Abstract
Background: We aimed to evaluate the value of the Fibrosis-4 (FIB-4) score as a prognostic factor in RA in the prospective ESPOIR cohort. Methods: We included patients from the ESPOIR cohort with a diagnosis of RA according to ACR/EULAR criteria. The formula for the FIB-4 score is as follows: [age (years) × aspartate transaminase level (U/L)]/[platelet count (109/L) × alanine aminotransferase level (U/L)1/2]. We used a linear mixed-effects model with a random effect of patient to account for repeated measures over time. Results: Overall, 647 of the 813 patients included met the ACR/EULAR criteria for RA, with no differential diagnosis during the first 10 years of follow-up. Of these patients, at baseline, 633 had a calculable FIB-4 score. Median FIB-4 score was 0.75 (interquartile range 0.53–0.99). On multivariate analysis, FIB-4 score was not independently associated with progression of Disease Activity Score in 28 joints over 10 years of follow-up, unlike baseline C-reactive protein level and SJC. Baseline FIB-4 score was not associated with the modified Sharp score at 5-year follow-up, unlike age and ACPAs. FIB-4 score was not associated with mortality (hazard ratio 1.1 [95% CI 0.46; 2.8], p = 0.77) or major adverse cardiovascular events (0.46 [0.13; 1.6], p = 0.22) over the 10-year follow-up. No significant change in FIB-4 score over time was related to treatments. Conclusions: The present prospective cohort study did not find a prognostic role of FIB-4 score in RA. Reassuringly, FIB-4 score was not increased with DMARD treatment after 10 years of follow-up.
1. Introduction
Rheumatoid arthritis (RA), a chronic autoimmune disease, not only imposes challenges on the joints but also intricately affects systemic health. The liver, although traditionally considered uninvolved in the primary pathology of RA, plays a role in the holistic management of this condition. Disturbed levels of liver enzymes are common in patients with RA (20–50% of patients) and transaminase monitoring is part of the biological follow-up of most RA patients. Monitoring liver health, particularly through the Fibrosis-4 (FIB-4) score, has garnered increasing attention as a potentially important facet of RA care. The Fibrosis-4 (FIB-4) score [1] is easily calculated using the patient’s age, platelet count, and aspartate aminotransferase (AST) and alanine aminotransferase (ALT) levels. The FIB-4 score is already used by gastroenterologists to non-invasively screen for liver fibrosis.
In this context, we delve into the novel prospect of utilizing the FIB-4 score as a predictive tool for the course of RA, shedding light on its potential implications for patient management and overall care strategies.
Non-alcoholic fatty liver disease (NAFLD) covers a range of liver issues, spanning from basic fatty liver (steatosis) to non-alcoholic steatohepatitis (NASH). The latter is linked to an increased risk of advancing to conditions such as fibrosis, cirrhosis, and hepatocellular carcinoma. The average prevalence of NAFLD in the world population is estimated at 25.2%. Approximately 15% to 20% of people with NAFLD will have NASH. Assessment of liver fibrosis is critical to the management of these patients. The FIB-4 score can correctly identify patients with severe fibrosis (F3–F4). An FIB-4 score ≤1.3 has a negative predictive value of 90% and >2.67 a positive predictive value of 80% in patients with NASH [2].
Although rheumatoid arthritis (RA) can occur across various age groups, its occurrence becomes more prevalent with advancing age [3]. Crowson et al. [4] demonstrated that the cumulative lifetime risk of RA is less than 1% before the age of 50, but significantly escalates for both genders around the age of 60, reaching a plateau after 80 years [5]. The trajectory of the disease remains uncertain concerning whether the disease course is more favorable or unfavorable in older individuals with RA compared with their younger counterparts, and the existing data present conflicting viewpoints [5].
Platelets have been shown to have important immune effector functions in RA [6]. Activated platelets generate pro-inflammatory microparticles found in both the bloodstream and the synovium. These microparticles play a role in the systemic inflammatory processes associated with RA. Thus, platelets could be seen as relevant biomarkers to reflect both disease activity and response to treatment [7,8]. Platelet count as well as liver enzyme assessment are performed on a regular basis in RA patients receiving disease-modifying antirheumatic drugs (DMARDs), which usually require laboratory monitoring. Liver enzymes are interesting dysmetabolic markers in terms of management of comorbidities promoted by EULAR [9]. Therefore, combining patient age, platelet count, and transaminase levels using the FIB-4 score could be of interest in RA in terms of this management of comorbidities. In the same way as is done for repurposing of drugs for another indication, scores used in some disciplines could be repurposed for other indications [10].
In a cohort of 978 patients who had received methotrexate (MTX) for RA, 4.7% exhibited MTX-associated NAFLD with elevated serum enzyme levels [11]. A Korean retrospective single-center study showed that FIB-4 score at diagnosis could predict mortality (from any cause) in RA patients [12]. The FIB-4 score has never been evaluated in a prospective follow-up of patients with recent RA.
In this study, we used the Evaluation et Suivi de Polyarthrites Indifférenciées Récentes (ESPOIR) cohort, a longitudinal, prospective initiative designed to unravel the complexities of early RA. The ESPOIR cohort, which includes adults aged between 18 and 70 with possible early-onset RA, has provided a unique insight into the developmental trajectory of RA and its multifaceted impacts. By analyzing data from this large cohort, we aim to uncover new insights into the prognostic value of the Fibrosis-4 (FIB-4) score, a measure that goes beyond joints to encompass broader systemic implications in the context of RA. The primary objective of our study was to evaluate the prognostic value of baseline FIB-4 score for the course of RA.
2. Materials and Methods
2.1. Patients and Main Study Outcomes
Patients included in this study were part of the ESPOIR cohort, ensuring a focused analysis on early RA cases without prior exposure to disease-modifying antirheumatic drugs (DMARDs). The selection criteria aimed to capture a homogenous group for a more nuanced exploration of the FIB-4 score’s prognostic value in RA patients. ESPOIR is a longitudinal prospective cohort of adults (18–70 years old) with possible early RA (ClinicalTrials.gov: NCT03666091) [13]. We included patients from the ESPOIR cohort with a diagnosis of RA according to ACR/EULAR criteria without an established differential diagnosis during the first 10 years of follow-up.
The main study outcomes included demographical characteristics (age, sex); RA disease activity (Disease Activity Score in 28 joints—erythrocyte sedimentation rate [DAS28-ESR], number of tender and swollen joints), C-reactive protein (CRP) level, ESR, structural damage evaluated by the van der Heijde-modified Sharp score [14], and response to treatments (EULAR response, DAS28-ESR remission [15]).
Mortality and the main cardiovascular comorbidities were studied in terms of the FIB-4 score. Major cardiovascular adverse events (MACEs) were defined as a composite of myocardial infarction, stroke, and hospitalization because of heart failure or revascularization.
The following treatments were studied: use of MTX or not, cumulative dose of MTX, use of leflunomide or not, use of a biological DMARD (bDMARD) (etanercept, adalimumab, golimumab, certolizumab, infliximab, abatacept, rituximab), specific use of tocilizumab, and use of non-steroidal anti-inflammatory drugs (NSAIDs).
2.2. FIB-4 Score
The formula for the FIB-4 score is as follows: [age (years) × AST level (U/L)]/[platelet count (109/L) × ALT level (U/L)1/2]. A high FIB-4 score was defined as a score >2 if the patient was >60 years or >1.3 otherwise.
2.3. Patient and Public Involvement
Patients were not involved in the design of this study; however, patient organizations were involved in its dissemination and in that of the study results to participants and to wider and relevant patient communities.
2.4. Ethics Approval and Consent to Participate
The ESPOIR study was conducted with the approval of the Institutional Review Board of Montpellier University Hospital. All patients gave their signed informed consent to participate in the study (ClinicalTrials.gov identifier: NCT03666091).
2.5. Statistical Methods
All quantitative variables are described with the median (interquartile range [IQR]), because it offers a robust measure of central tendency that is less sensitive to extreme values. Categorical variables are described with numbers (percentages). The relations between FIB-4 score at baseline and comorbidities were analyzed with a multivariate linear regression model.
For the main objective, we used a linear mixed-effects model with a random effect of patient to account for repeated measures over time. Patient disease activity evolution (DAS28-ESR, modified Sharp score, etc.) was modeled with the FIB-4 score at inclusion and several clinical measurements (number of swollen joints, CRP level, anti-citrullinated protein/peptide antibodies (ACPAs) and rheumatoid factor (RF), and modified Sharp score at inclusion). Time was incorporated as an interaction term to analyze the dynamics of the clinical measure with time. Sensitivity analyses were conducted using various follow-up times, Generalized Additive Mixed Models, regression models with break-points, and quadratic regressions. These sensitivity analyses were performed to assess the robustness of the findings during both short and long follow-up periods and to evaluate the impact of different time dependency modeling approaches.
To assess the effects of treatment on the evolution of the FIB-4 score over time, a multivariate linear mixed-effects model was fitted with the following time-dependent covariates: use of MTX, biologic treatments, NSAIDs, tocilizumab and leflunomide, and sex. Time was incorporated as an interaction term to analyze investigate the temporal dynamics of treatment effects. For all models, sensitivity analyses were performed with and without the interaction of time.
Survival models were produced for MACES, hypercholesterolemia, diabetes, and mortality. For each of these comorbidities, a Cox proportional-hazards model was fitted with adjustment for sex, age, body mass index, and mean FIB-4 score over the first 2 years of follow-up, considering that these successive 2-year measurements at the beginning of RA management were a good reflection of the FIB-4 score throughout the follow-up. Proportional hazard assumption was systematically tested for each covariate, and hazard ratios (HRs) and 95% confidence intervals (CIs) were estimated.
All analyses were performed with R 4.1.0. p < 0.05 was considered statistically significant. No alpha risk correction was performed because the study was exploratory. The results should be confirmed in specific clinical studies.
3. Results
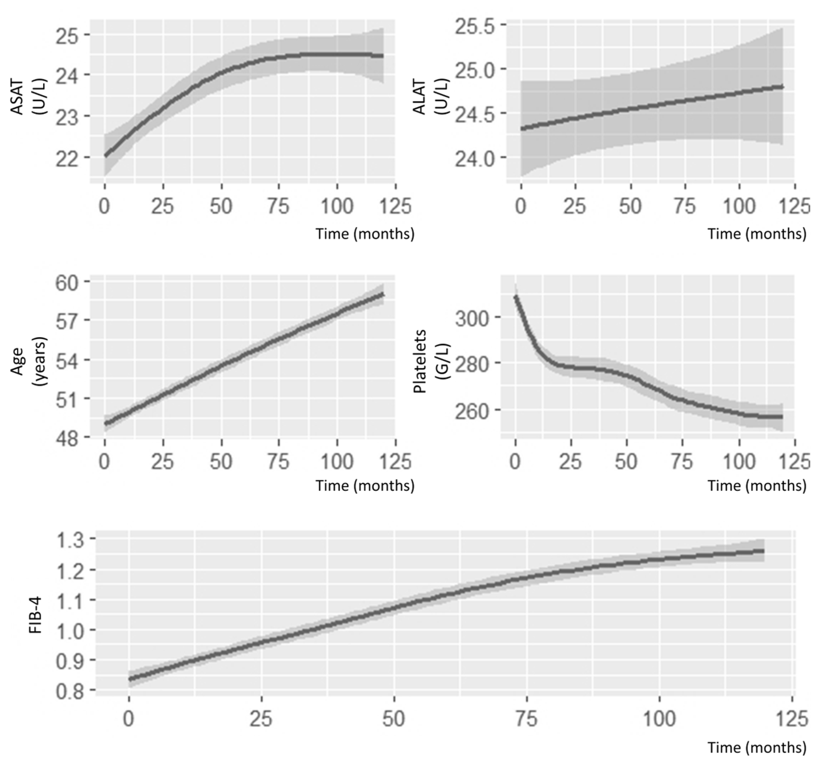
Overall, 647 of the 813 patients included met the ACR/EULAR criteria for RA, with no differential diagnosis during the first 10 years of follow-up. Of these patients, at baseline, 633 had a calculable FIB-4 score. Median FIB-4 score was 0.75 (IQR 0.53–0.99), and 61 (9.6%) patients had a high FIB-4 score at baseline. The main baseline patient characteristics are shown in Table 1. The FIB-4 score evolution over time is shown in Figure 1. FIB-4 tends to increase over time due to the presence of age in its formula. The evolution over time of its various components is shown in Appendix A Figure A1.
Table 1.
Main baseline characteristics of patients (n = 647).
Figure 1.
Fibrosis-4 (FIB-4) score evolution over time. Data are median (horizontal line), interquartile range (box edges), and range (whiskers).
3.1. FIB-4 Score Association with Comorbidities
Baseline FIB-4 score was significantly increased for patients with chronic alcohol consumption (mean difference 0.11 [95% CI 0.02; 0.19], p = 0.021) or viral hepatitis (0.59 [0.27; 0.92], p < 0.001). It was reduced for active smokers (−0.08 [−0.15; −0.01], p = 0.018), but we found no other difference concerning other comorbidities (Appendix A Figure A2).
3.2. FIB-4 Score Association with Disease Activity and Radiographic Progression
On multivariate analysis including the main known risk factors for unfavorable progression of RA (i.e., number of baseline swollen joints, baseline CRP level, baseline ACPAs and RF, and modified Sharp score), FIB-4 score was not independently associated with evolution of DAS28-ESR over 2 years (Table 2) but was associated with baseline CRP level and number of swollen joints. Baseline FIB-4 score was not associated with the modified Sharp score over 5 years, unlike age and ACPA positivity (Table 2). Different models (Generalized Additive Mixed Models, regression models with break-points, and quadratic regressions) and different follow-up times were tested to try to model RA progression, but none showed a significant clinical link between baseline FIB-4 score and disease progression (Figure 2).
Table 2.
Multivariate analysis of association of FIB-4 score with DAS28 and modified Sharp score evolution.
Figure 2.
Impact of baseline FIB-4 score on DAS28 (A), HAQ (B), and total modified Sharp score over time (C). Data are median (horizontal line), interquartile range (box edges), and range (whiskers). DAS28, Disease Activity Score in 28 joints; HAQ, Health Assessment Questionnaire.
3.3. FIB-4 Association with Comorbidities and Mortality
Mean FIB-4 score over the 2 first years of follow-up was not associated with the presence or occurrence of MACEs (HR 0.46 [95% CI 0.13; 1.6], p = 0.22), hypercholesterolemia (0.74 [0.42; 1.3], p = 0.30), diabetes (1.1 [0.35; 3.2], p = 0.92), or death (1.1 [0.46; 2.8], p = 0.77) during the 10-year follow-up.
3.4. Effect of Treatments on FIB-4 Score
During the 10-year follow-up, 470 patients received MTX, 117 leflunomide, 176 bDMARDs (excluding tocilizimab), 20 tocilizumab, and 484 NSAIDs. We found no significant associations with FIB-4 score evolution in our models including MTX, NSAIDs, tocilizumab, or other bDMARD use (Table 3). Conversely, the use of leflunomide was independently associated with FIB-4 score (mean difference 0.00136, [95% CI 0.000179; 0.00254], p = 0.024; Table 3). With all other variables equal, if two patients, one on leflunomide and the other not, have the same FIB-4 score at the visit in month “n”, then in month “n + 1”, the patient on leflunomide would have a FIB-4 score increased by 0.00136 as compared with the one not on leflunomide, which would represent an increase in FIB-4 score of 0.16 after 10 years of follow-up.
Table 3.
Multivariate analysis of association of treatments with evolution of FIB-4 score.
4. Discussion
The identification of prognostic factors to predict the course of RA or its comorbidities is valuable for the rheumatologist. Here, we aimed to assess the interest of using FIB-4 score, which can be easily assessed during a consultation, as a tool to help to predict the course of RA. To our knowledge, this is the first time this score has been evaluated in a prospective cohort.
The study has notable strengths, including its prospective design over a 10-year period within the ESPOIR cohort, providing valuable insights into the long-term dynamics of RA. The comprehensive data collection enables a thorough examination of demographic, clinical, and treatment-related factors. The use of this early polyarthritis cohort also allows for avoiding the effects of baseline use of DMARDs (because patients were DMARDs-naïve) and to follow the impact of treatments during the 10-year follow-up. Indeed, many RA treatments, such as NSAIDs, MTX, leflunomide, and tocilizumab, are known to affect liver enzyme results. Another strength of our study was to take into account the interaction with time, which we felt was essential given the natural increase in FIB-4 score over time because the FIB-4 score includes age in its formula. This observation might explain in part the discrepancy between the present study, which did not find any association between FIB-4 and mortality, and a previous retrospective study, which did not take into account the interaction with time [12].
The 10-year longitudinal follow-up of ESPOIR also allowed for analyzing the association between FIB-4 score and the evolution of disease activity, radiographic damage, and comorbidities. Our analyses did not find any theranostic role for FIB-4 score. The results of several sensitivity analyses failed to show any clinically meaningful association between the baseline FIB-4 score and the progression of rheumatoid arthritis outcomes. Additionally, no significant difference in disease progression was observed between patients with high and normal FIB-4 profiles at baseline. Despite not revealing a significant association between the FIB-4 score and certain parameters, our in-depth statistical analyses confirmed well-established associations in the literature. Specifically, our study consistently found links with the 2-year evolution of DAS28-ESR (Table 2), as well as with factors such as baseline CRP levels and the number of swollen joints. For the radiographic progression evaluated by the 5-year evolution of the Sharp score, we found a link with ACPA positivity. These findings enhance the internal validity of our study, underlining the consistency of our results with well-established parameters in the context of RA.
Another interest of the present study was to analyze the evolution of the FIB-4 score prospectively in terms of the initiation of DMARDs. Reassuringly, we did not find any significant association between change in FIB-4 score and the use of MTX, NSAIDs, tocilizumab, or other DMARDs, which agrees with a cross-sectional monocentric study [16]. Leflunomide was the only treatment statistically associated with an increase in FIB-4 score over time but without any clinical relevance.
However, several limitations should be acknowledged. Variability in treatment regimens, including changes over the 10-year follow-up, may introduce complexities in interpreting treatment effects. Additionally, the study’s generalizability may be influenced by its focus on a specific cohort, and external factors such as lifestyle and socioeconomic status, which could impact the FIB-4 score, were not comprehensively addressed. Despite these limitations, the study contributes valuable insights into the absence of prognostic value of the FIB-4 score in RA, though further research is warranted to address these constraints and validate the findings across diverse patient populations.
5. Conclusions
FIB-4 score is a simple composite score, routinely achievable, but not associated with worse outcome in RA. FIB-4 score was not associated with increased mortality or the occurrence of cardiovascular events. Reassuringly, FIB-4 score was not influenced by treatments, even after 10 years of follow-up.
Author Contributions
Conceptualization, R.F., A.R.-W., O.V., and J.-E.G.; Data curation, T.F., N.S., and N.M.; Formal analysis, T.F., N.S., and J.-E.G.; Investigation, F.B., B.C., A.R.-W., and O.V.; Methodology, R.F., T.F., N.S., N.M., and J.-E.G.; Validation, R.F., and J.-E.G.; Writing—original draft, R.F., and J.-E.G.; Writing—review & editing, R.F., N.S., J.S., C.S., E.C., F.B., B.C., A.R.-W., O.V., and J.-E.G. All authors have read and agreed to the published version of the manuscript.
Funding
An unrestricted grant from Merck Sharp and Dohme (MSD) was allocated for the first 5 years. Two additional grants from INSERM were obtained to support part of the biological database. The French Society of Rheumatology, Pfizer, Abbvie, Lilly, and more recently Fresenius and Galapagos also supported the ESPOIR cohort study.
Institutional Review Board Statement
The ESPOIR study was conducted with the approval of the Institutional Review Board of Montpellier University Hospital (in July 2002). All patients gave their signed informed consent to participate in the study (ClinicalTrials.gov identifier: NCT03666091).
Informed Consent Statement
All patients gave their signed informed consent to participate in the study and for publication.
Data Availability Statement
The data that support the findings of this study are available from the ESPOIR cohort committee, upon reasonable request.
Acknowledgments
An unrestricted grant from Merck Sharp and Dohme (MSD) was allocated for the first 5 years. Two additional grants from INSERM were obtained to support part of the biological database. The French Society of Rheumatology, Pfizer, Abbvie, Lilly, and more recently Fresenius and Galapagos also supported the ESPOIR cohort study. We also thank Nathalie Rincheval for expert monitoring and data management and all the investigators who recruited and followed the patients (F. Berenbaum, Paris-Saint Antoine, M.C. Boissier, Paris-Bobigny, A. Cantagrel, Toulouse, B. Combe, Montpellier, M. Dougados, Paris-Cochin, P. Boumier and P. Lasselin, Amiens, B. Fautrel, Paris-La Pitié, R.M. Flipo, Lille, P. Goupille, Tours, F. Liote, Paris- Lariboisière, O. Vittecoq, Rouen, X. Mariette, Paris Bicetre, P. Dieude, Paris Bichat, A. Saraux, Brest, T. Schaeverbeke, Bordeaux, J. Sibilia, Strasbourg), and V. Devauchelle and C. Lukas for expert X-ray reading.
Conflicts of Interest
The authors have no competing interests or other interests that might be perceived to influence the results and/or discussion reported in this paper.
Appendix A
Figure A1.
Evolution over time of FIB-4 and its components.
Figure A1.
Evolution over time of FIB-4 and its components.

Figure A2.
Baseline FIB-4 by presence or absence of comorbidities. Data are median (horizontal line), interquartile range (box edges), and range (whiskers). * Statistically significant at p < 0.05.
Figure A2.
Baseline FIB-4 by presence or absence of comorbidities. Data are median (horizontal line), interquartile range (box edges), and range (whiskers). * Statistically significant at p < 0.05.

References
- Sterling, R.K.; Lissen, E.; Clumeck, N.; Sola, R.; Correa, M.C.; Montaner, J.; Sulkowski, M.S.; Torriani, F.J.; Dieterich, D.T.; Thomas, D.L.; et al. Development of a simple noninvasive index to predict significant fibrosis in patients with HIV/HCV coinfection. Hepatology 2006, 43, 1317–1325. [Google Scholar] [CrossRef]
- Shah, A.G.; Lydecker, A.; Murray, K.; Tetri, B.N.; Contos, M.J.; Sanyal, A.J. Nash Clinical Research Network Comparison of noninvasive markers of fibrosis in patients with nonalcoholic fatty liver disease. Clin. Gastroenterol. Hepatol. 2009, 7, 1104–1112. [Google Scholar] [CrossRef] [PubMed]
- Gomez, C.R.; Boehmer, E.D.; Kovacs, E.J. The aging innate immune system. Curr. Opin. Immunol. 2005, 17, 457–462. [Google Scholar] [CrossRef] [PubMed]
- Crowson, C.S.; Matteson, E.L.; Myasoedova, E.; Michet, C.J.; Ernste, F.C.; Warrington, K.J.; Davis, J.M.; Hunder, G.G.; Therneau, T.M.; Gabriel, S.E. The lifetime risk of adult-onset rheumatoid arthritis and other inflammatory autoimmune rheumatic diseases. Arthritis Rheum. 2011, 63, 633–639. [Google Scholar] [CrossRef] [PubMed]
- Boots, A.M.H.; Maier, A.B.; Stinissen, P.; Masson, P.; Lories, R.J.; De Keyser, F. The influence of ageing on the development and management of rheumatoid arthritis. Nat. Rev. Rheumatol. 2013, 9, 604–613. [Google Scholar] [CrossRef] [PubMed]
- Olumuyiwa-Akeredolu, O.-O.; Page, M.J.; Soma, P.; Pretorius, E. Platelets: Emerging facilitators of cellular crosstalk in rheumatoid arthritis. Nat. Rev. Rheumatol. 2019, 15, 237–248. [Google Scholar] [CrossRef] [PubMed]
- Gasparyan, A.Y.; Stavropoulos-Kalinoglou, A.; Mikhailidis, D.P.; Douglas, K.M.J.; Kitas, G.D. Platelet function in rheumatoid arthritis: Arthritic and cardiovascular implications. Rheumatol. Int. 2011, 31, 153–164. [Google Scholar] [CrossRef] [PubMed]
- Yazici, S.; Yazici, M.; Erer, B.; Erer, B.; Calik, Y.; Ozhan, H.; Ataoglu, S. The platelet indices in patients with rheumatoid arthritis: Mean platelet volume reflects disease activity. Platelets 2010, 21, 122–125. [Google Scholar] [CrossRef] [PubMed]
- Baillet, A.; Gossec, L.; Carmona, L.; de Wit, M.; van Eijk-Hustings, Y.; Bertheussen, H.; Alison, K.; Toft, M.; Kouloumas, M.; Ferreira, R.J.O.; et al. Points to consider for reporting, screening for and preventing selected comorbidities in chronic inflammatory rheumatic diseases in daily practice: A EULAR initiative. Ann. Rheum. Dis. 2016, 75, 965–973. [Google Scholar] [CrossRef] [PubMed]
- Bello-Chavolla, O.Y.; Antonio-Villa, N.E.; Ortiz-Brizuela, E.; Vargas-Vázquez, A.; González-Lara, M.F.; Leon, A.P.D.; Sifuentes-Osornio, J.; Aguilar-Salinas, C.A. Validation and repurposing of the MSLCOVID- 19 score for prediction of severe COVID-19 using simple clinical predictors in a triage setting: The Nutri-CoV score. PLoS ONE 2020, 15, e0244051. [Google Scholar] [CrossRef] [PubMed]
- Sakthiswary, R.; Chan, G.Y.L.; Koh, E.T.; Leong, K.P.; Thong, B.Y.H. Methotrexate-associated nonalcoholic fatty liver disease with transaminitis in rheumatoid arthritis. Sci. World J. 2014, 2014, 823763. [Google Scholar] [CrossRef] [PubMed]
- Kim, S.U.; Kim, B.K.; Park, J.Y.; Kim, D.Y.; Ahn, S.H.; Park, Y.-B.; Han, K.-H.; Lee, S.-W. Fibrosis-4 index at diagnosis can predict all-cause mortality in patients with rheumatoid arthritis: A retrospective monocentric study. Mod. Rheumatol. 2020, 30, 70–77. [Google Scholar] [CrossRef] [PubMed]
- Combe, B.; Benessiano, J.; Berenbaum, F.; Cantagrel, A.; Daurès, J.-P.; Dougados, M.; Fardellone, P.; Fautrel, B.; Flipo, R.-M.; Goupille, P.; et al. The ESPOIR cohort: A ten-year follow-up of early arthritis in France: Methodology and baseline characteristics of the 813 included patients. Jt. Bone Spine 2007, 74, 440–445. [Google Scholar] [CrossRef] [PubMed]
- van der Heijde, D.M.; van Leeuwen, M.A.; van Riel, P.L.; van de Putte, L.B. Radiographic progression on radiographs of hands and feet during the first 3 years of rheumatoid arthritis measured according to Sharp’s method (van der Heijde modification). J Rheumatol 1995, 22, 1792–1796. [Google Scholar] [PubMed]
- Fransen, J.; van Riel, P.L.C.M. The Disease Activity Score and the EULAR response criteria. Clin. Exp. Rheumatol. 2005, 23, S93–S99. [Google Scholar] [CrossRef] [PubMed]
- Avouac, J.; Degrave, R.; Vergneault, H.; Combier, A.; Wanono, S.; Boisson, M.; Frantz, C.; Allanore, Y. Risk of liver fibrosis induced by methotrexate and other rheumatoid arthritis medications according to the Fibrosis-4 Index. Clin. Exp. Rheumatol. 2021, 140, 150–157. [Google Scholar] [CrossRef] [PubMed]
Disclaimer/Publisher’s Note: The statements, opinions and data contained in all publications are solely those of the individual author(s) and contributor(s) and not of MDPI and/or the editor(s). MDPI and/or the editor(s) disclaim responsibility for any injury to people or property resulting from any ideas, methods, instructions or products referred to in the content. |
© 2024 by the authors. Licensee MDPI, Basel, Switzerland. This article is an open access article distributed under the terms and conditions of the Creative Commons Attribution (CC BY) license (https://creativecommons.org/licenses/by/4.0/).

