Impact of Lifestyle Changes on Body Weight Gain During Nationwide Lockdown Due to COVID-19 Pandemic
Abstract
1. Introduction
2. Methods
2.1. Research Design and Participants
2.2. Data Processing and Definition of Weight Gain
2.3. Evaluation Contents
2.4. Statistical Analysis
2.5. Ethical Considerations
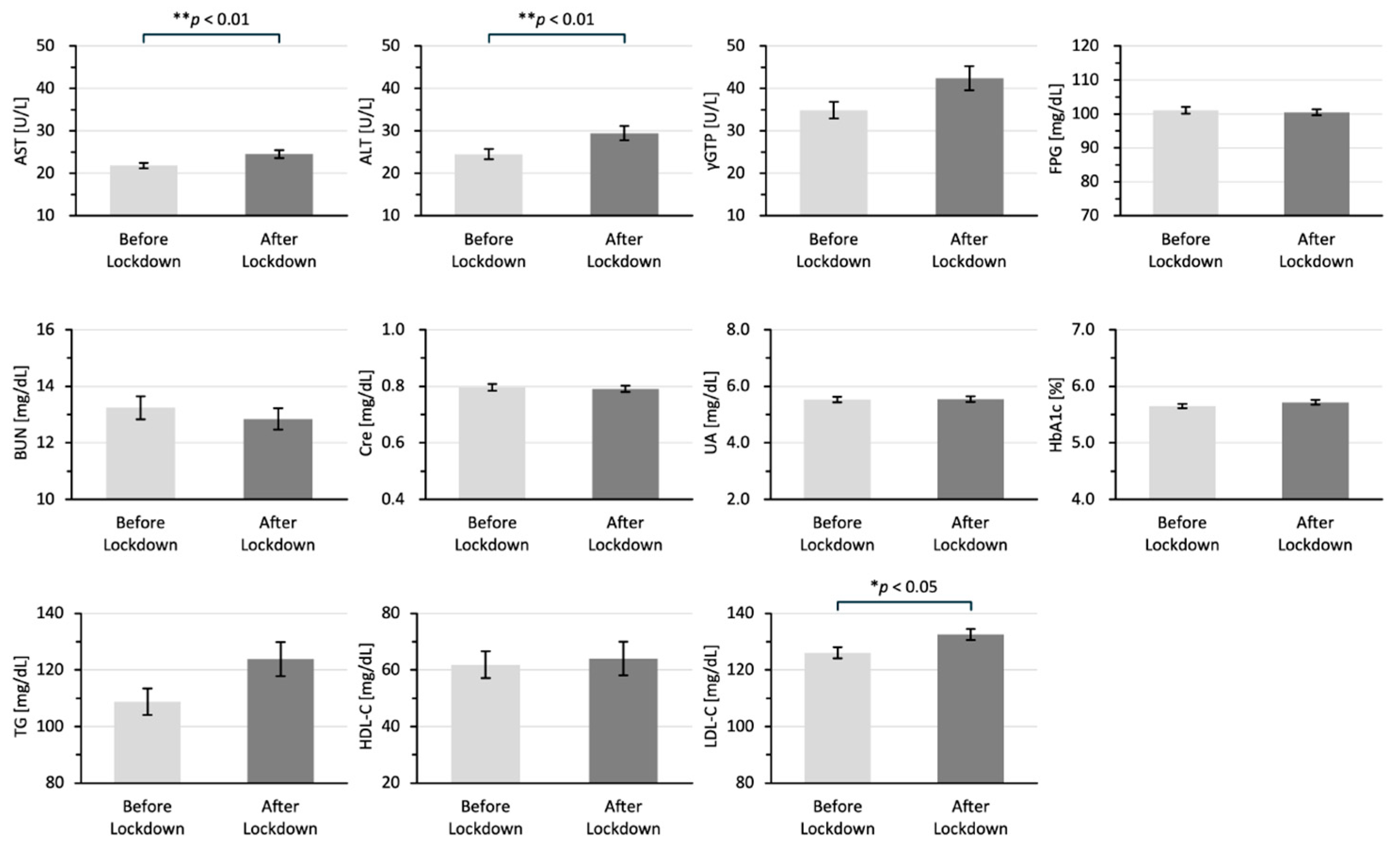
3. Results
4. Discussion
5. Limitations
6. Conclusions
Author Contributions
Funding
Institutional Review Board Statement
Informed Consent Statement
Data Availability Statement
Acknowledgments
Conflicts of Interest
Abbreviations
References
- Tison, G.H.; Avram, R.; Kuhar, P.; Abreau, S.; Marcus, G.M.; Pletcher, M.J.; Olgin, J.E. Worldwide Effect of COVID-19 on Physical Activity: A Descriptive Study. Ann. Intern. Med. 2020, 173, 767–770. [Google Scholar] [PubMed]
- Doraiswamy, S.; Cheema, S.; AI Mulla, A.; Mamtani, R. COVID-19 lockdown and lifestyles: A narrative review. F1000Res 2024, 10, 363. [Google Scholar] [PubMed]
- Anderson, J.W.; Konz, E.C.; Frederich, R.C.; Wood, C.L. Long-term weight-loss maintenance: A meta-analysis of US studies. Am. J. Clin. Nutr. 2001, 74, 579–584. [Google Scholar] [PubMed]
- Tsai, A.G.; Wadden, T.A. The evolution of very-low-calorie diets: An update and meta-analysis. Obesity 2006, 14, 1283–1293. [Google Scholar]
- French, S.A.; Mitchell, N.R.; Wolfson, J.; Harnack, L.J.; Jeffery, R.W.; Gerlach, A.F.; Blundell, J.E.; Pentel, P.R. Portion size effects on weight gain in a free living setting. Obesity 2014, 22, 1400–1405. [Google Scholar]
- Koh-Banerjee, P.; Chu, N.-F.; Spiegelman, D.; Rosner, B.; Colditz, G.; Willett, W.; Rimm, E. Prospective study of the association of changes in dietary intake, physical activity, alcohol consumption, and smoking with 9-y gain in waist circumference among 16 587 US men. Am. J. Clin. Nutr. 2003, 78, 719–727. [Google Scholar]
- Curioni, C.C.; Lourenço, P.M. Long-term weight loss after diet and exercise: A systematic review. Int. J. Obes. 2005, 29, 1168–1174. [Google Scholar]
- Rossinot, H.; Fantin, R.; Venne, J. Behavioral Changes During COVID-19 Confinement in France: A Web-Based Study. Int. J. Environ. Res. Public Health 2020, 17, 8444. [Google Scholar] [CrossRef]
- Zhao, A.; Li, Z.; Ke, Y.; Huo, S.; Ma, Y.; Zhang, Y.; Zhang, J.; Ren, Z. Dietary Diversity among Chinese Residents during the COVID-19 Outbreak and Its Associated Factors. Nutrients 2020, 12, 1699. [Google Scholar] [CrossRef]
- Husain, W.; Ashkanani, F. Does COVID-19 change dietary habits and lifestyle behaviours in Kuwait: A community-based cross-sectional study. Environ. Health Prev. Med. 2020, 25, 61. [Google Scholar]
- Park, S.; Kim, B.; Lee, J. Social Distancing and Outdoor Physical Activity During the COVID-19 Outbreak in South Korea: Implications for Physical Distancing Strategies. Asia Pac. J. Public Health 2020, 32, 360–362. [Google Scholar] [CrossRef] [PubMed]
- Aung, M.N.; Yuasa, M.; Koyanagi, Y.; Aung, T.N.N.; Moolphate, S.; Matsumoto, H.; Yoshioka, T. Sustainable health promotion for the seniors during COVID-19 outbreak: A lesson from Tokyo. J. Infect. Dev. Ctries. 2020, 14, 328–331. [Google Scholar] [CrossRef] [PubMed]
- Janssen, X.; Fleming, L.; Kirk, A.; Rollins, L.; Young, D.; Grealy, M.; MacDonald, B.; Flowers, P.; Williams, L. Changes in Physical Activity, Sitting and Sleep across the COVID-19 National Lockdown Period in Scotland. Int. J. Environ. Res. Public Health 2020, 17, 9362. [Google Scholar] [CrossRef] [PubMed]
- Toga, S.; Fukkoshi, Y.; Akamatsu, R. Relationship between weight gain and metabolic syndrome in non-obese Japanese adults. Diabetes Metab. Syndr. 2016, 10, 63–67. [Google Scholar] [CrossRef]
- Bakaloudi, D.R.; Barazzoni, R.; Bischoff, S.C.; Breda, J.; Wickramasinghe, K.; Chourdakis, M. Impact of the first COVID-19 lockdown on body weight: A combined systematic review and a meta-analysis. Clin. Nutr. 2022, 41, 3046–3054. [Google Scholar] [CrossRef]
- Anderson, L.N.; Yoshida-Montezuma, Y.; Dewart, N.; Jalil, E.; Khattar, J.; De Rubeis, V.; Carsley, S.; Griffith, L.E.; Mbuagbaw, L. Obesity and weight change during the COVID-19 pandemic in children and adults: A systematic review and meta-analysis. Obes. Rev. 2023, 24, e13550. [Google Scholar] [CrossRef]
- Falbová, D.; Beňuš, R.; Sulis, S.; Vorobeľová, L. Effect of COVID-19 pandemic on bioimpedance health indicators in young adults. Am. J. Hum. Biol. 2024, 36, e24110. [Google Scholar] [CrossRef]
- Di Santo, S.G.; Franchini, F.; Filiputti, B.; Martone, A.; Sannino, S. The Effects of COVID-19 and Quarantine Measures on the Lifestyles and Mental Health of People Over 60 at Increased Risk of Dementia. Front. Psychiatry 2020, 11, 578628. [Google Scholar] [CrossRef]
- Fujiwara, S.; Harada, K.; Hagiya, H.; Koyama, T.; Hasegawa, K.; Tsukahara, H.; Otsuka, F. Trends in childhood obesity in Japan: A nationwide observational study from 2012 to 2021. Clin. Obes. 2024, 14, e12636. [Google Scholar] [CrossRef]
- Jayedi, A.; Rashidy-Pour, A.; Khorshidi, M.; Shab-Bidar, S. Body mass index, abdominal adiposity, weight gain and risk of developing hypertension: A systematic review and dose-response meta-analysis of more than 2.3 million participants. Obes. Rev. 2018, 19, 654–667. [Google Scholar] [CrossRef]
- Barzi, F.; Woodward, M.; Czernichow, S.; Lee, C.M.Y.; Kang, J.H.; Janus, E.; Lear, S.; Patel, A.; Caterson, I.; Patel, J.; et al. The discrimination of dyslipidaemia using anthropometric measures in ethnically diverse populations of the Asia-Pacific Region: The Obesity in Asia Collaboration. Obes. Rev. 2010, 11, 127–136. [Google Scholar] [PubMed]
- Milić, S.; Lulić, D.; Štimac, D. Non-alcoholic fatty liver disease and obesity: Biochemical, metabolic and clinical presentations. World J. Gastroenterol. 2014, 20, 9330–9337. [Google Scholar] [PubMed]
- Neter, J.E.; Stam, B.E.; Kok, F.J.; Grobbee, D.E.; Geleijnse, J.M. Influence of weight reduction on blood pressure: A meta-analysis of randomized controlled trials. Hypertension 2003, 42, 878–884. [Google Scholar] [PubMed]
- Falbová, D.; Kovalčíková, V.; Beňuš, R.; Sulis, S.; Vorobeľová, L. Effect of COVID-19 pandemic on lifestyle and bone mineral density in young adults. Am. J. Hum. Biol. 2024, 36, e24009. [Google Scholar]
- Hill, J.O.; Wyatt, H.R.; Peters, J.C. Energy balance and obesity. Circulation 2012, 126, 126–132. [Google Scholar]
- Jakicic, J.M.; Davis, K.K. Obesity and physical activity. Psychiatr. Clin. N. Am. 2011, 34, 829–840. [Google Scholar]
- Mattioli, A.V.; Puviani, M.B. Lifestyle at Time of COVID-19: How Could Quarantine Affect Cardiovascular Risk. Am. J. Lifestyle Med. 2020, 14, 240–242. [Google Scholar]
- Sánchez-Sánchez, E.; Ramírez-Vargas, G.; Avellaneda-López, Y.; Orellana-Pecino, J.I.; García-Marín, E.; Díaz-Jimenez, J. Eating Habits and Physical Activity of the Spanish Population during the COVID-19 Pandemic Period. Nutrients 2020, 12, 2826. [Google Scholar] [CrossRef]
- Burnatowska, E.; Surma, S.; Olszanecka-Glinianowicz, M. Relationship between Mental Health and Emotional Eating during the COVID-19 Pandemic: A Systematic Review. Nutrients 2022, 14, 3989. [Google Scholar] [CrossRef]
- Dietz, W.H. The COVID-19 lockdown increased obesity disparities; Will the increases in type 2 diabetes continue? Obesity 2023, 31, 699–702. [Google Scholar]
- Franco, E.; Urosa, J.; Barakat, R.; Refoyo, I. Physical Activity and Adherence to the Mediterranean Diet among Spanish Employees in a Health-Promotion Program before and during the COVID-19 Pandemic: The Sanitas-Healthy Cities Challenge. Int. J. Environ. Res. Public Health 2021, 18, 2735. [Google Scholar] [CrossRef] [PubMed]
- Allender, S.; Cowburn, G.; Foster, C. Understanding participation in sport and physical activity among children and adults: A review of qualitative studies. Health Educ. Res. 2006, 21, 826–835. [Google Scholar] [PubMed]
- Ashford, B.; Biddle, S.; Goudas, M. Participation in community sports centres: Motives and predictors of enjoyment. J. Sports Sci. 1993, 11, 249–256. [Google Scholar] [PubMed]
- Stenner, B.J.; Buckley, J.D.; Mosewich, A.D. Reasons why older adults play sport: A systematic review. J. Sport Health Sci. 2020, 9, 530–541. [Google Scholar]
- van Uffelen, J.G.Z.; Khan, A.; Burton, N.W. Burton, Gender differences in physical activity motivators and context preferences: A population-based study in people in their sixties. BMC Public Health 2017, 17, 624. [Google Scholar]
- Reynolds, J.; Wilkinson, C. Accessibility of ’essential’ alcohol in the time of COVID-19: Casting light on the blind spots of licensing? Drug Alcohol Rev. 2020, 39, 305–308. [Google Scholar]
- Foster, J.; Read, D.; Karunanithi, S.; Woodward, V. Why do people drink at home? J. Public Health 2010, 32, 512–518. [Google Scholar]
- Yokoyama, S.; Honda, H.; Otsuka, Y.; Tokumasu, K.; Nakano, Y.; Sakurada, Y.; Matsuda, Y.; Sunada, N.; Hasegawa, T.; Takase, R.; et al. Importance of Blood Glucose Measurement for Predicting the Prognosis of Long COVID: A Retrospective Study in Japan. J. Clin. Med. 2024, 13, 4099. [Google Scholar] [CrossRef]
- Garnett, C.; Jackson, S.; Oldham, M.; Brown, J.; Steptoe, A.; Fancourt, D. Factors associated with drinking behaviour during COVID-19 social distancing and lockdown among adults in the UK. Drug Alcohol Depend. 2021, 219, 108461. [Google Scholar]
- Jackson, S.E.; Beard, E.; Angus, C.; Field, M.; Brown, J. Moderators of changes in smoking, drinking and quitting behaviour associated with the first COVID-19 lockdown in England. Addiction 2022, 117, 772–783. [Google Scholar]
- Cerrai, S.; Carreras, G.; Monti, F.; Stival, C.; Lugo, A.; Bosetti, C.; Biagioni, S.; Fanucchi, T.; Gorini, G.; Amerio, A.; et al. Changes in Alcohol Consumption During and After the COVID-19 Pandemic From 2020 to 2023 in a Prospective Cohort of Italian Adults. J. Epidemiol. 2024, 35, 63–70. [Google Scholar] [PubMed]
- Emslie, C.; Hunt, K.; Lyons, A. Transformation and time-out: The role of alcohol in identity construction among Scottish women in early midlife. Int. J. Drug Policy 2015, 26, 437–445. [Google Scholar] [PubMed]
- Craig, L.; Churchill, B. Dual-earner parent couples’ work and care during COVID-19. Gend. Work Organ. 2021, 28 (Suppl. S1), 66–79. [Google Scholar] [PubMed]
- Sakuragi, T.; Tanaka, R.; Tsuji, M.; Tateishi, S.; Hino, A.; Ogami, A.; Nagata, M.; Matsuda, S.; Fujino, Y. Gender differences in housework and childcare among Japanese workers during the COVID-19 pandemic. J. Occup. Health 2022, 64, e12339. [Google Scholar]
- Farré, L.; Fawaz, Y.; González, L.; Graves, J. Gender Inequality in Paid and Unpaid Work During COVID-19 Times. Rev. Income Wealth 2022, 68, 323–347. [Google Scholar]
- Xiong, J.; Lipsitz, O.; Nasri, F.; Lui, L.M.W.; Gill, H.; Phan, L.; Chen-Li, D.; Iacobucci, M.; Ho, R.; Majeed, A.; et al. Impact of COVID-19 pandemic on mental health in the general population: A systematic review. J. Affect. Disord. 2020, 277, 55–64. [Google Scholar]
- Guinle, M.I.B.; Sinha, R. The Role of Stress, Trauma, and Negative Affect in Alcohol Misuse and Alcohol Use Disorder in Women. Alcohol Res. 2020, 40, 5. [Google Scholar]
- Anderson, K.C.; Mardian, T.; Stephenson, B.; Grammer, E.E.; Stahl, M.E.; Weeldreyer, N.R.; Liu, Z.; Love, K.M.; Kranz, S.; Allen, J.D.; et al. The Impact of Exercise Intensity and Sex on Endogenous Ghrelin Levels and Appetite in Healthy Humans. J. Endocr. Soc. 2024, 8, bvae165. [Google Scholar]
- Di Renzo, L.; Gualtieri, P.; Pivari, F.; Soldato, L.; Attinà, A.; Cinelli, G.; Leggeri, C.; Caparello, G.; Barrea, L.; Scerbo, F.; et al. Eating habits and lifestyle changes during COVID-19 lockdown: An Italian survey. J. Transl. Med. 2020, 18, 229. [Google Scholar]
- Ochi, S.; So, M.; Hashimoto, S.; Hashimoto, Y.; Sekizawa, Y. Impact of the COVID-19 pandemic on exercise habits and overweight status in Japan: A nation-wide panel survey. PLoS Glob. Public Health 2023, 3, e0001732. [Google Scholar]




| Questions | Answers |
|---|---|
| A. Exercise habits | |
| Have you been in the habit of exercising to sweat lightly for over 30 min a time, 2 times weekly, for over a year? | 1. Yes 2. No |
| B. Physical activity | |
| In your daily life, do you walk or do any equivalent amount of physical activity for more than one hour a day? | 1. Yes 2. No |
| C. Snacking frequency | |
| Do you eat snacks or drink sweet beverages between meals? | 1. Everyday 2. Sometimes 3. Rarely eat |
| D. Frequency of alcohol consumption | |
| How often do you drink? (Sake, shochu, beer, wine, whisky, brandy, etc.) | 1. Everyday 2. Sometimes 3. Rarely eat |
| E. Amount of alcohol consumed per day | |
| How much do you drink per day? Sake (180 mL), beer (500 mL), shochu 25% (110 mL), double whisky (60 mL), two glasses of wine (240 mL) | 1. Less than 180 mL 2. 180–360 mL 3. 360–540 mL 4. More than 540 mL |
| F. Motivation to improve lifestyle habits | |
| Do you want to improve your life habits of eating and exercising? | 1. Do not want to 2. Want to (within 6 months) 3. Want to improve in near future (within a month) and began to change 4. Already trying to improve (less than 6 months) 5. Already trying to improve (over 6 months) |
| Before-Lockdown Group | After-Lockdown Group | p Value | |
|---|---|---|---|
| (n = 279) | (n = 273) | ||
| Patients’ profiles | |||
| Age [years] | 46 [40, 52] | 48 [42, 54] | |
| Gender [male % (n)/female % (n)] | 55.6 (155)/44.4 (124) | 57.5 (157)/42.5 (116) | 0.643 |
| Height [cm] | 165 [158, 172] | 166 [160, 171] | 0.954 |
| Weight [kg] | 65 [56, 72] | 65 [57, 74] | 0.399 |
| BMI | 24 [21, 26] | 24 [22, 26] | 0.351 |
| Waist circumference [cm] | 83 [77, 89] | 84 [77, 89] | 0.648 |
| SBP [mmHg] | 119 [107, 128] | 119 [110, 132] | 0.076 |
| DBP [mmHg] | 72 [63, 80] | 74 [65, 84] | * <0.05 |
| PR [/min] | 70 [64, 75] | 68 [63, 74] | 0.263 |
Disclaimer/Publisher’s Note: The statements, opinions and data contained in all publications are solely those of the individual author(s) and contributor(s) and not of MDPI and/or the editor(s). MDPI and/or the editor(s) disclaim responsibility for any injury to people or property resulting from any ideas, methods, instructions or products referred to in the content. |
© 2025 by the authors. Licensee MDPI, Basel, Switzerland. This article is an open access article distributed under the terms and conditions of the Creative Commons Attribution (CC BY) license (https://creativecommons.org/licenses/by/4.0/).
Share and Cite
Nishida, C.; Honda, H.; Otsuka, Y.; Hagiya, H.; Nakano, Y.; Oguni, K.; Tokumasu, K.; Sakurada, Y.; Obika, M.; Otsuka, F. Impact of Lifestyle Changes on Body Weight Gain During Nationwide Lockdown Due to COVID-19 Pandemic. J. Clin. Med. 2025, 14, 2242. https://doi.org/10.3390/jcm14072242
Nishida C, Honda H, Otsuka Y, Hagiya H, Nakano Y, Oguni K, Tokumasu K, Sakurada Y, Obika M, Otsuka F. Impact of Lifestyle Changes on Body Weight Gain During Nationwide Lockdown Due to COVID-19 Pandemic. Journal of Clinical Medicine. 2025; 14(7):2242. https://doi.org/10.3390/jcm14072242
Chicago/Turabian StyleNishida, Chisa, Hiroyuki Honda, Yuki Otsuka, Hideharu Hagiya, Yasuhiro Nakano, Kohei Oguni, Kazuki Tokumasu, Yasue Sakurada, Mikako Obika, and Fumio Otsuka. 2025. "Impact of Lifestyle Changes on Body Weight Gain During Nationwide Lockdown Due to COVID-19 Pandemic" Journal of Clinical Medicine 14, no. 7: 2242. https://doi.org/10.3390/jcm14072242
APA StyleNishida, C., Honda, H., Otsuka, Y., Hagiya, H., Nakano, Y., Oguni, K., Tokumasu, K., Sakurada, Y., Obika, M., & Otsuka, F. (2025). Impact of Lifestyle Changes on Body Weight Gain During Nationwide Lockdown Due to COVID-19 Pandemic. Journal of Clinical Medicine, 14(7), 2242. https://doi.org/10.3390/jcm14072242

