Multimodal Approach Combining Thulium Laser Vaporization, Bipolar Transurethral Resection of the Prostate, and Bipolar Plasma Vaporization versus Bipolar Transurethral Resection of the Prostate: A Matched-Pair Analysis
Abstract
1. Introduction
2. Materials and Methods
2.1. Surgical Indication
2.2. Inclusion Criteria
2.3. Exclusion Criteria
2.4. Surgical Technique
2.5. Immediate and Long-Term Comparison
2.6. Statistical Analysis
3. Results
Follow-Up Data
4. Discussion
5. Conclusions
Author Contributions
Funding
Institutional Review Board Statement
Informed Consent Statement
Data Availability Statement
Conflicts of Interest
References
- Gravas, S.; Gacci, M.; Gratzke, C.; Herrmann, T.R.W.; Karavitakis, M.; Kyriazis, I.; Malde, S.; Mamoulakis, C.; Rieken, M.; Sakalis, V.I.; et al. Summary Paper on the 2023 European Association of Urology Guidelines on the Management of Non-neurogenic Male Lower Urinary Tract Symptoms. Eur. Urol. 2023, 84, 207–222. [Google Scholar] [CrossRef] [PubMed]
- Sinha, M.M.; Pietropaolo, A.; Hameed, B.M.Z.; Gauhar, V.; Somani, B.K. Outcomes of bipolar TURP compared to monopolar TURP: A comprehensive literature review. Turk. J. Urol. 2022, 48, 1–10. [Google Scholar] [CrossRef] [PubMed]
- Netsch, C.; Bach, T. Vaporization vs. enucleation techniques for BPO: Do we have a standard? Curr. Opin. Urol. 2015, 25, 45–52. [Google Scholar] [CrossRef] [PubMed]
- Bach, T.; Xia, S.J.; Yang, Y.; Mattioli, S.; Watson, G.M.; Gross, A.J.; Herrmann, T.R. Thulium: YAG 2 mum cw laser prostatectomy: Where do we stand? World J. Urol. 2010, 28, 163–168. [Google Scholar] [CrossRef] [PubMed]
- Herrmann, T.R.W.; Becker, B.; Netsch, C. Thulium YAG is the Best Laser for the Prostate Because of Versatility. Eur. Urol. Open Sci. 2022, 48, 18–21. [Google Scholar] [CrossRef] [PubMed]
- Zhu, Y.; Zhuo, J.; Xu, D.; Xia, S.; Herrmann, T.R. Thulium laser versus standard transurethral resection of the prostate for benign prostatic obstruction: A systematic review and meta-analysis. World J. Urol. 2015, 33, 509–515. [Google Scholar] [CrossRef] [PubMed]
- Hou, C.P.; Lin, Y.H.; Juang, H.H.; Chang, P.L.; Chen, C.L.; Yang, P.S.; Tsui, K.H. Clinical outcome of transurethral enucleation of the prostate using the 120-W thulium Laser (Vela™ XL) compared to bipolar transurethral resection of the prostate (TURP) in aging male. Aging 2020, 12, 1888–1898. [Google Scholar] [CrossRef] [PubMed]
- Kim, J.W.; Kim, Y.J.; Lee, Y.H.; Kwon, J.B.; Cho, S.R.; Kim, J.S. An Analytical Comparison of Short-term Effectiveness and Safety Between Thulium:YAG Laser Vaporesection of the Prostate and Bipolar Transurethral Resection of the Prostate in Patients With Benign Prostatic Hyperplasia. Korean J. Urol. 2014, 55, 41–46. [Google Scholar] [CrossRef][Green Version]
- Wang, K.; Li, Y.; Teng, J.F.; Zhou, H.Y.; Xu, D.F.; Fan, Y. Transurethral plasmakinetic resection of the prostate is a reliable minimal invasive technique for benign prostate hyperplasia: A meta-analysis of randomized controlled trials. Asian J. Androl. 2015, 17, 135–142. [Google Scholar] [CrossRef]
- Koca, O.; Keleş, M.O.; Kaya, C.; Güneş, M.; Öztürk, M.; Karaman, M.İ. Plasmakinetic vaporization versus transurethral resection of the prostate: Six-year results. Turk. J. Urol. 2014, 40, 134–137. [Google Scholar] [CrossRef]
- Pandolfo, S.D.; Crauso, F.; Aveta, A.; Cilio, S.; Barone, B.; Napolitano, L.; Scarpato, A.; Mirto, B.F.; Serino, F.; Del Giudice, F.; et al. A Novel Low-Cost Uroflowmetry for Patient Telemonitoring. Int. J. Environ. Res. Public Health 2023, 20, 3287. [Google Scholar] [CrossRef]
- Huang, K.C.; Chow, Y.C.; Chen, M.; Chiu, A.W. Combination of Thulium Laser Incision and Bipolar Resection Offers Higher Resection Velocity than Bipolar Resection Alone in Large Prostates. Urol. J. 2019, 16, 397–402. [Google Scholar] [CrossRef]
- Xie, T.; Lai, P.; Luo, M.; Xu, Y. The Effectiveness and Safety of Transurethral (Bipolar) Plasmakinetic Resection of Prostate Combined with Thulium Laser for Large Benign Prostatic Hyperplasia (>80ml). Urol. J. 2016, 13, 2889–2892. [Google Scholar]
- Ho, D.; Imai, K.; King, G.; Stuart, E. MatchIt: Nonparametric Preprocessing for Parametric Causal Inference. J. Stat. Softw. 2011, 42, 1–28. [Google Scholar] [CrossRef]
- R Core Team. R: A Language and Environment for Statistical Computing; R Foundation for Statistical Computing: Vienna, Austria, 2024. [Google Scholar]
- Lerner, L.B.; McVary, K.T.; Barry, M.J.; Bixler, B.R.; Dahm, P.; Das, A.K.; Gandhi, M.C.; Kaplan, S.A.; Kohler, T.S.; Martin, L.; et al. Management of Lower Urinary Tract Symptoms Attributed to Benign Prostatic Hyperplasia: AUA guideline Part I-Initial Work-up and Medical Management. J. Urol. 2021, 206, 806–817. [Google Scholar] [CrossRef] [PubMed]
- Reich, O.; Gratzke, C.; Bachmann, A.; Seitz, M.; Schlenker, B.; Hermanek, P.; Lack, N.; Stief, C.G. Morbidity, mortality and early outcome of transurethral resection of the prostate: A prospective multicenter evaluation of 10,654 patients. J. Urol. 2008, 180, 246–249. [Google Scholar] [CrossRef]
- John, H.; Wagner, C.; Padevit, C.; Witt, J.H. From open simple to robotic-assisted simple prostatectomy (RASP) for large benign prostate hyperplasia: The time has come. World J. Urol. 2021, 39, 2329–2336. [Google Scholar] [CrossRef] [PubMed]
- Fraundorfer, M.R.; Gilling, P.J. Holmium:YAG laser enucleation of the prostate combined with mechanical morcellation: Preliminary results. Eur. Urol. 1998, 33, 69–72. [Google Scholar] [CrossRef] [PubMed]
- Porto, J.G.; Blachman-Braun, R.; Delgado, C.; Zarli, M.; Chen, R.; Ajami, T.; Marcovich, R.; Shah, H.N. Is Holmium Laser Enucleation of the Prostate Truly Size-Independent? A Critical Evaluation at the Extreme Ends of the Spectrum. Urology 2023, 182, 204–210. [Google Scholar] [CrossRef]
- Enikeev, D.; Taratkin, M.S.; Morozov, A.; Singla, N.; Gabdulina, S.; Tarasov, A.; Sukhanov, R.B.; Rivas, J.G.; Laukhtina, E.; Arshiev, M.; et al. Long-Term Outcomes of Holmium Laser Enucleation of the Prostate: A 5-Year Single-Center Experience. J. Endourol. 2020, 34, 1055–1063. [Google Scholar] [CrossRef]
- Xia, S.-J.; Zhang, Y.-N.; Lu, J.; Sun, X.-W.; Zhang, J.; Zhu, Y.-Y.; Li, W.-G. Thulium laser resection of prostate-tangerine technique in treatment of benign prostate hyperplasia. Zhonghua Yi Xue Za Zhi 2005, 85, 3225–3228. [Google Scholar]
- Bach, T.; Herrmann, T.R.W.; Ganzer, R.; Burchardt, M.; Gross, A.J. RevoLix vaporesection of the prostate: Initial results of 54 patients with a 1-year follow-up. World J. Urol. 2007, 25, 257–262. [Google Scholar] [CrossRef] [PubMed]
- Mattioli, S.; Rubén Muñoz Recasens, R.; Berbegal, C.; Cortada, J.; Urmeneta, J.M.; Teichmann, H. Treatment of benign prostatic hyperplasia with the Revolix laser. Arch. Esp. Urol. 2008, 61, 1037–1043. [Google Scholar]
- Bach, T.; Wendt-Nordahl, G.; Michel, M.S.; Herrmann, T.R.; Gross, A.J. Feasibility and efficacy of Thulium:YAG laser enucleation (VapoEnucleation) of the prostate. World J. Urol. 2009, 27, 541–545. [Google Scholar] [CrossRef] [PubMed]
- Herrmann, T.R.W.; Bach, T.; Imkamp, F.; Georgiou, A.; Burchardt, M.; Oelke, M.; Gross, A.J. Thulium laser enucleation of the prostate (ThuLEP): Transurethral anatomical prostatectomy with laser support. Introduction of a novel technique for the treatment of benign prostatic obstruction. World J. Urol. 2010, 28, 45–51. [Google Scholar] [CrossRef]
- Cui, D.; Sun, F.; Zhuo, J.; Sun, X.; Han, B.; Zhao, F.; Jing, Y.; Lu, J.; Xia, S. A randomized trial comparing thulium laser resection to standard transurethral resection of the prostate for symptomatic benign prostatic hyperplasia: Four-year follow-up results. World J. Urol. 2014, 32, 683–689. [Google Scholar] [CrossRef]
- Deng, Z.; Sun, M.; Zhu, Y.; Zhuo, J.; Zhao, F.; Xia, S.; Han, B.; Herrmann, T.R.W. Thulium laser VapoResection of the prostate versus traditional transurethral resection of the prostate or transurethral plasmakinetic resection of prostate for benign prostatic obstruction: A systematic review and meta-analysis. World J. Urol. 2018, 36, 1355–1364. [Google Scholar] [CrossRef] [PubMed]
- Sun, F.; Han, B.; Cui, D.; Zhao, F.; Sun, X.; Zhuo, J.; Jing, Y.; Liu, H.; Xia, S.; Yang, Y.; et al. Long-term results of thulium laser resection of the prostate: A prospective study at multiple centers. World J. Urol. 2015, 33, 503–508. [Google Scholar] [CrossRef]
- Worthington, J.; Lane, J.A.; Taylor, H.; Young, G.; Noble, S.M.; Abrams, P.; Ahern, A.; Brookes, S.T.; Cotterill, N.; Johnson, L.; et al. Thulium laser transurethral vaporesection versus transurethral resection of the prostate for benign prostatic obstruction: The, UNBLOCS RCT. Health Technol. Assess. 2020, 24, 1–96. [Google Scholar] [CrossRef]
- Ditonno, F.; Manfredi, C.; Licari, L.C.; Bologna, E.; Franco, A.; Pandolfo, S.D.; De Sio, M.; De Nunzio, C.; Fiori, C.; Cherullo, E.E.; et al. Benign Prostatic Hyperplasia Surgery: A Snapshot of Trends, Costs, and Surgical Retreatment Rates in the USA. Eur. Urol. Focus 2024, in press. [Google Scholar] [CrossRef]
- Cantiello, F.; Crocerossa, F.; Alba, S.; Carbonara, U.; Pandolfo, S.D.; Falagario, U.; Veccia, A.; Ucciero, G.; Ferro, M.; Mondaini, N.; et al. Refining surgical strategies in ThuLEP for BPH: A propensity score matched comparison of En-bloc, three lobes, and two lobes techniques. World J. Urol. 2024, 42, 431. [Google Scholar] [CrossRef] [PubMed]





| TLP (n = 60) | Bipolar TURP (n = 60) | p Value | |
|---|---|---|---|
| Age, (years), mean (SD) | 64.38 (7.03) | 65.17 (7.64) | 0.508 |
| Age in classes, n (%) | 0.603 | ||
| <60 years | 14 (23.33) | 15 (25) | |
| 60–70 years | 34 (56.67) | 29 (48.33) | |
| >70 years | 12 (20) | 16 (26.67) | |
| ASA score in classes, n (%) | 43 (71.67) | 43 (71.67) | 1 |
| 1 + 2 | 17 (28.33) | 17 (28.33) | |
| 3 | |||
| PV, mL, median (IQR) | 70 (60–75) | 70 (60–75) | 0.01 |
| PV in classes | 1 | ||
| <60 | 9 (15) | 9 (15) | |
| 60–80 | 39 (65) | 39 (65) | |
| 80–100 | 1 (1.67) | 1 (1.67) | |
| 100–120 | 3 (5) | 3 (5) | |
| >120 | 8 (13.33) | 8 (13.33) | |
| Indwelling catheterization, n (%) | 12 (20) | 9 (15) | 0.635 |
| IPSS, median (IQR) | 27 (25–28) | 27 (26–28) | 0.038 |
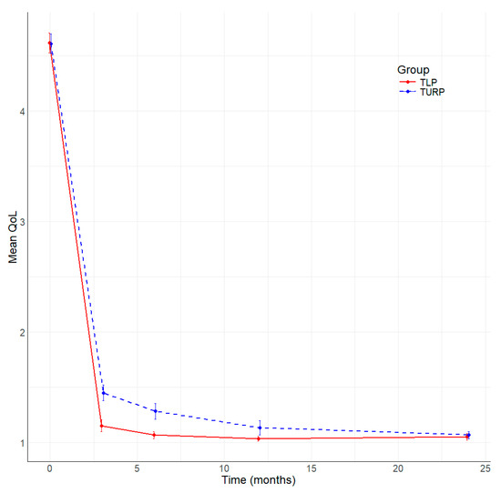
| QoL, median (IQR) | 4 (4–5) | 5 (4–5) | 0.882 |
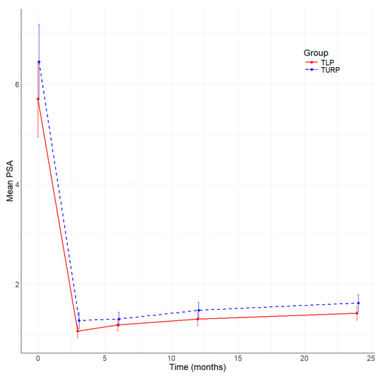
| PSA (ng/mL), median (IQR) | 4.43 (2.58–6.12) | 4.7 (3.55–7.28) | 0.531 |
| Qmax (mL/s), median (IQR) | 7 (5.85–8.25) | 7.4 (6.6–9.35) | 0.218 |
| PVR (mL), median (IQR) | 80 (68.5–105) | 80 (68–90) | 0.237 |
| TLP (n = 60) | Bipolar TURP (n = 60) | p Value | |
|---|---|---|---|
| Operative time, min, median (IQR) | 42 (34.75–50) | 45 (35–50) | 0.402 |
| Hemoglobin drop, g/dL, median (IQR) | −0.3 (−0.4–−0.2) | −0.6 (−0.75–−0.4) | <0.001 |
| Sodium drop, mmol/L, median (IQR) | −0.3 (−0.7–0) | −0.7 (−1.2–−0.3) | <0.001 |
| Catheterization time, days, median (IQR) | 7 (6.25–7) | 7 (7–7) | 0.053 |
| Hospital stay, days, median (IQR) | 2 (1–2) | 2 (1.5–2) | 0.917 |
| Complications | TLP (n = 60) | Bipolar TURP (n = 60) | p Value |
|---|---|---|---|
| Early complications | 12 (20) | 11 (18.33) | 1 |
| Capsular perforation | 0 (0) | 0 (0) | 1 |
| Reoperation for bleeding | 0 (0) | 0 (0) | 1 |
| Early acute urinary retention | 1 (1.67) | 3 (5) | 0.5 |
| Cloth retention | 1 (1.67) | 1 (1.67) | 1 |
| Urinary irritation/UTI | 9 (15) | 8 (13.33) | 1 |
| Transient urinary incontinence (at 3 mo) | 3 (5) | 5 (8.33) | 0.727 |
| Late complications | 0 | 4 (6.67) | 1 |
| Urethral stricture | 0 (0) | 3 (5) | 0.248 |
| Bladder neck contracture | 0 (0) | 1 (1.67) | 1 |
| Persistent stress incontinence (at 6 mo) | 0 (0) | 0 (0) | 1 |
| BPH recurrence | 0 (0) | 1 (1.67) | 1 |
| Early and late complications (%) | 12 (20) | 13 (21.67) | 1 |
| TLP (n = 60) | Bipolar TURP (n = 60) | p Value | |
|---|---|---|---|
| 3-month follow-up | |||
| IPSS, median (IQR) | 4 (4–4) | 5 (4–6) | <0.001 |
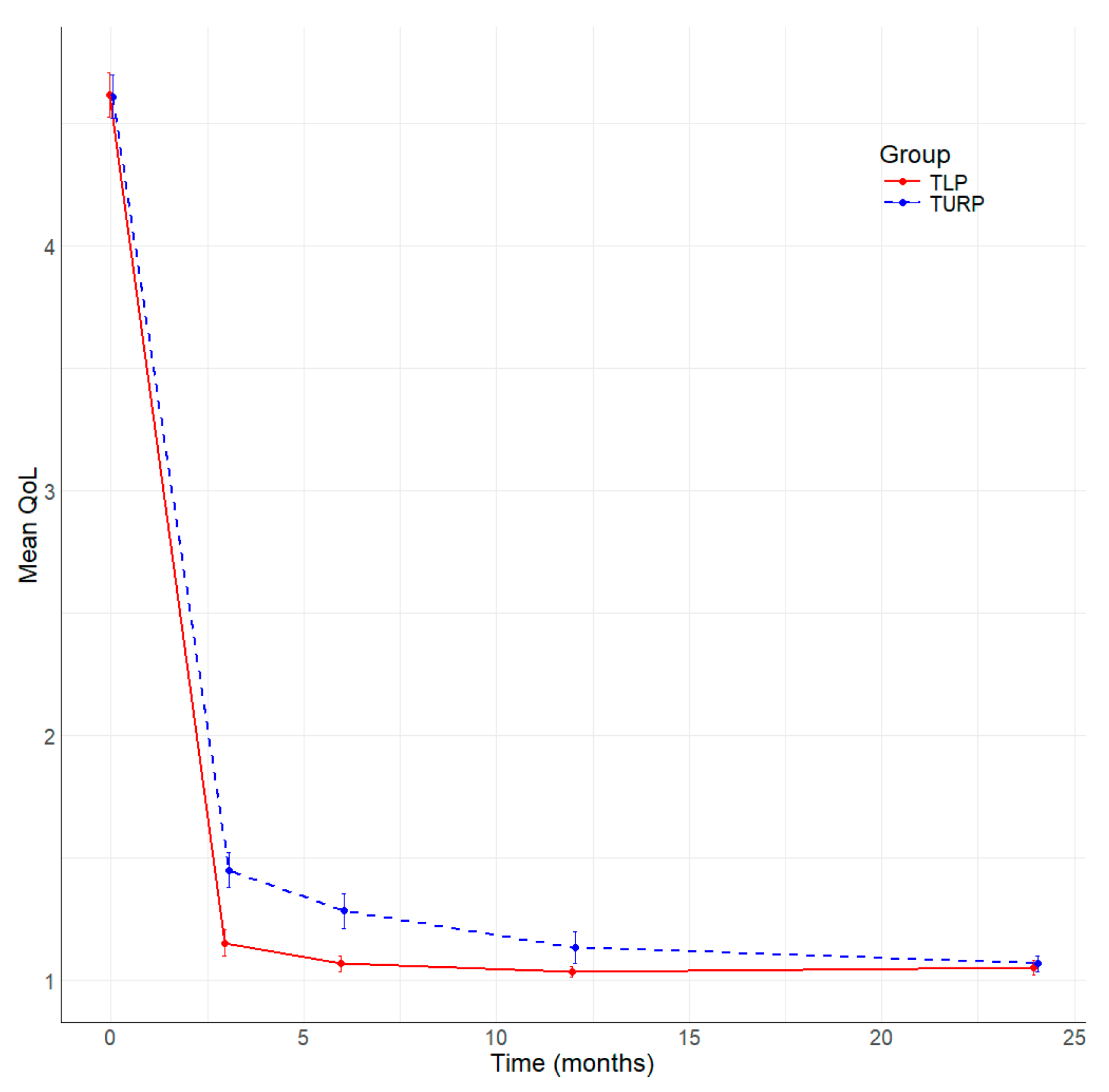
| QoL (range) | 1 (1–1) | 1 (1–2) | 0.001 |
| Qmax, mL/s, median (IQR) | 27.8 (26.18–29.88) | 25.95 (20.3–27.8) | <0.001 |
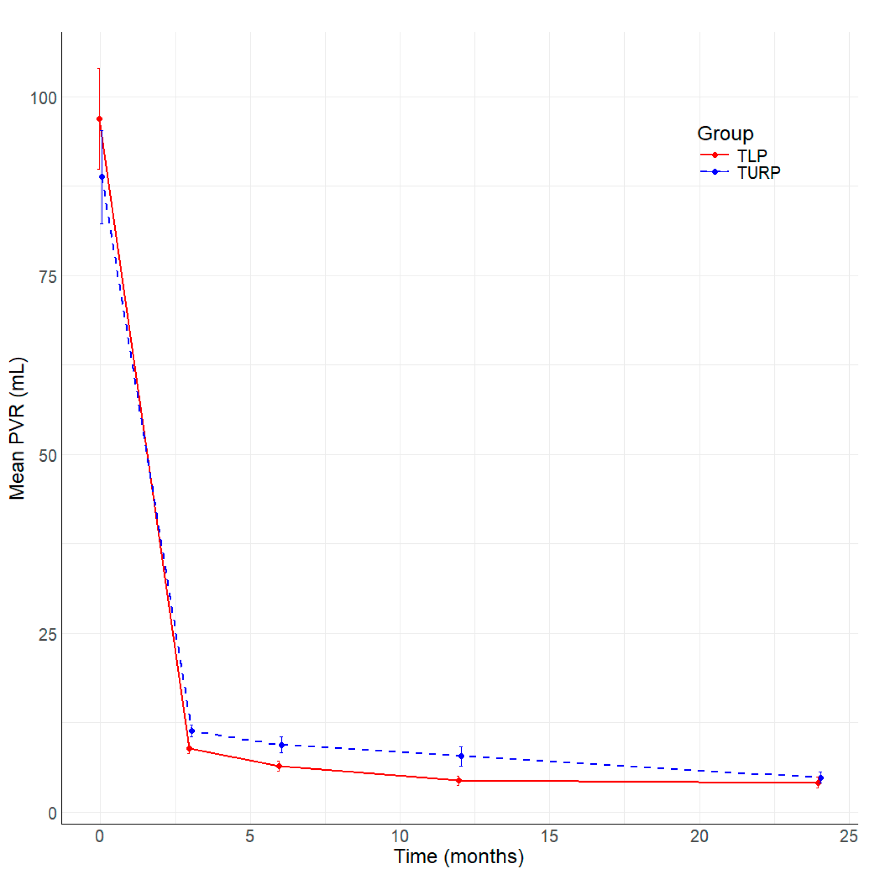
| PVR, mL, median (IQR) | 8.3 (4.85–12) | 10.6 (7–14) | 0.042 |
| 6-month follow-up | |||
| IPSS, median (IQR) | 4 (4–4) | 4 (4–5) | <0.001 |
| QoL (range) | 1 (1–1) | 1 (1–1) | 0.01 |
| Qmax, mL/s, median (IQR) | 29.25 (26.42–32.6) | 27.1 (23.58–29.42) | 0.006 |
| PVR, mL, median (IQR) | 6 (2.5–10) | 8 (2.45–14) | 0.034 |
| 12-month follow-up | |||
| IPSS, median (IQR) | 4 (4–4) | 4 (4–4) | 0.004 |
| QoL (range) | 1 (1–1) | 1 (1–1) | 0.188 |
| Qmax, mL/s, median (IQR) | 28.75 (25.85–32.73) | 26.2 (22.87–28.9) | 0.001 |
| PVR, mL, median (IQR) | 4 (0–7) | 6 (2–9) | 0.016 |
| 24-month follow-up | |||
| IPSS, median (IQR) | 4 (4–4) | 4 (4–4) | 0.083 |
| QoL (range) | 1 (1–1) | 1 (1–1) | 0.777 |
| Qmax, mL/s, median (IQR) | 28.6 (24.6–31.72) | 26 (22.47–28.42) | 0.005 |
| PVR, mL, median (IQR) | 2.6 (0–5.95) | 3.1 (0–7.15) | 0.279 |
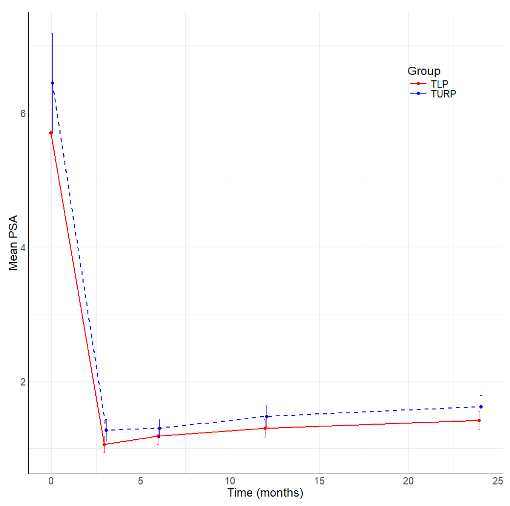
| PSA drop (%), median (IQR) | 73.92 (55.79–81.36) | 76.17 (60.85–83.83) | 0.578 |
Disclaimer/Publisher’s Note: The statements, opinions and data contained in all publications are solely those of the individual author(s) and contributor(s) and not of MDPI and/or the editor(s). MDPI and/or the editor(s) disclaim responsibility for any injury to people or property resulting from any ideas, methods, instructions or products referred to in the content. |
© 2024 by the authors. Licensee MDPI, Basel, Switzerland. This article is an open access article distributed under the terms and conditions of the Creative Commons Attribution (CC BY) license (https://creativecommons.org/licenses/by/4.0/).
Share and Cite
Coman, R.A.; Coman, R.T.; Popescu, R.-I.; Leucuta, D.C.; Couți, R.; Coman, I.; Al Hajjar, N. Multimodal Approach Combining Thulium Laser Vaporization, Bipolar Transurethral Resection of the Prostate, and Bipolar Plasma Vaporization versus Bipolar Transurethral Resection of the Prostate: A Matched-Pair Analysis. J. Clin. Med. 2024, 13, 4863. https://doi.org/10.3390/jcm13164863
Coman RA, Coman RT, Popescu R-I, Leucuta DC, Couți R, Coman I, Al Hajjar N. Multimodal Approach Combining Thulium Laser Vaporization, Bipolar Transurethral Resection of the Prostate, and Bipolar Plasma Vaporization versus Bipolar Transurethral Resection of the Prostate: A Matched-Pair Analysis. Journal of Clinical Medicine. 2024; 13(16):4863. https://doi.org/10.3390/jcm13164863
Chicago/Turabian StyleComan, Roxana Andra, Radu Tudor Coman, Răzvan-Ionuț Popescu, Daniel Corneliu Leucuta, Răzvan Couți, Ioan Coman, and Nadim Al Hajjar. 2024. "Multimodal Approach Combining Thulium Laser Vaporization, Bipolar Transurethral Resection of the Prostate, and Bipolar Plasma Vaporization versus Bipolar Transurethral Resection of the Prostate: A Matched-Pair Analysis" Journal of Clinical Medicine 13, no. 16: 4863. https://doi.org/10.3390/jcm13164863
APA StyleComan, R. A., Coman, R. T., Popescu, R.-I., Leucuta, D. C., Couți, R., Coman, I., & Al Hajjar, N. (2024). Multimodal Approach Combining Thulium Laser Vaporization, Bipolar Transurethral Resection of the Prostate, and Bipolar Plasma Vaporization versus Bipolar Transurethral Resection of the Prostate: A Matched-Pair Analysis. Journal of Clinical Medicine, 13(16), 4863. https://doi.org/10.3390/jcm13164863

