (sitting, lying or standing) were analysed through an ANOVA using PROC MIXED. Sitting and lying were combined, representing inactive behaviour, while standing represented active behaviour. The average times spent in the different activity levels were estimated per pen and period and analysed with the treatment period. The interactions were analysed between treatment and period as fixed effects and pen nested within treatment as a random effect. Non-significant fixed effects were removed through backward elimination. The covariance structure was chosen based on the Akaike information criterion (AIC) statistics.

2.3.2. Exploratory Behaviour

The data (residuals) were considered sufficiently normally distributed through visual inspection. Differences in exploratory behaviour levels (straw-directed, fittings-directed, other behaviour and non-exploratory behaviour) were analysed through an ANOVA using PROC MIXED. The average times spent in the different exploratory behaviours were estimated per pen and period and analysed with the treatment period and the interaction between treatment and period as fixed effects and pen nested within treatment as a random effect. Non-significant fixed effects were removed through backward elimination. The covariance structure was chosen based on the AIC statistics. Straw-directed behaviour was divided in two categories: straw on the floor, which only included the interactions with the straw on the floor and total straw, which also included the interactions with the straw rack.

2.3.3. Pen Utilization

The pen utilization was investigated through the pigs’ positions in the pen in order to study if the straw rack had an influence on utilization. The pen was divided into different zones (i.e., A, B, C, D, E, F, G) and analysed in order to investigate how the pigs used the pen. The data were considered sufficiently normally distributed through visual inspection. Differences in pen utilization were analysed through an ANOVA using PROC MIXED. The average time spent in the different pen zones were estimated per pen and period and analysed with treatment period and the interaction between treatment and period as fixed effects, and pen nested within treatment as a random effect. Non-significant fixed effects were removed through backward elimination. The covariance structure was chosen based on the AIC statistics.

2.3.4. Clean Straw

As the amount of clean straw was assessed through categorical values it was investigated through medians at the pen level, as it was scored as a categorical value. In order to investigate the treatment effect on the amount of clean straw on the floor, a binomial model in PROC GLIMMIX was used. The binomial outcome was set so that either the amount of clean straw on the solid floor was ≥1, ≥2, ≥3 or 4 or not. One model was then constructed per trait, resulting in four different models. Each model was subsequently analysed with treatment, period and the interaction between treatment and period as fixed effects and pen nested within treatment as random effect. Non-significant fixed effects were removed through backward elimination.

3. Results

3.1. Activity Levels

The treatment (RACK vs. CONTROL) had no effect on the activity levels of the pigs (Table 3). The time period had an effect on activity levels and pigs were less active over time (Figure 3). Pigs were significantly less active in period 3 compared to periods 1 and 2.

3.2. Exploratory Behaviours

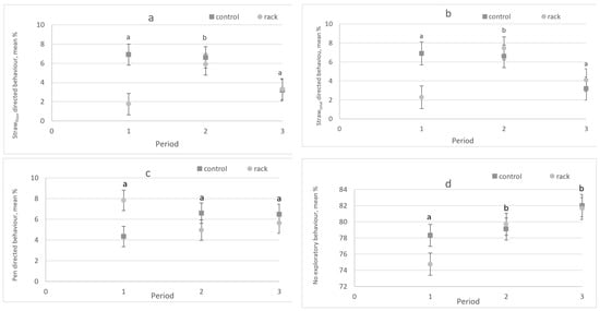
Treatment had no effect on exploratory behaviours, while the interaction between treatment and period significantly affected the mean number of strawtotal-directed behaviours and pen-directed behaviours (Table 3). “Other behaviour” could not be modelled due to too few observations. Furthermore, the treatment had no effect on strawfloor-directed behaviour, while the period and the interaction between treatment and period had a significant effect (Table 3). Pigs in CONTROL conducted significantly more straw-floor-directed behaviours in period 1 compared to pigs in RACK (Figure 4a).
There was no effect of the treatment on strawtotal-directed behaviours, which included both the pigs’ interaction with the straw rack and with straw on the floor, while both the period and the interaction between period and treatment had a significant effect (Table 3). During period 1, pigs in CONTROL were conducting significantly more straw-directed behaviours compared to pigs in RACK (Figure 4b).
The treatment had no effect on pen-directed behaviour, while the interaction between period and treatment had a significant effect and pigs in CONTROL conducted significantly less pen-directed behaviour in period 1 (Figure 4c). However, the time period had a significant effect on exploratory behaviour, where CONTROL pigs conducted significantly more no exploratory behaviour compared to RACK pigs during period 1 (Figure 4d).

3.3. Pen Utilization

No significant treatment effect was found on the pen utilization, while the time period had a significant effect on the use of zones a, b, c and g (Table 4). For zones a, b and g, the utilization significantly differed between periods 1 and 2, 3 (Figure 5). For zone c, the slatted area, the utilization significantly differed between period 3 and periods 1, 2.

3.4. Clean Straw

The amount of available clean straw differed over the day, as the pigs received straw once per day. The median amount of available clean straw was measured on the floor in both treatments and in the rack in RACK (Figure 6). The straw present in the straw rack was considered clean, as it was clean and seemingly fresh (according to the definition in Table 2) at all observations. The number of replicates (N) was based on one observation per 10 min.
During period 1, the pigs did not empty the straw rack, which was indicated by the finding that the amount of clean straw in the rack was 4 at all times. The treatment had no significant effect on the amount of clean straw available on the pen floor, while both the time period and the interaction between time period and treatment significantly affected the amount of available clean straw (Table 5). In period 1, significantly more straw was available on the floor in CONTROL (Figure 7a–d).

4. Discussion

Overall, giving pigs access to straw by a rack alone did not have any significant effect on their behaviour, pen utilization or the amount of clean straw remaining on the solid floor. Previous studies have also found little effect on activity level of the means of providing straw, such as straw racks. For example, studies have shown that deep straw bedding, which implies permanent access to a large amount of straw, did not increase activity levels compared to straw provision in racks [20,21]. However, we found that the time period as well as the interaction between treatment and time period had significant effects on behaviour, pen utilization and clean straw. The results during time period 1 differed from those from periods 2 and 3, as the pigs did not utilize the straw rack during period 1 and the straw rack remained filled throughout the period. Consequently, the pigs in RACK had very limited access to clean straw on the solid floor which negatively affected the possibility to perform exploratory behaviours. This possibly explains why pigs in RACK conducted less exploratory behaviours directed to the straw and more exploratory behaviours directed to the pen fittings during period 1. All in all, period 1 might not be a fair comparison between the treatments as the pigs did not utilize the racks as intended.
On the contrary, period 1 provided important information regarding the management and use of straw racks. Although the pigs in this study had been reared with straw since birth, they were not able to figure out how to fetch straw and empty the straw racks until period 2. This could potentially be related to the spatial cognition of the pigs in the investigated production system or the height of the rack, which is discussed below. The fact that the pigs did not interact with the rack may indicate less developed three-dimensional thinking, as they did not explore the pen above floor level. Similar results have been seen in layers, who were not able to use perches unless provided with perches already at rearing, implying that the spatial development was not promoting three-dimensional thinking unless early environment was encouraging it [29]. Studies in rats indicate that environmental complexity enhances the performance in spatial tasks and aids the handling of changes [30]. The fact that the pigs in this study had previously not been introduced to anything above floor level (apart from the nipple drinker, which provided instant feedback) may have affected their ability for three-dimensional thinking and therefore the ability to interact with the straw rack. If the straw had been easier to access from the rack, it might have encouraged the pigs to interact with it at an earlier stage. The lack of interaction might therefore indicate that the straw was too difficult to get out of the rack, at least when the pigs were younger. As described earlier, the rack was placed at 50 cm and the pigs were around 44–47 cm in withers height. Therefore, it was not anticipated that the pigs would not interact with the straw rack and the pigs seemingly reached the rack. However, more research is needed in order to understand the lack of interaction with the straw rack and, for example, the impact of previous experiences on the use of the rack. Future studies should also take into consideration the fact that pigs are mainly directing their exploratory behaviour towards the ground and not upwards. Therefore, the placement (at 50 cm above floor level) of the rack might have reduced the pigs’ willingness to interact with the rack.
Further, there was no significant treatment effect in later stages (week 6 or 11). The treatment did not affect the activity levels of the pigs, and the most commonly conducted behaviour regardless of the treatment was non-exploratory behaviour. Compared to natural or semi-natural conditions, pigs in this study, regardless of the treatment, rested significantly more, which is in line with previous studies [2,3]. This underlines the perception that current production systems do not promote a natural behaviour among animals [16,17]. Our findings indicate that the older the pigs got, the less activity they displayed, and there was significantly less activity in week 11 (period 3) compared to weeks 2 and 6 (periods 1 and 2), regardless of the treatment, which is in line with previous studies [31,32]. This might be affected by a decreased space allowance in the pens as the pigs grow older and bigger, simply because it becomes harder to conduct exploratory behaviour or because the temperature in a more crowded pen increases leading to more pigs lying down on the side to manage heat. This experiment was however done during the Swedish winter and temperature was perceived as overall acceptable in the stable.
One of the perceived risks by farmers and researchers with the use of straw racks is that it could alter the pig utilization of the pen in a negative way, i.e., reducing the lying area and forcing pigs to lie down on the slatted floor, and thereby become dirty. It is therefore important that the straw rack is placed so that the pigs could lie underneath the rack, which is why it was placed 50 cm above floor level. Further, there is a risk that the rack could initiate competition among pigs trying to access straw at the same time and hence alter the pen utilization. We could not find any supporting evidence for the fact that the rack affected the pen utilization, such as crowdedness around the straw rack or use of the different pen areas. However, the period affected the utilization of parts of the pen, including the slatted area. The use of the slatted area increased over time, possibly reflecting that the pigs needed to lie down also in the slatted area as they got bigger, either due to space restriction or due to heat as the slatted floor can be perceived as cooler [33]. Only zone g and a (the corners of the solid floor area) decreased in use as the pigs got older.
The amount of available clean straw on the solid floor in the pens was not significantly affected by the treatment. However, the production stage and the interaction between treatment and time period had a significant effect on the amount of clean straw on the solid floor. As already discussed, the pigs in RACK did not interact with the racks in period 1. Thus, there was significantly more straw available on the floor in CONTROL during period 1, simply because the straw from the rack did not end up on the floor. As the pigs in RACK learned to empty the straw rack, during periods 2 and 3, the difference in straw availability on the floor was reduced and in period 2 only, RACK had more strawfloor scores 1 (less than 0.1 L of straw) and 2 (between 0.1–1.0 L of straw) compared to CONTROL, while during period 3, there was more straw score 4 (more than 20 L of straw) in CONTROL. In RACK, there was however commonly straw left in the rack (Figure 6), meaning that there was a possibility to fetch more straw. The hypothesis was that the straw rack would enable a continuous flow of straw on the floor, reducing the risk for straw to pile up and possibly cause poor pen hygiene and block slats, while also providing continuous exploration possibilities. The total amount of straw provided in RACK was approximately 19 L more compared to CONTROL as we wanted to compare RACK with common practice. When pigs started to interact with the rack, it could be argued that the racks enabled a continuous flow of straw. Comparing the straw-directed behaviour on the floor and the total straw-directed behaviour (which also included interaction with the straw racks in RACK) also indicates that the interaction with the straw rack increased straw interaction numerically. The lack of a significant treatment effect may be dependent on the fact that the straw rations in both treatments were still relatively small compared to the amount needed to fulfil the exploratory behaviour of the pigs which has previously been determined to exceed 400 g straw/pig/day [22]. The available clean straw on the floor and in the rack in both treatments (Figure 6) were zero at times, indicating that there was not permanent access to straw at all times, regardless of the treatment or period. This also indicates that the available straw was low before it reached zero, supporting the theory that differences in straw amounts between the treatments were too low to impose a big difference in pig behaviour and might not have created a big enough difference compared to current management practice.
During the study, only a few pens were studied for behaviour, while the outcome on tail lesions were presented in another paper [28] indicating that the straw racks led to less tail lesions at the end of the production period compared to the CONTROL. Other studies also suggested that straw racks could reduce the escalation of tail biting [6]. This study was limited to only investigate the behaviour in a few pens that were scan sampled for exploratory behaviour at 10 min intervals. By choosing to study two adjacent pens (CONTROL and RACK) we minimised the effect of a microclimate in the pens that may have affected the treatment effect as the two adjacent pens probably had similar microclimate. The scanning of behaviour every 10 min enabled the determination of the overall behaviour patterns and activity levels. However, the scan sampling did not allow for the registration of more subtle behaviours (i.e., short in timing) such as social interactions. Use of shorter intervals (1 min intervals was possible) between the pictures would not have enabled a proper investigation of, e.g., social interactions. In order to assess such behaviours, continuous sampling would have been required, which was not possible during this study. As the exploratory behaviour was possible to assess from the pictures, along with the previous findings that an increased exploratory behaviour reduces, for example, tail-biting behaviour, it was considered a relevant option [19,20,21,22]. Restricted space allowance and scarce amounts of straw might have led to aggressive interactions between the pigs, which we would have been unable to detect, although tail lesions were recorded in another study [28]. In RACK, the presence of straw in the rack and on the floor simultaneously could, however, potentially reduce the risk for competition for the straw, as the pigs could potentially interact with straw that was on the floor or pick up new straw from the rack. On the other hand, fetching straw from the rack could also impose competition. Although we were unable to register such interactions from our sampling method, the pen utilization did not imply that the pigs in the RACK spent more or less time in any of the pen areas indicating that the spaces for interaction (i.e., by the rack) were not different between the treatments.

5. Conclusions

Ensuring that the animal’s environment meets the animal’s needs is vital for the animal’s hygiene and promotes welfare. The provision of straw has previously been shown to promote exploratory behaviour and reduce tail biting, but has not replaced tail docking, as straw can be difficult to implement in current production systems. It was suggested to solve this by providing the straw in racks instead of on the floor. The results from this study imply that the provision of straw in racks, compared to floor provision, in finishing pigs, does neither significantly alter the activity levels, nor alter the amount or type of conducted exploratory behaviours, although it allows an increased straw ratio. However, the pigs in RACK did not interact with the straw rack during period 1, and subsequently the amount of straw available for interaction was none or very low. The time period, i.e., the age and size of the pigs, was related to the activity level, as well as straw-related and pen-directed behaviours, indicating that pigs later in the production become less active and conduct less exploratory behaviour. Future studies should focus on the implementation of straw racks that allow interaction with straw during the entire production period in order for straw racks to be a successful means to increase straw provision for pigs.

Author Contributions

Conceptualization, T.W.; methodology, T.W. and S.G.; formal analysis, T.W.; investigation, T.W.; data curation, T.W.; writing—original draft preparation, T.W.; writing—review and editing, S.G.; supervision, S.G.; funding acquisition, S.G. and T.W. All authors have read and agreed to the published version of the manuscript.

Funding

This research was funded by ERA-Net ANIHWA; FareWellDock, The Swedish Research Council Formas, grant number 221-2013-1799, and Petra Lundbergs stiftelse (Petra Lundbergs Foundation). Materials and equipment were funded by “Djurvännernas förening Stockholm” (Friends of animals association in Stockholm).

Institutional Review Board Statement

Due to the low severity of the animal experiments in this study (only another source of straw with the aim to improve animal welfare, use of privately owned animals in their normal settings) it did not need an ethical approval according to the Swedish national legislation or the EU regulations.

Data Availability Statement

The data presented in this study are available on request from the corresponding author.

Acknowledgments

We would like to thank the producer for participating and technician Anne Larsen for assisting in the data collection and in modification of the straw racks.

Conflicts of Interest

The authors declare no conflict of interest. The funders had no role in the design of the study; in the collection, analyses, or interpretation of data; in the writing of the manuscript, or in the decision to publish the results.

References

  1. Studnitz, M.; Jensen, M.B.; Pedersen, L.J. Why do pigs root and in what will they root? A review on the exploratory behaviour of pigs in relation to environmental enrichment. Appl. Anim. Behav. Sci. 2007, 107, 183–197. [Google Scholar] [CrossRef]
  2. Stolba, A.; Wood-Gush, D.G.M. The behaviour of pigs in a semi-natural environment. Anim. Prod. 1989, 48, 419–425. [Google Scholar]
  3. Olczak, K.; Nowicki, J.; Klocek, C. Pig behaviour in relation to weather conditions—A review. Ann. Anim. Sci. 2015, 15, 601–610. [Google Scholar] [CrossRef]
  4. Schroder-Petersen, D.L.; Simonsen, H.B. Tail biting in pigs. Vet. J. 2001, 162, 196–210. [Google Scholar] [CrossRef] [PubMed]
  5. Brunberg, E.; Jensen, P.; Isaksson, A.; Keeling, L.J. Brain gene expression differences are associated with abnormal tail biting behavior in pigs. Genes Brain Behav. 2013, 12, 275–281. [Google Scholar] [CrossRef] [PubMed]
  6. D’Eath, R.B.; Arnott, G.; Turner, S.P.; Jensen, T.; Lahrmann, H.P.; Busch, M.E.; Niemi, J.K.; Lawrence, A.B.; Sandøe, P. Injurious tail biting in pigs: How can it be controlled in existing systems without tail docking? Animal 2014, 8, 1479–1497. [Google Scholar] [CrossRef]
  7. Nannoni, E.; Valsami, T.; Sardi, L.; Martelli, G. Tail docking in pigs: A review on its short- and long-term consequences and effectiveness in preventing tail biting. Ital. J. Anim. Sci. 2014, 13, 98–106. [Google Scholar] [CrossRef]
  8. Taylor, N.R.; Main, D.C.J.; Mendl, M.; Edwards, S.A. Tail-biting A new perspective. Vet. J. 2010, 186, 137–147. [Google Scholar] [CrossRef] [PubMed]
  9. Lerner, H.; Algers, B. Tail Docking in the EU: A Case of Routine Violation of an EU Directive. In The Ethics of Consumption; Röcklinsberg, H., Sandin, P., Eds.; Wageningen Academic Publishers: Wageningen, The Netherlands, 2013. [Google Scholar]
  10. Herskin, M.S.; Thodberg, K.; Jensen, H.E. Effects of tail docking and docking length on neuroanatomical changes in healed tail tips of pigs. Animal 2015, 9, 677–681. [Google Scholar] [CrossRef]
  11. Sandercock, D.A.; Smith, S.H.; di Giminiani, P.; Edwards, S.A. Histopathological Characterization of Tail Injury and Traumatic Neuroma Development after Tail Docking in Piglets. J. Comp. Pathol. 2016, 155, 40–49. [Google Scholar] [CrossRef]
  12. Sutherland, M.A. Welfare implications of invasive piglet husbandry procedures, methods of alleviation and alternatives: A review. N. Z. Vet. J. 2015, 63, 52–57. [Google Scholar] [CrossRef] [PubMed]
  13. Sutherland, M.A.; Tucker, C.B. The long and short of it: A review of tail docking in farm animals. Appl. Anim. Behav. Sci. 2011, 135, 179–191. [Google Scholar]
  14. van Staaveren, N.; Teixeira, D.L.; Hanlon, A.; Boyle, L.A. Pig carcass tail lesions: The influence of record keeping through an advisory service and the relationship with farm performance parameters. Animal 2017, 11, 140–146. [Google Scholar]
  15. Bracke, M.B.M.; de Lauwere, C.C.; Wind, S.M.M.; Zonerland, J.J. Attitudes of Dutch Pig Farmers Towards Tail Biting and Tail Docking. J. Agric. Environ. Ethics 2013, 26, 847–868. [Google Scholar] [CrossRef]
  16. Lassen, J.; Sandoe, P.; Forkman, B. Happy pigs are dirty! Conflicting perspectives on animal welfare. Livest. Sci. 2006, 103, 221–230. [Google Scholar] [CrossRef]
  17. Weible, D.; Christoph-Schulz, I.; Salamon, P.; Zander, K. Citizens’ perception of modern pig production in Germany: A mixed-method research approach. Br. Food J. 2016, 118, 1994–2012. [Google Scholar] [CrossRef]
  18. Day, J.E.L.; Burfoot, A.; Docking, C.M.; Whittaker, X.; Spoolder, H.A.M.; Edwards, S.A. The effects of prior experience of straw and the level of straw provision on the behaviour of growing pigs. Appl. Anim. Behav. Sci. 2002, 76, 189–202. [Google Scholar] [CrossRef]
  19. Wallgren, T.; Larsen, A.; Lundeheim, N.; Westin, R.; Gunnarsson, S. Implication and impact of straw provision on behaviour, lesions and pen hygiene on commercial farms rearing undocked pigs. Appl. Anim. Behav. Sci. 2018, 210, 26–37. [Google Scholar] [CrossRef]
  20. van de Weerd, H.A.; Docking, C.N.; Day, J.; Breuer, K. Effects of species-relevant environmental enrichment on the behaviour and productivity of finishing pigs. Appl. Anim. Behav. Sci. 2006, 99, 230–247. [Google Scholar] [CrossRef]
  21. Fraser, D.; Phillips, P.A.; Thompson, B.K.; Tennessen, T. Effect of straw on the behavior of growing pigs. Appl. Anim. Behav. Sci. 1991, 30, 307–318. [Google Scholar] [CrossRef]
  22. Pedersen, L.J.; Herskin, M.; Forkman, B.; Halekoh, U.; Kristensen, K.M.; Jensen, M.B. How much is enough? The amount of straw necessary to satisfy pigs’ need to perform exploratory behaviour. Appl. Anim. Behav. Sci. 2014, 160, 46–55. [Google Scholar] [CrossRef]
  23. Jensen, M.B.; Herskin, M.; Forkman, B.; Pedersen, L.J. Effect of increasing amounts of straw on pigs’ explorative behaviour. Appl. Anim. Behav. Sci. 2015, 171, 58–63. [Google Scholar] [CrossRef]
  24. Wallgren, T.; Westin, R.; Gunnarsson, S. A survey of straw use and tail biting in Swedish pig farms rearing undocked pigs. Acta Vet. Scand. 2016, 58, 84. [Google Scholar] [CrossRef]
  25. European Food Safety Authority. Scientific Opinion of the Panel on Animal Health and Welfare on a request from Commission on the risks associated with tail biting in pigs and possible means to reduce the need for tail docking considering the different housing and husbandry systems. EFSA J. 2007, 611, 1–13. [Google Scholar]
  26. Statham, P.; Green, L.; Mendl, M. A longitudinal study of the effects of providing straw at different stages of life on tail-biting and other behaviour in commercially housed pigs. Appl. Anim. Behav. Sci. 2011, 134, 100–108. [Google Scholar] [CrossRef][Green Version]
  27. van Staaveren, N.; Boyle, L.A.; García Manzanilla, E.; O’Driscoll, K.; Shalloo, L.; Calderón Díaz, J.A. Severe tail lesions in finisher pigs are associated with reduction in annual profit in farrow-to-finish pig farms. Vet. Rec. 2021, 188, e13. [Google Scholar] [CrossRef] [PubMed]
  28. Gunnarsson, S.; Yngvesson, J.; Keeling, L.J.; Forkman, B. Rearing without early access to perches impairs the spatial skills of laying hens. Appl. Anim. Behav. Sci. 2000, 67, 217–228. [Google Scholar] [CrossRef]
  29. Leggio, M.G.; Mandolesi, L.; Federico, F.; Spirito, F.; Ricci, B.; Gelfo, F.; PEtrosini, L. Environmental enrichment promotes improved spatial abilities and enhanced dendritic growth in the rat. Behav. Brain Res. 2005, 163, 78–90. [Google Scholar] [CrossRef]
  30. Zoric, M.; Johansson, S.-E.; Wallgren, P. Behaviour of fattening pigs fed with liquid feed and dry feed. Porcine Health Manag. 2015, 1, 14. [Google Scholar] [CrossRef]
  31. Jensen, M.B.; Studnitz, M.; Pedersen, L.J. The effect of type of rooting material and space allowance on exploration and abnormal behaviour in growing pigs. Appl. Anim. Behav. Sci. 2010, 123, 87–92. [Google Scholar] [CrossRef]
  32. Huynh, T.T.T.; Aarnink, A.J.A.; Verstegen, M.W.A. Reactions of pigs to a hot environment. In Proceedings of the 7th International Symposium on Livestock Environment, Beijing, China, 18–20 May 2005; China Agricultural University: Beijing, China, 2005. [Google Scholar]
  33. Wallgren, T.; Gunnarsson, S. Effect of Straw Provision in Racks on Tail Lesions, Straw Availability, and Pen Hygiene in Finishing Pigs. Animals 2021, 11, 379. [Google Scholar] [CrossRef] [PubMed]
Figure 1. The design of the pen including the position of the straw rack. The pigs were individually marked for identification during observations. The letters (A–G) illustrates the pen division in zones for the recording of pen utilisation.
Figure 1. The design of the pen including the position of the straw rack. The pigs were individually marked for identification during observations. The letters (A–G) illustrates the pen division in zones for the recording of pen utilisation.
Agriculture 12 00005 g001
Figure 2. The rack was modified from a commercially available straw rack from JYDEN (3620-2012). The modification consisted of a plastic backplate and pipe clamps for mounting on the top pipes separating two adjacent pens. Length, 50 cm; height, 50 cm; width, 21 cm; 30 mm between bars.
Figure 2. The rack was modified from a commercially available straw rack from JYDEN (3620-2012). The modification consisted of a plastic backplate and pipe clamps for mounting on the top pipes separating two adjacent pens. Length, 50 cm; height, 50 cm; width, 21 cm; 30 mm between bars.
Agriculture 12 00005 g002
Figure 3. Activity levels of pigs over time. Treatment had no effect on activity levels, while period had a significant effect where pigs were significantly less active in period 3 (week 11) compared to periods 1 (week 2) and 2 (week 6). Different letters (a, b) indicate significant difference between periods. N = 30.
Figure 3. Activity levels of pigs over time. Treatment had no effect on activity levels, while period had a significant effect where pigs were significantly less active in period 3 (week 11) compared to periods 1 (week 2) and 2 (week 6). Different letters (a, b) indicate significant difference between periods. N = 30.
Agriculture 12 00005 g003
Figure 4. Levels of different exploratory behaviours the production periods. Different letters (a, b) indicate significant difference between different periods. (a) Levels of strawfloor-directed behaviour over time. The treatment and the interaction between treatment and period had a significant effect (N = 30). (b) Levels of strawtotal-directed behaviour (a combination of the interaction with straw on the floor and straw in the racks) over time. The treatment and the interaction between treatment and period had a significant effect (N = 30). (c) Levels of pen-directed behaviour over time. The interaction between treatment and period had a significant effect (N = 30). (d) Levels of non-exploratory behaviour over time. The period had a significant effect on the behaviour (N = 30).
Figure 4. Levels of different exploratory behaviours the production periods. Different letters (a, b) indicate significant difference between different periods. (a) Levels of strawfloor-directed behaviour over time. The treatment and the interaction between treatment and period had a significant effect (N = 30). (b) Levels of strawtotal-directed behaviour (a combination of the interaction with straw on the floor and straw in the racks) over time. The treatment and the interaction between treatment and period had a significant effect (N = 30). (c) Levels of pen-directed behaviour over time. The interaction between treatment and period had a significant effect (N = 30). (d) Levels of non-exploratory behaviour over time. The period had a significant effect on the behaviour (N = 30).
Agriculture 12 00005 g004
Figure 5. Levels of time spent in the different zones (a–g) of the pen presented as mean percentage. There was no treatment effect on the pen utilization, while the period had an effect on the utilization of zones a, b, c and g. For zones a, b and g, the utilization significantly differed between periods 1 and 2, 3. For zone c, the slatted area, the utilization significantly differed between period 3 and periods 1, 2.
Figure 5. Levels of time spent in the different zones (a–g) of the pen presented as mean percentage. There was no treatment effect on the pen utilization, while the period had an effect on the utilization of zones a, b, c and g. For zones a, b and g, the utilization significantly differed between periods 1 and 2, 3. For zone c, the slatted area, the utilization significantly differed between period 3 and periods 1, 2.
Agriculture 12 00005 g005
Figure 6. The median amount of clean straw available in the pens during the different periods. Floor represents the amount of clean straw available on the solid pen floor in either CONTROL (■) or RACK (●). Rack represents the amount of straw available in the straw rack in RACK (●). The error bars indicate minimum and maximum observed values. RACK could have straw in both the rack and on the floor (originating from the straw rack) while CONTROL could only have straw on the floor.
Figure 6. The median amount of clean straw available in the pens during the different periods. Floor represents the amount of clean straw available on the solid pen floor in either CONTROL (■) or RACK (●). Rack represents the amount of straw available in the straw rack in RACK (●). The error bars indicate minimum and maximum observed values. RACK could have straw in both the rack and on the floor (originating from the straw rack) while CONTROL could only have straw on the floor.
Agriculture 12 00005 g006
Figure 7. Amounts of clean straw during different periods. Different letters above period mean indicate significant difference between periods. Different letters above indicate significant difference between different periods. (a) Levels of amount of clean straw on the floor exceeding level 1 (score 1–4) over time. The period and the interaction between treatment and period had a significant effect (N = 44,012). (b) Levels of observations of amount of clean straw on the floor exceeding level 2 (2–4) over time. The period and the interaction between treatment and period had a significant effect (N = 44,012). (c) Levels of observations of amount of clean straw on the floor exceeding level 3 (score 3–4) over time. The period and the interaction between treatment and period had a significant effect (N = 44,012). (d) Levels of observations of amount of clean straw on the floor exceeding level 4 over time. The period and the interaction between treatment and period had a significant effect (N = 44,012).
Figure 7. Amounts of clean straw during different periods. Different letters above period mean indicate significant difference between periods. Different letters above indicate significant difference between different periods. (a) Levels of amount of clean straw on the floor exceeding level 1 (score 1–4) over time. The period and the interaction between treatment and period had a significant effect (N = 44,012). (b) Levels of observations of amount of clean straw on the floor exceeding level 2 (2–4) over time. The period and the interaction between treatment and period had a significant effect (N = 44,012). (c) Levels of observations of amount of clean straw on the floor exceeding level 3 (score 3–4) over time. The period and the interaction between treatment and period had a significant effect (N = 44,012). (d) Levels of observations of amount of clean straw on the floor exceeding level 4 over time. The period and the interaction between treatment and period had a significant effect (N = 44,012).
Agriculture 12 00005 g007
Table 1. Ethogram modified from Pedersen, Herskin [22].
Table 1. Ethogram modified from Pedersen, Herskin [22].
BehaviourDescription
Primary state
InactiveLying down, sitting
ActiveStanding up with the body supported by the legs (standing or walking)
Secondary state, number of pigs with their mouth or snout in contact with
StrawStraw on floor or straw rack
FittingsPen fittings
NoNot in contact with anything
OtherOther behaviour (e.g., feeding)
Table 2. Scoring system used to visually assess clean (unsoiled, seemingly fresh) straw on the floor and in straw racks (modified from [22]). For the corresponding amount of straw in the rack, please see [28].
Table 2. Scoring system used to visually assess clean (unsoiled, seemingly fresh) straw on the floor and in straw racks (modified from [22]). For the corresponding amount of straw in the rack, please see [28].
ScoreClean Straw on the Floor
0<0.1 L straw
10.1–1 L straw
21–10 L straw
310–20 L straw
4>20 L straw
Table 3. Final models used for evaluation of treatment effect (RACK vs. CONTROL) on activity levels and exploratory behaviours. The interaction between treatment and period (Treatment * Period) was removed from the model if proven non-significant based on AIC values.
Table 3. Final models used for evaluation of treatment effect (RACK vs. CONTROL) on activity levels and exploratory behaviours. The interaction between treatment and period (Treatment * Period) was removed from the model if proven non-significant based on AIC values.
VariableTreatment
p-Value
Period
p-Value
Treatment * Period
p-Value
Activity levels
Activen.s.0.0006-
Exploratory behaviours
Strawfloor-directedn.s.0.00400.0068
Strawtotal-directedn.s.0.0220.0047
Pen-directedn.s.n.s.0.0407
Non-exploratory behavioursn.s.0.0047-
n.s. = non-significant—variable removed from the model due to lack of significant effect; active = standing; strawfloor = exploratory behaviour directed at straw on the floor; strawtotal = exploratory behaviour directed at straw on the floor and straw in the rack.
Table 4. Difference in pen utilization between treatments. The interaction between treatment and period was removed as proven non-significant based on AIC values. The covariance structure variance component was used for all modes and determined through AIC values. Least square means followed by different letters indicate significant difference between periods.
Table 4. Difference in pen utilization between treatments. The interaction between treatment and period was removed as proven non-significant based on AIC values. The covariance structure variance component was used for all modes and determined through AIC values. Least square means followed by different letters indicate significant difference between periods.
Placing in PenTreatment
p-Value
Period
p-Value
Least Square Means (±SE)
Period 1Period 2Period 3
an.s.0.01900.06 a0.12 b0.11 b
bn.s.0.01200.09 a0.16 b0.20 b
cn.s.0.01750.04 a0.05 b0.09 b
dn.s.n.s.0.15 a0.18 b0.18 b
en.s.n.s.0.21 a0.19 ab0.17 b
fn.s.n.s.0.20 a0.13 b0.14 ab
gn.s.0.00010.25 a0.16 b0.11 b
n.s. = non-significant.
Table 5. Final models evaluating treatment effect on available clean straw on the pen floor, including Treatment, Period and the interaction between Treatment and Period (Treatment * Period).
Table 5. Final models evaluating treatment effect on available clean straw on the pen floor, including Treatment, Period and the interaction between Treatment and Period (Treatment * Period).
Amount of Clean StrawTreatment
p-Value
Period
p-Value
Treatment * Period
p-Value
1–4n.s.<0.0001<0.0001
2–4n.s.<0.0001<0.0001
3–4n.s.<0.0001<0.0001
4n.s.<0.0001<0.0001
n.s. = non-significant.
Publisher’s Note: MDPI stays neutral with regard to jurisdictional claims in published maps and institutional affiliations.

Share and Cite

MDPI and ACS Style

Wallgren, T.; Gunnarson, S. Implementation of Straw Racks in Commercial Pig Housing—Impact on Straw Availability and Pig Behaviour. Agriculture 2022, 12, 5. https://doi.org/10.3390/agriculture12010005

AMA Style

Wallgren T, Gunnarson S. Implementation of Straw Racks in Commercial Pig Housing—Impact on Straw Availability and Pig Behaviour. Agriculture. 2022; 12(1):5. https://doi.org/10.3390/agriculture12010005

Chicago/Turabian Style

Wallgren, Torun, and Stefan Gunnarson. 2022. "Implementation of Straw Racks in Commercial Pig Housing—Impact on Straw Availability and Pig Behaviour" Agriculture 12, no. 1: 5. https://doi.org/10.3390/agriculture12010005

APA Style

Wallgren, T., & Gunnarson, S. (2022). Implementation of Straw Racks in Commercial Pig Housing—Impact on Straw Availability and Pig Behaviour. Agriculture, 12(1), 5. https://doi.org/10.3390/agriculture12010005

Note that from the first issue of 2016, this journal uses article numbers instead of page numbers. See further details here.

Article Metrics

Back to TopTop