Pain Relief, Disability, and Hospital Costs After Intradiscal Ozone Treatment or Microdiscectomy for Lumbar Disc Herniation: A 24-Month Real-World Prospective Study
Abstract
1. Introduction
2. Materials and Methods
2.1. Interventions
2.2. Outcome Measures
2.3. Statistical Analysis
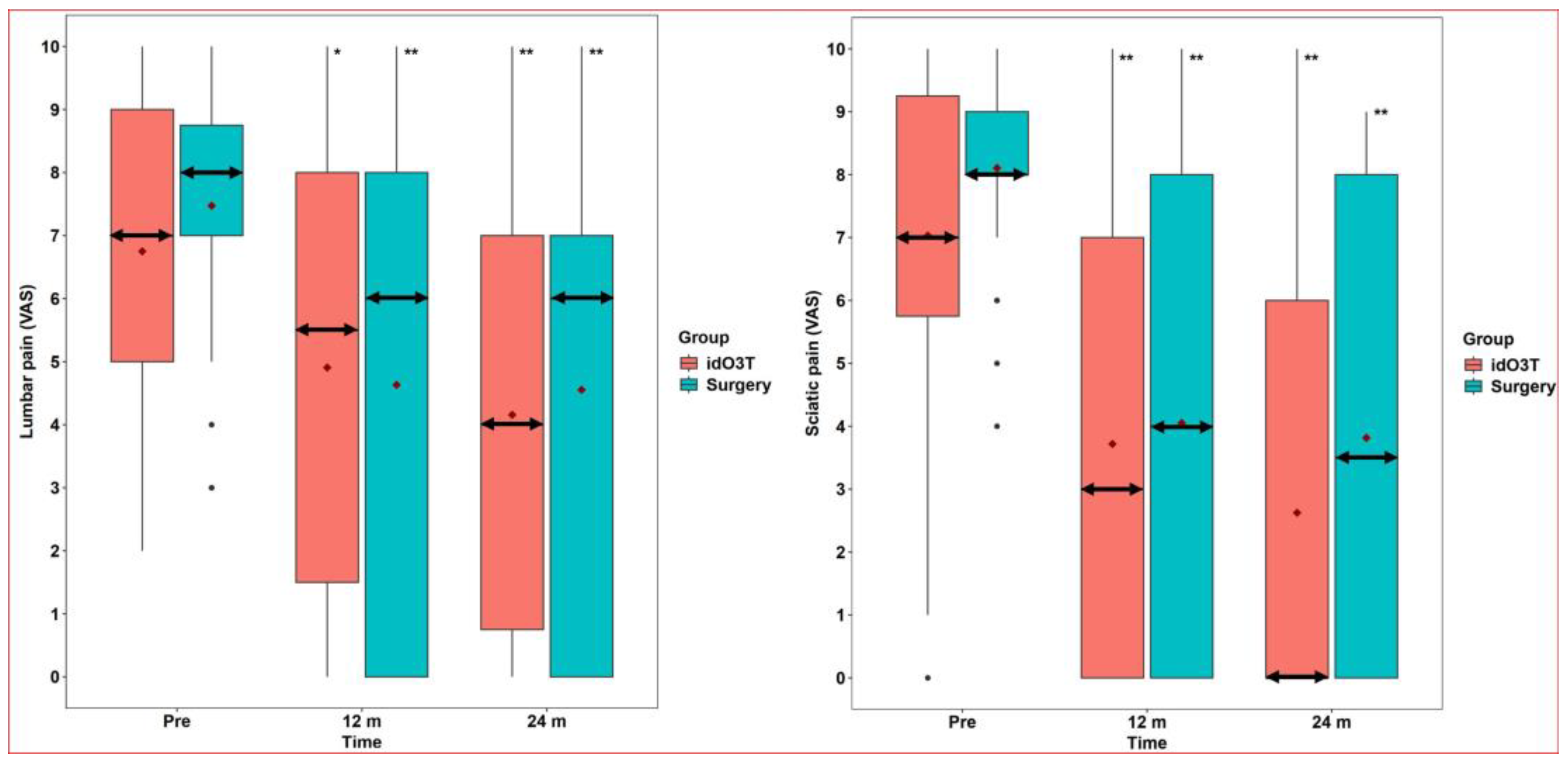
3. Results
4. Discussion
5. Conclusions
Author Contributions
Funding
Institutional Review Board Statement
Informed Consent Statement
Data Availability Statement
Acknowledgments
Conflicts of Interest
Abbreviations
| CT | computed tomography |
| GBD | global burden of disease |
| HRQOL | health-related quality of life |
| idO3T | intradiscal ozone therapy |
| LBP | low back pain |
| LDH | lumbar disc herniation |
| MRI | magnetic resonance imaging |
| QALYs | quality-adjusted life years |
| RCT | randomized controlled trial |
References
- Vos, T.; GBD 2019 Diseases and Injuries Collaborators. Global burden of 369 diseases and injuries in 204 countries and territories, 1990–2019: A systematic analysis for the Global Burden of Disease Study 2019. Lancet 2020, 396, 1204–1222. [Google Scholar] [CrossRef]
- Safiri, S.; Kolahi, A.A.; Cross, M.; Hill, C.; Smith, E.; Carson-Chahhoud, K.; Mansournia, M.A.; Almasi-Hashiani, A.; Ashrafi-Asgarabad, A.; Kaufman, J.; et al. Prevalence, Deaths, and Disability-Adjusted Life Years Due to Musculoskeletal Disorders for 195 Countries and Territories 1990–2017. Arthritis Rheumatol. 2021, 73, 702–714. [Google Scholar] [CrossRef] [PubMed]
- Wu, A.; March, L.; Zheng, X.; Huang, J.; Wang, X.; Zhao, J.; Blyth, F.M.; Smith, E.; Buchbinder, R.; Hoy, D. Global low back pain prevalence and years lived with disability from 1990 to 2017: Estimates from the Global Burden of Disease Study 2017. Ann. Transl. Med. 2020, 8, 299. [Google Scholar] [CrossRef]
- Dieleman, J.L.; Cao, J.; Chapin, A.; Chen, C.; Li, Z.; Liu, A.; Horst, C.; Kaldjian, A.; Matyasz, T.; Scott, K.W.; et al. US Health Care Spending by Payer and Health Condition, 1996–2016. JAMA 2020, 323, 863–884. [Google Scholar] [CrossRef] [PubMed]
- Beall, D.P.; Kim, K.D.; Macadaeg, K.; Donboli, K.; Chauhan, K.; Sowlay, M.; Guo, A.; Vaccaro, A. Treatment Gaps and Emerging Therapies in Lumbar Disc Herniation. Pain. Physician 2024, 27, 401–413. [Google Scholar] [CrossRef] [PubMed]
- Kogl, N.; Petr, O.; Loscher, W.; Liljenqvist, U.; Thome, C. Lumbar Disc Herniation-the Significance of Symptom Duration for the Indication for Surgery. Dtsch. Arztebl. Int. 2024, 121, 440–448. [Google Scholar]
- Sayed, D.; Grider, J.; Strand, N.; Hagedorn, J.M.; Falowski, S.; Lam, C.M.; Tieppo Francio, V.; Beall, D.P.; Tomycz, N.D.; Davanzo, J.R.; et al. The American Society of Pain and Neuroscience (ASPN) Evidence-Based Clinical Guideline of Interventional Treatments for Low Back Pain. J. Pain. Res. 2022, 15, 3729–3832. [Google Scholar]
- Chang, M.C.; Choo, Y.J.; Denis, I.; Mares, C.; Majdalani, C.; Yang, S. Effectiveness of intradiscal ozone injections for treating pain following herniated lumbar disc: A systematic review and meta-analysis. J. Back. Musculoskelet. Rehabil. 2024, 37, 1131–1139. [Google Scholar] [CrossRef]
- Magalhaes, F.N.; Dotta, L.; Sasse, A.; Teixera, M.J.; Fonoff, E.T. Ozone therapy as a treatment for low back pain secondary to herniated disc: A systematic review and meta-analysis of randomized controlled trials. Pain. Physician 2012, 15, E115–E129. [Google Scholar]
- Migliorini, F.; Maffulli, N.; Eschweiler, J.; Bestch, M.; Tingart, M.; Baroncini, A. Ozone injection therapy for intervertebral disc herniation. Br. Med. Bull. 2020, 136, 88–106. [Google Scholar] [CrossRef]
- Perri, M.; Marsecano, C.; Varrassi, M.; Giordano, A.V.; Splendiani, A.; di Cesare, E.; Masciocchi, C.; Gallucci, M. Indications and efficacy of O2-O3 intradiscal versus steroid intraforaminal injection in different types of disco vertebral pathologies: A prospective randomized double-blind trial with 517 patients. Radiol. Med. 2016, 121, 463–471. [Google Scholar] [CrossRef] [PubMed]
- Clavo, B.; Robaina, F.; Urrutia, G.; Bisshopp, S.; Ramallo, Y.; Szolna, A.; Carames, M.A.; Fiuza, M.D.; Linertova, R. Ozone therapy versus surgery for lumbar disc herniation: A randomized double-blind controlled trial. Complement. Ther. Med. 2021, 59, 102724. [Google Scholar] [CrossRef] [PubMed]
- Kelekis, A.; Bonaldi, G.; Cianfoni, A.; Filippiadis, D.; Scarone, P.; Bernucci, C.; Hooper, D.M.; Benhabib, H.; Murphy, K.; Buric, J. Intradiscal oxygen-ozone chemonucleolysis versus microdiscectomy for lumbar disc herniation radiculopathy: A non-inferiority randomized control trial. Spine J. 2022, 22, 895–909. [Google Scholar] [CrossRef]
- Perri, M.; Grattacaso, G.; di Tunno, V.; Marsecano, C.; Gennarelli, A.; Michelini, G.; Splendiani, A.; Di Cesare, E.; Masciocchi, C.; Gallucci, M. T2 shine-through phenomena in diffusion-weighted MR imaging of lumbar discs after oxygen-ozone discolysis: A randomized, double-blind trial with steroid and O2-O3 discolysis versus steroid only. Radiol. Med. 2015, 120, 941–950. [Google Scholar] [CrossRef]
- Melchionda, D.; Milillo, P.; Manente, G.; Stoppino, L.; Macarini, L. Treatment of radiculopathies: A study of efficacy and tollerability of paravertebral oxygen-ozone injections compared with pharmacological anti-inflammatory treatment. J. Biol. Regul. Homeost. Agents 2012, 26, 467–474. [Google Scholar]
- Paoloni, M.; Di Sante, L.; Cacchio, A.; Apuzzo, D.; Marotta, S.; Razzano, M.; Franzini, M.; Santilli, V. Intramuscular oxygen-ozone therapy in the treatment of acute back pain with lumbar disc herniation: A multicenter, randomized, double-blind, clinical trial of active and simulated lumbar paravertebral injection. Spine 2009, 34, 1337–1344. [Google Scholar] [CrossRef]
- Andreula, C.F.; Simonetti, L.; De Santis, F.; Agati, R.; Ricci, R.; Leonardi, M. Minimally invasive oxygen-ozone therapy for lumbar disk herniation. AJNR Am. J. Neuroradiol. 2003, 24, 996–1000. [Google Scholar]
- Paradiso, R.; Alexandre, A. The different outcomes of patients with disc herniation treated either by microdiscectomy, or by intradiscal ozone injection. Acta Neurochir. Suppl. 2005, 92, 139–142. [Google Scholar] [PubMed]
- Muralikuttan, K.P.; Hamilton, A.; Kernohan, W.G.; Mollan, R.A.; Adair, I.V. A prospective randomized trial of chemonucleolysis and conventional disc surgery in single level lumbar disc herniation. Spine 1992, 17, 381–387. [Google Scholar] [CrossRef]
- Brouwer, P.A.; Brand, R.; van den Akker-van Marle, M.E.; Jacobs, W.C.; Schenk, B.; van den Berg-Huijsmans, A.A.; Koes, B.W.; Arts, M.A.; van Buchem, M.A.; Peul, W.C. Percutaneous laser disc decompression versus conventional microdiscectomy for patients with sciatica: Two-year results of a randomised controlled trial. Interv. Neuroradiol. 2017, 23, 313–324. [Google Scholar] [CrossRef]
- Buric, J.; Rigobello, L.; Hooper, D. Five and ten year follow-up on intradiscal ozone injection for disc herniation. Int. J. Spine Surg. 2014, 8, 17. [Google Scholar] [CrossRef] [PubMed]
- Somma, F.; Negro, A.; D’Agostino, V.; Piscitelli, V.; Pace, G.; Tortora, M.; Tortora, F.; Gatta, G.; Caranci, F. COVID-19 and low back pain: Previous infections lengthen recovery time after intradiscal ozone therapy in patients with herniated lumbar disc. Radiol. Med. 2022, 127, 673–680. [Google Scholar] [CrossRef]
- Borroto-Rodríguez, V.; Abreu-Casas, D.; Rodríguez de la Paz, N.J.; Prieto-Jiménez, I.L.; Álvarez-Rosell, N. Economic study of the application of ozone therapy in the treatment of pain due to intervertebral disc herniation. Rev. Chil. Neurocirugía 2019, 45, 113–121. [Google Scholar]
- Murphy, K.; Elias, G.; Steppan, J.; Boxley, C.; Balagurunathan, K.; Victor, X.; Meaders, T.; Muto, M. Percutaneous Treatment of Herniated Lumbar Discs with Ozone: Investigation of the Mechanisms of Action. J. Vasc. Interv. Radiol. 2016, 27, 1242–1250.e3. [Google Scholar] [CrossRef]
- Grangeat, A.M.; Erario, M.L.A. The Use of Medical Ozone in Chronic Intervertebral Disc Degeneration Can Be an Etiological and Conservative Treatment. Int. J. Mol. Sci. 2023, 24, 6538. [Google Scholar] [CrossRef]
- Erario, M.L.A.; Croce, E.; Moviglia Brandolino, M.T.; Moviglia, G.; Grangeat, A.M. Ozone as Modulator of Resorption and Inflammatory Response in Extruded Nucleus Pulposus Herniation. Revising Concepts. Int. J. Mol. Sci. 2021, 22, 9946. [Google Scholar] [CrossRef] [PubMed]
- Lehnert, T.; Naguib, N.N.; Wutzler, S.; Nour-Eldin, N.E.; Bauer, R.W.; Kerl, J.M.; Vogl, T.J.; Balzer, J.O. Analysis of disk volume before and after CT-guided intradiscal and periganglionic ozone-oxygen injection for the treatment of lumbar disk herniation. J. Vasc. Interv. Radiol. 2012, 23, 1430–1436. [Google Scholar] [CrossRef]
- Bruno, F.; Smaldone, F.; Varrassi, M.; Arrigoni, F.; Barile, A.; Di Cesare, E.; Masciocchi, C.; Splendiani, A. MRI findings in lumbar spine following O2–O3 chemiodiscolysis: A long-term follow-up. Interv. Neuroradiol. 2017, 23, 444–450. [Google Scholar] [CrossRef]
- Giurazza, F.; Guarnieri, G.; Murphy, K.J.; Muto, M. Intradiscal O2O3: Rationale, Injection Technique, Short- and Long-term Outcomes for the Treatment of Low Back Pain Due to Disc Herniation. Can. Assoc. Radiol. J. 2017, 68, 171–177. [Google Scholar] [CrossRef]
- Hidalgo-Tallon, F.J.; Torres-Morera, L.M.; Baeza-Noci, J.; Carrillo-Izquierdo, M.D.; Pinto-Bonilla, R. Updated Review on Ozone Therapy in Pain Medicine. Front. Physiol. 2022, 13, 840623. [Google Scholar] [CrossRef]
- Vanni, D.; Galzio, R.; Kazakova, A.; Pantalone, A.; Sparvieri, A.; Salini, V.; Magliani, V. Intraforaminal ozone therapy and particular side effects: Preliminary results and early warning. Acta Neurochir. 2016, 158, 491–496. [Google Scholar] [CrossRef] [PubMed]
- Chen, X.; Chamoli, U.; Vargas Castillo, J.; Ramakrishna, V.A.S.; Diwan, A.D. Complication rates of different discectomy techniques for symptomatic lumbar disc herniation: A systematic review and meta-analysis. Eur. Spine J. 2020, 29, 1752–1770. [Google Scholar] [CrossRef] [PubMed]
- Shriver, M.F.; Xie, J.J.; Tye, E.Y.; Rosenbaum, B.P.; Kshettry, V.R.; Benzel, E.C.; Mroz, T.E. Lumbar microdiscectomy complication rates: A systematic review and meta-analysis. Neurosurg. Focus. 2015, 39, E6. [Google Scholar] [CrossRef] [PubMed]
- Virk, S.S.; Diwan, A.; Phillips, F.M.; Sandhu, H.; Khan, S.N. What is the Rate of Revision Discectomies After Primary Discectomy on a National Scale? Clin. Orthop. Relat. Res. 2017, 475, 2752–2762. [Google Scholar] [CrossRef]




Inclusion criteria
|
Exclusion criteria
|
| Initial Surgery | Initial idO3T a | ||||
|---|---|---|---|---|---|
| Median | Q1–Q3 b | Median | Q1–Q3 | p | |
| Total patients (N) | 38 | 32 | |||
| Female | 24 | 18 | |||
| Male | 14 | 14 | |||
| Age (years) | 43.5 | 37–50 | 42 | 36–52 | 0.773 |
| Weight (kg) | 75 | 67–82 | 73 | 68–87 | 0.701 |
| Day of recruitment | |||||
| Lumbar-pain-VAS | 8 | 7–9 | 7 | 5.75–8 | 0.143 |
| Sciatic-pain-VAS | 8 | 7–9 | 8 | 7–9.25 | 0.213 |
| Day of 1st treatment | |||||
| Lumbar-pain-VAS | 8 | 7–8.75 | 7 | 5–9 | 0.172 |
| Sciatic-pain-VAS | 8 | 8–9 | 7 | 5.75–9.25 | 0.242 |
| RMDQ | 16.5 | 13–19.75 | 14.5 | 10–19.25 | 0.402 |
| Days from recruitment to treatment | 71 | 43–131 | 51 | 28–71 | 0.019 * |
| Lumbar-pain-VAS after 1st treatment | |||||
| 1 Month | 5 | 2.25–6 | 6 | 3.75–7 | 0.222 |
| 3 Months | 5 | 1.25–7 | 5 | 2–7.25 | 0.845 |
| 6 Months | 6 | 1–8 | 6 | 2.5–8 | 0.780 |
| 12 Months | 6 | 0–8 | 5.5 | 1.5–8 | 0.751 |
| 24 Months | 6 | 0–7 | 4 | 0.75–7 | 0.53 |
| Sciatic-pain-VAS after 1st treatment | |||||
| 1 Month | 2.5 | 0–6 | 6 | 2.75–8 | 0.023 * |
| 3 Months | 2.5 | 0–6.75 | 4 | 1–7 | 0.395 |
| 6 Months | 5 | 0–7 | 4 | 0.75–6.25 | 0.967 |
| 12 Months | 4 | 0–8 | 3 | 0–7 | 0.651 |
| 24 Months | 3.5 | 0–8 | 0 | 0–6 | 0.164 |
| RMDQ after 1st treatment | |||||
| 1 Month | 8.5 | 6–16.75 | 12 | 4–16 | 0.768 |
| 3 Months | 7.5 | 4–12.25 | 7 | 3–14.5 | 0.915 |
| 6 Months | 9 | 3.25–17 | 6 | 3–12.5 | 0.527 |
| 12 Months | 9 | 3.25–17.75 | 6 | 2–16 | 0.436 |
| 24 Months | 10.5 | 3–15.75 | 6.5 | 2–16 | 0.376 |
| Hospital admission days | |||||
| 12 Months | 2 | 2–3 | 0 | 0–2 | <0.001 ** |
| 24 Months | 2.5 | 2–3 | 0.5 | 0–2 | <0.001 ** |
| Direct hospital costs (euros) | |||||
| 12 Months | 4156 | 3605–4663 | 1274 | 1274–5587 | 0.040 * |
| 24 Months | 4330 | 3632–5404 | 2758 | 1274–6541 | 0.101 |
| Surgeries at 24 months (N (%)) | 38 (100%) | 15 (47%) | <0.001 ** | ||
Disclaimer/Publisher’s Note: The statements, opinions and data contained in all publications are solely those of the individual author(s) and contributor(s) and not of MDPI and/or the editor(s). MDPI and/or the editor(s) disclaim responsibility for any injury to people or property resulting from any ideas, methods, instructions or products referred to in the content. |
© 2025 by the authors. Licensee MDPI, Basel, Switzerland. This article is an open access article distributed under the terms and conditions of the Creative Commons Attribution (CC BY) license (https://creativecommons.org/licenses/by/4.0/).
Share and Cite
Bisshopp, S.; Linertová, R.; Caramés, M.A.; Szolna, A.; Jorge, I.J.; Navarro, M.; Melchiorsen, B.; Rodríguez-Díaz, B.; González-Martín, J.M.; Clavo, B. Pain Relief, Disability, and Hospital Costs After Intradiscal Ozone Treatment or Microdiscectomy for Lumbar Disc Herniation: A 24-Month Real-World Prospective Study. J. Clin. Med. 2025, 14, 4534. https://doi.org/10.3390/jcm14134534
Bisshopp S, Linertová R, Caramés MA, Szolna A, Jorge IJ, Navarro M, Melchiorsen B, Rodríguez-Díaz B, González-Martín JM, Clavo B. Pain Relief, Disability, and Hospital Costs After Intradiscal Ozone Treatment or Microdiscectomy for Lumbar Disc Herniation: A 24-Month Real-World Prospective Study. Journal of Clinical Medicine. 2025; 14(13):4534. https://doi.org/10.3390/jcm14134534
Chicago/Turabian StyleBisshopp, Sara, Renata Linertová, Miguel A. Caramés, Adam Szolna, Ignacio J. Jorge, Minerva Navarro, Brian Melchiorsen, Benjamín Rodríguez-Díaz, Jesús M. González-Martín, and Bernardino Clavo. 2025. "Pain Relief, Disability, and Hospital Costs After Intradiscal Ozone Treatment or Microdiscectomy for Lumbar Disc Herniation: A 24-Month Real-World Prospective Study" Journal of Clinical Medicine 14, no. 13: 4534. https://doi.org/10.3390/jcm14134534
APA StyleBisshopp, S., Linertová, R., Caramés, M. A., Szolna, A., Jorge, I. J., Navarro, M., Melchiorsen, B., Rodríguez-Díaz, B., González-Martín, J. M., & Clavo, B. (2025). Pain Relief, Disability, and Hospital Costs After Intradiscal Ozone Treatment or Microdiscectomy for Lumbar Disc Herniation: A 24-Month Real-World Prospective Study. Journal of Clinical Medicine, 14(13), 4534. https://doi.org/10.3390/jcm14134534

