Comparison of Single- vs. Dual-Lead CIEDs Regarding Perioperative Complications-Analysis of the Quality Assurance Data of the State of North Rhine-Westphalia, Germany
Abstract
1. Introduction
2. Materials and Methods
3. Results
3.1. Study Population
3.2. Patient and Procedural Characteristics
3.3. Complications
3.4. Complication Risk
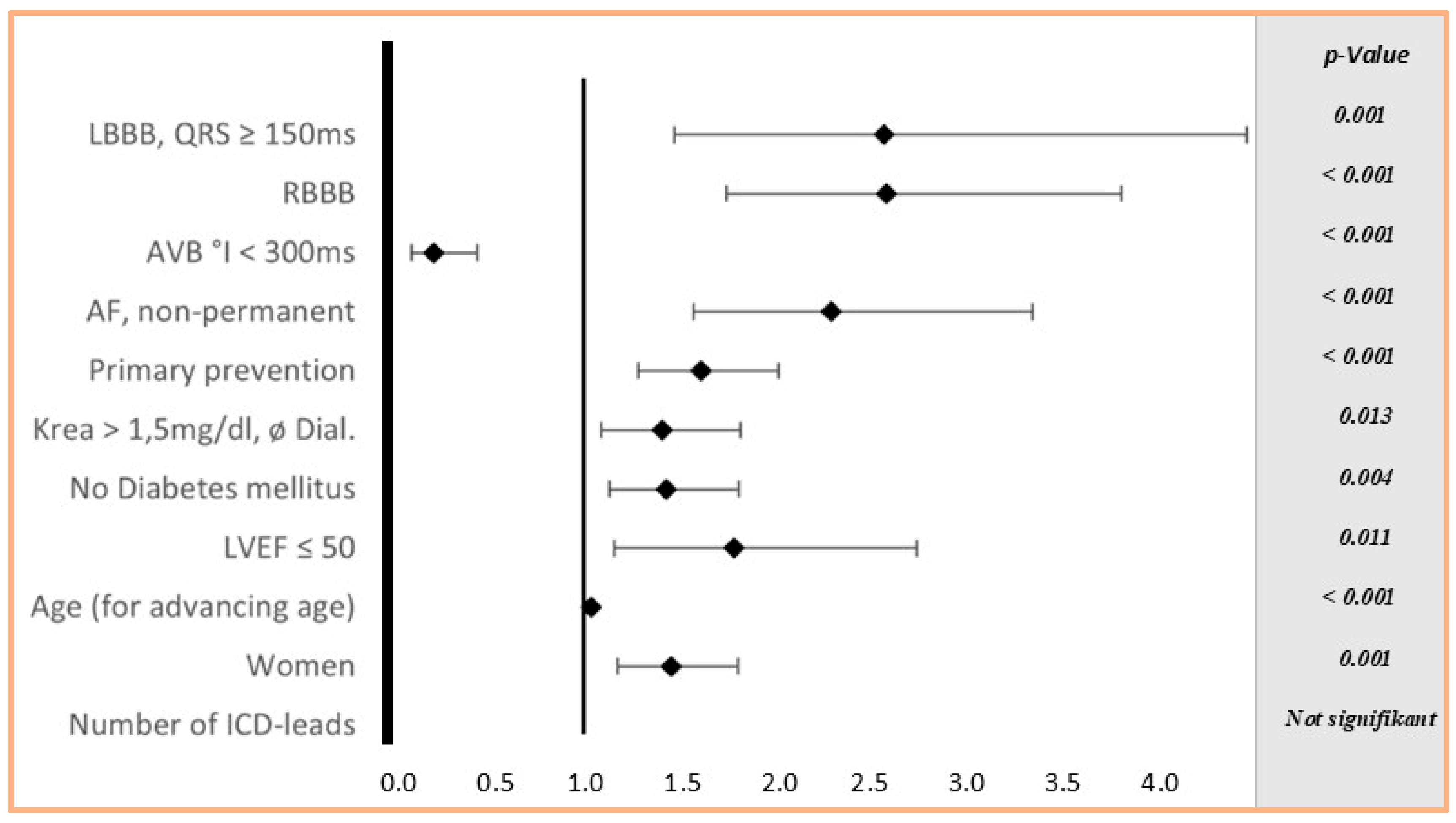
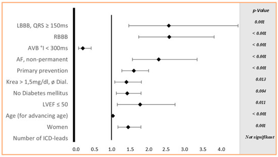
3.5. Complication Predictors
3.6. Mortality
4. Discussion
4.1. Complication Risk
4.2. Complication Predictors
4.3. Mortality
5. Study Limitations
6. Conclusions
Supplementary Materials
Author Contributions
Funding
Institutional Review Board Statement
Informed Consent Statement
Data Availability Statement
Conflicts of Interest
References
- IQTIG. Federal Evaluation for the Data Collection Year 2020 (Germany)—Pacemaker Implantations: Quality Indicators and Key Figures; IQTIG—Institute for Quality Assurance and Transparency in Healthcare: Berlin, Germany, 2021. [Google Scholar]
- IQTIG. Federal Evaluation for the Data Collection Year 2020 (Germany)—Implantable Defibrillator Implantations Quality Indicators and Key Figures; IQTIG—Institute for Quality Assurance and Transparency in Healthcare: Berlin, Germany, 2021. [Google Scholar]
- Chauhan, A.; Grace, A.A.; Newell, S.A.; Stone, D.L.; Shapiro, L.M.; Schofield, P.M.; Petch, M.C. Early complications after dual chamber versus single chamber pacemaker implantation. Pacing Clin. Electrophysiol. 1994, 17, 2012–2015. [Google Scholar] [CrossRef]
- Cantillon, D.J.; Exner, D.V.; Badie, N.; Davis, K.; Gu, N.Y.; Nabutovsky, Y.; Doshi, R. Complications and Health Care Costs Associated with Transvenous Cardiac Pacemakers in a Nationwide Assessment. JACC Clin. Electrophysiol. 2017, 3, 1296–1305. [Google Scholar] [CrossRef] [PubMed]
- Greenspon, A.J.; Patel, J.D.; Lau, E.; Ochoa, J.A.; Frisch, D.R.; Ho, R.T.; Pavri, B.B.; Kurtz, S.M. Trends in Permanent Pacemaker Implantation in the United States from 1993 to 2009: Increasing Complexity of Patients and Procedures. J. Am. Coll. Cardiol. 2012, 60, 1540–1545. [Google Scholar] [CrossRef]
- Lamas, G.A.; Lee, K.L.; Sweeney, M.O.; Silverman, R.; Leon, A.; Yee, R.; Marinchak, R.A.; Flaker, G.; Schron, E.; Orav, E.J.; et al. Ventricular Pacing or Dual-Chamber Pacing for Sinus-Node Dysfunction. N. Engl. J. Med. 2002, 346, 1854–1862. [Google Scholar] [CrossRef] [PubMed]
- Johansen, J.B. Danish Pacemaker and ICD Register Annual Report 2015; Danish Pacemaker and ICD Register: Aarhus, Denmark, 2015. [Google Scholar]
- Link, M.S.; Estes, N.A.; Griffin, J.J.; Wang, P.J.; Maloney, J.D.; Kirchhoffer, J.B.; Mitchell, G.F.; Orav, J.; Goldman, L.; Lamas, G.A. Complications of dual chamber pacemaker implantation in the elderly. Pacemaker Selection in the Elderly (PASE) Investigators. J. Interv. Card. Electrophysiol. 1998, 2, 175–179. [Google Scholar] [CrossRef] [PubMed]
- Kiviniemi, M.S.; Pirnes, M.A.; Eränen, H.J.; Kettunen, R.V.; Hartikainen, J.E. Complications related to permanent pacemaker therapy. Pacing Clin. Electrophysiol. 1999, 22, 711–720. [Google Scholar] [CrossRef]
- Udo, E.O.; Zuithoff, N.P.A.; van Hemel, N.M.; de Cock, C.C.; Hendriks, T.; Doevendans, P.A.; Moons, K.G.M. Incidence and predictors of short- and long-term complications in pacemaker therapy: The FOLLOWPACE study. Heart Rhythm 2012, 9, 728–735. [Google Scholar] [CrossRef]
- van Eck, J.W.; van Hemel, N.M.; Zuithof, P.; van Asseldonk, J.P.; Voskuil, T.L.; Grobbee, D.E.; Moons, K.G. Incidence and predictors of in-hospital events after first implantation of pacemakers. Europace 2007, 9, 884–889. [Google Scholar] [CrossRef]
- Opić, P.; van Kranenburg, M.; Yap, S.C.; van Dijk, A.P.; Budts, W.; Vliegen, H.W.; van Erven, L.; Can, A.; Sahin, G.; Theuns, D.A.; et al. Complications of pacemaker therapy in adults with congenital heart disease: A multicenter study. Int. J. Cardiol. 2013, 168, 3212–3216. [Google Scholar] [CrossRef]
- Shakya, S.; Matsui, H.; Fushimi, K.; Yasunaga, H. In-hospital complications after implantation of cardiac implantable electronic devices: Analysis of a national inpatient database in Japan. J. Cardiol. 2017, 70, 405–410. [Google Scholar] [CrossRef]
- Aggarwal, R.K.; Connelly, D.T.; Ray, S.G.; Ball, J.; Charles, R.G. Early complications of permanent pacemaker implantation: No difference between dual and single chamber systems. Br. Heart J. 1995, 73, 571–575. [Google Scholar] [CrossRef] [PubMed]
- Eberhardt, F.; Bode, F.; Bonnemeier, H.; Boguschewski, F.; Schlei, M.; Peters, W.; Wiegand, U.K. Long term complications in single and dual chamber pacing are influenced by surgical experience and patient morbidity. Heart 2005, 91, 500–506. [Google Scholar] [CrossRef]
- Ellenbogen, K.A.; Hellkamp, A.S.; Wilkoff, B.L.; Camunãs, J.L.; Love, J.C.; Hadjis, T.A.; Lee, K.L.; Lamas, G.A. Complications arising after implantation of DDD pacemakers: The MOST experience. Am. J. Cardiol. 2003, 92, 740–741. [Google Scholar] [CrossRef] [PubMed]
- Mueller, X.; Sadeghi, H.; Kappenberger, L. Complications after single versus dual chamber pacemaker implantation. Pacing Clin. Electrophysiol. 1990, 13, 711–714. [Google Scholar] [CrossRef]
- Al-Khatib, S.M.; Greiner, M.A.; Peterson, E.D.; Hernandez, A.F.; Schulman, K.A.; Curtis, L.H. Patient and implanting physician factors associated with mortality and complications after implantable cardioverter-defibrillator implantation, 2002–2005. Circ. Arrhythm. Electrophysiol. 2008, 1, 240–249. [Google Scholar] [CrossRef] [PubMed]
- Al-Khatib, S.M.; Lucas, F.L.; Jollis, J.G.; Malenka, D.J.; Wennberg, D.E. The Relation Between Patients’ Outcomes and the Volume of Cardioverter-Defibrillator Implantation Procedures Performed by Physicians Treating Medicare Beneficiaries. J. Am. Coll. Cardiol. 2005, 46, 1536–1540. [Google Scholar] [CrossRef]
- Bardy, G.H.; Lee, K.L.; Mark, D.B.; Poole, J.E.; Packer, D.L.; Boineau, R.; Domanski, M.; Troutman, C.; Anderson, J.; Johnson, G.; et al. Amiodarone or an implantable cardioverter-defibrillator for congestive heart failure. N. Engl. J. Med. 2005, 352, 225–237. [Google Scholar] [CrossRef]
- Bogossian, H.; Frommeyer, G.; Hochadel, M.; Ince, H.; Spitzer, S.G.; Eckardt, L.; Maier, S.K.G.; Kleemann, T.; Brachmann, J.; Stellbrink, C.; et al. Single chamber implantable cardioverter defibrillator compared to dual chamber implantable cardioverter defibrillator: Less is more! Data from the German Device Registry. Clin. Res. Cardiol. 2020, 109, 911–917. [Google Scholar] [CrossRef]
- DiMarco, J.P. Implantable cardioverter-defibrillators. N. Engl. J. Med. 2003, 349, 1836–1847. [Google Scholar] [CrossRef]
- Gold, M.R.; Peters, R.W.; Johnson, J.W.; Shorofsky, S.R. Complications associated with pectoral cardioverter-defibrillator implantation: Comparison of subcutaneous and submuscular approaches. Worldwide Jewel Investigators. J. Am. Coll. Cardiol. 1996, 28, 1278–1282. [Google Scholar] [CrossRef]
- Gould, P.A. Complications Associated with Implantable Cardioverter-Defibrillator Replacement in Response to Device Advisories. JAMA 2006, 295, 1907. [Google Scholar] [CrossRef] [PubMed]
- Haines, D.E.; Wang, Y.; Curtis, J. Implantable Cardioverter-Defibrillator Registry Risk Score Models for Acute Procedural Complications or Death After Implantable Cardioverter-Defibrillator Implantation. Circulation 2011, 123, 2069–2076. [Google Scholar] [CrossRef]
- Hlatky, M.A.; Saynina, O.; McDonald, K.M.; Garber, A.M.; McClellan, M.B. Utilization and outcomes of the implantable cardioverter defibrillator, 1987 to 1995. Am. Heart J. 2002, 144, 397–403. [Google Scholar] [CrossRef] [PubMed]
- Kadish, A.; Dyer, A.; Daubert, J.P.; Quigg, R.; Estes, N.A.M.; Anderson, K.P.; Calkins, H.; Hoch, D.; Goldberger, J.; Shalaby, A.; et al. Prophylactic Defibrillator Implantation in Patients with Nonischemic Dilated Cardiomyopathy. N. Engl. J. Med. 2004, 350, 2151–2158. [Google Scholar] [CrossRef]
- Koneru, J.N.; Jones, P.W.; Hammill, E.F.; Wold, N.; Ellenbogen, K.A. Risk Factors and Temporal Trends of Complications Associated with Transvenous Implantable Cardiac Defibrillator Leads. J. Am. Heart Assoc. 2018, 7, e007691. [Google Scholar] [CrossRef]
- Kramer, D.B.; Kennedy, K.F.; Noseworthy, P.A.; Buxton, A.E.; Josephson, M.E.; Normand, S.-L.; Spertus, J.A.; Zimetbaum, P.J.; Reynolds, M.R.; Mitchell, S.L. Characteristics and Outcomes of Patients Receiving New and Replacement Implantable Cardioverter-Defibrillators. Circ. Cardiovasc. Qual. Outcomes 2013, 6, 488–497. [Google Scholar] [CrossRef]
- Kron, J.; Herre, J.; Renfroe, E.G.; Rizo-Patron, C.; Raitt, M.; Halperin, B.; Gold, M.; Goldner, B.; Wathen, M.; Wilkoff, B.; et al. Lead- and device-related complications in the antiarrhythmics versus implantable defibrillators trial. Am. Heart J. 2001, 141, 92–98. [Google Scholar] [CrossRef]
- Lee, D.S.; Krahn, A.D.; Healey, J.S.; Birnie, D.; Crystal, E.; Dorian, P.; Simpson, C.S.; Khaykin, Y.; Cameron, D.; Janmohamed, A.; et al. Evaluation of Early Complications Related to De Novo Cardioverter Defibrillator Implantation. J. Am. Coll. Cardiol. 2010, 55, 774–782. [Google Scholar] [CrossRef] [PubMed]
- Moss, A.J.; Zareba, W.; Hall, W.J.; Klein, H.; Wilber, D.J.; Cannom, D.S.; Daubert, J.P.; Higgins, S.L.; Brown, M.W.; Andrews, M.L. Prophylactic implantation of a defibrillator in patients with myocardial infarction and reduced ejection fraction. N. Engl. J. Med. 2002, 346, 877–883. [Google Scholar] [CrossRef]
- Pavia, S.; Wilkoff, B. The management of surgical complications of pacemaker and implantable cardioverter-defibrillators. Curr. Opin. Cardiol. 2001, 16, 66–71. [Google Scholar] [CrossRef]
- Reynolds, M.R.; Cohen, D.J.; Kugelmass, A.D.; Brown, P.P.; Becker, E.R.; Culler, S.D.; Simon, A.W. The frequency and incremental cost of major complications among medicare beneficiaries receiving implantable cardioverter-defibrillators. J. Am. Coll. Cardiol. 2006, 47, 2493–2497. [Google Scholar] [CrossRef] [PubMed]
- Rosenqvist, M.R.; Beyer, T.; Block, M.; Den Dulk, K.; Minten, J.; Lindemans, F. Adverse Events with Transvenous Implantable Cardioverter-Defibrillators. Circulation 1998, 98, 663–670. [Google Scholar] [CrossRef] [PubMed]
- Tsai, V.; Goldstein, M.K.; Hsia, H.H.; Wang, Y.; Curtis, J.; Heidenreich, P.A. Influence of Age on Perioperative Complications Among Patients Undergoing Implantable Cardioverter-Defibrillators for Primary Prevention in the United States. Circ. Cardiovasc. Qual. Outcomes 2011, 4, 549–556. [Google Scholar] [CrossRef]
- Zhan, C.; Baine, W.B.; Sedrakyan, A.; Steiner, C. Cardiac Device Implantation in the United States from 1997 through 2004: A Population-based Analysis. J. Gen. Intern. Med. 2008, 23 (Suppl. 1), 13–19. [Google Scholar] [CrossRef]
- Almendral, J.; Arribas, F.; Wolpert, C.; Ricci, R.; Adragao, P.; Cobo, E.; Navarro, X.; Quesada, A. Dual-chamber defibrillators reduce clinically significant adverse events compared with single-chamber devices: Results from the DATAS (Dual chamber and Atrial Tachyarrhythmias Adverse events Study) trial. Europace 2008, 10, 528–535. [Google Scholar] [CrossRef] [PubMed]
- Cheng, A.; Wang, Y.; Curtis, J.P.; Varosy, P.D. Acute Lead Dislodgements and In-Hospital Mortality in Patients Enrolled in the National Cardiovascular Data Registry Implantable Cardioverter Defibrillator Registry. J. Am. Coll. Cardiol. 2010, 56, 1651–1656. [Google Scholar] [CrossRef]
- Defaye, P.; Boveda, S.; Klug, D.; Beganton, F.; Piot, O.; Narayanan, K.; Périer, M.C.; Gras, D.; Fauchier, L.; Bordachar, P.; et al. Dual- vs. single-chamber defibrillators for primary prevention of sudden cardiac death: Long-term follow-up of the Défibrillateur Automatique Implantable-Prévention Primaire registry. Europace 2017, 19, 1478–1484. [Google Scholar] [CrossRef]
- Dewland, T.A.; Pellegrini, C.N.; Wang, Y.; Marcus, G.M.; Keung, E.; Varosy, P.D. Dual-Chamber Implantable Cardioverter-Defibrillator Selection Is Associated with Increased Complication Rates and Mortality Among Patients Enrolled in the NCDR Implantable Cardioverter-Defibrillator Registry. J. Am. Coll. Cardiol. 2011, 58, 1007–1013. [Google Scholar] [CrossRef]
- Freeman, J.V.; Wang, Y.; Curtis, J.P.; Heidenreich, P.A.; Hlatky, M.A. Physician Procedure Volume and Complications of Cardioverter-Defibrillator Implantation. Circulation 2012, 125, 57–64. [Google Scholar] [CrossRef]
- Hsu, J.C.; Varosy, P.D.; Bao, H.; Wang, Y.; Curtis, J.P.; Marcus, G.M. Low Body Mass Index but Not Obesity Is Associated with In-Hospital Adverse Events and Mortality Among Implantable Cardioverter-Defibrillator Recipients: Insights from the National Cardiovascular Data Registry. J. Am. Heart Assoc. 2012, 1, e003863. [Google Scholar] [CrossRef]
- Takahashi, T.; Bhandari, A.K.; Watanuki, M.; Cannom, D.S.; Sakurada, H.; Hiraoka, M. High Incidence of Device-Related and Lead-Related Complications in the Dual-Chamber Implantable Cardioverter Defibrillator Compared with the Single-Chamber Version. Circ. J. 2002, 66, 746–750. [Google Scholar] [CrossRef] [PubMed]
- Ueda, A.; Oginosawa, Y.; Soejima, K.; Abe, H.; Kohno, R.; Ohe, H.; Momose, Y.; Nagaoka, M.; Matsushita, N.; Hoshida, K.; et al. Outcomes of single- or dual-chamber implantable cardioverter defibrillator systems in Japanese patients. J. Arrhythm. 2016, 32, 89–94. [Google Scholar] [CrossRef]
- Glikson, M.; Nielsen, J.C.; Kronborg, M.B.; Michowitz, Y.; Auricchio, A.; Barbash, I.M.; Barrabés, J.A.; Boriani, G.; Braunschweig, F.; Brignole, M.; et al. 2021 ESC Guidelines on cardiac pacing and cardiac resynchronization therapy. Eur. Heart J. 2021, 42, 3427–3520. [Google Scholar] [CrossRef]
- Wilkoff, B.L.; Fauchier, L.; Stiles, M.K.; Morillo, C.A.; Al-Khatib, S.M.; Almendral, J.; Aguinaga, L.; Berger, R.D.; Cuesta, A.; Daubert, J.P.; et al. 2015 HRS/EHRA/APHRS/SOLAECE expert consensus statement on optimal implantable cardioverter-defibrillator programming and testing. Heart Rhythm 2016, 13, e50–e86. [Google Scholar] [CrossRef]
- Carlsson, J.; Erdogan, A.; Neuzner, J. Defibrillator. In Herzschrittmacher- und Defibrillator-Therapie; Fröhlig, G., Ed.; Georg Thieme Verlag: Stuttgart, Germany, 2020; pp. 198–220. [Google Scholar]
- Tobin, K.; Stewart, J.; Westveer, D.; Frumin, H. Acute complications of permanent pacemaker implantation: Their financial implication and relation to volume and operator experience. Am. J. Cardiol. 2000, 85, 774–776, a9. [Google Scholar] [CrossRef]
- Pakarinen, S.; Oikarinen, L.; Toivonen, L. Short-term implantation-related complications of cardiac rhythm management device therapy: A retrospective single-centre 1-year survey. Europace 2010, 12, 103–108. [Google Scholar] [CrossRef] [PubMed]
- Wiegand, U.K.; LeJeune, D.; Boguschewski, F.; Bonnemeier, H.; Eberhardt, F.; Schunkert, H.; Bode, F. Pocket hematoma after pacemaker or implantable cardioverter defibrillator surgery: Influence of patient morbidity, operation strategy, and perioperative antiplatelet/anticoagulation therapy. Chest 2004, 126, 1177–1186. [Google Scholar] [CrossRef] [PubMed]
- Nowak, B.; Misselwitz, B.; Erdogan, A.; Funck, R.; Irnich, W.; Israel, C.W.; Olbrich, H.G.; Schmidt, H.; Sperzel, J.; Zegelman, M. Do gender differences exist in pacemaker implantation?--results of an obligatory external quality control program. Europace 2010, 12, 210–215. [Google Scholar] [CrossRef]
- Kirkfeldt, R.E.; Johansen, J.B.; Nohr, E.A.; Jørgensen, O.D.; Nielsen, J.C. Complications after cardiac implantable electronic device implantations: An analysis of a complete, nationwide cohort in Denmark. Eur. Heart J. 2014, 35, 1186–1194. [Google Scholar] [CrossRef]
- Humphries, K.H.; Hawkins, N. Sex Differences in Complications and Outcomes of Cardiac Implantable Electronic Devices: Time to Evaluate Our Practice. Can. J. Cardiol. 2020, 36, 16–18. [Google Scholar] [CrossRef]
- Mohamed, M.O.; Volgman, A.S.; Contractor, T.; Sharma, P.S.; Kwok, C.S.; Rashid, M.; Martin, G.P.; Barker, D.; Patwala, A.; Mamas, M.A. Trends of Sex Differences in Outcomes of Cardiac Electronic Device Implantations in the United States. Can. J. Cardiol. 2020, 36, 69–78. [Google Scholar] [CrossRef] [PubMed]
- Nowak, B.; Tasche, K.; Barnewold, L.; Heller, G.; Schmidt, B.; Bordignon, S.; Chun, K.R.; Fürnkranz, A.; Mehta, R.H. Association between hospital procedure volume and early complications after pacemaker implantation: Results from a large, unselected, contemporary cohort of the German nationwide obligatory external quality assurance programme. Europace 2015, 17, 787–793. [Google Scholar] [CrossRef]
- Chen, B.-W.; Liu, Q.; Wang, X.; Dang, A.-M. Are dual-chamber implantable cardioverter-defibrillators really better than single-chamber ones? A systematic review and meta-analysis. J. Interv. Card. Electrophysiol. 2014, 39, 273–280. [Google Scholar] [CrossRef]
- Hu, Z.-Y.; Zhang, J.; Xu, Z.-T.; Gao, X.-F.; Zhang, H.; Pan, C.; Chen, S.-L. Efficiencies and Complications of Dual Chamber versus Single Chamber Implantable Cardioverter Defibrillators in Secondary Sudden Cardiac Death Prevention: A Meta-analysis. Heart Lung Circ. 2016, 25, 148–154. [Google Scholar] [CrossRef]
- Mei, D.A.; Imberti, J.F.; Vitolo, M.; Bonini, N.; Gerra, L.; Romiti, G.F.; Proietti, M.; Lip, G.Y.H.; Boriani, G. Single-lead VDD pacing: A literature review on short-term and long-term performance. Expert Rev. Med. Devices 2023, 20, 187–197. [Google Scholar] [CrossRef]
- Peterson, P.N.; Daugherty, S.L.; Wang, Y.; Vidaillet, H.J.; Heidenreich, P.A.; Curtis, J.P.; Masoudi, F.A. Gender Differences in Procedure-Related Adverse Events in Patients Receiving Implantable Cardioverter-Defibrillator Therapy. Circulation 2009, 119, 1078–1084. [Google Scholar] [CrossRef] [PubMed]
- Pires, L.A.; Sethuraman, B.; Guduguntla, V.D.; Todd, K.M.; Yamasaki, H.; Ravi, S. Outcome of women versus men with ventricular tachyarrhythmias treated with the implantable cardioverter defibrillator. J. Cardiovasc. Electrophysiol. 2002, 13, 563–568. [Google Scholar] [CrossRef] [PubMed]
- Russo, A.M.; Day, J.D.; Stolen, K.; Mullin, C.M.; Doraiswamy, V.; Lerew, D.L.; Olshansky, B. Implantable cardioverter defibrillators: Do women fare worse than men? Gender comparison in the INTRINSIC RV trial. J. Cardiovasc. Electrophysiol. 2009, 20, 973–978. [Google Scholar] [CrossRef]
- Mei, D.A.; Imberti, J.F.; Vitolo, M.; Bonini, N.; Serafini, K.; Mantovani, M.; Tartaglia, E.; Birtolo, C.; Zuin, M.; Bertini, M.; et al. Systematic review and meta-analysis on the impact on outcomes of device algorithms for minimizing right ventricular pacing. EP Europace 2024, 26, euae212. [Google Scholar] [CrossRef]
- Kichloo, A.; Shaka, H.; Aljadah, M.; Amir, R.; Albosta, M.; Jamal, S.; Khan, M.Z.; Wani, F.; Mir, K.M.; Kanjwal, K. Predictors of outcomes in hospitalized patients undergoing pacemaker insertion: Analysis from the national inpatient database (2016–2017). Pacing Clin. Electrophysiol. 2021, 44, 1562–1569. [Google Scholar] [CrossRef]
- Mahapatra, S.; Bybee, K.A.; Bunch, T.J.; Espinosa, R.E.; Sinak, L.J.; McGoon, M.D.; Hayes, D.L. Incidence and predictors of cardiac perforation after permanent pacemaker placement. Heart Rhythm 2005, 2, 907–911. [Google Scholar] [CrossRef] [PubMed]
- Hasan, F.; Nedios, S.; Karosiene, Z.; Scholten, M.; Lemke, B.; Tulka, S.; Knippschild, S.; Macher-Heidrich, S.; Adomeit, H.J.; Zarse, M.; et al. Perioperative complications after pacemaker implantation: Higher complication rates with subclavian vein puncture than with cephalic vein cutdown. J. Interv. Card. Electrophysiol. 2022, 66, 857–863. [Google Scholar] [CrossRef]
- Nowak, B.; Misselwitz, B.; Przibille, O.; Mehta, R.H. Is mortality a useful parameter for public reporting in pacemaker implantation? Results of an obligatory external quality control programme. Europace 2016, 19, euw079. [Google Scholar] [CrossRef] [PubMed]
- Mandawat, A.; Curtis, J.P.; Mandawat, A.; Njike, V.Y.; Lampert, R. Safety of Pacemaker Implantation in Nonagenarians. Circulation 2013, 127, 1453–1465. [Google Scholar] [CrossRef] [PubMed]
- Bogossian, H.; Panteloglou, D.; Karosiene, Z.; Macher-Heidrich, S.; Adomeit, H.J.; Lemke, B.; Israel, C.W. Peripoperative Mortalität nach ICD-Implantation. Herz 2021, 46, 581–588. [Google Scholar] [CrossRef]
- Imberti, J.F.; Mei, D.A.; Fontanesi, R.; Gerra, L.; Bonini, N.; Vitolo, M.; Turco, V.; Casali, E.; Boriani, G. Low Occurrence of Infections and Death in a Real-World Cohort of Patients with Cardiac Implantable Electronic Devices. J. Clin. Med. 2023, 12, 2599. [Google Scholar] [CrossRef]



| Pacemaker | Perioperative Complications | ||
| Total | No | Yes | |
| Single Lead | 29,852 (21.76%) | 29,002 (97.15%) | 850 (2.85%) |
| Dual Lead | 107,356 (78.24%) | 103,844 (96.73%) | 3512 (3.27%) |
| Total | 137,208 | 132,846 (96.83%) | 4362 (3.17%) |
| ICD | Perioperative Complications | ||
| Total | No | Yes | |
| Single Lead | 18,743 (57.96%) | 18,482 (98.61%) | 261 (1.39%) |
| Dual Lead | 13,596 (42.04%) | 13,398 (98.54%) | 198 (1.46%) |
| Total | 32,339 | 31,880 (98.58%) | 459 (1.42%) |
| PM—Lead | ||||
|---|---|---|---|---|
| Total | Single | Dual | p | |
| Perioperative complications (incidence in %) | 4362 (3.2) | 850 (2.8) | 3.512 (3.3) | <0.001 |
| Asystole, n (%) | 189 (0.1) | 49 (0.2) | 140 (0.1) | 0.18 |
| Ventricular fibrillation, n (%) | 29 (0.0) | 7 (0.0) | 22 (0.0) | 0.82 |
| Pneumothorax, n (%) | 718 (0.5) | 160 (0.5) | 558 (0.5) | 0.72 |
| Hemothorax, n (%) | 50 (0.0) | 4 (0.0) | 46 (0.0) | 0.016 |
| Pericardial effusion/tamponade, n (%) | 161 (0.1) | 17 (0.1) | 144 (0.1) | 0.001 |
| Lead dislocation, n (%) | 2408 (1.8) | 406 (1.4) | 2002 (1.9) | <0.001 |
| Atrial lead dislocation, n (%) | 1259 (0.9) | 0 (0.0) | 1259 (1.2) | <0.001 |
| Ventricular lead dislocation, n (%) | 1212 (0.9) | 406 (1.4) | 806 (0.8) | <0.001 |
| Lead dysfunction, n (%) | 583 (0.4) | 136 (0.5) | 447 (0.4) | 0.37 |
| Atrial lead dysfunction, n (%) | 91 (0.1) | 1 * (0.0) | 90 (0.1) | <0.001 |
| Ventricular lead dysfunction, n (%) | 528 (0.4) | 135 (0.5) | 393 (0.4) | 0.038 |
| Pocket hematoma, n (%) | 282 (0.2) | 104 (0.3) | 178 (0.2) | <0.001 |
| Wound infection, n (%) | 9 (0.0) | 2 (0.0) | 7 (0.0) | 1.00 |
| Other, n (%) | 278 (0.2) | 19 (0.1) | 259 (0.2) | <0.001 |
| ICD—Lead | ||||
|---|---|---|---|---|
| Total | Single | Dual | p | |
| Perioperative complications (incidence in %) | 459 (1.4) | 261 (1.4) | 198 (1.5) | 0.64 |
| Cardiopulmonary resuscitation (CPR), n (%) | 19 (0.1) | 14 (0.1) | 5 (0.0) | 0.24 |
| Pneumothorax, n (%) | 114 (0.4) | 69 (0.4) | 45 (0.3) | 0.63 |
| Hemothorax, n (%) | 35 (0.1) | 31 (0.2) | 4 (0.0) | <0.001 |
| Pericardial effusion/tamponade, n (%) | 9 (0.0) | 2 (0.0) | 7 (0.1) | 0.041 |
| Lead dislocation, n (%) | 145 (0.4) | 72 (0.4) | 73 (0.5) | 0.043 |
| Atrial lead dislocation, n (%) | 52 (0.2) | 0 (0.0) | 52 (0.4) | <0.001 |
| Ventricular lead dislocation, n (%) | 95 (0.3) | 72 (0.4) | 23 (0.2) | <0.001 |
| Lead dysfunction, n (%) | 22 (0.1) | 12 (0.1) | 10 (0.1) | 0.83 |
| Atrial lead dysfunction, n (%) | 5 (0.0) | 4 * (0.0) | 1 (0.0) | 0.41 |
| Ventricular lead dysfunction, n (%) | 17 (0.1) | 8 (0.0) | 9 (0.0) | 0.46 |
| Pocket hematoma, n (%) | 69 (0.2) | 55 (0.3) | 14 (0.1) | <0.001 |
| Wound infection, n (%) | 8 (0.0) | 4 (0.0) | 8 (0.0) | 0.73 |
| Other, n (%) | 54 (0.2) | 10 (0.1) | 44 (0.3) | <0.001 |
| PM—Discharge Reason | Perioperative Complication | |||
|---|---|---|---|---|
| All | No | Yes | p | |
| Discharge/Transfer, n (%) | 134,877 (98.3) | 130,712 (96.9) | 4165 (95.5) | <0.001 |
| Mortality, n (%) | 2331 (1.7) | 2134 (1.6) | 197 (4.5) | <0.001 |
| ICD—Discharge Reason | Perioperative Complication | |||
|---|---|---|---|---|
| All | No | Yes | p | |
| Discharge/Transfer, n (%) | 31.734 (99.5) | 31.734 (99.5) | 441 (96.1) | <0.001 |
| Mortality, n (%) | 164 (0.5) | 146 (0.5) | 18 (3.9) | <0.001 |
Disclaimer/Publisher’s Note: The statements, opinions and data contained in all publications are solely those of the individual author(s) and contributor(s) and not of MDPI and/or the editor(s). MDPI and/or the editor(s) disclaim responsibility for any injury to people or property resulting from any ideas, methods, instructions or products referred to in the content. |
© 2025 by the authors. Licensee MDPI, Basel, Switzerland. This article is an open access article distributed under the terms and conditions of the Creative Commons Attribution (CC BY) license (https://creativecommons.org/licenses/by/4.0/).
Share and Cite
Scholten, M.; Nedios, S.; Karosiene, Z.; Hasan, F.; Lemke, B.; Adomeit, H.J.; Knippschild, S.; Zarse, M.; Bogossian, H. Comparison of Single- vs. Dual-Lead CIEDs Regarding Perioperative Complications-Analysis of the Quality Assurance Data of the State of North Rhine-Westphalia, Germany. J. Clin. Med. 2025, 14, 3203. https://doi.org/10.3390/jcm14093203
Scholten M, Nedios S, Karosiene Z, Hasan F, Lemke B, Adomeit HJ, Knippschild S, Zarse M, Bogossian H. Comparison of Single- vs. Dual-Lead CIEDs Regarding Perioperative Complications-Analysis of the Quality Assurance Data of the State of North Rhine-Westphalia, Germany. Journal of Clinical Medicine. 2025; 14(9):3203. https://doi.org/10.3390/jcm14093203
Chicago/Turabian StyleScholten, Marvin, Sotirios Nedios, Zana Karosiene, Fuad Hasan, Bernd Lemke, Heinz Jürgen Adomeit, Stephanie Knippschild, Markus Zarse, and Harilaos Bogossian. 2025. "Comparison of Single- vs. Dual-Lead CIEDs Regarding Perioperative Complications-Analysis of the Quality Assurance Data of the State of North Rhine-Westphalia, Germany" Journal of Clinical Medicine 14, no. 9: 3203. https://doi.org/10.3390/jcm14093203
APA StyleScholten, M., Nedios, S., Karosiene, Z., Hasan, F., Lemke, B., Adomeit, H. J., Knippschild, S., Zarse, M., & Bogossian, H. (2025). Comparison of Single- vs. Dual-Lead CIEDs Regarding Perioperative Complications-Analysis of the Quality Assurance Data of the State of North Rhine-Westphalia, Germany. Journal of Clinical Medicine, 14(9), 3203. https://doi.org/10.3390/jcm14093203

