Next Article in Journal
Optimising Potato (Solanum tuberosum L.) Cultivation by Selection of Proper Soils
Next Article in Special Issue
Impacts of LEDs in the Red Spectrum on the Germination, Early Seedling Growth and Antioxidant Metabolism of Pea (Pisum sativum L.) and Melon (Cucumis melo L.)
Previous Article in Journal
Farmers’ Willingness to Pay for Services to Ensure Sustainable Agricultural Income in the GAP-Harran Plain, Şanlıurfa, Turkey
Previous Article in Special Issue
Crop Sensor Based Non-destructive Estimation of Nitrogen Nutritional Status, Yield, and Grain Protein Content in Wheat
 
 
Font Type:
Arial Georgia Verdana
Font Size:
Aa Aa Aa
Line Spacing:
Column Width:
Background:
Article

The Combined Effect of Different Sowing Methods and Seed Rates on the Quality Features and Yield of Winter Wheat

Department of Crop Cultivation and Farming System, College of Agronomy, Northwest A&F University, Yangling, Xianyang 712100, Shaanxi, China
*
Author to whom correspondence should be addressed.
Agriculture 2020, 10(5), 153; https://doi.org/10.3390/agriculture10050153
Submission received: 23 March 2020 / Revised: 27 April 2020 / Accepted: 28 April 2020 / Published: 6 May 2020
(This article belongs to the Special Issue Innovative Agronomic Practices for Maximizing Crop Growth and Yield)

Abstract

Wheat (Triticum aestivum L.) is one of the main staple foods worldwide. Wide precise sowing (Wps) is a sowing method believed to produce the highest winter wheat grain yields; however, the reasons for its high yields and its effect on quality traits have not been effectively studied. Hence, a two-year field experiment was conducted to evaluate the effect of three sowing methods, dibbling (Db), drilling (Dr), and Wps and seed rates (112.5 kg ha−1, 150 kg ha−1, 187.5 kg ha−1, and 225 kg ha−1) on grain yield and the quality of winter wheat. Wps, Dr, and Db produced statistically similar results in terms of the grain yield and most of the quality traits measured. The grain yield increased significantly with the increasing rate, the highest being 7488.89 kg ha−1 at a seed rate of 225 kg ha−1. The total protein, albumin, and globulin were not affected by the sowing methods, but prolamin and glutelin were affected by the Dr and Wps, respectively. The total starch in both years, and the amylose and amylopectin in the first year, were affected only by the seed rates, with 60.11%, 23.2%, 38.63%, or higher values. The results indicated that for the wheat yield and quality traits, Wps, Dr and Db can mostly be used interchangeably. For the protein, starch, and grain yield, the suitable seed rates were 112.5 kg ha−1, 150 kg ha−1, and 225 kg ha−1, respectively.

1. Introduction

Wheat is a major staple food crop worldwide. In its various food forms, it provides a large proportion of the world’s nutrition compared to nutrition from other cereal grains [1]. Wheat provides 28% of the world’s edible dry matter and up to 60% of daily calories in developing countries [2]. Food consumption is expected to double by 2050, in addition to the increasing requirement for high-quality food for a healthy diet [3]; a rapid increase in the necessity of wheat products is also predicted worldwide [4]. Moreover, increasing grain yield in the same unit area while maintaining its end use-value remains a global nutritional challenge [5,6]. The composition and nutritional quality of the wheat grain have a significant impact on human health and well-being, especially in developing countries. Therefore, factors affecting not only wheat yield, but also wheat quality, require more attention [7,8].
Seeding rate is a predictable management factor that affects the agronomic and end-use quality traits of wheat [9]; therefore, it should be studied carefully to obtain higher grain yields with better end-user quality [10]. Previous studies reported that a dense wheat population resulted in competition between plants that induced self-regulation [11,12,13]. Intraspecific competition between individuals and populations can be controlled by optimum planting density, through the establishment of an appropriate population pattern [14]. Environmental resources, such as light, water, and nutrients during crop growth, are strongly governed by seed rate [15]. A high seed rate causes more water consumption before anthesis and, consequently, a decline in the grain yield and grain per spike [16,17].
Results from other studies found no substantial effect of seed rate on grain quality [18,19]. However, previous studies only involved a relatively high range of seed rates and plant populations [20]. Reducing sowing density through the scattering of seeds is one of the techniques where grain quality might be affected significantly, as crops sown widely apart often mature slowly compared to a dense population [21]. To achieve a desirable yield for the farmers, not only is the optimum seed rate required, but suitable methods of sowing should additionally be put into consideration [22,23,24].
Proper methods of sowing enhance resource availability, such as sunlight capture, moisture, and nutrient availability, leading to the proper root system development from the early stage of crop growth [22]. Sowing methods guarantee proper crop establishment and optimum plant population in the field, as well as facilitating plants to utilize the land and other resources more efficiently and purposefully toward growth and development [25,26]. Unproductive crops can be caused by inadequate sowing methods. Ears and overall size remain smaller and the crop becomes more easily affected by lodging, pests, and diseases, consequently causing lower yield per unit area [27] later on. Among the sowing methods, one can mention dibbling, which is a type of sowing method most favorable under suitable soil conditions. This method involves inserting a seed in a shallow hole and covering it with nearby soil [28]. The dibbling method is an efficient sowing method that is drought fighting and highly efficient in its use of solar radiation. It is usually used where plowing and harrowing are difficult. As dibbling is done manually, it is considered more time consuming compared to drilling and other conventional sowing methods, and is mostly used by small scale farmers [29].
Drilling is an advisable sowing method due to its uniform population per unit area. As seeds are placed at a uniform depth and covered with soil, high germination and uniform stands are expected [30]. In recent years, the new planting pattern of wide precision has been widely adopted. This new planting pattern of wide precision sowing changes the seed dispersal from planting all seeds in a line, as done in drilling and dibbling, to separating single grains from each other [31,32]. Under this new planting pattern, the highest winter grain yield was produced in a large area of North China in 2010; however, the cause of high yield from this planting pattern is not well investigated [31,33]. Studies have mainly reported the effects of this planting pattern on yield; however, little is known on the effects of this planting pattern on grain quality. In addition, several studies examining the influence of seed rate on yield and its components were carried out compared to the studies of grain quality [34].
Therefore, this study was conducted to determine the following: (i) the effect of wide precise sowing and different seed rates on yield and yield traits; (ii) the grain yield differences among wide precise sowing, drilling and dibbling sowing; (iii) the effect of wide precise sowing and different seed rates on quality traits. Handling these questions will provide useful knowledge on a competitive sowing method, along with an optimum seed rate, in terms of the yield and quality traits of wheat.

2. Materials and Methods

2.1. Experimental Site

The field experiment was carried out at the Douku Wheat and Maize Demonstration Research Station (108°52′ E 34°36′ N) Northwest of A&F University, Shaanxi province, China, during the 2017–2018 and 2018–2019 wheat cropping seasons. The experimental site is semi-humid, with an average annual temperature of 13 °C, and the average annual rainfall is 595 mm (Figure 1). The soil is considered to be Earth-cumuli-orthic anthrosol [35]. Ploughing and harrowing were carried out for seed bed preparation. Before sowing, the soil samples were taken from six randomly selected points within the experimental sites, at a depth of 0–20 cm using a soil auger. The samples were air-dried, ground, sieved, and analyzed for their chemical properties [36]. The values observed were 1.22 g kg−1 of total nitrogen, 29.40 mg kg−1 of phosphorus, and 17.29 g kg−1 of organic matter, 228.33 mg kg−1 and of available potassium, and a pH of 7.99(Table 1). The dates of the main developmental stages of winter wheat in two cropping seasons are shown in Table 2.

2.2. Treatments and Experimental Design

The experiment used a split-plot design with three replications. The main plot treatments were sowing methods and sub plot treatment using the seed rate. The three sowing methods where drilling (Dr), dibbling (Db), and wide precise sowing (Wps). The four sowing rates were 112.5 kg ha−1 (112.5), 150 kg ha−1 (150), 187.5 kg ha−1 (187.5), and 225 kg ha−1 (225). The net plot size was 2 × 3.5 m2. The cultivar of winter wheat (Triticum aestivum L.) used in the experiment was xinong805, which is a semi-winter variety and highly resistant to diseases developed by Northwest A&F University in Shaanxi province, China.
In drilling, seeds were sown using a manual seed drill machine. In wide precise sowing, seeds were sown using a manual drilling machine with wide furrow opener, and the difference in spacing was where seeds were scattered in parallel seed bands instead of being sown in straight lines. The row spacing in each sowing method was 25 cm and the sowing widths in drilling and wide precise sowing were 3–5 cm and 6–8 cm respectively, as shown in Figure 2. Meanwhile, in dibbling, the seeds were placed in the small holes in the ground according to the seed rates: 8, 11, 13, and 16 seeds for 112.5 kg ha−1, 150kg ha−1, 187.5 kg ha−1, and 225kg ha−1 respectively. For separating seed holes from each other, 13.5 cm was used.
Before the first cropping season (2017–2018) winter wheat was grown in the field; afterward the field was fallowed for a period of 4 months. The same field was used during the second cropping season (2018–2019). A slow release fertilizer in the form of (N-P2O5-K20:24-15-5) at the rate of 750 Kg ha−1 was used as a basal fertilizer, spread evenly throughout the field before sowing. Uniform cultural practice was received by all plots in both cropping seasons. The plots were irrigated twice in both growing seasons; at the tillering stage and at the stem elongation stage. Weeding was continuously done by hand uniformly to all plots; no disease was reported in both cropping seasons, while a handheld pressure sprayer was used to apply pesticides that killed harmful insects.

2.3. Sampling Procedures and Grain Quality Analysis

At the flowering stage in every plot, three plant leaves were taken randomly for measuring the leaf area (LA) using LI-3000C (LI-COR, Lincoln, NE, USA). Twenty plants were sampled in each plot for plant height. At physiological maturity, 1 m2 in three different places were harvested for grain yield.
After harvesting and threshing, the cleaned grains were weighed with an electronic scale and converted to grain yield in kg ha−1 and the thousand kernel weight (TKW) was determined using the same electronic scale. In every plot harvested, 10 spikes were taken for determining the number of kernels per spike, spike m2. Grains were milled into flour to determine the total protein, protein fractions, total starch, amylose and amylopectin. Before milling, the samples were tempered to a moisture basis of 160 g Kg−1 grain for 18 to 20 h [37], then the samples were milled in a laboratory mill (Quadrumat Junior, Brabender, Duisburg, Germany).
The total protein content was determined using the Kjeldahl procedure with a K9840 Kjeldahl Analyzer (Hanon Shandong Scientific Instruments Co., Ltd., Jinan, Shandong, China) [38]. The protein concentration in the wheat grain was calculated from the percentage of total nitrogen, by multiplying with a conversion factor of 5.7 [39]. The grain protein fractions of albumin, globulin, prolamin, and glutelin were extracted with a sequential extraction method described by Triboï et al. [40] Briefly, a sequential extraction of the protein fractions of the wheat flour samples were performed as described by Kwon et al. [41], with minor modifications [42]. The protocol for this sequential extraction is outlined in Figure 3.
The albumin extraction was done when 5 g of wheat flour was put into a plastic test tube and 5 mL of distilled water was added. The mixture was stirred using a flushing glass rod for 30 min, which was followed by centrifugation at 4000 rpm for 15 min. The supernatant was poured off into another tube. We repeated this process three times and used the supernatant solutions (in the same bottle) set up to 50 mL using distilled water.
For globulin, prolamin, and glutelin, the solvents used were 10% NaCl, 70% of ethanol, and 0.2% NaOH, respectively. The extraction was repeated three times as done in albumin, and all supernatants for each solvent were pooled to obtain a representative of each solubility fraction. Each fraction was set up to 50 mL against its own solvent.
The wet gluten, test weight, hardness, and Zeleny sedimentation values were measured using Infratec™ 1241 Grain Analyzer (FOSS, Tecator, Copenhagen, Denmark), which is a whole grain analyzer for testing multiple parameters using near-infrared transmittance technology [43].
The amylose and amylopectin contents in wheat grains were determined with a coupled spectrophotometer assay [44]. The steps used can be summarized as follows:
We transferred 0.1 g of wheat flour together with 10 mL of 0.5 M KOH into a 100 mL volumetric flask, placed in a water bath at 600 °C and then stirred for 15 min. We then diluted the solution to a volume of 50 mL with distilled water. Of this solution, 2.5 mL was diluted with 20 mL distilled water and adjusted to pH 3.5 with 0.1 M HCl. Finally, 0.5 mL of I2-KI reagent was added to the solution, which was diluted with distilled water to a final volume of 50 ml. After the settling of 20 min, the absorption peaks of amylose reacted with I2-KI reagent were 656.5 and 461.5 nm, whereas those of amylopectin were 760 and 555 nm [45]. The sum of the amylose and amylopectin contents was designated as the total starch content.

2.4. Statistical Analysis

Two years of experimental data were analyzed by analysis of variance using SPSS 24.0. The mean comparisons were done by Duncan’s multiple range test at 5% level of significance. Graphs were made using Excel 2016.

3. Results

The grain yield, leaf area (LA), thousand kernel weight (TKW), and spike number (m2) were significantly affected by the cropping year; conversely to the plant height and kernels per spike, which were not significantly affected by the cropping year (Table 3). Concerning the quality traits, excluding the protein fractions (expect albumin) and amylopectin, other studied quality parameters were significantly affected by the cropping year (Table 4). The interaction of the year, sowing methods, and seed rate had a significant effect on some parameters (total protein, globulin, glutelin, total starch, amylose, and amylopectin). Since the cropping year significantly affected a large number of studied parameters, the following tables separate cropping years, to demonstrate the effect of sowing methods and seed rate more clearly.
The leaf area was neither significantly affected by the sowing methods, seed rate, or their interaction in both cropping years, except for the second cropping season, where the significance due to the seed rate was observed.
The higher leaf area values were observed in the first cropping season, with a gradual decrease in the leaf area provided that the seed rate increased, although there was one exception where the Dr at SR187.5 showed values slightly lower than SR225 (Table 5). The highest leaf area was recorded in the first cropping season in the Dr at SR112.5; whereas, the lowest value was observed in the second cropping year in the Db at SR150.
The plant height was significantly influenced by the seed rate in both cropping years. The results also showed that in the first cropping year, the highest and lowest values were noted in the Db at SR225 and in the Dr at SR112.5, respectively. A consistent positive correlation between the seed rate and plant height was perceived in Db and Wps in the second season (the seed rates were in the order 112.5 > 150 > 187.5 > 225), while in the Dr, the plant height increased with the seed rate up to SR187.5 in the same season. Compared to the Dr112.5, the plant height increased by 6%, 14.35%, and 17.15% in Dr150, Dr187.5, and Dr225, respectively. Compared to Wps112.5, the plant height increased by 5.22%, 10.68%, and 14.41% in Wps150, Wps187.5, and Wps225, respectively.
The second cropping year outweighed the first cropping year in terms of the grain yield and spike m2. In addition, the grain yield and spike per m2 of the first season seemed to have not been affected by the sowing methods, the seed rate, or their interaction. On the other hand, the seed rate had a significant effect on the grain yield and the spike number of the second season. In the first cropping season, the highest grain yields in the Db and Dr were 5170.37 kg ha−1 and 5229.63 kg ha−1, respectively, noticed in the same seed rate of 112.5 kg ha−1. However, Wps had its highest grain yield and spike number at 225 kg ha−1 (Figure 4). The lowest grain yield was observed in Dr at 187.5 kg ha−1 and the lowest spike number was obtained in Db at 150 kg ha−1. In the second cropping year, the lowest grain yield and spike number were noted at 112.5 kg ha−1 in all three sowing methods. The highest spike number was observed at 225 kg ha−1 in all three sowing methods. In the Dr at 225 kg ha−1 of the second season, the outstanding grain yield and spike number were obtained, with 7488.89 kg ha−1 691 values, respectively.
The thousand kernel weight was highly influenced by the sowing method in the first cropping year, whereas the sowing method and seed rate both significantly influenced the thousand kernel weight in the second cropping season. Both seasons were not affected by the interaction of the sowing methods and seed rate. In the first cropping year, the seed rate of 112.5 kg ha−1 had the highest thousand kernel weight of all three sowing methods (Table 6). In the second season, Db and Dr had the highest thousand kernel weight at the seed rate of 150 kg ha−1; furthermore, the Wps showed a clearer negative correlation between the thousand kernel weight and seed rate compared to the other two sowing methods. The lowest value of thousand kernel weight in both years was recorded in the second year in Dr at a seed rate of 187.5 kg ha−1 with 46.13 g.
The data pertaining to the kernel per spike of wheat affected by the sowing method and seed rate are presented in Table 6. Largely, the data showed that the first cropping year was highly affected by the sowing method, seed rate, and their interaction. However, the second cropping year remained unaltered by treatments. In the first cropping season, the highest kernel per spike was observed in Dr at the 112.5 kg ha−1 seed rate and the lowest was observed in Db at the seed rate of 225 kg ha−1. A general significant decrease in the kernel per spike was observed as well, with Wps showing a clearer negative correlation between the seed rate and kernel per spike compared to other sowing methods. The kernel per spike was ordered Dr > Db > Wps.
The analysis of variance of the effects of the experimental factors and their interactions on the wheat yield and yield components can be found in Table S1 Supplementary Materials.
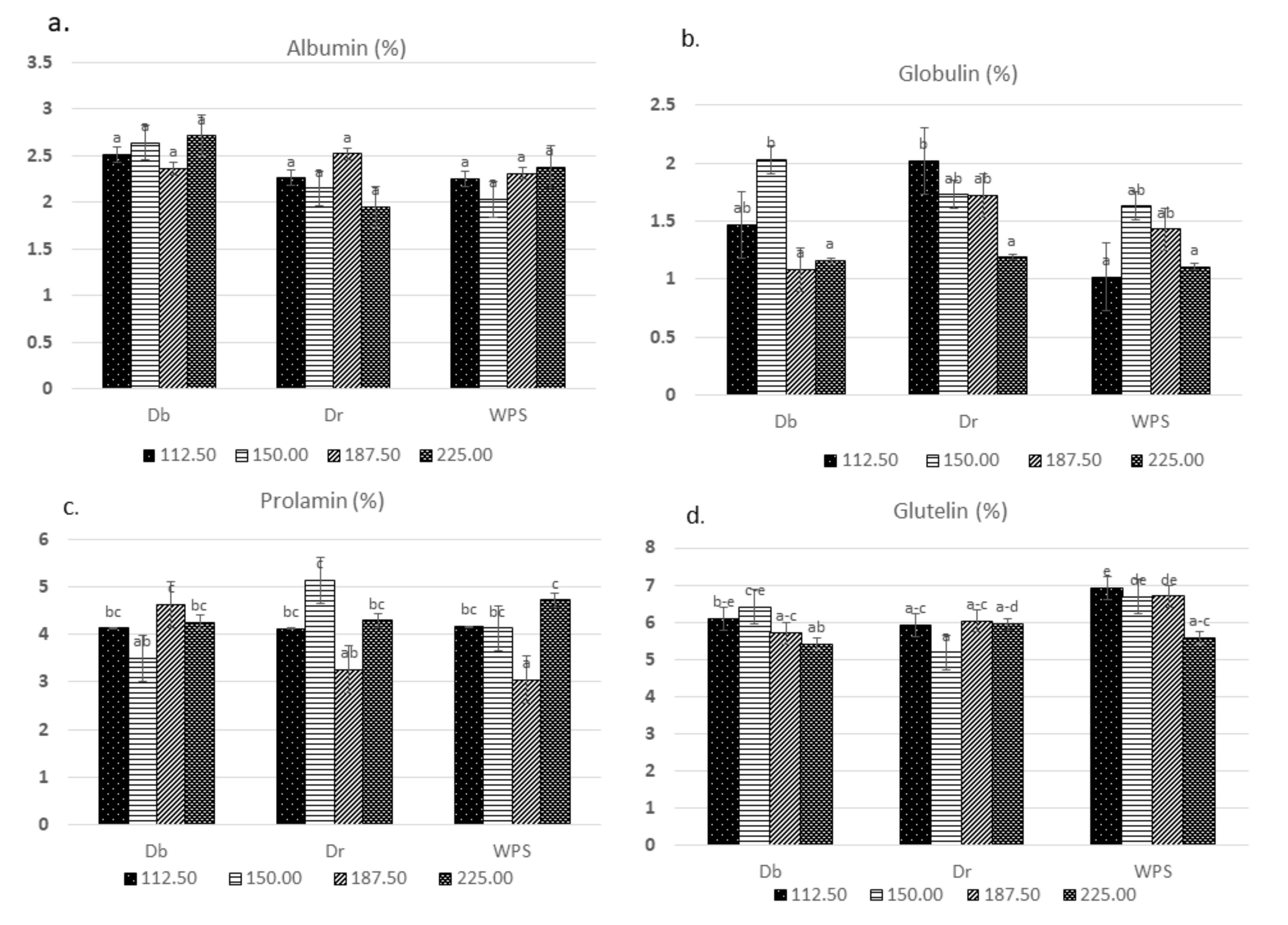
Throughout the two years, glutelin was the major protein fraction. It was affected significantly by the sowing method, seed rate, and their interactions in both cropping seasons (Figure 5d and Figure 6d). Largely, the protein fractions of the second year were considerably affected by the treatment, more than the first year. The prolamin had its highest value in Dr at the 150 kg ha−1 seed rate and the lowest value in Wps at the 187.5 kg ha−1 seed rate in both years. In the first cropping year, prolamin showed a significant effect due to the sowing method, while the interaction of the sowing method and seed rate affected albumin significantly. On the other hand, globulin was not affected by the sowing method, seed rate, or their interaction (Figure 5).
In the second cropping season, the seed rate significantly affected the protein fractions, except for albumin, which was not affected by any treatment at all. Lastly, prolamin was also significantly affected by the sowing method and the seed rate interaction (Figure 5). In both cropping seasons, albumin, globulin, prolamin, and glutelin ranged from 1.95–2.98%, 1.02–2.03%, 3.05–5.13%, and 5.19–6.93%, respectively (Table S1).
The seeding rate exerted significant influences on the total protein in both seasons. Broadly, a rise in the seed rate resulted in a total protein reduction in both years. The Db and Wps of the first season and Dr of the second season showed a clearer negative correlation between the seed rate and total protein, i.e., 112.5 kg ha−1 > 150 kg ha−1 > 187.5 kg ha−1 > 225 kg ha−1. In both cropping seasons (Figure 7), the lowest total protein was observed at the highest seed rate of 225 kg ha−1, except for the Wps in the second season, where the lowest total protein was noted at the SR at 187.5 kg ha−1, which was the lowest overall total protein in both years. The overall highest total protein in both seasons was noticed in first year in Wps, at 112.5 kg ha−1.
The test weight of both seasons showed no considerable impact, either from the sowing method, seed rate, or their interaction. The exception was recorded in the interaction of the sowing method and the seed rate in the first cropping year, which had a considerable effect on the test weight. The highest and lowest values in the first cropping year were reported in the Wps at 187.5 kg ha−1 and 112.5 kg ha−1, consecutively. It is noteworthy that the test weight of the second year showed slightly lower values than the first year (Table 7).
Wet gluten was slightly higher in the first year, with a high significant difference on the seed rate in both years. A general decrease in the wet gluten as the seed rate increased, was observed across the both years, for Db and Wps in the first year. Dr in the second year had a sequential decrease in wet gluten as the seed rate increased. The interaction of the seed rate and sowing methods had a significant difference only in the first year, with the highest wet gluten of 34.14% in Wps at the seed rate of 225 kg ha−1. The overall lowest wet gluten of 28.38% was observed in the second cropping season in the Dr at the seed rate of 225 kg ha−1.
The lowest sedimentation values were recorded in the first year, which were not significantly influenced by any treatment, contrary to the sedimentation values of the second year, which were affected considerably by the seed rate. From the results (Table 7) one may argue that the lowest sedimentation value was recorded in the first cropping year in Db at the seed rate of 225 kg ha−1, while the highest sedimentation value was noted in the second year in Db at the seed rate of 150 kg ha−1, with 27.38 mL and 53.84 mL values, respectively. It is important to emphasize that the Dr of the second season had a sequential decrease in the sedimentation value as the seed rate increased. The values are in the order of 112.5 kg ha−1 > 150 kg ha−1 > 18.75 kg ha−1 > 225 kg ha−1.
Starch and its composition showed an inconsistent trend over both cropping seasons, but a decrease at higher seed rates was noted. The seed rate showed a statistically significant influence on the total starch, amylose, and amylopectin of the first cropping year, which revealed higher values than the second season, i.e., 60.11%, 23.2%, and 38.63%, respectively. It is important to note that the total starch of the second season was considerably influenced by the sowing methods, seed rate, and their interaction. The lowest values of total starch, amylose, and amylopectin were recorded in the second season with 50.78%, 16.54%, and 31.99% values, respectively (Table 8).
The analysis of variance of the effects of the experimental factors and their interactions on wheat quality traits can be found in the Table S2 Supplementary Materials.

4. Discussion

4.1. Yield and Yield Components

The weather conditions differed in wheat cropping seasons. In this study, the first cropping season rainfalls were relatively higher than in the second cropping season. March of the first and second season had 18.79 mm and 0.84 mm, respectively. This high rainfall was the major factor related to the leaching of basal fertilizers [46]. Waterlogging as a result of heavy rainfall has been reported to have a number of severe damages, including a reduction in one or more yield components, such as spike number, kernels per spike, and kernel weight [47]. This resulted in the poor performance of the first year in most of the yield parameters measured. Liu et al. [48] reported that yearly variations in the weather showed a declining trend in the grain production of winter wheat.
The grain yield was significantly affected by the seed rate mainly in the second cropping season, but not much difference was observed in the first season. The grain yield depended on a number of factors including the number of spikes per m2 [49], which generally increased as the seed rate increased; however, no considerable difference was caused by the sowing methods. Higher grain yields in Db, Dr, and Wps were 7200 kg ha−1, 7488 kg ha−1, and 7200 kg ha−1, respectively, which did not differ in a statistically significant way.
Therefore, Wps does not considerably improve the yield compared to other sowing methods in the current study. These results are in close agreement with Kristensen et al. [50], who reported that grain yield generally increased with the crop density and that the sowing pattern had no effect on grain yield. The grain yield substantially increased in response to higher plant densities [51]. The highest number of spikes/m2 in Dr at the seed rate of 225 resulted in the highest grain yield in the same treatment. Iqbal et al. [52] reported that the high grain yield might be attributed to the improvement in the number of tillers and directly related to the number spikes per unit area.
The kernel number per spike showed a significant decrease with the seed rate increase, at least in the first year, whereas the second year remained unaffected by either of the treatments. Similar findings aligned with those reported by Arduini, I et al. [53] in a study on the effect of the seed rate and wheat variety on grain yield. Blue et al., Geleta et al. as well as Carr et al. reported the same trend obtained in the second season, where the seed density increased yield but did not affect the kernel weight [9,54,55].
The thousand kernel weight was affected by the sowing methods in two cropping seasons [56]. In the first cropping season, the dibbling sowing had a significantly lower thousand kernel weight, mostly because the seeds were placed in a hole and covered with nearby soil manually, resulting in a non-uniform depth and a later uneven growth of the plant; hence, the poor seed weight [57]. Meanwhile, drilling and wide precise sowing showed similar results. However, these results were inconsistent in the second season.
A general decline in the thousand kernel weight with the increasing seed rate was noted only in the second season. This might be due to the higher planting density from the higher seed rate used, which increased the plant competition and eventual decline in the individual grain weight [58]. This negative relationship between the plant density and 1000-grain weight might be attributed to the fading of most grains at a higher density in the early stage, because of competition between growing grains to absorb the preserved matters, and, as the result, small grains would be produced [59,60]. In dense populations, photosynthetic matters distributed in more sinks will obviously reduce the share of individual sinks. Insufficient photosynthetic matters during grain filling in dense populations is a possible reason to decrease the thousand kernel weight [59]. Contrarily, at lower seed densities, scattered plants were produced, which enabled the leaves to have a better exposure to the light and ensured active photosynthetic tissue throughout the filling stage, which resulted in bigger individual seeds; hence, the thousand kernel weight was increased [61].

4.2. Wheat Quality Traits

The prime nutritional quality of wheat is determined by the protein and starch content. The most crucial protein components include albumin, globulin, prolamin, and glutelin, which determine the wheat’s final use [62]. The most indispensable amino acids for the human body are found in albumin and globulin, which determine the nutritional value of wheat [63]. Prolamin and glutelin, also known as storage proteins, are the major components of gluten, which is the vital contributor to the rheological and bread making properties of wheat flour. Glutelin proteins are mainly responsible for viscoelastic properties, and prolamin proteins are important in conferring extensibility to dough [64]. Starches (amylose and amylopectin), are the primary energy reserve of plants. The concentration and proportion of amylose and amylopectin in wheat has an important influence on the appearance quality and eating quality of processed products [65,66].
The results of the current study revealed that the seeding rate had an influence on a large number of wheat quality traits. The outstanding (highest and lowest) total protein was 15.24% at 112.5 kg ha-1 and 13.35% at 225 kg ha-1 in the second and first cropping season, respectively. This finding is in agreement with McKenzie et al. [67], who reported the decline of grain protein of cereal crops with an increasing rate. A lower seed rate tends to produce a sparse population, which allows adequate utilization of nitrogen among plants later on, ensuring the protein increment [9].
McKenzie et al. stated that the reduction of grain quality traits with the seeding rate increase could be attributed to its effect on the single grain weight from the fact that, at high seed rates, grains are subjected to plants competition for available resources [68].
Wheat grain proteins have particular chemical and physical properties that make it a dominant cereal. Raising wheat grain yield and protein is an essential objective in wheat production. These two traits have been difficult to improve simultaneously, due to the negative relationship that was also observed in the current study [69,70,71]. The higher the concentration of protein, the greater the ability to resist dough. A number of factors define the protein percentage, including, but not limited to, agronomic practices, genetics, sowing time, and planting density [72].
In the first season of the current study, the total protein was slightly higher due to higher rainfall; mainly at the elongation stage in March compared to the second season, where the highest total protein of the first and second season were 15.24% and 14.56%, respectively. These observations aligned with Lopez-Bellido et al. [73,74], who pointed out that high rainfall during grain protein accumulation resulted in protein content increase. Increased grain protein concentrations may be attributed to the increased soil N supply due to improved soil moisture conditions. However, other studies reported the increase in grain protein content under water deficit or low rainfall [74,75]. Consequently, the results from the literature concerning the effect of rainfall on protein concentration are less consistent.
In the current study, the seed rate considerably affected the total protein, although 112.5 kg ha−1, 150 kg ha−1, 187.5 kg ha−1, and 225 kg ha−1 did not differ in a statistically significant way (Table S1). A general decrease in the protein content of grain with an increasing seeding rate was also reported by Geleta et al. [9]
The sowing methods also showed a relatively significant effect on at least a few protein compositions (i.e., glutelin in both cropping seasons, and prolamin and globulin in the second cropping season). Prolamin and glutelin were the main components of the protein fraction. Li et al. reported that the sowing method is a crucial factor influencing the winter wheat protein fractions [76].
Largely, protein fractions in the second season were significantly decreased by the seed rate increase. Partially, the same results were obtained by Ottoman et al., who mentioned that the albumin and globulin content showed a slight increase with the seed rate, while the prolamin and glutelin remained unchanged [77].
In this study, the total starch, amylose, and amylopectin were the lowest at the highest seed rate, but did not consistently decrease with an increasing seed rate; the same trend was only observed in the total starch in the second season. These results disagree with Xu et al. [78], who mentioned that a decrease in the plant density was accompanied by a decrease in the starch accumulation. In both cropping seasons, it was shown that amylopectin was the predominant component in starch [79]. As far as sowing methods are concerned, sowing together with the seed rate of 187.5 kg ha−1 significantly influenced the total starch content; these findings aligned with those of Farooq et al., who stated that sowing techniques had a considerable effect on the total starch [80].
The quantity and estimates of the quality of gluten in wheat or flour samples can be provided by the testing of wet gluten, which is accountable for the elasticity and extensibility characteristics of flour dough [37]. Our current study found that wet gluten showed a general increase with the reduction of the seed rate in both cropping seasons [11]. The higher wet gluten was noted at the lowest seed rate of 112.5 kg ha−1 in the first season, with a 34.13% value (Table 6). The sowing methods presented statistically equal results. The relevance of these findings might be ascribed to proper stands in low densities, which allowed the efficient utilization of resources, and was proceeded by a raise in the nitrogen percentage in the green parts of the plants at different growth stages. This also produced a wet protein percentage increase, and consequently a wet gluten percentage increase [81].
High precipitation at the elongation stage in March of the first season resulted in water logging and the poor performance of some parameters of the grain quality, in particular, the sedimentation value (the second season values of sedimentation were almost twice as high as the first season). The wet gluten content proved to be the most stable quality characteristic [82]. The results of the current study generally noted the positive association between wet gluten and the sedimentation value of the second season with the seed rate; however, McKenzie et al. [67] observed the opposite trend.
The test weight is considered to be an essential predictor of the milling yield and is used as an indicator of the general grain quality. If lower test weights than the accepted standard are recorded, then more grain volume is needed for storage or transportation [83]. In this investigation, the test weight ranged from 762–799 gL−1, which is in agreement with the standard test weight in the U.S. grading system at 772.32 gL−1 for all wheat [84]. The test weight showed a significant difference due to the interaction of the sowing methods and seed rate in the first year. The Wps had a seed rate of 187.5 kg ha−1, and was the highest value.

5. Conclusions

In the course of two years, the experimental results showed that the three sowing methods used produced statistically similar results in the main measured parameters. The higher grain yields of Db, Dr, and Wps were 7200 kg ha−1, 7488 kg ha−1, and 7200 kg ha−1, respectively, which were statistically equal. The total protein of Wps (15.24%) was slightly higher, but not significantly different, compared to the total protein of Dr (14.79%) and Db (14.33%). The total starch of the second year (although it had lower values compared to the first) was affected significantly by the sowing methods. The Wps at 18 7.5 kg ha−1 had the best combination.
The seed rate influenced the grain yield, yield parameters, and grain quality. For the protein, starch, and grain yield, the optimum seed rates were 112.5 kg ha−1, 150 kg ha−1, and 225 kg ha−1, respectively.
In conclusion, depending on the end use of the wheat, different seed rates should be used. The high grain yield expected in wide precise sowing was not observed, likely due to the variety used in the study, or even because other sowing methods used in the study produced desirable results as well. Therefore, further studies are recommended, using different varieties with a wide range of genetic diversity.

Supplementary Materials

The following are available online at https://www.mdpi.com/2077-0472/10/5/153/s1, Table S1: Analysis of variance of the effects of experimental factors and their interactions on wheat yield and yield components, Table S2: Analysis of variance of the effects of experimental factors and their interactions on wheat quality traits.

Author Contributions

Conceptualization, A.T. and J.B.H.; Formal analysis, E.N. and A.T.; investigation, E.N., A.T., I.M., W.A.N., B.J.S., C.L. and T.Q.H.; methodology, A.T. and J.B.H.; project administration, J.B.H.; writing—original draft, A.T.; writing—review and editing, A.T. and E.N. All authors have read and agreed to the published version of the manuscript.

Funding

This research was funded by the major R & D plan of Ningxia Hui Autonomous Region (2019BBF02007-2).

Conflicts of Interest

The authors declare no conflict of interest.

References

  1. Uthayakumaran, S.; Wrigley, C. Wheat: Characteristics and quality requirements. In Cereal Grains; Elsevier: Amsterdam, The Netherlands, 2010; pp. 59–111. [Google Scholar]
  2. Cakmak, I. Enrichment of cereal grains with zinc: Agronomic or genetic biofortification? Plant Soil 2008, 302, 1–17. [Google Scholar] [CrossRef]
  3. Singh, J.; Kaur, S.; Majithia, H. Emerging genetic technologies for improving the security of food crops. In Emerging Technologies for Promoting Food Security; Elsevier: Amsterdam, The Netherlands, 2016; pp. 23–41. [Google Scholar]
  4. Rosegrant, M.W.; Cline, S.A. Global food security: Challenges and policies. Science 2003, 302, 1917–1919. [Google Scholar] [CrossRef] [PubMed]
  5. Cassman, K.G. Ecological intensification of cereal production systems: Yield potential, soil quality, and precision agriculture. Proc. Natl. Acad. Sci. USA 1999, 96, 5952–5959. [Google Scholar] [CrossRef] [PubMed]
  6. Tilman, D.; Cassman, K.G.; Matson, P.A.; Naylor, R.; Polasky, S. Agricultural sustainability and intensive production practices. Nature 2002, 418, 671–677. [Google Scholar] [CrossRef]
  7. Wang, S.; Yin, L.; Tanaka, H.; Tanaka, K.; Tsujimoto, H. Wheat-Aegilops chromosome addition lines showing high iron and zinc contents in grains. Breed. Sci. 2011, 61, 189–195. [Google Scholar] [CrossRef]
  8. Peleg, Z.; Saranga, Y.; Yazici, A.; Fahima, T.; Ozturk, L.; Cakmak, I. Grain zinc, iron and protein concentrations and zinc-efficiency in wild emmer wheat under contrasting irrigation regimes. Plant Soil 2008, 306, 57–67. [Google Scholar] [CrossRef]
  9. Geleta, B.; Atak, M.; Baenziger, P.; Nelson, L.; Baltenesperger, D.; Eskridge, K.M.; Shipman, M.; Shelton, D. Seeding rate and genotype effect on agronomic performance and end-use quality of winter wheat. Crop Sci. 2002, 42, 827–832. [Google Scholar]
  10. Lloveras, J.; Manent, J.; Viudas, J.; López, A.; Santiveri, P. Seeding rate influence on yield and yield components of irrigated winter wheat in a Mediterranean climate. Agron. J. 2004, 96, 1258–1265. [Google Scholar] [CrossRef]
  11. Otteson, B.N.; Mergoum, M.; Ransom, J.K. Seeding rate and nitrogen management effects on spring wheat yield and yield components. Agron. J. 2007, 99, 1615–1621. [Google Scholar] [CrossRef]
  12. Costa, L.O.d.; Rizzardi, M.A. Competitive ability of wheat in association with biotypes of Raphanus raphanistrum L. resistant and susceptible to ALS-inhibitor herbicides. Ciência e Agrotecnologia 2015, 39, 121–130. [Google Scholar] [CrossRef]
  13. Fasoula, V.A.; Fasoula, D.A. Honeycomb breeding: Principles and applications. Plant Breed. Rev. 2000, 18, 177–250. [Google Scholar]
  14. Wang, X.; Hu, X.; Sun, Z.; Du, K.; Song, G.; Ren, D. Effect of different sowing dates and planting density on group characters and yield of wheat. Chin. Agric. Sci. Bull. 2011, 27, 170–176. [Google Scholar]
  15. Hiltbrunner, J.; Streit, B.; Liedgens, M. Are seeding densities an opportunity to increase grain yield of winter wheat in a living mulch of white clover? Field Crops Res. 2007, 102, 163–171. [Google Scholar] [CrossRef]
  16. Fang, Y.; Xu, B.-c.; Turner, N.C.; Li, F.-M. Grain yield, dry matter accumulation and remobilization, and root respiration in winter wheat as affected by seeding rate and root pruning. Eur. J. Agron. 2010, 33, 257–266. [Google Scholar] [CrossRef]
  17. Chengappa, P.; Nagaraj, N.; Kanwar, R. Challenges to Sustainable Agri-Food Systems; IK International Publishing House: New Delhi, India, 2007. [Google Scholar]
  18. Samuel, A.M.; East, J. Organically grown wheat-the effect of crop husbandry on grain quality. Asp. Appl. Biol. 1990, 25, 199–208. [Google Scholar]
  19. Dorval, I.; Vanasse, A.; Pageau, D.; Dion, Y. Seeding rate and cultivar effects on yield, yield components and grain quality of spring spelt in eastern Canada. Can. J. Plant Sci. 2015, 95, 841–849. [Google Scholar] [CrossRef]
  20. Whaley, J.; Sparkes, D.; Foulkes, M.; Spink, J.; Semere, T.; Scott, R. The physiological response of winter wheat to reductions in plant density. Ann. Appl. Biol. 2000, 137, 165–177. [Google Scholar] [CrossRef]
  21. Wang, Z.; Fu, J.; He, M.; Yin, Y.; Cao, H. Planting density effects on assimilation and partitioning of photosynthates during grain filling in the late-sown wheat. Photosynthetica 1997, 33, 199–204. [Google Scholar] [CrossRef]
  22. Harishankar, G.P.P.; Tomar, G.S. GROWTH AND YIELD OF WHEAT (Triticum aestivum L.) AS IN FLU ENCED BY METH ODS OF SOW ING AND SEED RATES. Progress. Res. Int. J. 2017, 12, 401–403. [Google Scholar]
  23. Khan, I.A.; Bakht, J.; Shah, W.A.; Khan, N.; Ullah, I. Effect of seed rate on the yield and yield components of wheat under irrigated conditions of Peshawar. Asian J. Plant Sci. 2002, 1, 513–515. [Google Scholar]
  24. Mollah, M.; Bhuiya, M.; Kabir, M. Bed Planting A New Crop Establishment Method for Wheat in Rice-Wheat Cropping System. J. Agric. R. Dev. 2009, 7, 23–31. [Google Scholar] [CrossRef]
  25. Gul, S.; Khan, M.; Khanday, B.; Nabi, S. Effect of sowing methods and NPK levels on growth and yield of rainfed maize (Zea mays L.). Scientifica 2015, 2015, 198575. [Google Scholar] [CrossRef] [PubMed]
  26. Singh, K.; Sharma, R. Effect of different methods of sowing and row orientation on growth, yield and quality of wheat (Triticum aestivum L.). Agric. Sci. Dig. Res. J. 2019, 39, 51–54. [Google Scholar] [CrossRef]
  27. Bakht, J.; Shafi, M.; Rehman, H.; Uddin, R.; Anwar, S. Effect of planting methods on growth, phenology and yield of maize varieties. Pak. J. Bot. 2011, 43, 1629–1633. [Google Scholar]
  28. Rahman, M.; Islam, M.; Islam, M. Effect of sowing methods and seed rates on production parameters and average chemical composition of fodder maize cv. Savar-1. Asian-Australas. J. Anim. Sci. 1993, 6, 123–126. [Google Scholar] [CrossRef]
  29. Luo, H.; Hai, J.; Bai, Y.; Shao, Y.; Ping, Y. Effect of Dibbling Cultivation on Physiological Characteristics and Dry Matter Accumulation of Winter Wheat. Acta Agric. Boreali-Occident. Sin. 2016, 6, 841–848. [Google Scholar]
  30. Tanveer, S.K.; Hussain, I.; Sohail, M.; Kissana, N.; Abbas, S. Effects of different planting methods on yield and yield components of wheat. Asian J. Plant Sci. 2003, 2, 811–813. [Google Scholar]
  31. Dandan, Z.; Jiayin, S.; Kun, L.; Quanru, L.; Quanqi, L. Effects of irrigation and wide-precision planting on water use, radiation interception, and grain yield of winter wheat in the North China Plain. Agric. Water Manag. 2013, 118, 87–92. [Google Scholar] [CrossRef]
  32. Bian, C.; Ma, C.; Liu, X.; Gao, C.; Liu, Q.; Yan, Z.; Ren, Y.; Li, Q. Responses of winter wheat yield and water use efficiency to irrigation frequency and planting pattern. PLoS ONE 2016, 11, e0154673. [Google Scholar] [CrossRef]
  33. Yu, S.; Yu, Z.; Dong, Q.; Wang, D.; Zhang, Y.; Yao, D.; Wang, J. Winter wheat high-yield culture technique of 789.9 kg per mu. Shandong Agric. Sci. 2010, 4, 11–12. [Google Scholar]
  34. Olaru, L.; Oncică, F.; Matei, G. Responses of wheat grain yield and quality to seed rate in central part of Oltenia, Romania. In Proceedings of the 43rd Croatian and 3rd International Symposium on Agriculture, Opatija, Croatia, 18–21 February 2008. [Google Scholar]
  35. Li, M.; Wang, S.; Tian, X.; Li, S.; Chen, Y.; Jia, Z.; Liu, K.; Zhao, A. Zinc and iron concentrations in grain milling fractions through combined foliar applications of Zn and macronutrients. Field Crops Res. 2016, 187, 135–141. [Google Scholar] [CrossRef]
  36. Piper, C.S. Soil and Plant Analysis; Scientific Publishers: Jodhpur, India, 2017. [Google Scholar]
  37. AACC. Approved Methods of the American Association of Cereal Chemists; AACC: St. Paul, MN, USA, 2000; Volume 1. [Google Scholar]
  38. Arlington, V. Official Methods of Analysis of the Association of Official Analytical Chemists; Association of Official Analytical Chemists: Washington, DC, USA, 1921; Volume 2. [Google Scholar]
  39. ISO 16634-1. Food Products-Determination of The Total Nitrogen Content by Combustion According to The Dumas Principle and Calculation of The Crude Protein Content—Part 1: Oilseeds and Animal Feeding Stuffs; ISO: Geneva, Switzerland, 2008. [Google Scholar]
  40. Triboï, E.; Martre, P.; Triboï-Blondel, A.M. Environmentally-induced changes in protein composition in developing grains of wheat are related to changes in total protein content. J. Exp. Bot. 2003, 54, 1731–1742. [Google Scholar] [CrossRef] [PubMed]
  41. Kwon, K.; Park, K.H.; Rhee, K.C. Fractionation and characterization of proteins from coconut (Cocos nucifera L.). J. Agric. Food Chem. 1996, 44, 1741–1745. [Google Scholar] [CrossRef]
  42. Alu’datt, M.H.; Rababah, T.; Alhamad, M.N.; Alodat, M.d.; Al-Mahasneh, M.A.; Gammoh, S.; Ereifej, K.; Almajwal, A.; Kubow, S. Molecular characterization and bio-functional property determination using SDS-PAGE and RP-HPLC of protein fractions from two Nigella species. Food Chem. 2017, 230, 125–134. [Google Scholar] [CrossRef] [PubMed]
  43. Stepien, A.; Wojtkowiak, K. Effect of foliar application of Cu, Zn, and Mn on yield and quality indicators of winter wheat grain. Chil. J. Agric. Res. 2016, 76, 220–227. [Google Scholar] [CrossRef]
  44. He, Z.F. Determination of amylose and amylopectin contents with a coupled spectrophotometer method. In Grain Quality and It’s Analysis Technology; He, Z.F., Ed.; Chinese Agricutural Press: Beijing, China, 1985; pp. 274–294. (In Chinese) [Google Scholar]
  45. Zhu, T.; Jackson, D.S.; Wehling, R.L.; Geera, B. Comparison of amylose determination methods and the development of a dual wavelength iodine binding technique. Cereal Chem. 2008, 85, 51–58. [Google Scholar] [CrossRef]
  46. Liang, X.-Q.; Xu, L.; Li, H.; He, M.-M.; Qian, Y.-C.; Liu, J.; Nie, Z.-Y.; Ye, Y.-S.; Chen, Y. Influence of N fertilization rates, rainfall, and temperature on nitrate leaching from a rainfed winter wheat field in Taihu watershed. Phys. Chem. Earth Parts A/B/C 2011, 36, 395–400. [Google Scholar] [CrossRef]
  47. Ding, J.; Liang, P.; Wu, P.; Zhu, M.; Li, C.; Zhu, X.; Guo, W. Identifying the Critical Stage Near Anthesis for Waterlogging on Wheat Yield and Its Components in the Yangtze River Basin, China. Agronomy 2020, 10, 130. [Google Scholar] [CrossRef]
  48. Liu, Y.; Wang, E.; Yang, X.; Wang, J. Contributions of climatic and crop varietal changes to crop production in the North China Plain, since 1980s. Glob. Chang. Biol. 2010, 16, 2287–2299. [Google Scholar] [CrossRef]
  49. Prystupa, P.; Savin, R.; Slafer, G.A. Grain number and its relationship with dry matter, N and P in the spikes at heading in response to N× P fertilization in barley. Field Crops Res. 2004, 90, 245–254. [Google Scholar] [CrossRef]
  50. Kristensen, L.; Olsen, J.; Weiner, J. Crop density, sowing pattern, and nitrogen fertilization effects on weed suppression and yield in spring wheat. Weed Sci. 2008, 56, 97–102. [Google Scholar] [CrossRef]
  51. Rafiq, M.A.; Ali, A.; Malik, M.A.; Hussain, M. Effect of fertilizer levels and plant densities on yield and protein contents of autumn planted maize. Pak. J. Agric. Sci. 2010, 47, 201–208. [Google Scholar]
  52. Iqbal, J.; Hayat, K.; Hussain, S.; Ali, A.; Bakhsh, M.A.A.H.A. Effect of seeding rates and nitrogen levels on yield and yield components of wheat (Triticum aestivum L.). Pak. J. Nutr. 2012, 11, 531. [Google Scholar] [CrossRef]
  53. Arduini, I.; Masoni, A.; Ercoli, L.; Mariotti, M. Grain yield, and dry matter and nitrogen accumulation and remobilization in durum wheat as affected by variety and seeding rate. Eur. J. Agron. 2006, 25, 309–318. [Google Scholar] [CrossRef]
  54. Blue, E.; Mason, S.; Sander, D. Influence of planting date, seeding rate, and phosphorus rate on wheat yield. Agron. J. 1990, 82, 762–768. [Google Scholar] [CrossRef]
  55. Carr, P.M.; Horsley, R.D.; Poland, W.W. Tillage and seeding rate effects on wheat cultivars. Crop Sci. 2003, 43, 210–218. [Google Scholar] [CrossRef]
  56. Ozberk, I.; Coskun, Y.; Ilkhan, A.; Koten, M.; Karli, B.; Ryan, J. Comparison of bed planting-furrow irrigation with conventional planting-flood irrigation in durum wheat (T. durum Desf) in Southeastern Turkey. Pak. J. Biol. Sci. 2009, 12, 772. [Google Scholar] [CrossRef]
  57. Raghvendra, S.; Vipul, S.A.; Navneet, K. Concepts of Agronomy; Book Rivers: Lucknow, India, 2019. [Google Scholar]
  58. Ayalew, T.; Abebe, B.; Yoseph, T. Response of Wheat (Tritium aestivum L.) to Variable Seed Rates: The Case of Hawassa Area, Southern Ethiopia. Afr. J. Agric. Res. 2017, 12, 1177–1181. [Google Scholar]
  59. Naseri, R.; Soleymanifard, A.; Khoshkhabar, H.; Mirzaei, A.; Nazaralizadeh, K. Effect of plant density on grain yield, yield components and associated traits of three durum wheat cultivars in Western Iran. Int. J. Agric. Crop Sci. 2012, 4, 79–85. [Google Scholar]
  60. Helms, T.; Orf, J.H. Protein, oil, and yield of soybean lines selected for increased protein. Crop Sci. 1998, 38, 707–711. [Google Scholar] [CrossRef]
  61. Olufajo, O.; Pal, U. Row spacing and plant density effects on the agronomic performance of soybean in sub-humid tropical environments. Samaru J. Res. Agric. 1991, 8, 65–73. [Google Scholar]
  62. Majoul-Haddad, T.; Bancel, E.; Martre, P.; Triboi, E.; Branlard, G. Effect of short heat shocks applied during grain development on wheat (Triticum aestivum L.) grain proteome. J. Cereal Sci. 2013, 57, 486–495. [Google Scholar] [CrossRef]
  63. Fowler, D.; Brydon, J.; Darroch, B.; Entz, M.; Johnston, A. Environment and genotype influence on grain protein concentration of wheat and rye. Agron. J. 1990, 82, 655–664. [Google Scholar] [CrossRef]
  64. Branlard, G.; Dardevet, M.; Saccomano, R.; Lagoutte, F.; Gourdon, J. Genetic diversity of wheat storage proteins and bread wheat quality. Euphytica 2001, 119, 59–67. [Google Scholar] [CrossRef]
  65. McCormick, K.; Panozzo, J.; Hong, S. A swelling power test for selecting potential noodle quality wheats. Aus. J. Agric. Res. 1991, 42, 317–323. [Google Scholar] [CrossRef]
  66. Holm, J.; Björck, I. Bioavailability of starch in various wheat-based bread products: Evaluation of metabolic responses in healthy subjects and rate and extent of in vitro starch digestion. Am. J. Clin. Nutr. 1992, 55, 420–429. [Google Scholar] [CrossRef]
  67. McKenzie, R.; Bremer, E.; Middleton, A.; Pfiffner, P.; Woods, S. Optimum seeding date and rate for irrigated cereal and oilseed crops in southern Alberta. Can. J. Plant Sci. 2011, 91, 293–303. [Google Scholar] [CrossRef]
  68. McKenzie, R.H.; McLelland, M.B.; Andreiuk, R. High Protein Wheat Production. 2008. Available online: https://open.alberta.ca/dataset/45ec3352-92f3-47e7-9095-dc54bb7626a0/resource/79b8593f-a398-4409-9917-d81ba7d6d0ec/download/2008-112-20-4.pdf (accessed on 4 May 2020).
  69. Slafer, G.A.; Andrade, F.H.; Feingold, S.E. Genetic improvement of bread wheat (Triticum aestivum L.) in Argentina: Relationships between nitrogen and dry matter. Euphytica 1990, 50, 63–71. [Google Scholar] [CrossRef]
  70. Simmonds, N.W. The relation between yield and protein in cereal grain. J. Sci. Food Agric. 1995, 67, 309–315. [Google Scholar] [CrossRef]
  71. Feil, B. The inverse yield-protein relationship in cereals: Possibilities and limitations for genetically improving the grain protein yield. Trends Agron. 1997, 1, e119. [Google Scholar]
  72. Iqtidar, H.; Khan, M.; Khan, H. Effect of seed rates on the agro-physiological traits of wheat. Sarhad J. Agric. 2010, 26, 169–176. [Google Scholar]
  73. López-Bellido, L.; López-Bellido, R.J.; Castillo, J.E.; López-Bellido, F.J. Effects of long-term tillage, crop rotation and nitrogen fertilization on bread-making quality of hard red spring wheat. Field Crops Res. 2001, 72, 197–210. [Google Scholar] [CrossRef]
  74. Flagella, Z.; Giuliani, M.M.; Giuzio, L.; Volpi, C.; Masci, S. Influence of water deficit on durum wheat storage protein composition and technological quality. Eur. J. Agron. 2010, 33, 197–207. [Google Scholar] [CrossRef]
  75. Gooding, M.J.; Davies, W.P. Wheat Production and Utilization: Systems, Quality and the Environment; CAB International: Wallingford, UK, 1997. [Google Scholar]
  76. Li, Q.; Zhou, X.; Chen, Y.; Yu, S. Grain yield and quality of winter wheat in different planting patterns under deficit irrigation regimes. Plant Soil Environ. 2010, 56, 482–487. [Google Scholar] [CrossRef]
  77. Ottman, M.J.; Doerge, T.A.; Martin, E.C. Durum grain quality as affected by nitrogen fertilization near anthesis and irrigation during grain fill. Agron. J. 2000, 92, 1035–1041. [Google Scholar] [CrossRef]
  78. Xu, C.-m.; Wang, D.; Shao, G.; Zhang, X. Effects of transplanting density and nitrogen fertilizer rate on yield formation and grain quality of super high yielding rice Zhongzao 22. Chin. J. Rice Sci. 2008, 5, 507–512. [Google Scholar]
  79. Dou, Z.; Tang, S.; Li, G.; Liu, Z.; Ding, C.; Chen, L.; Wang, S.; Ding, Y. Application of nitrogen fertilizer at heading stage improves rice quality under elevated temperature during grain-filling stage. Crop Sci. 2017, 57, 2183–2192. [Google Scholar] [CrossRef]
  80. Farooq, O.; Ali, M.; Naeem, M.; Sattar, A.; Ijaz, M.; Sher, A.; Yasir, T.A.; Iqbal, M.M. Impact of sowing time and planting method on the quality traits of wheat. J. Glob. Innov. Agric. Soc. Sci. 2015, 3, 8–11. [Google Scholar] [CrossRef]
  81. Intsar, H.; Wahid, S.; Al-Abod, H.; Al-Salmani, S.; Mahamud, M.R.; Hossain, M.B. Grain Yield And Quality Of Wheat As Affected By Cultivars And Seeding Rates. Malays. J. Sustain. Agric. (MJSA) 2019, 3, 8–12. [Google Scholar]
  82. Gyuricza, C.; Balla, I.; Tarnawa, Á.; Nyárai, F.H.; Kassai, K.; Szentpétery, Z.; Jolánkai, M. Impact of precipitation on yield quantity and quality of wheat and maize crops. Q. J. Hung. Meteorol. Serv. 2012, 116, 211–220. [Google Scholar]
  83. Deivasigamani, S.; Swaminathan, C. Evaluation of seed test weight on major field crops. Int. J. Res. Stud. Agric. Sci. 2018, 4, 8–11. [Google Scholar]
  84. USDA-GIPSA. Wheat. In Grain Inspection Handbook-Book II Grain Grading Procedures; USDA: Washington, DC, USA, 2013. [Google Scholar]
Figure 1. Meteorological data during both cropping seasons: (a) monthly precipitation, and (b) monthly average temperature.
Figure 1. Meteorological data during both cropping seasons: (a) monthly precipitation, and (b) monthly average temperature.
Agriculture 10 00153 g001
Figure 2. Schematic diagram of the wide precise sowing, drilling, and dibbling sowing methods.
Figure 2. Schematic diagram of the wide precise sowing, drilling, and dibbling sowing methods.
Agriculture 10 00153 g002
Figure 3. The flow sheet of the protocol used for protein fractions.
Figure 3. The flow sheet of the protocol used for protein fractions.
Agriculture 10 00153 g003
Figure 4. The effects of the sowing methods and seed rate on the grain yield in the both cropping seasons. Db, Dr, and Wps represent the sowing methods dibbling, drilling, and wide precise sowing, respectively. 112.5, 150, 187.5, and 225 represent the winter wheat (Xinong805) sown at 112.5 kg ha−1, 150 kg ha−1, 187.5 kg ha−1, and 225 kg ha−1, respectively. Vertical bars represent standard errors (n = 3), in the same cropping year; the same letters above the bars indicate no significant differences between the different treatments (p < 0.05).
Figure 4. The effects of the sowing methods and seed rate on the grain yield in the both cropping seasons. Db, Dr, and Wps represent the sowing methods dibbling, drilling, and wide precise sowing, respectively. 112.5, 150, 187.5, and 225 represent the winter wheat (Xinong805) sown at 112.5 kg ha−1, 150 kg ha−1, 187.5 kg ha−1, and 225 kg ha−1, respectively. Vertical bars represent standard errors (n = 3), in the same cropping year; the same letters above the bars indicate no significant differences between the different treatments (p < 0.05).
Agriculture 10 00153 g004
Figure 5. The effects of the sowing methods and seed rate on protein fractions in the first cropping season. (ad) letters represent albumin (%), globulin (%), prolamin (%), and glutelin (%) respectively. Db, Dr, and Wps represent the sowing methods dibbling, drilling, and wide precise sowing, respectively. 112.5, 150, 187.5, and 225 represent the winter wheat (Xinong805), sown at 112.5 kg ha−1, 150 kg ha−1, 187.5 kg ha−1, and 225 kg ha−1, respectively. The vertical bars represent the standard errors (n = 3); in the same protein fraction, the same letters above the bars indicate no significant differences between the different treatments (p < 0.05).
Figure 5. The effects of the sowing methods and seed rate on protein fractions in the first cropping season. (ad) letters represent albumin (%), globulin (%), prolamin (%), and glutelin (%) respectively. Db, Dr, and Wps represent the sowing methods dibbling, drilling, and wide precise sowing, respectively. 112.5, 150, 187.5, and 225 represent the winter wheat (Xinong805), sown at 112.5 kg ha−1, 150 kg ha−1, 187.5 kg ha−1, and 225 kg ha−1, respectively. The vertical bars represent the standard errors (n = 3); in the same protein fraction, the same letters above the bars indicate no significant differences between the different treatments (p < 0.05).
Agriculture 10 00153 g005
Figure 6. The effects of the sowing methods and seed rate on protein fractions in the second cropping season. (ad) letters represent albumin (%), globulin (%), prolamin (%), and glutelin (%) respectively. Db, Dr, and Wps represent the sowing methods dibbling, drilling, and wide precise sowing, respectively. In summary, 112.5, 150, 187.5, and 225 represent the winter wheat (Xinong805) sown at 112.5 kg ha−1, 150 kg ha−1, 187.5 kg ha−1, and 225 kg ha−1, respectively. The vertical bars represent the standard errors (n = 3); in the same protein fraction, the same letters above the bars indicate no significant differences between the different treatments (p < 0.05).
Figure 6. The effects of the sowing methods and seed rate on protein fractions in the second cropping season. (ad) letters represent albumin (%), globulin (%), prolamin (%), and glutelin (%) respectively. Db, Dr, and Wps represent the sowing methods dibbling, drilling, and wide precise sowing, respectively. In summary, 112.5, 150, 187.5, and 225 represent the winter wheat (Xinong805) sown at 112.5 kg ha−1, 150 kg ha−1, 187.5 kg ha−1, and 225 kg ha−1, respectively. The vertical bars represent the standard errors (n = 3); in the same protein fraction, the same letters above the bars indicate no significant differences between the different treatments (p < 0.05).
Agriculture 10 00153 g006
Figure 7. The effects of the sowing methods and seed rate on the total protein % in both cropping seasons. (a,b) represent total protein % in first and second season respectively. Db, Dr, and Wps represent the sowing methods dibbling, drilling, and wide precise sowing, respectively. In summary, 112.5, 150, 187.5, and 225 represent the winter wheat (Xinong805) sown at 112.5 kg ha−1, 150 kg ha−1, 187.5 kg ha−1, and 225 kg ha−1, respectively. The vertical bars represent the standard errors (n = 3); in the same protein fraction, the same letters above the bars indicate no significant differences between the different treatments (p < 0.05).
Figure 7. The effects of the sowing methods and seed rate on the total protein % in both cropping seasons. (a,b) represent total protein % in first and second season respectively. Db, Dr, and Wps represent the sowing methods dibbling, drilling, and wide precise sowing, respectively. In summary, 112.5, 150, 187.5, and 225 represent the winter wheat (Xinong805) sown at 112.5 kg ha−1, 150 kg ha−1, 187.5 kg ha−1, and 225 kg ha−1, respectively. The vertical bars represent the standard errors (n = 3); in the same protein fraction, the same letters above the bars indicate no significant differences between the different treatments (p < 0.05).
Agriculture 10 00153 g007
Table 1. Chemical properties.
Table 1. Chemical properties.
Total NitrogenPhosphorousOrganic MatterAvailable PotassiumpH
1.22 g Kg−1 29.40 mg kg−1 17.29 g kg−1 228.33 mg Kg−1 7.99
Table 2. The dates of the main developmental stages of winter wheat in two cropping seasons.
Table 2. The dates of the main developmental stages of winter wheat in two cropping seasons.
Growth Stage2017–20182018–2019
Sowing date22 October5 October
Tillering30 November14 November
Stem elongation19 March15 March
Flowering22–25 April17–20 April
Physiological maturity31 May2 June
Table 3. Analysis of variance for the wheat yield and yield parameters as affected by year (Y), sowing methods (SM), seed rate (SR), and their interactions for the field experiments conducted in 2017–2018 and 2018–2019. Leaf area (LA), thousand kernel weight (TKW).
Table 3. Analysis of variance for the wheat yield and yield parameters as affected by year (Y), sowing methods (SM), seed rate (SR), and their interactions for the field experiments conducted in 2017–2018 and 2018–2019. Leaf area (LA), thousand kernel weight (TKW).
Source of VariationPlant HeightLATKWGrain Yield Spike NumberKernels Per Spike
Yns************ns
SMnsns*ns*ns
SR*****ns********
Y * SMnsns**nsnsns
Y * SRnsnsns********
SM *SRns*nsnsnsns
Y * SM * SRnsnsnsnsnsns
ns: non-significant, * significant at p < 0.05, ** significant at p < 0.01, *** significant at p < 0.001.
Table 4. Analysis of variance for the wheat quality traits as affected by year (Y), sowing methods (SM), seed rate (SR), and their interactions for the field experiments conducted in 2017–2018 and 2018–2019.
Table 4. Analysis of variance for the wheat quality traits as affected by year (Y), sowing methods (SM), seed rate (SR), and their interactions for the field experiments conducted in 2017–2018 and 2018–2019.
Source of VariationTotal ProteinAlbuminGlobulinProlaminGlutelinTotal StarchAmyloseAmylopectinWet GlutenSedimentation ValueTest Weight
Y*****nsnsns******ns*********
SMnsnsns****nsnsnsnsnsns
SR***ns************************
Y * SMnsns*nsnsnsnsnsnsnsns
Y * SRnsnsnsnsns*********ns**ns
SM * SRnsnsns*****ns**nsnsns
Y * SM * SR*ns*ns********nsnsns
ns: non-significant, * significant at p < 0.05, ** significant at p < 0.01, *** significant at p < 0.001.
Table 5. The plant height and leaf area means affected by the sowing methods (SM) and seed rate (SR) at the flowering stage.
Table 5. The plant height and leaf area means affected by the sowing methods (SM) and seed rate (SR) at the flowering stage.
TreatmentsPlant Height (cm)Leaf Area (cm2)
2017–20182018–20192017–20182018–2019
Db112.563.07ab59.45ab25.22abc19.83b
15059.40ab63.02bcd24.19abc14.11a
187.561.65ab67.98de22.48abc15.25a
22566.21b69.65e25.22abc14.75a
Dr112.556.55a56.62a26.68c15.76a
15062.30ab63.85bcde25.67bc14.46a
187.566.20ab70.10e24.91abc14.72a
22564.03b67.91de20.84a14.58a
Wps112.558.74ab58.20ab23.64abc15.27a
15063.78ab61.24abc24.78abc15.27a
187.565.31b64.42bcde26.04bc15.86a
22565.23b66.59cde21.57ab15.47a
F-valueSM0.2041.8330.1491.190
SR3.978 *17.916 **2.3663.19*
SM*SR1.4420.7062.1321.930
Different letters in the same column imply that there is a significant difference between treatments at p < 0.05. Db, Dr, and Wps represent the sowing methods dibbling, drilling and wide precise sowing, respectively. Overall, 112.5, 150, 187.5, and 225 winter wheat were sown at 112.5 kg ha−1, 150 kg ha−1, 187.5 kg ha−1, and 225 kg ha−1, respectively. * and ** indicate significance at the 0.05 and 0.01 probability levels, respectively.
Table 6. The thousand kernel weight, grain yield, spike number per m2, and kernel per spike mean values affected by the sowing methods (SM) and seed rate (SR).
Table 6. The thousand kernel weight, grain yield, spike number per m2, and kernel per spike mean values affected by the sowing methods (SM) and seed rate (SR).
TreatmentsThousand Kernel Weight (g)Grain Yield (kg ha‒1)Spike Number (per m2)Kernels per Spike
2017–20182018–20192017–20182018–20192017–20182018–20192017–20182018–2019
Db112.550.01ab47.23abc5170.37ab5466.67ab305.33ab492.89ab45.80g45.30a
15048.08ab49.57e4859.26ab5777.78abc280.89a515.55abc46.07g44.63a
187.548.46ab47.68abcde4992.59ab7200cd353.34ab578.67bcde40.20d42.47a
22546.06a47.34abcd5007.41ab6911.11bcd313.33ab624.45cde35.93a43.17a
Dr112.551.72b47.37abcd5229.63ab4866.66a354.50ab490.50ab48.27i42.70a
15050.51b48.35bcde4814.8ab5711.11abc357.00ab559.50abcd43.27f42.10a
187.550.48b46.13a4503.71a6488.89abcd320.00ab657.00de38.33b41.70a
22551.01b46.29ab4948.15ab7488.89d364.00ab691.00e39.93d41.10a
Wps112.551.34b49.35de4592.59ab5666.67abc355.57ab458.67a47.52h43.63a
15049.65ab48.95cde5259.26ab6688.89bcd340.00ab495.56ab41.53e41.47a
187.551.17b47.19abc5703.71ab7200cd353.78ab622.67cde39.07c41.80a
22550.62b46.95abc5762.96b6333.33abcd402.22b664.44de38.13b45.10a
F-valueSM5.585 **3.382 *1.6444.332.6561.93616.69 **1.342
SR1.1557.11 **0.3186.933 *0.59515.953 **1135.86 **0.627
SM*SR0.4711.1061.3351.1040.7290.40977.57 **0.532
Different letters in the same column imply that there is a significant difference between the treatments at p < 0.05. Db, Dr, and Wps represent the sowing methods dibbling, drilling, and wide precise sowing, respectively. In summary, 112.5, 150, 187.5, and 225 represent the winter wheat (Xinong805) sown at 112.5 kg ha−1, 150 kg ha−1, 187.5 kg ha−1, and 225 kg ha−1, respectively. * and ** indicate significance at the 0.05 and 0.01 probability levels, respectively.
Table 7. The effects of the sowing methods (SM) and seed rate (SR) on the wheat grain quality traits in both cropping seasons.
Table 7. The effects of the sowing methods (SM) and seed rate (SR) on the wheat grain quality traits in both cropping seasons.
TreatmentsTest Weight (g L−1)HardnessSedimentation Value (mL)Wet Gluten (%)
2017–20182018–20192017–20182018–20192017–20182018–20192017–20182018–2019
Db112.5790.40abc764.97ab60.89a46.49a28.71a50.77abcd31.81abc30.31bcde
150794.61bcd771.23ab61.33a49.64a28.19a53.84d31.79abc31.27e
187.5792.13abcd774.70b61.20a50.01a28.12a47.25abc31.20ab29.25abcd
225791.34abc772.57ab60.85a50.77a27.38a46.26abc30.72ab28.99abc
Dr112.5792.05abcd762.03a61.03a48.22a28.55a51.54bcd31.58abc30.58bcde
150788.42ab771.03ab61.85a48.89a29.11a50.04abcd33.07cd30.41bcde
187.5791.2abc767.80ab62.30a51.04a27.89a45.58a32.13bc28.93abc
225791.71abcd768.23ab61.67a51.37a29.10a44.722431.72abc28.38a
Wps112.5785.08a766.83ab61.53a50.03a28.21a51.77bcd34.13d30.84cde
150793.66bcd773.47ab61.72a48.56a29.36a52.25cd32.31bc31.09de
187.5799.48d768.67ab63.17a50.42a28.99a45.54ab30.87ab28.65ab
225797.55cd772.33ab61.58a50.65a28.95a47.81abcd30.13a29.40abcde
F-valueSM1.6851.2540.9240.2370.6370.7852.1460.649
SR2.6282.7500.6531.8330.1698.29 **7.193 ***10.05 ***
SM*SR2.741 *0.3550.1510.4240.3470.3933.68 **0.419
Different letters in the same column imply that there is a significant difference between the treatments at p < 0.05. Db, Dr, and Wps represent the sowing methods dibbling, drilling, and wide precise sowing, respectively. In summary, 112.5, 150, 187.5, and 225 represent the winter wheat (Xinong805) sown at 112.5 kg ha−1, 150 kg ha−1, 187.5 kg ha−1, and 225 kg ha−1, respectively. *, **, and *** indicate significance at the 0.05, 0.01, and 0.001 probability levels, respectively.
Table 8. The effects of the sowing methods (SM) and seed rate (SR) on starch and its components in both cropping seasons.
Table 8. The effects of the sowing methods (SM) and seed rate (SR) on starch and its components in both cropping seasons.
Treatments2017–20182018–2019
Total Starch %Amylose%Amylopectin%Total Starch %Amylose%Amylopectin%
Db112.558.13d22.25d35.88bcde54.46bc18.14abc36.33bcd
15059.80d21.17c38.63fg54.04bc16.54a37.51cd
187.553.79bc18.51b35.28abcd53.20b19.04c34.15ab
22552.79abc18.43b34.36abc54.23bc18.80bc35.44bcd
Dr112.559.71d23.2e36.50cdef54.85c18.12abc36.74bcd
15059.50d21.53cd37.97efg53.54bc18.20abc35.33bcd
187.554.15c17.35a36.80def54.44bc19.33c35.11bc
22550.94a17.87ab33.07a54.12bc19.18c34.94bc
Wps112.559.64d22.19d37.44defg53.56bc17.92abc35.64bcd
15060.11d20.84c39.27g50.78a18.79bc31.99a
187.551.56ab17.63ab33.93ab54.95c16.92ab38.02d
22551.38a18.28b33.10a53.94bc19.34c34.60ab
F-valueSM0.4571.5830.0424.09*1.0130.868
SR94.007***189.45***24.59***6.63**2.4971.588
SM*SR2.1833.02*2.1355.05**2.54*5.24***
Different letters in the same column imply that there is a significant difference between treatments at p < 0.05. Db, Dr, and Wps represent the sowing methods dibbling, drilling, and wide precise sowing, respectively. Notably, 112.5, 150, 187.5, and 225 represent the winter wheat (Xinong805), sown at 112.5 kg ha−1, 150 kg ha−1, 187.5 kg ha−1, and 225 kg ha−1, respectively. *, **, and *** indicate significance at the 0.05, 0.01, and 0.001 probability levels, respectively.

Share and Cite

MDPI and ACS Style

Twizerimana, A.; Niyigaba, E.; Mugenzi, I.; Ngnadong, W.A.; Li, C.; Hao, T.Q.; Shio, B.J.; Hai, J.B. The Combined Effect of Different Sowing Methods and Seed Rates on the Quality Features and Yield of Winter Wheat. Agriculture 2020, 10, 153. https://doi.org/10.3390/agriculture10050153

AMA Style

Twizerimana A, Niyigaba E, Mugenzi I, Ngnadong WA, Li C, Hao TQ, Shio BJ, Hai JB. The Combined Effect of Different Sowing Methods and Seed Rates on the Quality Features and Yield of Winter Wheat. Agriculture. 2020; 10(5):153. https://doi.org/10.3390/agriculture10050153

Chicago/Turabian Style

Twizerimana, Angelique, Etienne Niyigaba, Innocent Mugenzi, Wansim Aboubakar Ngnadong, Chuan Li, Tian Qi Hao, Bosco J. Shio, and Jiang Bo Hai. 2020. "The Combined Effect of Different Sowing Methods and Seed Rates on the Quality Features and Yield of Winter Wheat" Agriculture 10, no. 5: 153. https://doi.org/10.3390/agriculture10050153

APA Style

Twizerimana, A., Niyigaba, E., Mugenzi, I., Ngnadong, W. A., Li, C., Hao, T. Q., Shio, B. J., & Hai, J. B. (2020). The Combined Effect of Different Sowing Methods and Seed Rates on the Quality Features and Yield of Winter Wheat. Agriculture, 10(5), 153. https://doi.org/10.3390/agriculture10050153

Note that from the first issue of 2016, this journal uses article numbers instead of page numbers. See further details here.

Article Metrics

Back to TopTop