Pilot Study to Evaluate Performance of Frost-Yuzu Fruit Trees under Protected Cultivation
Abstract
1. Introduction
2. Materials and Methods
2.1. Field Condition
2.2. Observational Study
2.3. Protected Cultivation
2.4. Post Management
2.5. Tree Performance and Soil Nutrient Analysis
2.6. Statistical Analysis
3. Results and Discussion
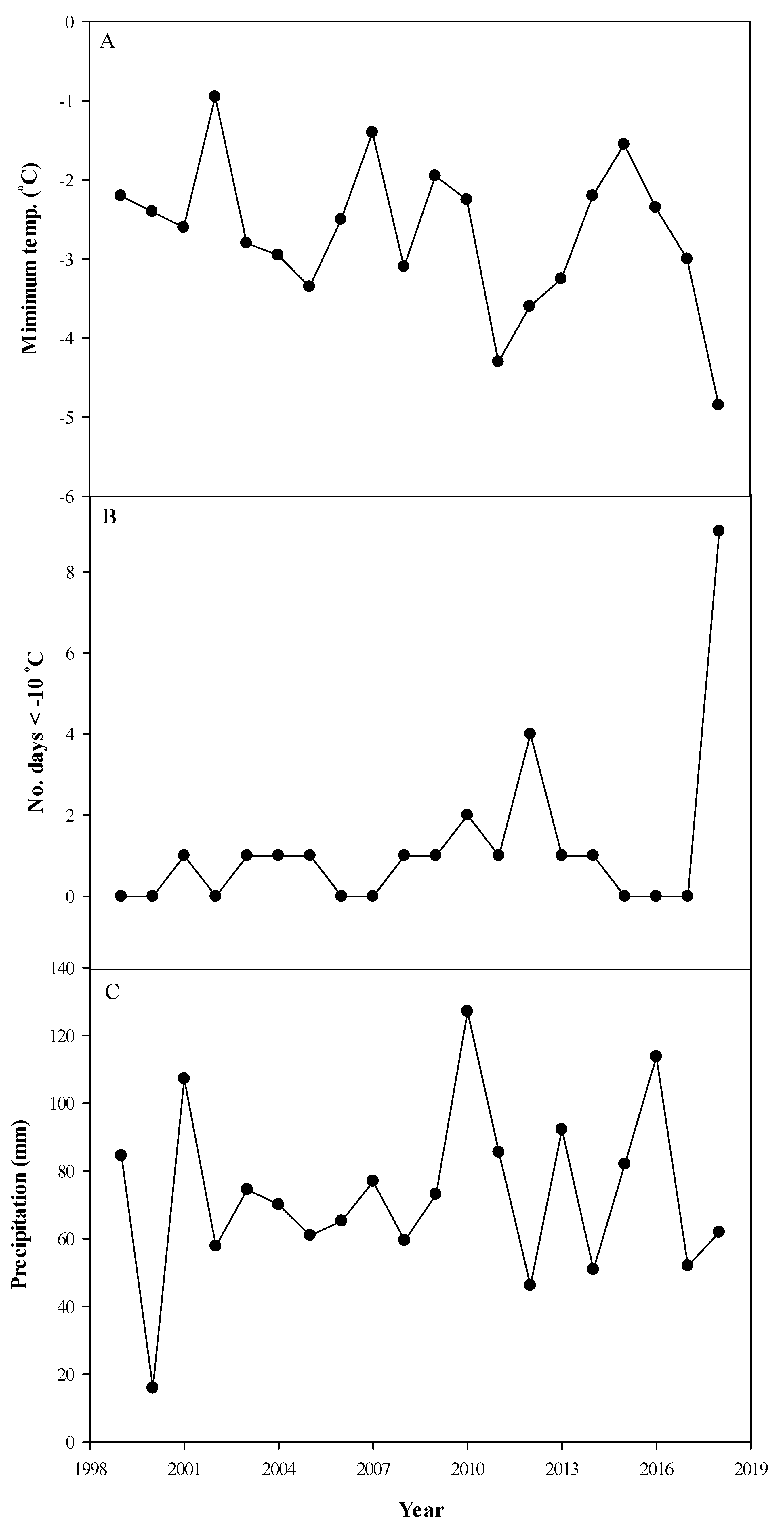
3.1. Climate Condition
3.2. Observational Study
3.3. Protected Cultivation
3.4. Post Management
4. Conclusions
Author Contributions
Funding
Data Availability Statement
Acknowledgments
Conflicts of Interest
References
- Taninaka, T.; Otoi, N.; Moromoto, J. Acid citrus cultivars related to the yuzu (Citrus Junos Sieb ex Tanaka) in Japan. Proc. Int. Soc. Citric. 1981, 1, 73–76. [Google Scholar]
- Lan-Phi, N.T.; Shimamura, T.; Ukeda, H.; Sawamura, M. Chemical and aroma profiles of yuzu (Citrus junos) peel oils of different cultivars. Food Chem. 2009, 115, 1042–1047. [Google Scholar] [CrossRef]
- Lee, J.E.; Kim, K.M.; Kim, J.S.; Kim, G.C.; Choi, S.Y.; Kim, S.B. Chemical compositions and antioxidant activities depending on cultivation methods and various parts of yuza. Korean J. Food Preserv. 2017, 24, 802–812. [Google Scholar] [CrossRef][Green Version]
- Moon, S.H.; Assefa, A.D.; Ko, E.Y.; Park, S.W. Comparison of flavonoid contents and antioxidant activity of yuzu (Citrus junos Sieb. ex Tanaka) based on harvest time. Korean J. Hortic. Sci. Technol. 2015, 33, 283–291. [Google Scholar] [CrossRef]
- Sawamura, M. Fruits: Growth, Nutrition, and Quality; WFL Publisher: Helsinki, Finland, 2005. [Google Scholar]
- Yoo, K.M.; Lee, K.W.; Park, J.B.; Lee, H.J.; Hwang, I.K. Variation in major antioxidants and total antioxidant activity of yuzu (Citrus junos Sieb. ex Tanaka) during maturation and between cultivars. J. Agric. Food Chem. 2004, 52, 5907–5913. [Google Scholar] [CrossRef]
- Kim, K.H.; Koh, G.H.; Son, K.I.; Koh, Y.J. Outbreaks of yuzu dieback in Goheung area: Possible causes deduced from weather extremes. Plant Pathol. J. 2015, 31, 290–298. [Google Scholar] [CrossRef][Green Version]
- Kim, G.H.; Kim, Y.J.; Kim, K.H. Agrometeorological analysis on the freeze damage occurrence of yuzu trees in Goheung, Jeonnam province in 2018. Res. Plant Dis. 2019, 25, 71–78. [Google Scholar] [CrossRef]
- Campoy, J.A.; Ruiz, D.; Egea, J. Dormancy in temperate fruit trees in a global warming context: A review. Sci. Hortic. 2011, 130, 357–372. [Google Scholar] [CrossRef]
- Luedeling, E.; Girvetz, E.H.; Semenov, M.A.; Brown, P.H. Climate change affects winter chill for temperate fruit and nut trees. PLoS ONE 2013, 6, e20155. [Google Scholar] [CrossRef]
- Vitasse, Y.; Lenz, A.; Körner, C. The interaction between freezing tolerance and phenology in temperate deciduous trees. Front. Plant Sci. 2014, 5, 541. [Google Scholar] [CrossRef]
- Charrier, G.; Ngao, J.; Saudreau, M.; Améglio, T. Effects of environmental factors and management practices on microclimate, winter physiology, and frost resistance in trees. Front. Plant Sci. 2015, 6, 259. [Google Scholar] [CrossRef]
- Pramsohler, M.; Neuner, G. Dehydration and osmotic adjustment in apple stem tissue during winter as it relates to the frost resistance of buds. Tree Physiol. 2013, 33, 807–816. [Google Scholar] [CrossRef]
- Yu, D.J.; Lee, H.J. Evaluation of freezing injury in temperate fruit trees. Hortic. Environ. Biotechnol. 2020, 61, 787–794. [Google Scholar] [CrossRef]
- Park, J.S.; Cho, W.J.; Kim, W.S. Selection and control effect of environmental friendly organic materials for controlling the main disease of yuzu (Citrus junos Sieb). Korean J. Org. Agric. 2014, 22, 115–127. [Google Scholar] [CrossRef]
- Faniadis, D.; Drogoudi, P.D.; Vasilakakis, M. Effects of cultivar, orchard elevation, and storage on fruit quality characters of sweet cherry (Prunus avium L.). Sci. Hortic. 2010, 125, 301–304. [Google Scholar] [CrossRef]
- Kang, S.K.; Ahn, K.H.; Choi, S.T.; Do, K.R.; Cho, K.S. Effect of planting site and direction of fruiting on fruit frost damage in persimmon (Diospyros kaki ‘Fuyu’) fruits from environment-friendly orchard. Korean J. Org. Agric. 2014, 22, 789–799. [Google Scholar] [CrossRef]
- Unterberger, C.; Brunner, L.; Nabernegg, S.; Steininger, K.W.; Steiner, A.K.; Stabentheiner, E.; Monschein, S.; Truhetz, H. Spring frost risk for regional apple production under a warmer climate. PLoS ONE 2018, 13, e0200201. [Google Scholar] [CrossRef]
- Vitasse, Y.; Schneider, L.; Rixen, C.; Christen, D.; Rebetez, M. Increase in the risk of exposure of forest and fruit trees to spring frosts at higher elevations in Switzerland over the last four decades. Agric. For. Meteorol. 2018, 248, 60–69. [Google Scholar] [CrossRef]
- Ribeiro, A.C.; De Melo-Abreu, J.P.; Snyder, R.L. Apple orchard frost protection with wind machine operation. Agric. For. Meteorol. 2006, 141, 71–81. [Google Scholar] [CrossRef]
- Tamang, B.; Andreu, M.G.; Rockwood, D.L. Microclimate patterns on the leeside of single-row tree windbreaks during different weather conditions in Florida farms: Implications for improved crop production. Agroforest. Syst. 2010, 79, 111–122. [Google Scholar] [CrossRef]
- Wittwer, S.H.; Castilla, N. Protected cultivation of horticultural crops worldwide. Horttechnology 1995, 5, 6–23. [Google Scholar] [CrossRef]
- Pellet, H.M.; Carter, J.V. Effect of nutritional factors on cold hardiness of plants. Hortic. Rev. 1981, 3, 144–171. [Google Scholar]
- Smith, P.F.; Rasmussen, G.K. Relation of fertilization to winter injury of citrus trees. Proc. Fla. State Hortic. Soc. 1958, 71, 170–175. [Google Scholar]
- Zilkah, S.; Wiesmann, Z.; Klein, I.; David, I. Foliar applied urea improves freezing protection to avocado and peach. Sci. Hortic. 1996, 66, 85–92. [Google Scholar] [CrossRef]
- KMA. Statistical Analysis of Climate; Korea Meteorological Administration: Seoul, Korea, 2021.
- RDA. Criteria of Fertilizer Application in Crops; Rural Development Administration; Sammi Press: Wanju, Korea, 2011. [Google Scholar]
- RDA. Analysis Methods of Soil and Plant; Rural Development Administration; Sammi Press: Wanju, Korea, 2010. [Google Scholar]
- Reiger, M. Freeze protection for horticultural crops. Hortic. Rev. 1989, 11, 45–109. [Google Scholar]
- Atucha, A.; Merwin, I.A.; Brown, M.G. Long-term effects of four groundcover management systems in an apple orchard. HortScience 2011, 46, 1176–1183. [Google Scholar] [CrossRef]
- Merwin, I.A.; Stiles, W.C. Orchard ground cover management impacts on apple tree growth and yield, and nutrient availability and uptake. J. Am. Soc. Hortic. Sci. 1994, 119, 209–215. [Google Scholar] [CrossRef]



| Defoliation | Tree Height (cm) | Longest Width (cm) | Shortest Width (cm) | Tree Volume (cm3) | Shoot Mortality (%) |
|---|---|---|---|---|---|
| 2018 | |||||
| 0% | 421 a | 356 a | 325 a | 34.1 a | 4.5 d |
| 30% | 366 b | 350 a | 321 a | 28.8 b | 13.6 c |
| 60% | 321 c | 335 a | 316 a | 23.8 c | 31.8 b |
| 90% | 289 d | 299 b | 284 b | 17.2 d | 72.3 a |
| 2019 | |||||
| 0% | 408 a | 367 a | 338 a | 35.4 a | 3.2 d |
| 30% | 382 b | 362 a | 336 a | 32.5 b | 10.6 c |
| 60% | 345 c | 348 ab | 337 a | 28.3 c | 15.4 b |
| 90% | 315 d | 329 b | 321 b | 23.3 d | 25.5 a |
| Defoliation | Fruiting (No. tree−1) | Fruit wt. (g) | Fruit Yield (g tree−1) | Yield Index (%) | Fruiting (No. tree−1) | Fruit wt. (g) | Fruit Yield (g tree−1) | Yield Index (%) |
|---|---|---|---|---|---|---|---|---|
| 2018 | 2019 | |||||||
| 0% | 353 a | 106 b | 2357 a | 100.0 a | 360 a | 113 c | 2563 a | 100.0 a |
| 30% | 315 b | 105 b | 2084 b | 88.4 b | 326 b | 118 b | 2425 b | 94.6 b |
| 60% | 236 c | 109 ab | 1621 c | 68.8 c | 252 c | 120 ab | 1905 c | 74.6 c |
| 90% | 149 d | 112 a | 1051 d | 44.6 d | 160 d | 123 a | 1240 d | 48.4 d |
| Land | Tree Height (cm) | Longest Width (cm) | Shortest Width (cm) | Tree Volume (cm3) | Shoot Mortality (%) | Defoliation (%) |
|---|---|---|---|---|---|---|
| 2018 | ||||||
| Flat | 375 | 288 | 275 | 20.7 | 55.8 | 65.2 |
| Slope | 402 | 382 | 324 | 34.8 | 16.4 | 30.3 |
| Significance | * | *** | ** | *** | *** | *** |
| 2019 | ||||||
| Flat | 382 | 325 | 312 | 27.1 | 16.5 | 12.8 |
| Slope | 388 | 381 | 336 | 34.7 | 5.8 | 13.6 |
| Significance | ns | *** | ns | ** | *** | ns |
| Land | Fruiting (No. tree−1) | Fruit wt. (g) | Fruit Yield (g tree−1) | Yield Index (%) |
|---|---|---|---|---|
| 2018 | ||||
| Flat | 156 | 112 | 1101 | 100 |
| Slope | 301 | 116 | 2200 | 200 |
| Significance | *** | ns | *** | *** |
| 2019 | ||||
| Flat | 144 | 117 | 1061 | 100 |
| Slope | 296 | 123 | 2294 | 200 |
| Significance | *** | ns | *** | *** |
| Windbreak | Tree Height (cm) | Longest Width (cm) | Shortest Width (cm) | Tree Volume (cm3) | Shoot Mortality (%) | Defoliation (%) |
|---|---|---|---|---|---|---|
| 2018 | ||||||
| Tree | 368 | 376 | 355 | 34.4 | 4.6 | 25.4 |
| Net | 395 | 368 | 352 | 35.8 | 7.8 | 33.2 |
| Significance | * | ns | ns | ns | * | * |
| 2019 | ||||||
| Tree | 376 | 366 | 342 | 32.9 | 4.1 | 12.9 |
| Net | 382 | 352 | 358 | 33.7 | 5.2 | 12.5 |
| Significance | ns | ns | ns | ns | ** | ns |
| Windbreak | Fruiting (No. tree−1) | Fruit wt. (g) | Fruit Yield (g tree−1) | Yield Index (%) |
|---|---|---|---|---|
| 2018 | ||||
| Tree | 278 | 113 | 1979 | 102 |
| Net | 256 | 120 | 1935 | 100 |
| Significance | * | ns | ns | ns |
| 2019 | ||||
| Tree | 289 | 116 | 2112 | 102 |
| Net | 272 | 121 | 2073 | 100 |
| Significance | ns | ns | ns | ns |
| Treatment | pH (1:5) | EC (dS m−1) | OM (g kg−1) | P2O5 (mg kg−1) | ExCation (cmolc/kg) | ||
|---|---|---|---|---|---|---|---|
| K2O | CaO | MgO | |||||
| Clean-IR | 6.2 b | 0.28 b | 2.7 b | 506 b | 0.69 b | 7.46 b | 1.72 a |
| Sod + IR | 6.5 ab | 0.32 ab | 3.1 ab | 651 ab | 0.72 ab | 7.65 ab | 1.55 b |
| Mulch + IR | 6.7 a | 0.38 a | 3.5 a | 790 a | 0.83 a | 8.05 a | 1.64 ab |
| Desired level | 6.0–6.5 | 0.00–<0.20 | 2.5–3.5 | 200–300 | 0.30–0.60 | 5.0–6.0 | 1.5–2.0 |
| Treatment | Tree Height (cm) | Width (cm) | Tree Volume (cm3) | Shoot Mortality (%) |
|---|---|---|---|---|
| Clean-IR | 341 c | 330 b | 24.9 c | 13.2 a |
| Sod + IR | 365 b | 372 a | 32.6 b | 8.4 b |
| Mulch + IR | 386 a | 380 a | 36.1 a | 5.6 c |
| Treatment | Fruiting (No. tree−1) | Fruit wt. (g) | Fruit Yield (g tree−1) | Yield Index (%) |
| Clean-IR | 218 c | 112 b | 1538 c | 100 c |
| Sod + IR | 286 b | 115 ab | 2072 b | 135 b |
| Mulch + IR | 320 a | 120 a | 2419 a | 157 a |
| Treatment | Tree Height (cm) | Width (cm) | Tree Volume (cm3) | Shoot Mortality (%) |
|---|---|---|---|---|
| Control | 352 | 204 | 19.5 | 12.9 |
| Urea | 376 | 238 | 21.8 | 8.7 |
| Significance | * | ns | * | *** |
| Treatment | Fruiting (No. tree−1) | Fruit wt. (g) | Fruit Yield (g tree−1) | Yield Index (%) |
| Control | 255 | 112 | 1779 | 100 |
| Urea | 286 | 120 | 2162 | 122 |
| Significance | ** | * | ** | ** |
Publisher’s Note: MDPI stays neutral with regard to jurisdictional claims in published maps and institutional affiliations. |
© 2021 by the authors. Licensee MDPI, Basel, Switzerland. This article is an open access article distributed under the terms and conditions of the Creative Commons Attribution (CC BY) license (https://creativecommons.org/licenses/by/4.0/).
Share and Cite
Kim, B.-S.; Lee, B.-B.; Jung, S.-K.; Choi, H.-S. Pilot Study to Evaluate Performance of Frost-Yuzu Fruit Trees under Protected Cultivation. Agriculture 2021, 11, 660. https://doi.org/10.3390/agriculture11070660
Kim B-S, Lee B-B, Jung S-K, Choi H-S. Pilot Study to Evaluate Performance of Frost-Yuzu Fruit Trees under Protected Cultivation. Agriculture. 2021; 11(7):660. https://doi.org/10.3390/agriculture11070660
Chicago/Turabian StyleKim, Byeong-Sam, Bo-Bae Lee, Seok-Kyu Jung, and Hyun-Sug Choi. 2021. "Pilot Study to Evaluate Performance of Frost-Yuzu Fruit Trees under Protected Cultivation" Agriculture 11, no. 7: 660. https://doi.org/10.3390/agriculture11070660
APA StyleKim, B.-S., Lee, B.-B., Jung, S.-K., & Choi, H.-S. (2021). Pilot Study to Evaluate Performance of Frost-Yuzu Fruit Trees under Protected Cultivation. Agriculture, 11(7), 660. https://doi.org/10.3390/agriculture11070660
