Characterizing Urine and Sediment in Individuals with Lower Urinary Tract Dysfunction Utilizing Intermittent Catheters
Abstract
1. Introduction
2. Materials and Methods
2.1. Study Design
2.2. Sample Collection and Test Procedures
2.3. Urine Sediment Analysis Methods
2.4. Physicochemical and Microbiological Analysis
2.5. Statistical Analysis
3. Results
3.1. Urine Characteristics
3.2. Urine Sediment Analysis
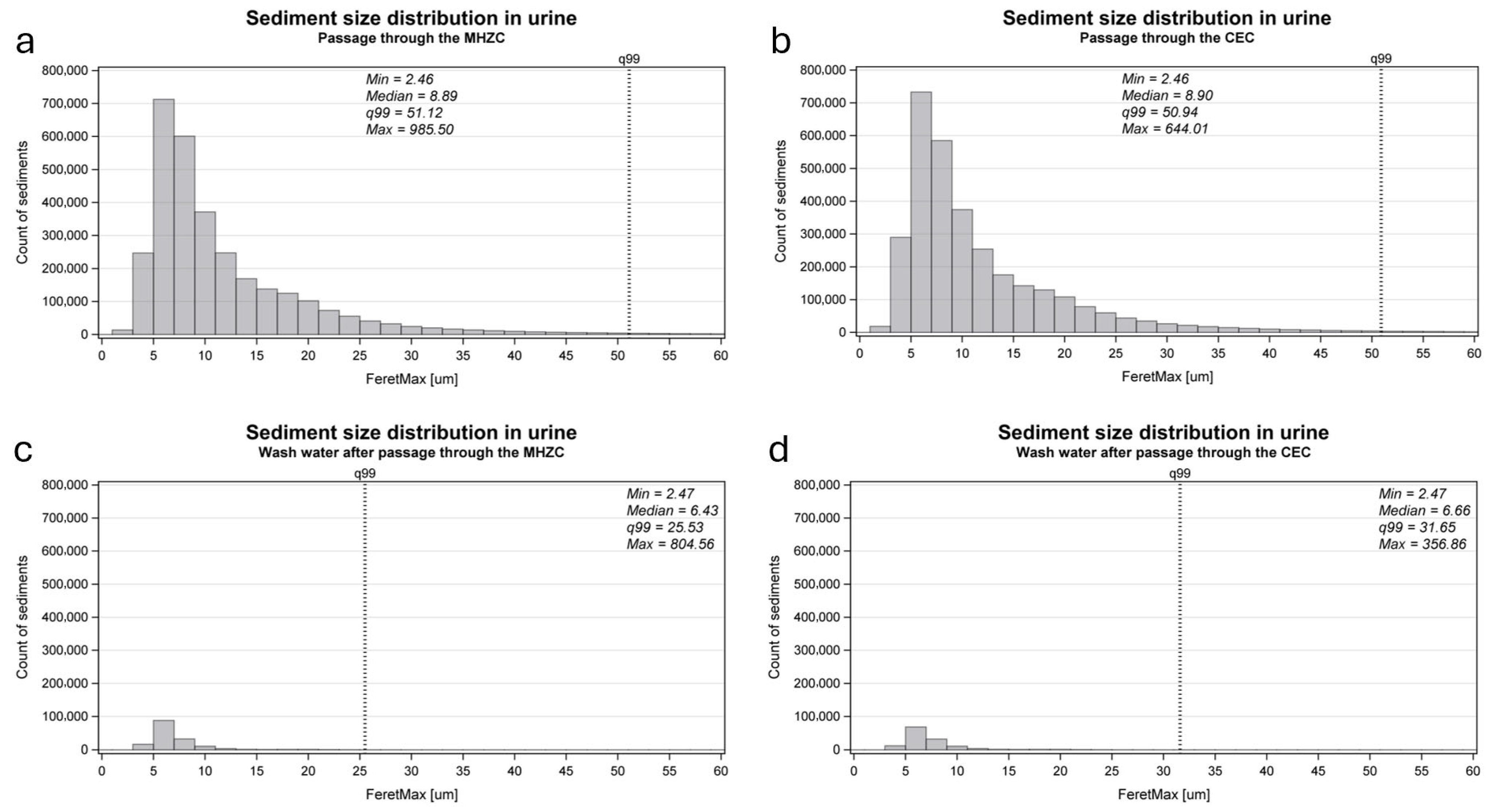
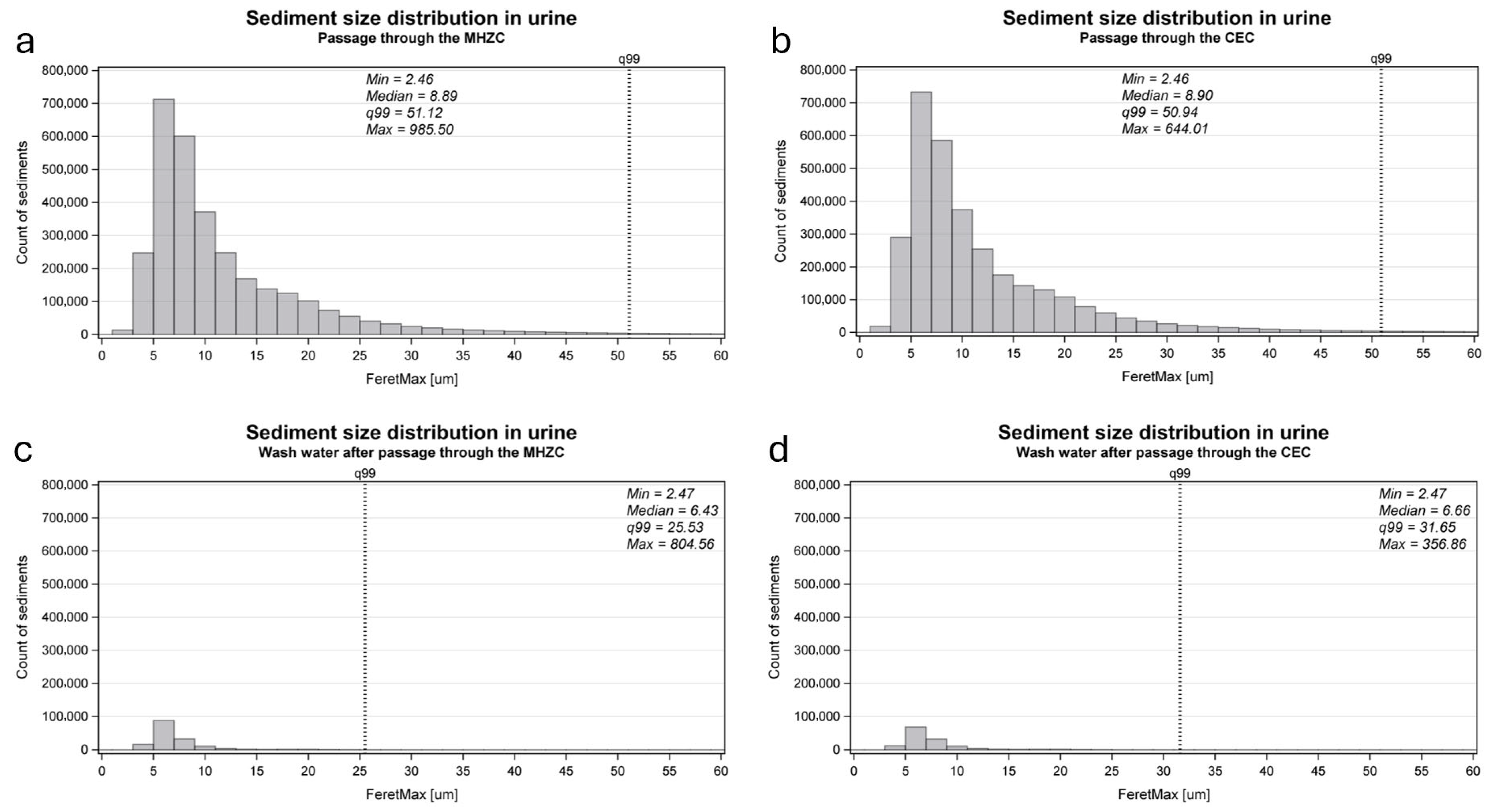
3.3. Sediment Size Distribution
3.4. Visual Assessment of Largest Particles
4. Discussion
4.1. Characteristics of Urine and Sediment in IC Users
4.2. Sediment Drainage by Intermittent Catheters
4.3. Future Directions
5. Conclusions
Supplementary Materials
Author Contributions
Funding
Institutional Review Board Statement
Informed Consent Statement
Data Availability Statement
Acknowledgments
Conflicts of Interest
Abbreviations
| CEC | Conventional Eyelet Catheter |
| CH | Charrière |
| HCP | Healthcare Professional |
| IC | Intermittent Catheterisation |
| IFU | Information For Users |
| LUTD | Lower Urinary Tract Dysfunction |
| MHZC | Micro-Hole Zone Catheter |
| MS | Multiple Sclerosis |
| SCI | Spinal Cord Injury |
| SD | Standard Deviation |
| UTI | Urinary Tract Infection |
References
- Weld, K.J.; Dmochowski, R.R. Effect of bladder management on urological complications in spinal cord injured patients. J. Urol. 2000, 163, 768–772. [Google Scholar] [CrossRef]
- Averbeck, M.A.; Kennelly, M.; Thiruchelvam, N.; Konstantinidis, C.; Chartier-Kastler, E.; Krassioukov, A.; Landauro, M.; Jacobsen, L.; Vaabengaard, R.; Islamoska, S. Risk factors for urinary tract infections associated with lower quality of life among intermittent catheter users. Br. J. Nurs. 2023, 32, S8–S16. [Google Scholar] [CrossRef] [PubMed]
- Averbeck, M.A.; Madersbacher, H. Follow-up of the neuro-urological patient: A systematic review. BJU Int. 2015, 115, 39–46. [Google Scholar] [CrossRef] [PubMed]
- Kennelly, M.; Thiruchelvam, N.; Averbeck, M.A.; Konstatinidis, C.; Chartier-Kastler, E.; Trøjgaard, P.; Vaabengaard, R.; Krassioukov, A.; Jakobsen, B.P. Adult Neurogenic Lower Urinary Tract Dysfunction and Intermittent Catheterisation in a Community Setting: Risk Factors Model for Urinary Tract Infections. Adv. Urol. 2019, 2019, 2757862. [Google Scholar] [CrossRef]
- Krebs, J.; Bartel, P.; Pannek, J. Residual urine volumes after intermittent catheterization in men with spinal cord injury. Spinal Cord. 2013, 51, 776–779. [Google Scholar] [CrossRef]
- Tentor, F.; Schrøder, B.G.; Nielsen, S.; Schertiger, L.; Stærk, K.; Andersen, T.E.; Bagi, P.; Nielsen, L.F. Development of an ex-vivo porcine lower urinary tract model to evaluate the performance of urinary catheters. Sci. Rep. 2022, 12, 17818. [Google Scholar] [CrossRef] [PubMed]
- Schrøder, B.; Tentor, F.; Miclăuş, T.; Stærk, K.; Andersen, T.E.; Spinelli, M.; Rendeli, C.; Del Popolo, G.; Bagi, P.; Nielsen, L.F. New micro-hole zone catheter reduces residual urine and mucosal microtrauma in a lower urinary tract model. Sci Rep. 2024, 14, 2268. [Google Scholar] [CrossRef]
- Subramanian, V.; Hughes, P.; Soni, B. Large amounts of debris in the neuropathic bladder in persons with spinal cord injury; value of ultrasound scan in detection and management of vesical debris. Radiol. Case Rep. 2022, 17, 2784–2789. [Google Scholar] [CrossRef]
- Delanghe, J.; Speeckaert, M. Preanalytical requirements of urinalysis. Biochem. Medica 2014, 24, 89–104. [Google Scholar] [CrossRef]
- Dolscheid-Pommerich, R.C.; Klarmann-Schulz, U.; Conrad, R.; Stoffel-Wagner, B.; Zur, B. Evaluation of the appropriate time period between sampling and analyzing for automated urinalysis. Biochem. Medica 2016, 26, 82–89. [Google Scholar] [CrossRef]
- Fogazzi, G.B.; Delanghe, J. Microscopic examination of urine sediment: Phase contrast versus bright field. Clin. Chim. Acta 2018, 487, 168–173. [Google Scholar] [CrossRef]
- Fogazzi, G.B.; Garigali, G.; Abinti, M.; Lieti, G.; Verdesca, S. An updated approach to the evaluation of the urinary sediment. Pediatr. Nephrol. 2024, 40, 933–945. [Google Scholar] [CrossRef]
- Kouri, T.T.; Hofmann, W.; Falbo, R.; Oyaert, M.; Schubert, S.; Gertsen, J.B.; Merens, A.; Pestel-Caron, M. The EFLM European Urinalysis Guideline 2023. Clin. Chem. Lab. Med. 2024, 62, 1653–1786. [Google Scholar] [CrossRef]
- Oyaert, M.; Delanghe, J. Progress in Automated Urinalysis. Ann. Lab. Med. 2019, 39, 15–22. [Google Scholar] [CrossRef] [PubMed]
- Fogazzi, G.B. The Urinary Sediment: An Integrated View; Edra: Milan, Italy, 2010. [Google Scholar]
- Fogazzi, G.B. Crystalluria: A neglected aspect of urinary sediment analysis. Nephrol. Dial. Transplant. 1996, 11, 379–387. [Google Scholar] [CrossRef] [PubMed][Green Version]
- Lee, A.-J.; Yoo, E.-H.; Bae, Y.-C.; Jung, S.; Jeon, C.-H. Differential identification of urine crystals with morphologic characteristics and solubility test. J. Clin. Lab. Anal. 2022, 36, e24707. [Google Scholar] [CrossRef]
- Cavanaugh, C.; Perazella, M.A. Urine Sediment Examination in the Diagnosis and Management of Kidney Disease: Core Curriculum 2019. Am. J. Kidney Dis. 2019, 73, 258–272. [Google Scholar] [CrossRef] [PubMed]
- Shastri, S.; Patel, J.; Sambandam, K.K.; Lederer, E.D. Kidney Stone Pathophysiology, Evaluation and Management: Core Curriculum 2023. Am. J. Kidney Dis. 2023, 82, 617–634. [Google Scholar] [CrossRef]
- Antley, M.H.; Chalmers, D.; Ramanand, A.; Cohen, L.H.; Velez, J.C.; Janech, M.G. Dimensions of muddy brown granular casts in patients with acute tubular injury. Am. J. Med. Sci. 2024, 368, 196–202. [Google Scholar] [CrossRef]
- Elliot, J.S.; Rabinowitz, I.N. Calcium oxalate crystalluria: Crystal size in urine. J. Urol. 1980, 123, 324–327. [Google Scholar] [CrossRef]
- Hopsort, G.; Latapie, L.; Serrano, K.G.; Loubière, K.; Tzedakis, T. Deciphering the human urine matrix: A new approach to simultaneously quantify the main ions and organic compounds by ion chromatography/mass spectrometry (IC-MS). Anal. Bioanal. Chem. 2023, 415, 5337–5352. [Google Scholar] [CrossRef]
- Kranz, J.; Bartoletti, R.; Bruyère, F.; Cai, T.; Geerlings, S.; Köves, B.; Schubert, S.; Pilatz, A.; Veeratterapillay, R.; E Wagenlehner, F.M.; et al. European Association of Urology Guidelines on Urological Infections: Summary of the 2024 Guidelines. Eur. Urol. 2024, 86, 27–41. [Google Scholar] [CrossRef] [PubMed]
- GBD Spinal Cord Injuries Collaborators. Global, regional, and national burden of spinal cord injury, 1990–2019: A systematic analysis for the Global Burden of Disease Study 2019. Lancet Neurol. 2023, 22, 1026–1047. [Google Scholar] [CrossRef] [PubMed]
- Inman, B.A.; Etienne, W.; Rubin, R.; Owusu, R.A.; Oliveira, T.R.; Rodriques, D.B.; Maccarini, P.F.; Stauffer, P.R.; Mashal, A.; Dewhirst, M.W. The impact of temperature and urinary constituents on urine viscosity and its relevance to bladder hyperthermia treatment. Int. J. Hyperth. 2013, 29, 206–210. [Google Scholar] [CrossRef] [PubMed]
- Shirreffs, S.M.; Maughan, R.J. Urine osmolality and conductivity as indices of hydration status in athletes in the heat. Med. Sci. Sports Exerc. 1998, 30, 1598–1602. [Google Scholar] [CrossRef]
- Fazil Marickar, Y.M. Electrical conductivity and total dissolved solids in urine. Urol. Res. 2010, 38, 233–235. [Google Scholar] [CrossRef]
- Maïmoun, L.; Fattal, C.; Sultan, C. Bone remodeling and calcium homeostasis in patients with spinal cord injury: A review. Metab. Clin. Exp. 2011, 60, 1655–1663. [Google Scholar] [CrossRef]
- Bakke, A.; Digranes, A. Bacteriuria in patients treated with clean intermittent catheterization. Scand. J. Infect. Dis. 1991, 23, 577–582. [Google Scholar] [CrossRef]
- Nicolle, L.E.; Gupta, K.; Bradley, S.F.; Colgan, R.; DeMuri, G.P.; Drekonja, D.; Eckert, L.O.; Geerlings, S.E.; Köves, B.; Hooton, T.M.; et al. Clinical Practice Guideline for the Management of Asymptomatic Bacteriuria: 2019 Update by the Infectious Diseases Society of America. Clin. Infect. Dis. 2019, 68, 83–110. [Google Scholar] [CrossRef]





| Inclusion criteria | |
|---|---|
| Group A | Group B, C, and D |
| Has given written informed consent | Has given written informed consent |
| Has full legal capacity | Has full legal capacity |
| Has been diagnosed with a SCI within the last 3 months | For B: has been diagnosed with SCI for more than 3 months For C: has been diagnosed with MS For D: has not been diagnosed with SCI or MS but is using IC for any other reason |
| Is hospitalized at a rehabilitation center/hospital | Has been using IC daily (but not necessarily exclusively) for bladder emptying, for at least 3 months |
| Is using IC as a primary method for bladder emptying | Can perform self-catheterization |
| Can use a 2-eyelet catheter, minimum size CH12 for IC | Is using a two-eyelet catheter, minimum size CH12, for IC |
| Exclusion criteria (all groups) | |
| Has previously participated in this study | |
| Has a recent (within 2 years) history of stone formation (kidney stones or bladder stones) | |
| Has a Neobladder or an augmented bladder | |
| Physicochemical Characteristics | Group A, Mean (SD) N = 11 | Group B, Mean (SD) N = 11 | Group C, Mean (SD) N = 9 | Group D, Mean (SD) N = 22 | Total Mean (SD) |
|---|---|---|---|---|---|
| pH (pH meter) | 6.26 (0.83) | 6.54 (0.66) | 6.59 (0.88) | 5.96 (0.66) | 6.25 (0.78) |
| Viscosity (mPa/s) | 0.79 (0.08) | 0.71 (0.02) | 0.72 (0.03) | 0.72 (0.03) | 0.73 (0.05) |
| Density (G/cm3) | 1.01 (0.01) | 1.00 (0.01) | 1.00 (0.01) | 1.00 (0.01) | 1.00 (0.01) |
| Osmolality (mOsm/Kg) | 481 (205) | 256 (133) | 296 (204) | 345 (161) | 346 (188) |
| Conductivity (mS/cm) | 12.38 (5.29) | 8.21 (3.59) | 8.23 (4.54) | 9.69 (3.77) | 9.70 (4.44) |
| Bacterial Strain *, Count of Positives (%) | Group A (n = 11) | Group B (n = 11) | Group C (n = 9) | Group D (n = 22) |
|---|---|---|---|---|
| Escherichia coli | 6 (54.5) | 6 (54.5) | 4 (44.4) | 10 (45.5) |
| Klebsiella species | 4 (36.4) | 1 (9.1) | 1 (11.1) | 4 (18.1) |
| Enterobacter species | 0 (0.0) | 1 (9.1) | 0 (0.0) | 0 (0.0) |
| Proteus species | 0 (0.0) | 0 (0.0) | 0 (0.0) | 1 (4.5) |
| Proteus vulgaris | 0 (0.0) | 0 (0.0) | 0 (0.0) | 0 (0.0) |
| Pseudomonas aeruginosa | 0 (0.0) | 1 (9.1) | 0 (0.0) | 4 (18.1) |
| Enterococcus faecalis | 5 (45.5) | 3 (27.3) | 1 (11.1) | 7 (31.8) |
| Enterococcus faecium | 0 (0.0) | 1 (9.1) | 1 (11.1) | 1 (4.5) |
| Staphylococcus saprophyticus | 1 (9.1) | 1 (9.1) | 2 (22.2) | 5 (22.7) |
| Candida species | 1 (9.1) | 5 (45.5) | 4 (44.4) | 3 (13.6) |
| Other strains | 0 (0.0) | 0 (0.0) | 0 (0.0) | 1 (4.5) |
| Bacteria identified in urine ** | 10 (90.9) | 10 (90.9) | 9 (100) | 20 (90.9) |
| Bacteriuria ***, ≥103 CFU/mL | 6 (54.5) | 7 (64.6) | 4 (66.7) | 17 (77.3) |
| Mean bacterial count, CFU/mL (SD) | 2.4 × 107 (4.1 × 107) | 8.2 × 104 (2.2 × 105) | 9.3 × 106 (1.7 × 107) | 2.1 × 107 (3.7 × 107) |
Disclaimer/Publisher’s Note: The statements, opinions and data contained in all publications are solely those of the individual author(s) and contributor(s) and not of MDPI and/or the editor(s). MDPI and/or the editor(s) disclaim responsibility for any injury to people or property resulting from any ideas, methods, instructions or products referred to in the content. |
© 2025 by the authors. Licensee MDPI, Basel, Switzerland. This article is an open access article distributed under the terms and conditions of the Creative Commons Attribution (CC BY) license (https://creativecommons.org/licenses/by/4.0/).
Share and Cite
Bagi, P.; Kruuse, C.; Forman, C.; Suldvart, B.; Jacobsen, L.; Averbeck, M.A.; Kennelly, M.; Thiruchelvam, N.; Chartier-Kastler, E.; Konstantinidis, C.; et al. Characterizing Urine and Sediment in Individuals with Lower Urinary Tract Dysfunction Utilizing Intermittent Catheters. J. Clin. Med. 2025, 14, 8485. https://doi.org/10.3390/jcm14238485
Bagi P, Kruuse C, Forman C, Suldvart B, Jacobsen L, Averbeck MA, Kennelly M, Thiruchelvam N, Chartier-Kastler E, Konstantinidis C, et al. Characterizing Urine and Sediment in Individuals with Lower Urinary Tract Dysfunction Utilizing Intermittent Catheters. Journal of Clinical Medicine. 2025; 14(23):8485. https://doi.org/10.3390/jcm14238485
Chicago/Turabian StyleBagi, Per, Christina Kruuse, Christian Forman, Betina Suldvart, Lotte Jacobsen, Marcio Augusto Averbeck, Michael Kennelly, Nikesh Thiruchelvam, Emmanuel Chartier-Kastler, Charalampos Konstantinidis, and et al. 2025. "Characterizing Urine and Sediment in Individuals with Lower Urinary Tract Dysfunction Utilizing Intermittent Catheters" Journal of Clinical Medicine 14, no. 23: 8485. https://doi.org/10.3390/jcm14238485
APA StyleBagi, P., Kruuse, C., Forman, C., Suldvart, B., Jacobsen, L., Averbeck, M. A., Kennelly, M., Thiruchelvam, N., Chartier-Kastler, E., Konstantinidis, C., Krassioukov, A., & Nielsen, L. F. (2025). Characterizing Urine and Sediment in Individuals with Lower Urinary Tract Dysfunction Utilizing Intermittent Catheters. Journal of Clinical Medicine, 14(23), 8485. https://doi.org/10.3390/jcm14238485

