You are currently viewing a new version of our website. To view the old version click .
Agriculture
  • Article
  • Open Access

29 July 2021

Changes in Dairy Cow Behavior with and without Assistance at Calving

,
,
,
,
and
1
School of Biosciences, Sutton Bonington Campus, University of Nottingham, Sutton Bonington LE12 5RD, UK
2
School of Computer Science, Jubilee Campus, University of Nottingham, Nottingham NG8 1BB, UK
3
School of Electrical Engineering and Computer Science, Queen Mary University of London, London E1 4NS, UK
4
Agriculture Department, Hartpury University, Gloucester GL19 3BE, UK
This article belongs to the Special Issue Enhancing Farm-Level Decision Making through Innovation

Abstract

The aim of this study was to characterize calving behavior of dairy cows and to compare the duration and frequency of behaviors for assisted and unassisted dairy cows at calving. Behavioral data from nine hours prior to calving were collected for 35 Holstein-Friesian dairy cows. Cows were continuously monitored under 24 h video surveillance. The behaviors of standing, lying, walking, shuffle, eating, drinking and contractions were recorded for each cow until birth. A generalized linear mixed model was used to assess differences in the duration and frequency of behaviors prior to calving for assisted and unassisted cows. The nine hours prior to calving was assessed in three-hour time periods. The study found that the cows spent a large proportion of their time either lying (0.49) or standing (0.35), with a higher frequency of standing (0.36) and shuffle (0.26) bouts than other behaviors during the study. There were no differences in behavior between assisted and unassisted cows. During the three-hours prior to calving, the duration and bouts of lying, including contractions, were higher than during other time periods. While changes in behavior failed to identify an association with calving assistance, the monitoring of behavioral patterns could be used as an alert to the progress of parturition.

1. Introduction

There has been increased interest in the care and housing of cows with concerns for cow welfare given the increasing size of the average dairy herd across developed countries [1]. Animal welfare concerns are commonly directed at farm animals, and in particular housed and more intensive production systems with large numbers of animals [2]. With larger herds the expectation is often that each dairy stockperson will look after more animals as farms either seek to reduce labor costs or find it difficult to source skilled labor.
Close monitoring at calving is required by the stockperson to ensure the survival of the mother and her offspring, with problems potentially impacting on future lifetime performance. While some idea of expected calving date is often known, or estimated from time of insemination and gestation length, this estimate is often imprecise and requires some subjective judgement by the farmer with regular checks during late pregnancy to ensure a successful outcome for the mother and offspring. To assist a stockperson at calving, and given the importance of a successful birth and potential need for intervention, a number of sensor technologies have been developed. These technologies have largely been based on accelerometers and movement detection [3,4], or an alternative is computer vision [5,6], which have been developed to support farm management and improve animal health and wellbeing, and ultimately productivity. The frequency of lying, standing and tail movements of an animal have been found to change in the period prior to calving in both dairy [7] and beef cattle [8], and may give some indication of the need for assistance. Dystocia is fairly common in dairy cows and is a major cause of calf mortality [9,10]. Barrier et al. [10] found that calves which survived dystocia had poorer welfare in the neonatal period and possibly beyond, with lower passive immunity transfer, higher mortality and higher indicators of physiological stress. Although preventing dystocia is close to impossible, quick and timely intervention will help avoid the risk of poor health outcomes. Individual evaluation and continuous monitoring of dairy cows around the time of calving is important to identify any need for intervention or health problems as early as possible. The impact on lifetime performance and labor cost is estimated to range from £110 to £400 per assisted calving [11].
The objective of this study was to characterize calving behavior of dairy cows and compare the duration and frequency of behaviors for assisted and unassisted dairy cows at calving. The hypothesize of the current study was that there would be a difference between the behavior of cows that were assisted and unassisted at calving, which could provide some insight for enhanced monitoring.

2. Materials and Methods

Approval for this study was obtained from the University of Nottingham animal ethics committee before commencement of the study (approval number 198).

2.1. Data

Video cameras (5 Mp, 30 m IR. Hikvision HD Bullet; Hangzhou, China) were used to record Holstein-Friesian dairy cows at the Nottingham University Dairy Centre (Sutton Bonington, Leicestershire, UK) prior to calving. Cameras were recording at 20 frames per second. Three calving pens with two surveillance cameras looking into each pen were used to obtain 24 h video footage of 35 individual cows between April and June 2018. Both cameras on each pen allowed full coverage of the area and were approximately at a 45-degree angle looking into the pen. Each calving pen housed a maximum of eight cows. At three weeks before expected calving, each cow was moved into one of the three calving pens so that the entire calving process could be closely monitored. Of the 35 cows monitored, 17 were primiparous and 18 multiparous. The need for a birth to be assisted was recorded for each cow and determined by the same experienced farm staff from visual assessment on calving progress. Cows were managed and housed within their normal environment.

2.2. Observations

The video recording for each cow was annotated from 9 h prior to giving birth by three observers using custom made scripts in PyTorch 1.5 framework to record the behavior profile of each cow with time. The start of the continuous observation period was determined as 9 h from when the calf was fully expelled at birth using the video recording, and considered a time when no visual signs of calving behavior are observed. A total of 19,191 individual behavioral observations were recorded from all 35 cows. To ensure accuracy of video behavior annotations, the video was segmented into short clips for each behavior, and all video clips subsequently checked for accuracy by one of the three observers. Seven behaviors were recorded, which were:
  • Standing: The cow is still on all four legs.
  • Lying: The midway transition of when the cow is about to lie down to when they start to rise again.
  • Walking: Movement of more than two steps.
  • Shuffle: Cow circles on the spot or moves slightly with a step or two.
  • Contractions: Visible straining while lying down.
  • Eating: Cow puts its head through the feeding barrier until the moment it pulls its head back out from the feeding barrier.
  • Drinking: Head is over the water trough and regular head movement towards the trough.

2.3. Statistical Analysis

For the analysis, the 9 h prior to giving birth was split into three-hour time periods, with period three ending with the birth. The duration of behaviors in seconds and frequency were determined for each time period. A total of 735 behavior records were obtained from 35 cows (35 × 7 behaviors × 3 time periods).
Behavior records were analyzed using a generalized linear mixed model in Genstat Version 19.1 (Lawes Agricultural Trust, 2018). A binomial error distribution and a logit link function added was fitted to the fixed effects of assistance, time period, behavior and parity for the dependent variables of duration and frequency of behaviors in Equation (1):
Yijkl = µ + Ai × Tj × Bk + Pl + Eijkl
where Yijkl is the dependent variable of behavior duration or frequency; µ = overall mean; Ai = fixed effect for assistance at calving (i = 0 for unassisted or 1 for assisted); Tj = fixed effect of time period (j = 1 to 3); Bk = fixed effect of behavior (k = standing, lying, walking, shuffle, contractions, eating and drinking); Pl = fixed effect of parity (l = primiparous or multiparous); Eijkl = random error term.
The back-transformed predicted means for behavior duration and frequency were expressed as the proportion of total time or count during each time period. The three-hour time periods allowed analysis of the proportion of time and frequency of behaviors to be compared for several behaviors within a time period. Significance was attributed at p < 0.05.

3. Results

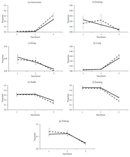
Of the 35 calvings, there were four primiparous and four multiparous calvings that required assistance by the farm stockperson, with all other calvings being unassisted. The study found no difference in duration or frequency of behaviors between cows that had an assisted or unassisted calving. Furthermore, there was no difference between primiparous and multiparous cows (Table 1). Differences were found in the duration of behaviors (p < 0.001) with the majority of time spent lying (0.49) or standing (0.35) with other behaviors being 0.04 or less across the 9 h studied (Figure 1). In the final three hours prior to calving, the proportion of time for lying and contractions increased and the time spent standing, drinking and eating decreased (p < 0.001; Table 1 and Figure 2).
Table 1. Effects of parity, time period and calving assistance on the duration of dairy cow (n = 35) behaviors as a proportion of time.
Figure 1. Predicted mean (± SEM) proportion of time dairy cows (n = 35) spent doing different behaviors during the 9 h prior to calving.
Figure 2. Predicted mean (± SEM) proportion of time that were (a) contractions, (b) drinking, (c) eating, (d) lying, (e) shuffle, (f) standing and (g) walking behavior for assisted (dashed line) or unassisted (solid line) dairy cow calvings (n = 35) in time periods one to three, with period three ending with the birth.
Differences were also found in the frequency of behaviors (p < 0.001) with standing (0.36) and shuffle (0.26) being most frequent, with other behaviors being 0.09 or less across the 9 h studied (Figure 3).
Figure 3. Predicted mean (±SEM) proportion of observations for different dairy cow (n = 35) behaviors during the 9 h prior to calving.
In the final three hours prior to calving, the frequency of lying and contraction bouts increased and the standing, shuffle, walking, drinking and eating bouts decreased (p < 0.001; Table 2 and Figure 4).
Table 2. Effects of parity, time period and calving assistance on the frequency of dairy cow (n = 35) behaviors as a proportion of observations.
Figure 4. Predicted mean (± SEM) proportion of observations that were (a) contractions, (b) drinking, (c) eating, (d) lying, (e) shuffle, (f) standing and (g) walking behavior for assisted (dashed line) or unassisted (solid line) dairy cow calvings (n = 35) in time periods one to three, with period three ending with the birth.

4. Discussion

This study found that when monitoring calving the duration and frequency of lying and contraction bouts increased in the last three hours prior to birth compared to other time periods studied. Observing contractions and their increased frequency, along with increased frequency and time spent lying, can be used as indicators of progress in parturition. During the nine hours studied prior to calving, cows spent a large proportion of their time either lying or standing in their late pregnancy. No difference in behavioral patterns were found between assisted and unassisted calvings in the current study, but have been found by others [7,12]. The failure to find a difference between assisted and unassisted calvings may have been influenced by observations being conducted until the calf was fully expelled and any assistance being subjectively determined by farm staff. Additionally, only 23% (8 of the 35 cows) in the current study needed assistance when calving, and therefore further observations of assisted births would add to the study.
Cows tend to be lying when contractions are occurring. The behavior of dairy cows has been heavily researched due to concerns to dairy cow welfare and as an indicator of poor health [13]. Lying is a highly motivated behavior in dairy cows, with cows prioritizing lying over other behaviors such as feeding, and especially after a period when these behaviors have been limited [13]. Typically, cows when indoors will spend between 10–12 h per day lying, and between eight and 10 h per day when grazing [14]. The difference may reflect more time needed for eating and walking when at pasture. In the current study cows spent about 12 h per day lying and eight hours standing, with more time spent lying and less time standing, drinking and eating as parturition progressed. Miedema et al. [7] found the frequencies of lying and tail raising increased in the final six-hours before calving and that changes in standing and lying could potentially be used as a predictor of calving. The findings of the current study would also support the use of lying and standing transitions as a means for farmers and technology to detect the progress of parturition and imminent birth. Giaretta et al. [4] also found increased tail movements as an important indicator of calving progress, along with decreased eating behavior and rumination time. Further behaviors such as tail movements and rumination time may have added to the current study since they are potentially visible on video footage.
Schuenemann et al. [12] suggested that dystocic births are characterized by an increase in abdominal contractions for around 95 min until intervention is required. Therefore, if contractions can be tracked accurately, and potentially with technology, a prediction of dystocia could potentially be made given its importance in the monitoring of parturition. Electronic devices such as abdominal belts or intravaginal thermometers to detect uterine contractions and body temperature changes have been proposed as potential solutions [3,4]. Furthermore, the live video feed could be monitored using camera surveillance software to track individual cow behavior since the cows are often indoors when calving [5,6]. Several studies have proposed sensor technology for classifying cow behavior [15,16,17]. During the study, changes in behavior were largely associated with standing, shuffle, walking and lying, with bouts of lying increasing in the period prior to calving, which is consistent with other studies [18]. This potential restlessness is known to relate to discomfort in animals and may reflect late stages of pregnancy or boredom [19].

5. Conclusions

No differences among assisted and unassisted calvings were found. During the 9 h that were studied before calving, cows spent a large proportion of their time either lying or standing, with a higher frequency of standing and shuffle bouts than other behaviors. The increased time and bouts of lying, including contractions, during the last three-hours prior to calving, and the reduction in other behaviors, could provide a means of tracking the progress of parturition by the stockperson and using technology. These findings could help support dairy farmers at calving and increase the welfare of cows and their offspring, and subsequent lifetime performance.

Author Contributions

Conceptualization, M.J.B. and G.T.; methodology, M.J.B. and G.T.; software, J.M.; validation, J.M.; formal analysis, B.C. and M.J.B.; investigation, B.C. and M.J.B.; resources, M.J.B.; data curation, M.J.B., K.R.S., Z.J.H. and J.M.; writing—original draft preparation, B.C. and M.J.B.; writing—review and editing, B.C. and M.J.B.; visualization, J.M.; supervision, M.J.B.; project administration, M.J.B.; funding acquisition, M.J.B. and G.T. All authors have read and agreed to the published version of the manuscript.

Funding

This research was funded by the Douglas Bomford Trust, the Engineering and Physical Sciences Research Council and the Biotechnology and Biological Sciences Research Council.

Institutional Review Board Statement

The study was conducted according to the guidelines of the Declaration of Helsinki, and approved by the Animal Ethics Committee at the University of Nottingham (approval number 198, 2018).

Data Availability Statement

The analyzed datasets are available from the corresponding author on request.

Conflicts of Interest

The authors declare no conflict of interest.

References

  1. Barkema, H.W.; Von Keyserlingk, M.A.G.; Kastelic, J.P.; Lam, T.J.G.M.; Luby, C.; Roy, J.P.; Leblanc, S.J.; Keefe, G.P.; Kelton, D.F. Invited review: Changes in the dairy industry affecting dairy cattle health and welfare. J. Dairy Sci. 2015, 98, 7426–7445. [Google Scholar] [CrossRef] [PubMed] [Green Version]
  2. Lawrence, A.; Stott, A. Profiting from animal welfare: An animal-based perspective. J. R. Agric. Soc. Engl. 2009, 170, 40–47. [Google Scholar]
  3. Rutten, C.J.; Kamphuis, C.; Hogeveen, H.; Huijps, K.; Nielen, M.; Steeneveld, W. Sensor data on cow activity, rumination, and ear temperature improve prediction of the start of calving in dairy cows. Comput. Electron. Agric. 2017, 132, 108–118. [Google Scholar] [CrossRef]
  4. Giaretta, E.; Marliani, G.; Postiglione, G.; Magazzù, G.; Pantò, F.; Mari, G.; Formigoni, A.; Accorsi, P.A.; Mordenti, A. Calving time identified by the automatic detection of tail movements and rumination time, and observation of cow behavioral changes. Animal 2021, 15, 100071. [Google Scholar] [CrossRef] [PubMed]
  5. Cangar, Ö.; Leroy, T.; Guarino, M.; Vranken, E.; Fallon, R.; Lenehan, J.; Mee, J.; Berckmans, D. Automatic real-time monitoring of locomotion and posture behavior of pregnant cows to calving using online image analysis. Comput. Electron. Agric. 2008, 64, 53–60. [Google Scholar] [CrossRef]
  6. Bell, M.J.; Tzimiropoulos, G. Novel monitoring systems to obtain dairy cattle phenotypes associated with sustainable production. Front. Sustain. Food Syst. 2018, 2, 31. [Google Scholar] [CrossRef]
  7. Miedema, H.M.; Cockram, M.S.; Dwyer, C.M.; MacRae, A.I. Changes in the behaviour of dairy cows during the 24h before normal calving compared with behaviour during late pregnancy. Appl. Animal Behav. Sci. 2011, 131, 8–14. [Google Scholar] [CrossRef]
  8. Hyslop, J.; Ross, D.; Bell, M.; Dwyer, C. Observations on the time course of calving events in unassisted multiparous spring calving suckler cows housed in a straw bedded yard. In Proceedings of the British Society of Animal Science; Cambridge University Press: Cambridge, UK, 2008; p. 158. [Google Scholar]
  9. Lombard, J.E.; Garry, F.B.; Tomlinson, S.M.; Garber, L.P. Impacts of Dystocia on Health and Survival of Dairy Calves. J. Dairy Sci. 2007, 90, 1751–1760. [Google Scholar] [CrossRef] [PubMed]
  10. Barrier, A.C.; Haskell, M.J.; Birch, S.; Bagnall, A.; Bell, D.J.; Dickinson, J.; Macrae, A.I.; Dwyer, C.M. The impact of dystocia on dairy calf health, welfare, performance and survival. Vet. J. 2013, 195, 86–90. [Google Scholar] [CrossRef] [PubMed]
  11. McGuirk, B.J.; Forsyth, R.; Dobson, H. Economic cost of difficult calvings in the United Kingdom dairy herd. Vet. Rec. 2007, 161, 685–687. [Google Scholar] [CrossRef] [PubMed]
  12. Schuenemann, G.M.; Nieto, I.; Bas, S.; Galvão, K.N.; Workman, J. Assessment of calving progress and reference times for obstetric intervention during dystocia in Holstein dairy cows. J. Dairy Sci. 2011, 94, 5494–5501. [Google Scholar] [CrossRef] [PubMed] [Green Version]
  13. Weary, D.M.; Huzzey, J.M.; von Keyserlingk, M.A.G. Board-invited review: Using behavior to predict and identify ill health in animals. J. Anim. Sci. 2009, 87, 770–777. [Google Scholar] [CrossRef] [PubMed] [Green Version]
  14. Smid, A.-M.C.; Weary, D.M.; von Keyserlingk, M.A.G. The influence of different types of outdoor access on dairy cattle behavior. Front. Vet. Sci. 2020, 7, 257. [Google Scholar] [CrossRef] [PubMed]
  15. Diosdado, J.; Barker, Z.; Hodges, H.; Amory, J.; Croft, D.; Bell, N.; Codling, E. Classification of behavior in housed dairy cows using an accelerometer-based activity monitoring system. Anim. Biotelemetry 2015, 3, 15. [Google Scholar] [CrossRef] [Green Version]
  16. Rahman, A.; Smith, D.; Little, B.; Ingham, A.; Greenwood, P.; Bishop-Hurley, G. Cattle behavior classification from collar, halter, and ear tag sensors. Inf. Process. Agric. 2018, 5, 124–133. [Google Scholar] [CrossRef]
  17. Benaissa, S.; Tuyttens, F.; Plets, D.; Pessemier, T.; Trogh, J.; Tanghe, E.; Martens, L.; Vandaele, L.; Van Nuffel, A.; Joseph, W.; et al. On the use of on-cow accelerometers for the classification of behaviors in dairy barns. Res. Vet. Sci. 2019, 125, 425–433. [Google Scholar] [CrossRef] [PubMed] [Green Version]
  18. Huzzey, J.M.; von Keyserlingk, M.A.G.; Weary, D.M. Changes in Feeding, Drinking, and Standing Behavior of Dairy Cows during the Transition Period. J. Dairy Sci. 2005, 88, 2454–2461. [Google Scholar] [CrossRef] [Green Version]
  19. Munksgaard, L.; Jensen, M.B.; Pedersen, L.J.; Hansen, S.W.; Matthews, L. Quantifying behavioural priorities—Effects of time constraints on behaviour of dairy cows, Bos taurus. Appl. Anim. Behav. Sci. 2005, 92, 3–14. [Google Scholar] [CrossRef]
Publisher’s Note: MDPI stays neutral with regard to jurisdictional claims in published maps and institutional affiliations.

Article Metrics

Citations

Article Access Statistics

Multiple requests from the same IP address are counted as one view.