Risk Factors and Pain Management in the Incidence of Postoperative Delirium in Elderly Patients: A Retrospective Study
Abstract
1. Introduction
2. Materials and Methods
2.1. Patient Recruitment
2.2. Preoperative Data Collection
2.3. Intraoperative Data Collection
2.4. Measurement of Pain and Analgesic Intake in the Postoperative Period
2.5. Diagnosis and Detection of Delirium
2.6. Patient Follow-Up and Complications
2.7. Statistical Analysis
3. Results
3.1. Population Characteristics
3.2. Characteristics of Surgery and Anesthesia
3.3. Pain and Postoperative Analgesic Management
3.4. Types, Etiologies, Complications, and Management of POD
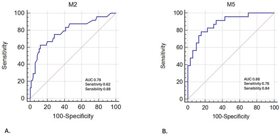
3.5. Multivariate Analyses and Predictive Models
- -
- Model 2 (Se = 62.5%, Sp = 88.2%; AUC = 0.79) incorporates a pre-anesthetic assessment with patient demographics and clinical data;
- -
- Model 5 (Se = 78.3%, Sp = 84.3%; AUC = 0.88) excludes preoperative assessments and incorporates intraoperative data and pain assessment at Day 1.
4. Discussion
5. Conclusions
Supplementary Materials
Author Contributions
Funding
Institutional Review Board Statement
Informed Consent Statement
Data Availability Statement
Conflicts of Interest
References
- Inouye, S.K.; Westendorp, R.G.; Saczynski, J.S. Delirium in Elderly People. Lancet 2014, 383, 911–922. [Google Scholar] [CrossRef] [PubMed]
- Leslie, D.L.; Marcantonio, E.R.; Zhang, Y.; Leo-Summers, L.; Inouye, S.K. One-Year Health Care Costs Associated with Delirium in the Elderly Population. Arch. Intern. Med. 2008, 168, 27–32. [Google Scholar] [CrossRef] [PubMed]
- Peterson, J.F.; Pun, B.T.; Dittus, R.S.; Thomason, J.W.; Jackson, J.C.; Shintani, A.K.; Ely, E.W. Delirium and Its Motoric Subtypes: A Study of 614 Critically Ill Patients. J. Am. Geriatr. Soc. 2006, 54, 479–484. [Google Scholar] [CrossRef] [PubMed]
- Robinson, T.N.; Raeburn, C.D.; Tran, Z.V.; Brenner, L.A.; Moss, M. Motor Subtypes of Postoperative Delirium in Older Adults. Arch. Surg. 2011, 146, 295–300. [Google Scholar] [CrossRef] [PubMed]
- Tune, L.E.; Egeli, S. Acetylcholine and Delirium. Dement. Geriatr. Cogn. Disord. 1999, 10, 342–344. [Google Scholar] [CrossRef] [PubMed]
- Siami, S.; Annane, D.; Sharshar, T. The Encephalopathy in Sepsis. Crit. Care Clin. 2008, 24, 67–82. [Google Scholar] [CrossRef] [PubMed]
- Kat, M.; de Jonghe, J.; Vreeswijk, R.; van der Ploeg, T.; van Gool, W.; Eikelenboom, P.; Kalisvaart, K.J. Mortality Associated with Delirium after Hip-Surgery: A 2-Year Follow-up Study. Age Ageing 2011, 40, 312–318. [Google Scholar] [CrossRef]
- Saczynski, J.S.; Marcantonio, E.R.; Quach, L.; Fong, T.G.; Gross, A.; Inouye, S.K.; Jones, R.N. Cognitive Trajectories after Postoperative Delirium. N. Engl. J. Med. 2012, 367, 30–39. [Google Scholar] [CrossRef]
- Whitlock, E.L.; Vannucci, A.; Avidan, M.S. Postoperative delirium. Minerva Anestesiol. 2013, 77, 448–456. [Google Scholar]
- Schenning, K.J.; Deiner, S.G. Postoperative Delirium in the Geriatric Patient. Anesthesiol. Clin. 2015, 33, 505–516. [Google Scholar] [CrossRef]
- Inouye, S.K. Clarifying Confusion: The Confusion Assessment Method: A New Method for Detection of Delirium. Ann. Intern. Med. 1990, 113, 941. [Google Scholar] [CrossRef] [PubMed]
- Wong, C.; Holroyd-Leduc, J.; Simel, D.; Straus, S. Does This Patient Have Delirium? JAMA 2010, 304, 779–786. [Google Scholar] [CrossRef]
- Wei, L.; Fearing, M.; Sternberg, E.; Inouye, S. The Confusion Assessment Method: A Systematic Review of Current Usage: CAM: A systematic review of current usage. J. Am. Geriatr. Soc. 2008, 56, 823–830. [Google Scholar] [CrossRef]
- Olsson, T. Activity in the Hypothalamic-Pituitary-Adrenal Axis and Delirium. Dement. Geriatr. Cogn. Disord. 1999, 10, 345–349. [Google Scholar] [CrossRef] [PubMed]
- Robinson, T.N.; Raeburn, C.D.; Tran, Z.V.; Angles, E.M.; Brenner, L.A.; Moss, M. Postoperative Delirium in the Elderly: Risk Factors and Outcomes. Ann. Surg. 2009, 249, 173–178. [Google Scholar] [CrossRef]
- Xará, D.; Silva, A.; Mendonça, J.; Abelha, F. Inadequate Emergence after Anesthesia: Emergence Delirium and Hypoactive Emergence in the Postanesthesia Care Unit. J. Clin. Anesth. 2013, 25, 439–446. [Google Scholar] [CrossRef] [PubMed]
- Ganai, S.; Lee, K.F.; Merrill, A.; Lee, M.H.; Bellantonio, S.; Brennan, M.; Lindenauer, P. Adverse Outcomes of Geriatric Patients Undergoing Abdominal Surgery Who Are at High Risk for Delirium. Arch. Surg. 2007, 142, 1072–1078. [Google Scholar] [CrossRef] [PubMed]
- Gani, H.; Domi, R.; Kodra, N.; Prifti, P.; Naco, M.; Beqiri, V.; Torba, D.; Tare, R. The Incidence of Postoperative Delirium in Elderly Patients After Urologic Surgery. Med. Arch. 2013, 67, 45. [Google Scholar] [CrossRef]
- Do, T.-D.; Lemogne, C.; Journois, D.; Safran, D.; Consoli, S. Low Social Support Is Associated with an Increased Risk of Postoperative Delirium. J. Clin. Anesth. 2012, 24, 126–132. [Google Scholar] [CrossRef]
- Kassie, G.; Nguyen, T.; Kalisch Ellett, L.; Pratt, N.; Roughead, E. Preoperative Medication Use and Postoperative Delirium: A Systematic Review. BMC Geriatr. 2017, 17, 298. [Google Scholar] [CrossRef] [PubMed]
- Rudolph, J.L.; Marcantonio, E.R. Postoperative Delirium: Acute Change with Long-Term Implications. Anesth. Analg. 2011, 112, 1202–1211. [Google Scholar] [CrossRef]
- Dai, Y.-T.; Lou, M.-F.; Yip, P.-K.; Huang, G.-S. Risk Factors and Incidence of Postoperative Delirium in Elderly Chinese Patients. Gerontology 2000, 46, 28–35. [Google Scholar] [CrossRef] [PubMed]
- Aldecoa, C.; Bettelli, G.; Bilotta, F.; Sanders, R.; Audisio, R.; Borozdina, A.; Cherubini, A.; Jones, C.; Kehlet, H.; MacLullich, A.; et al. European Society of Anaesthesiology Evidence-Based and Consensus-Based Guideline on Postoperative Delirium. Eur. J. Anaesthesiol. 2017, 34, 192–214. [Google Scholar] [CrossRef] [PubMed]
- Kosar, C.; Tabloski, P.; Travison, T.; Jones, R.; Schmitt, E.; Puelle, M.; Inloes, J.B.; Saczynski, J.S.; Marcantonio, E.R.; Meagher, D.; et al. Effect of Preoperative Pain and Depressive Symptoms on the Risk of Postoperative Delirium: A Prospective Cohort Study. Lancet Psychiatry 2014, 1, 431–436. [Google Scholar] [CrossRef] [PubMed]
- Park, S.; Na, S.; Oh, J.; Lee, J.; Oh, S.-T.; Kim, J.-J.; Park, J.Y. Pain and Anxiety and Their Relationship with Medication Doses in the Intensive Care Unit. J. Crit. Care 2018, 47, 65–69. [Google Scholar] [CrossRef]
- Egleston, B.; Uzzo, R.; Beck, J.; Wong, Y.-N. A Simple Method for Evaluating Within Sample Prognostic Balance Achieved by Published Comorbidity Summary Measures. Health Serv. Res. 2015, 50, 1179–1194. [Google Scholar] [CrossRef] [PubMed]
- Brink, T.; Yesavage, J.; Lum, O.; Heersema, P.; Adey, M.; Rose, T. Screening Tests for Geriatric Depression. Clin. Gerontol. 1982, 1, 37–43. [Google Scholar] [CrossRef]
- Belmin, J.; Pariel-Madjlessi, S.; Surun, P.; Bentot, C.; Feteanu, D.; des Noettes, V.L.; Onen, F.; Drunat, O.; Trivalle, C.; Chassagne, P.; et al. The Cognitive Disorders Examination (Codex) Is a Reliable 3-Minute Test for Detection of Dementia in the Elderly (Validation Study on 323 Subjects). Presse Médicale 2007, 36, 1183–1190. [Google Scholar] [CrossRef] [PubMed]
- Hirsch, J.; DePalma, G.; Tsai, T.; Sands, L.; Leung, J. Impact of Intraoperative Hypotension and Blood Pressure Fluctuations on Early Postoperative Delirium after Non-Cardiac Surgery. Br. J. Anaesth. 2015, 115, 418–426. [Google Scholar] [CrossRef] [PubMed]
- Chou, M.; Wang, Y.; Peng, L.; Liang, C.; Chu, C.; Liao, M.; Lin, Y.; Hsu, C.; Chen, L. Intraoperative Blood Transfusion Predicts Postoperative Delirium among Older Patients Undergoing Elective Orthopedic Surgery: A Prospective Cohort Study. Int. J. Geriatr. Psychiatry 2019, 34, 881–888. [Google Scholar] [CrossRef] [PubMed]
- Radvansky, B.; Shah, K.; Parikh, A.; Sifonios, A.; Le, V.; Eloy, J. Role of Ketamine in Acute Postoperative Pain Management: A Narrative Review. BioMed. Res. Int. 2015, 2015, 749837. [Google Scholar] [CrossRef] [PubMed]
- Avidan, M.S.; Maybrier, H.R.; Abdallah, A.; Jacobsohn, E.; Vlisides, P.; Pryor, K.; Veselis, R.A.; Grocott, H.P.; Emmert, D.A.; Rogers, E.M.; et al. Intraoperative Ketamine for Prevention of Postoperative Delirium or Pain after Major Surgery in Older Adults: An International, Multicentre, Double-Blind, Randomised Clinical Trial. Lancet 2017, 390, 267–275. [Google Scholar] [CrossRef] [PubMed]
- Bell, R.; Dahl, J.; Moore, R.; Kalso, E. Peri-Operative Ketamine for Acute Post-Operative Pain: A Quantitative and Qualitative Systematic Review (Cochrane Review). Acta Anaesthesiol. Scand. 2005, 49, 1405–1428. [Google Scholar] [CrossRef]
- Brouquet, A.; Cudennec, T.; Benoist, S.; Moulias, S.; Beauchet, A.; Penna, C.; Teillet, L.; Nordlinger, B. Impaired Mobility, ASA Status and Administration of Tramadol Are Risk Factors for Postoperative Delirium in Patients Aged 75 Years or More After Major Abdominal Surgery. Ann. Surg. 2010, 251, 759–765. [Google Scholar] [CrossRef]
- Morrison, R.S.; Magaziner, J.; Gilbert, M.; Koval, K.J.; McLaughlin, M.A.; Orosz, G.; Strauss, E.; Siu, A.L. Relationship Between Pain and Opioid Analgesics on the Development of Delirium Following Hip Fracture. J. Gerontol. A Biol. Sci. Med. Sci. 2003, 58, M76–M81. [Google Scholar] [CrossRef] [PubMed]
- Lynch, E.P.; Lazor, M.A.; Gellis, J.E.; Orav, J.; Goldman, L.; Marcantonio, R. The Impact of Postoperative Pain on the Development of Postoperative Delirium. Anesth. Analg. 1998, 86, 781–785. [Google Scholar] [PubMed]
- Denny, D.; Lindseth, G. Pain, Opioid Intake, and Delirium Symptoms in Adults Following Joint Replacement Surgery. West. J. Nurs. Res. 2020, 42, 165–176. [Google Scholar] [CrossRef] [PubMed]
- Abraha, I.; Trotta, F.; Rimland, J.; Cruz-Jentoft, A.; Lozano-Montoya, I.; Soiza, R.; Pierini, V.; Dessì Fulgheri, P.; Lattanzio, F.; O’Mahony, D.; et al. Efficacy of NonPharmacological Interventions to Prevent and Treat Delirium in Older Patients: A Systematic Overview. PLoS ONE 2015, 10, e0123090. [Google Scholar] [CrossRef] [PubMed]
- Rong, X.; Ding, Z.; Yu, H.; Yao, S.-Y.; Zhou, Z.-K. Risk Factors of Postoperative Delirium in the Knee and Hip Replacement Patients: A Systematic Review and Meta-Analysis. J. Orthop. Surg. 2021, 16, 76. [Google Scholar] [CrossRef]
- Mason, S.; Noel-Storr, A.; Ritchie, C. The Impact of General and Regional Anesthesia on the Incidence of Post-Operative Cognitive Dysfunction and Post-Operative Delirium: A Systematic Review with Meta-Analysis. J. Alzheimer’s Dis. 2010, 22, S67–S79. [Google Scholar] [CrossRef]
- Oh, Y.-S.; Kim, D.-W.; Chun, H.-J.; Yi, H.-J. Incidence and Risk Factors of Acute Postoperative Delirium in Geriatric Neurosurgical Patients. J. Korean Neurosurg. Soc. 2008, 43, 143. [Google Scholar] [CrossRef]
- Xue, P.; Wu, Z.; Wang, K.; Tu, C.; Wang, X. Incidence and Risk Factors of Postoperative Delirium in Elderly Patients Undergoing Transurethral Resection of Prostate: A Prospective Cohort Study. Neuropsychiatr. Dis. Treat. 2016, 12, 137–142. [Google Scholar] [CrossRef] [PubMed]
- Vaurio, L.E.; Sands, L.P.; Wang, Y.; Mullen, E.A.; Leung, J.M. Postoperative Delirium: The Importance of Pain and Pain Management. Anesth. Analg. 2006, 102, 1267–1273. [Google Scholar] [CrossRef]
- Weinstein, S.; Poultsides, L.; Baaklini, L.; Mörwald, E.; Cozowicz, C.; Saleh, J.; Arrington, M.; Poeran, J.; Zubizarreta, N.; Memtsoudis, S. Postoperative Delirium in Total Knee and Hip Arthroplasty Patients: A Study of Perioperative Modifiable Risk Factors. Br. J. Anaesth. 2018, 120, 999–1008. [Google Scholar] [CrossRef] [PubMed]
- Rouxel, P.; Tran, L.; Sitbon, P.; Martinez, V.; Beloeil, H. Prise En Charge de La Douleur Postopératoire: L’étude AlgoSFAR, Un Audit National de 3315 Patients. Anesth. Réanimation 2021, 7, 376–386. [Google Scholar] [CrossRef]
- Rengel, K.; Pandharipande, P.; Hughes, C. Postoperative Delirium. Presse Médicale 2018, 47, e53–e64. [Google Scholar] [CrossRef]
- Juliebø, V.; Bjøro, K.; Krogseth, M.; Skovlund, E.; Ranhoff, A.; Wyller, T. Risk Factors for Preoperative and Postoperative Delirium in Elderly Patients with Hip Fracture: Risk factors for delirium. J. Am. Geriatr. Soc. 2009, 57, 1354–1361. [Google Scholar] [CrossRef]
- Jiang, X.; Chen, D.; Lou, Y.; Li, Z. Risk Factors for Postoperative Delirium after Spine Surgery in Middleand Old-Aged Patients. Aging Clin. Exp. Res. 2017, 29, 1039–1044. [Google Scholar] [CrossRef] [PubMed]
- Marcantonio, E.R.; Goldman, L.; Orav, E.J.; Cook, E.F.; Lee, T.H. The Association of Intraoperative Factors with the Development of Postoperative Delirium. Am. J. Med. 1998, 105, 380–384. [Google Scholar] [CrossRef] [PubMed]
- Morandi, A.; Inzitari, M.; Udina, C.; Gual, N.; Mota, M.; Tassistro, E.; Andreano, A.; Cherubini, A.; Gentile, S.; Mossello, E.; et al. Visual and Hearing Impairment Are Associated with Delirium in Hospitalized Patients: Results of a Multisite Prevalence Study. J. Am. Med. Dir. Assoc. 2021, 22, 1162–1167.e3. [Google Scholar] [CrossRef]



| Study Population | Absence POD | POD | p Value | |
|---|---|---|---|---|
| n = 109 | n = 85 | n = 24 | ||
| Age (years) | 75 [70–81.5] | 74 [68–77.5] | 82 [73–86.5] | 0.002 |
| Age < 70 years n (%) | 26 (23.8%) | 24 (28.2%) | 2 (8.3%) | 0.043 |
| Gender, male n (%) | 50 (45.6%) | 43 (50.6%) | 7 (29.1%) | 0.050 |
| Weight (kg) | 68.5 [59.5–80] | 69.5 [61–80] | 61.5 [56–71.5] | 0.063 |
| BMI (kg/m2) | 25.2 [24.4–26.1] | 25.5 [24.6–26.4] | 24.3 [22.2–26.4] | 0.140 |
| ASA Score | 2 [2–3] | 2 [2–3] | 3 [2–3] | 0.115 |
| Season n (%) | 0.813 | |||
| Winter | 43 (47.7%) | 41 (48.2%) | 11 (45.8%) | |
| Spring | 14 (12.8%) | 12 (14.1%) | 2 (16.7%) | |
| Summer | 11 (10.1%) | 9 (10.6%) | 2 (16.7%) | |
| Autumn | 32 (29.3%) | 23 (27.1%) | 9 (37.5%) | |
| Charlson score | 5 [4–6] | 5 [4–6] | 5 [4–7] | 0.213 |
| Preoperative sensory deficit n (%) | 24 (22.0%) | 13 (15.3%) | 11 (45.8%) | 0.003 |
| preoperative alcool consumption n (%) | 0.403 | |||
| Absence | 91 (83.5%) | 70 (82.3%) | 21 (87.5%) | |
| 1 glass/d | 12 (11.0%) | 9 (10.6%) | 3 (12.5%) | |
| ≥2 glasses/d | 6 (5.5%) | 6 (7.1%) | 0 (0.0%) | |
| Active smoking (%) | 10 (9.2%) | 8 (9.4%) | 2 (8.3%) | 0.87 |
| Preoperative treatment n (%) | ||||
| Benzodiazepine | 17 (15.6%) | 8 (9.4%) | 9 (37.5%) | <0.001 |
| Tricyclic | 5 (4.6%) | 2 (2.35%) | 3 (12.5%) | 0.036 |
| Opioid | 5 (4.6%) | 3 (3.6%) | 2 (8.3%) | 0.327 |
| Antiepileptic | 5 (4.6%) | 5 (5.9%) | 0 (0%) | 0.224 |
| Antipsychotic | 2 (1.8%) | 1 (1.2%) | 1 (4.2%) | 0.335 |
| Depression n (%) | 36 (33.0%) | 26 (30.6%) | 10 (41.7%) | 0.534 |
| Preoperative cognitive frailty (Codex Test) n (%) | 15 (13.8%) | 6 (7.1%) | 9 (37.5%) | <0.001 |
| Physical activity n (%) | 40 (37%) | 32 (38.1%) | 8 (33.3%) | 0.430 |
| Polymedication n (%) | 51 (46.8%) | 35 (41.2%) | 16 (66.7%) | 0.027 |
| Creatinine serum (µmol/L) | 85.5 [78.3–92.7] | 86 [77–94.7] | 83 [66.2–96.5] | 0.746 |
| Haemoglobine (g/dL) | 12.9 [12.6–13.2] | 13 [12.7–13.4] | 12.8 [11.7–14.6] | 0.189 |
| Albumin (g/dL) | 42.3 [39.9–44.5] | 42.6 [39.9–44.9] | 41.1 [38.1–43.3] | 0.307 |
| Premedication n (%) | 2 (1.8%) | 2 (2.35%) | 0 (0%) | 0.448 |
| Study Population | Absence POD | POD | p Value | |
|---|---|---|---|---|
| n = 109 | n = 85 | n = 24 | ||
| Type of Anesthesia n (%) | 0.436 | |||
| General | 44 (40.4%) | 37 (43.5%) | 7 (29.2%) | |
| General and Regional | 62 (56.9%) | 46 (54.1%) | 16 (666%) | |
| Regional | 3 (2.7%) | 2 (2.4%) | 1 (4.2%) | |
| Type of RA n (%) | ||||
| Perimedullary | 20 (18.3%) | 15 (17.6%) | 5 (20.8%) | 0.725 |
| Extra-axiale | 44 (40.3%) | 33 (38.8%) | 11 (48.8%) | 0.469 |
| Surgery schedule n (%) | ||||
| Morning | 51 (46.8%) | 41 (48.2%) | 10 (41.7%) | 0.125 |
| Noon | 45 (41.3%) | 36 (42.4%) | 9 (37.5%) | 0.127 |
| Evening | 13 (11.9%) | 8 (9.4%) | 5 (20.8%) | 0.129 |
| Emergency n (%) | 11 (10.1%) | 7 (8.2%) | 4 (16.7%) | 0.199 |
| Surgical Specialty n (%) | 0.387 | |||
| Neurosurgery | 28 (25.7%) | 23 (27.1%) | 5 (20.8%) | |
| Visceral Surgery | 48 (44%) | 39 (45.9%) | 9 (37.5%) | |
| Orthopedic | 33 (30.3%) | 23 (27.1%) | 10 (34.7%) | |
| Brain Surgery n (%) | 14 (12.8%) | 10 (11.8%) | 4 (16.7%) | 0.526 |
| Surgery Duration (min) | 110 [60–180] | 100 [60–150] | 120 [60–240] | 0.980 |
| Hypotension duration (min) | 3 [3–10] | 3 [3–7] | 10 [3–15] | 0.003 |
| Intraoperative hypotension, n (%) | ||||
| <5 min | 70 (64.2%) | 59 (69.4%) | 11 (45.8%) | 0.040 |
| 5–10 min | 24 (22%) | 21 (24.7%) | 3 (12.5%) | 0.202 |
| 10–15 min | 7 (6.4%) | 2 (2.35%) | 5 (20.8%) | 0.005 |
| >15 min | 8 (7.34%) | 3 (3.5%) | 5 (20.8%) | 0.012 |
| BIS n (%) | 46 (42.2%) | 35 (41.2%) | 11 (45.8%) | 0.683 |
Disclaimer/Publisher’s Note: The statements, opinions and data contained in all publications are solely those of the individual author(s) and contributor(s) and not of MDPI and/or the editor(s). MDPI and/or the editor(s) disclaim responsibility for any injury to people or property resulting from any ideas, methods, instructions or products referred to in the content. |
© 2024 by the authors. Licensee MDPI, Basel, Switzerland. This article is an open access article distributed under the terms and conditions of the Creative Commons Attribution (CC BY) license (https://creativecommons.org/licenses/by/4.0/).
Share and Cite
Vizerie, L.; Morales, T.; Galey, S.; Montel, F.; Velly, L.; Bruder, N.; Simeone, P. Risk Factors and Pain Management in the Incidence of Postoperative Delirium in Elderly Patients: A Retrospective Study. J. Clin. Med. 2024, 13, 7624. https://doi.org/10.3390/jcm13247624
Vizerie L, Morales T, Galey S, Montel F, Velly L, Bruder N, Simeone P. Risk Factors and Pain Management in the Incidence of Postoperative Delirium in Elderly Patients: A Retrospective Study. Journal of Clinical Medicine. 2024; 13(24):7624. https://doi.org/10.3390/jcm13247624
Chicago/Turabian StyleVizerie, Lucas, Timothée Morales, Sophie Galey, Franck Montel, Lionel Velly, Nicolas Bruder, and Pierre Simeone. 2024. "Risk Factors and Pain Management in the Incidence of Postoperative Delirium in Elderly Patients: A Retrospective Study" Journal of Clinical Medicine 13, no. 24: 7624. https://doi.org/10.3390/jcm13247624
APA StyleVizerie, L., Morales, T., Galey, S., Montel, F., Velly, L., Bruder, N., & Simeone, P. (2024). Risk Factors and Pain Management in the Incidence of Postoperative Delirium in Elderly Patients: A Retrospective Study. Journal of Clinical Medicine, 13(24), 7624. https://doi.org/10.3390/jcm13247624

