Reliability of EuroSCORE II on Prediction of Thirty-Day Mortality and Long-Term Results in Patients Treated with Sutureless Valves
Abstract
1. Introduction
2. Materials and Methods
Statistical Analysis
3. Results
3.1. 30-Day Mortality
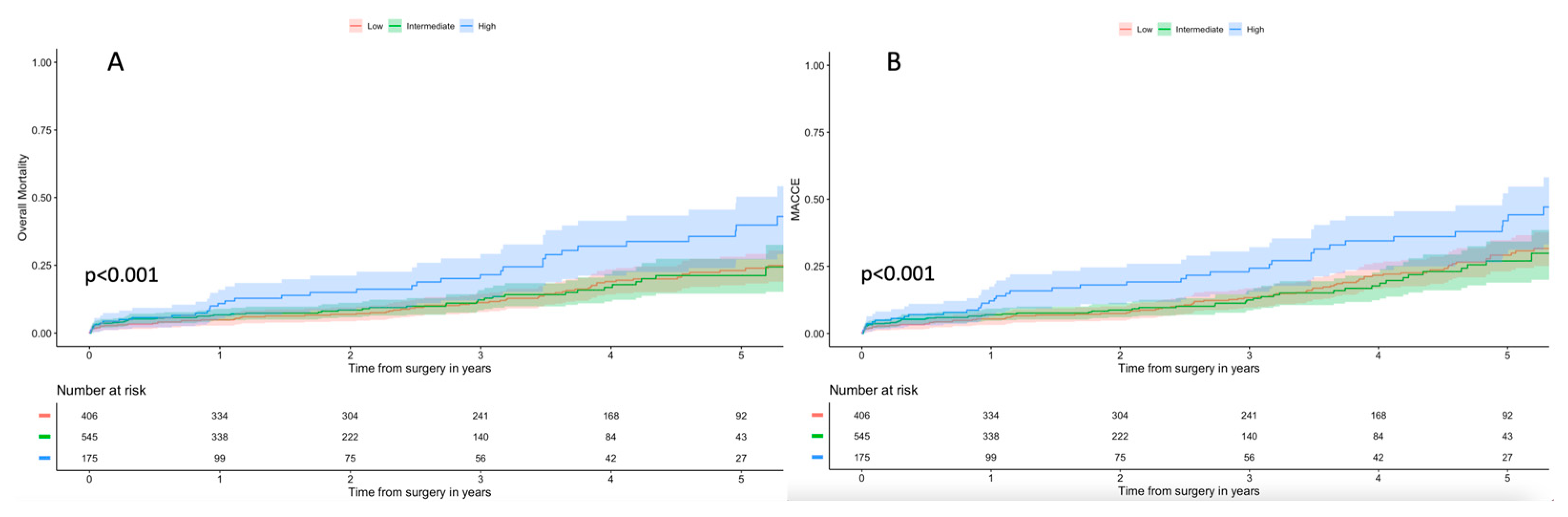
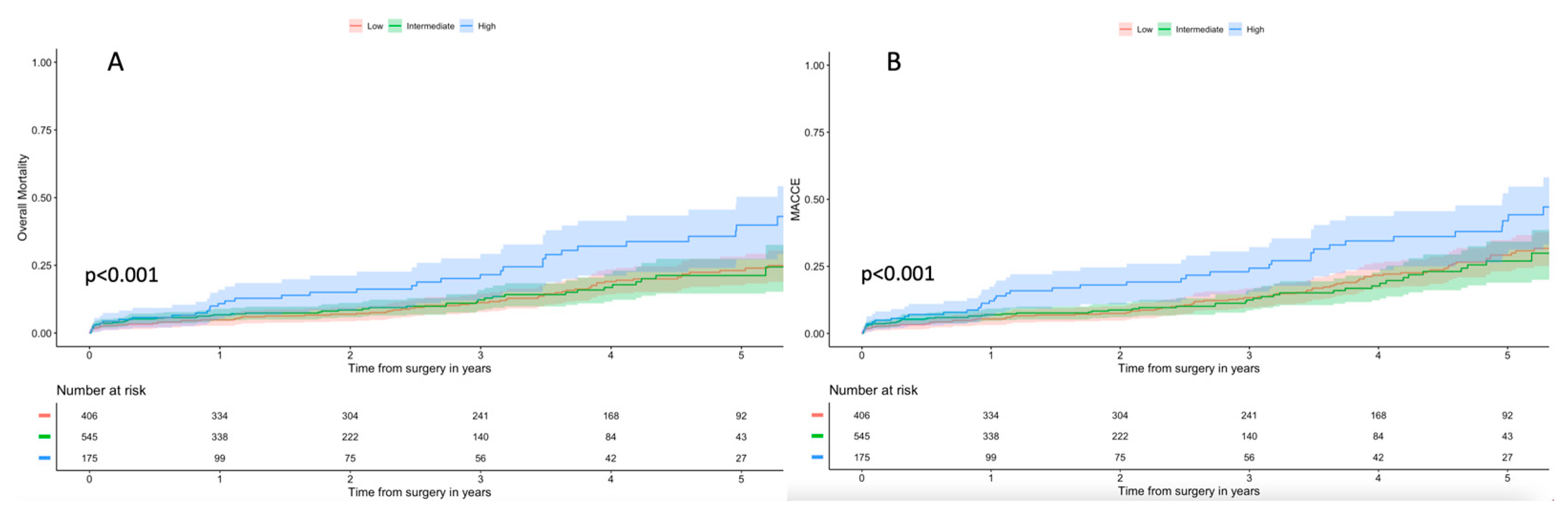
3.2. Follow-Up
4. Discussion
- EuroSCORE II overestimated the risk of mortality with an E/O ratio of 0.64 (95% IC: 0.49–0.89) in patients who underwent Su-AVR;
- The ROC curve tested on the whole population showed an acceptable accuracy of EuroSCORE II in estimating 30-day mortality with an AUC of 0.65;
- In the L-ES2 subgroup, EuroSCORE II had good predictive power with an E/O ratio of 0.98 (0.45–1.96);
- In patients younger than 75 years, the ROC curve showed good estimation performance in 30-day mortality with an AUC of 0.75. Suboptimal results were observed in patients older than 75 years, with an AUC of 0.61;
- The ROC curve showed a performance barely acceptable when ES II was used to estimate the risk of mortality at 60 months follow-up (AUC 0.64).
5. Conclusions
Supplementary Materials
Author Contributions
Funding
Institutional Review Board Statement
Informed Consent Statement
Data Availability Statement
Conflicts of Interest
References
- Leon, M.B.; Smith, C.R.; Mack, M.J.; Makkar, R.R.; Svensson, L.G.; Kodali, S.K.; Thourani, V.H.; Tuzcu, E.M.; Miller, D.C.; Herrmann, H.C.; et al. Transcatheter or Surgical Aortic-Valve Replacement in Intermediate-Risk Patients. N. Engl. J. Med. 2016, 374, 1609–1620. [Google Scholar] [CrossRef] [PubMed]
- Reardon, M.J.; Van Mieghem, N.M.; Popma, J.J.; Kleiman, N.S.; Søndergaard, L.; Mumtaz, M.; Adams, D.H.; Deeb, G.M.; Maini, B.; Gada, H.; et al. Surgical or Transcatheter Aortic-Valve Replacement in Intermediate-Risk Patients. N. Engl. J. Med. 2017, 376, 1321–1331. [Google Scholar] [CrossRef] [PubMed]
- Mack, M.J.; Leon, M.B.; Thourani, V.H.; Makkar, R.; Kodali, S.K.; Russo, M.; Kapadia, S.R.; Malaisrie, S.C.; Cohen, D.J.; Pibarot, P.; et al. Transcatheter Aortic-Valve Replacement with a Balloon-Expandable Valve in Low-Risk Patients. N. Engl. J. Med. 2019, 380, 1695–1705. [Google Scholar] [CrossRef] [PubMed]
- Coylewright, M.; Mack, M.J.; Holmes, D.R., Jr.; O’Gara, P.T. A call for an evidence-based approach to the Heart Team for patients with severe aortic stenosis. J. Am. Coll. Cardiol. 2015, 65, 1472–1480. [Google Scholar] [CrossRef] [PubMed]
- Nashef, S.A.; Roques, F.; Sharples, L.D.; Nilsson, J.; Smith, C.; Goldstone, A.R.; Lockowandt, U. EuroSCORE II. Eur. J. Cardiothorac. Surg. 2012, 41, 734–744. [Google Scholar] [CrossRef] [PubMed]
- Sullivan, P.G.; Wallach, J.D.; Ioannidis, J.P. Meta-Analysis Comparing Established Risk Prediction Models (EuroSCORE II, STS Score, and ACEF Score) for Perioperative Mortality during Cardiac Surgery. Am. J. Cardiol. 2016, 118, 1574–1582. [Google Scholar] [CrossRef] [PubMed]
- Biancari, F.; Vasques, F.; Mikkola, R.; Martin, M.; Lahtinen, J.; Heikkinen, J. Validation of EuroSCORE II in patients undergoing coronary artery bypass surgery. Ann. Thorac. Surg. 2012, 93, 1930–1935. [Google Scholar] [CrossRef] [PubMed]
- Di Dedda, U.; Pelissero, G.; Agnelli, B.; De Vincentiis, C.; Castelvecchio, S.; Ranucci, M. Accuracy, calibration and clinical performance of the new EuroSCORE II risk stratification system. Eur. J. Cardiothorac. Surg. 2013, 43, 27–32. [Google Scholar] [CrossRef]
- Osnabrugge, R.L.; Speir, A.M.; Head, S.J.; Fonner, C.E.; Fonner, E.; Kappetein, A.P.; Rich, J.B. Performance of EuroSCORE II in a large US database: Implications for transcatheter aortic valve implantation. Eur. J. Cardiothorac. Surg. 2014, 46, 400–408. [Google Scholar] [CrossRef]
- Howell, N.J.; Head, S.J.; Freemantle, N.; van der Meulen, T.A.; Senanayake, E.; Menon, A.; Kappetein, A.P.; Pagano, D. The new EuroSCORE II does not improve prediction of mortality in high-risk patients undergoing cardiac surgery: A collaborative analysis of two European centres. Eur. J. Cardiothorac. Surg. 2013, 44, 1006–1011; discussion 1011. [Google Scholar] [CrossRef][Green Version]
- Singh, N.; Gimpel, D.; Parkinson, G.; Conaglen, P.; Meikle, F.; Lin, Z.; Kejriwal, N.; Odom, N.; McCormack, D.J.; El-Gamel, A. Assessment of the EuroSCORE II in a New Zealand Tertiary Centre. Heart Lung Circ. 2019, 28, 1670–1676. [Google Scholar] [CrossRef] [PubMed]
- Shan, L.; Ge, W.; Pu, Y.; Cheng, H.; Cang, Z.; Zhang, X.; Li, Q.; Xu, A.; Wang, Q.; Gu, C.; et al. Assessment of three risk evaluation systems for patients aged ≥70 in East China: Performance of SinoSCORE, EuroSCORE II and the STS risk evaluation system. PeerJ 2018, 6, e4413. [Google Scholar] [CrossRef]
- Poullis, M.; Pullan, M.; Chalmers, J.; Mediratta, N. The validity of the original EuroSCORE and EuroSCORE II in patients over the age of seventy. Interact. Cardiovasc. Thorac. Surg. 2015, 20, 172–177. [Google Scholar] [CrossRef] [PubMed]
- Provenchère, S.; Chevalier, A.; Ghodbane, W.; Bouleti, C.; Montravers, P.; Longrois, D.; Iung, B. Is the EuroSCORE II reliable to estimate operative mortality among octogenarians? PLoS ONE 2017, 12, e0187056. [Google Scholar] [CrossRef] [PubMed]
- Meco, M.; Montisci, A.; Miceli, A.; Panisi, P.; Donatelli, F.; Cirri, S.; Ferrarini, M.; Lio, A.; Glauber, M. Sutureless Perceval Aortic Valve versus Conventional Stented Bioprostheses: Meta-Analysis of Postoperative and Midterm Results in Isolated Aortic Valve Replacement. J. Am. Heart Assoc. 2018, 7, e006091. [Google Scholar] [CrossRef] [PubMed]
- Fischlein, T.; Folliguet, T.; Meuris, B.; Shrestha, M.L.; Roselli, E.E.; McGlothlin, A.; Kappert, U.; Pfeiffer, S.; Corbi, P.; Lorusso, R.; et al. Sutureless versus conventional bioprostheses for aortic valve replacement in severe symptomatic aortic valve stenosis. J. Thorac. Cardiovasc. Surg. 2021, 161, 920–932. [Google Scholar] [CrossRef] [PubMed]
- Muneretto, C.; Di Bacco, L.; Pollari, F.; Baudo, M.; Solinas, M.; D’Alonzo, M.; Di Eusanio, M.; Rosati, F.; Folliguet, T.; Fischlein, T. Sutureless versus transcatheter valves in patients with aortic stenosis at intermediate risk: A multi-institutional European study. Surgery 2023, 174, 1153–1160. [Google Scholar] [CrossRef] [PubMed]
- Santarpino, G.; Berretta, P.; Fischlein, T.; Carrel, T.P.; Teoh, K.; Misfeld, M.; Savini, C.; Kappert, U.; Glauber, M.; Villa, E.; et al. Operative outcome of patients at low, intermediate, high and ‘very high’ surgical risk undergoing isolated aortic valve replacement with sutureless and rapid deployment prostheses: Results of the SURD-IR registry. Eur. J. Cardiothorac. Surg. 2019, 56, 38–43. [Google Scholar] [CrossRef] [PubMed]
- Vahanian, A.; Beyersdorf, F.; Praz, F.; Milojevic, M.; Baldus, S.; Bauersachs, J.; Capodanno, D.; Conradi, L.; De Bonis, M.; De Paulis, R.; et al. 2021 ESC/EACTS Guidelines for the management of valvular heart disease. Eur. Heart J. 2022, 43, 561–632. [Google Scholar] [CrossRef]
- Généreux, P.; Piazza, N.; Alu, M.C.; Nazif, T.; Hahn, R.T.; Pibarot, P.; Bax, J.J.; Leipsic, J.A.; Blanke, P.; Blackstone, E.H.; et al. Valve Academic Research Consortium 3: Updated Endpoint Definitions for Aortic Valve Clinical Research. J. Am. Coll. Cardiol. 2021, 77, 2717–2746. [Google Scholar] [CrossRef]
- Onorati, F.; Quintana, E.; El-Dean, Z.; Perrotti, A.; Sponga, S.; Ruggieri, V.G.; Rinaldi, M.; Milano, A.D.; Santini, F.; Chocron, S.; et al. Aortic Valve Replacement for Aortic Stenosis in Low-, Intermediate-, and High-Risk Patients: Preliminary Results from a Prospective Multicenter Registry. J. Cardiothorac. Vasc. Anesth. 2020, 34, 2091–2099. [Google Scholar] [CrossRef] [PubMed]
- Durand, E.; Borz, B.; Godin, M.; Tron, C.; Litzler, P.Y.; Bessou, J.P.; Dacher, J.-N.; Bauer, F.; Cribier, A.; Eltchaninoff, H. Performance analysis of EuroSCORE II compared to the original logistic EuroSCORE and STS scores for predicting 30-day mortality after transcatheter aortic valve replacement. Am. J. Cardiol. 2013, 111, 891–897. [Google Scholar] [CrossRef] [PubMed]
- Ishizu, K.; Shirai, S.; Isotani, A.; Hayashi, M.; Kawaguchi, T.; Taniguchi, T.; Ando, K.; Yashima, F.; Tada, N.; Yamawaki, M.; et al. Long-Term Prognostic Value of the Society of Thoracic Surgery Risk Score in Patients Undergoing Transcatheter Aortic Valve Implantation (from the OCEAN-TAVI Registry). Am. J. Cardiol. 2021, 149, 86–94. [Google Scholar] [CrossRef] [PubMed]
- Barili, F.; Barzaghi, N.; Cheema, F.H.; Capo, A.; Jiang, J.; Ardemagni, E.; Argenziano, M.; Grossi, C. An original model to predict intensive care unit length-of stay after cardiac surgery in a competing risk framework. Int. J. Cardiol. 2013, 168, 219–225. [Google Scholar] [CrossRef]
- Kilic, A.; Goyal, A.; Miller, J.K.; Gleason, T.G.; Dubrawksi, A. Performance of a Machine Learning Algorithm in Predicting Outcomes of Aortic Valve Replacement. Ann. Thorac. Surg. 2021, 111, 503–510. [Google Scholar] [CrossRef] [PubMed]
- Nielsen, D.; Sellgren, J.; Ricksten, S.E. Quality of life after cardia surgery complicated by multiple organ failure. Crit. Care Med. 1997, 25, 52–57. [Google Scholar] [CrossRef] [PubMed]
- Barili, F.; Pacini, D.; D’Ovidio, M.; Dang, N.C.; Alamanni, F.; Di Bartolomeo, R.; Grossi, C.; Davoli, M.; Fusco, D.; Parolari, A. The Impact of EuroSCORE II Risk Factors on Prediction of Long-Term Mortality. Ann. Thorac. Surg. 2016, 102, 1296–1303. [Google Scholar] [CrossRef]





| Variables | SUAVR (n = 1126 pts) | Low Risk (n = 406 pts) | Intermediate Risk (n = 545) | High Risk (n = 175) | p-Value | ||||
|---|---|---|---|---|---|---|---|---|---|
| n (%) | n (%) | n (%) | n (%) | ||||||
| Surgical approach | |||||||||
| Sternotomy | 284 | 25.2% | 95 | 23.4% | 147 | 27.0% | 57 | 32.6% | <0.001 |
| Ministernotomy | 674 | 59.9% | 297 | 73.2% | 259 | 47.5% | 118 | 67.4% | |
| Right anterior thoracotomy | 168 | 14.9% | 14 | 3.4% | 139 | 25.5% | 0 | 0.0% | |
| Non-elective procedure | 18 | 1.6% | 2 | 0.5% | 11 | 2.0% | 5 | 2.9% | 0.019 |
| Aortic cross-clamp (min) (mean ± SD) | 43.9 | 21.2 | 41.4 | 18.8 | 48.7 | 22.7 | 36.4 | 19.6 | <0.001 |
| CPB (min) (mean ± SD) | 69.4 | 31.5 | 63.8 | 28.4 | 77.5 | 32.5 | 61.6 | 31.8 | <0.001 |
| Intraprocedural mortality | 7 | 0.6% | 3 | 0.7% | 2 | 0.4% | 2 | 1.1% | 0.568 |
| 30-Day mortality | 34 | 3.0% | 9 | 2.2% | 19 | 3.5% | 6 | 3.4% | 0.540 |
| AKI | 37 | 3.3% | 16 | 3.9% | 12 | 2.2% | 9 | 5.1% | 0.048 |
| Stroke/TIA | 38 | 3.4% | 12 | 2.9% | 18 | 3.3% | 8 | 4.6% | 0.021 |
| Life-threatening bleeding | 59 | 5.2% | 20 | 4.9% | 30 | 5.5% | 9 | 5.1% | 0.985 |
| Intraprocedural AMI | 1 | 0.1% | 0 | 0.0% | 0 | 0.0% | 1 | 0.6% | 0.987 |
| Permanent PM implantation | 79 | 7.0% | 30 | 7.4% | 35 | 6.4% | 14 | 8.0% | 0.669 |
| Paravalvular leak ≥ 2 | 11 | 1.0% | 3 | 0.7% | 6 | 1.1% | 2 | 1.1% | 0.845 |
| Endocarditis | 19 | 1.7% | 2 | 0.5% | 12 | 2.2% | 5 | 2.8% | 0.063 |
| Pneumonia | 35 | 3.1% | 5 | 1.2% | 23 | 4.2% | 7 | 4.0% | 0.125 |
| Transfusions | 343 | 30.5% | 93 | 22.9% | 179 | 32.8% | 71 | 40.6% | <0.001 |
| DSWI | 11 | 1.0% | 3 | 0.7% | 6 | 1.1% | 2 | 1.1% | 0.816 |
| A | Low Risk | Intermediate Risk | High Risk |
| n = 406 | n = 545 | n = 175 | |
| O/E ratio (95%CI) | 0.98 (0.45–1.96) | 0.61 (0.37–0.96) | 0.30 (0.11–0.65) |
| AUROC (95%CI) | 0.76 (0.64–0.89) | 0.64 (0.53–0.74) | 0.58 (0.41–0.75) |
| AUROC p-value | p = 0.004 | p = 0.023 | p = 0.422 |
| Bonferroni correction | 0.008 | 0.046 | 0.844 |
| HL goodness-of-fit test | |||
| calibration p-value | 0.381 | 0.061 | 0.098 |
| Bonferroni correction | 0.762 | 0.122 | 0.196 |
| B | Overall Population | Age ≤ 75 yrs | Age > 75 |
| n = 1126 | n = 292 | n = 834 | |
| O/E ratio (95%CI) | 0.64 (0.49–0.89) | 0.54 (0.23–1.20) | 0.47 (0.22–0.71) |
| AUROC (95%CI) | 0.65 (0.56–0.72) | 0.75 (0.65–0.87) | 0.62 (0.50–0.71) |
| AUROC p-value | p < 0.001 | p < 0.001 | p = 0.027 |
| Bonferroni correction | <0.001 | <0.001 | 0.844 |
| HL goodness-of-fit test | |||
| Calibration p-value | 0.399 | 0.534 | 0.046 |
| Bonferroni Correction | 0.798 | 0.999 | 0.092 |
| Univariable | Multivariable | |||||||
|---|---|---|---|---|---|---|---|---|
| HR | LCI | UCI | p-Value | HR | LCI | UCI | p-Value | |
| ESII ≥ 8% (versus low and intermediate risk) | 2.10 | 1.51 | 2.92 | <0.001 | 1.82 | 1.29 | 2.56 | <0.001 |
| Age | 1.03 | 1.00 | 1.05 | 0.029 | ||||
| Male Gender | 1.38 | 1.04 | 1.83 | 0.025 | ||||
| BSA | 0.61 | 0.28 | 1.30 | 0.203 | ||||
| Active Smoker | 0.85 | 0.55 | 1.29 | 0.456 | ||||
| Diabetes Mellitus | 1.31 | 0.97 | 1.77 | 0.068 | ||||
| Previous Atrial Fibrillation | 2.40 | 1.62 | 3.57 | <0.001 | 1.74 | 1.14 | 2.65 | 0.009 |
| PAD | 1.06 | 0.74 | 1.51 | 0.729 | ||||
| Previous CABG | 0.98 | 0.40 | 2.41 | 0.974 | ||||
| Previous Stroke/TIA | 1.57 | 0.98 | 2.52 | 0.055 | ||||
| COPD | 1.19 | 0.84 | 1.71 | 0.318 | ||||
| Advanced NYHA | 1.36 | 1.01 | 1.84 | 0.039 | ||||
| CKF | 1.59 | 0.90 | 1.78 | 0.109 | ||||
| LVEF < 30% | 0.98 | 0.97 | 0.99 | 0.008 | ||||
| Bicuspid Aortic Valve | 0.36 | 0.16 | 0.83 | 0.016 | ||||
| Preoperative MR > Grade II | 1.06 | 0.63 | 1.78 | 0.802 | ||||
Disclaimer/Publisher’s Note: The statements, opinions and data contained in all publications are solely those of the individual author(s) and contributor(s) and not of MDPI and/or the editor(s). MDPI and/or the editor(s) disclaim responsibility for any injury to people or property resulting from any ideas, methods, instructions or products referred to in the content. |
© 2024 by the authors. Licensee MDPI, Basel, Switzerland. This article is an open access article distributed under the terms and conditions of the Creative Commons Attribution (CC BY) license (https://creativecommons.org/licenses/by/4.0/).
Share and Cite
Di Bacco, L.; D’Alonzo, M.; Baudo, M.; Montisci, A.; Di Eusanio, M.; Folliguet, T.; Solinas, M.; Miceli, A.; Fischlein, T.; Rosati, F.; et al. Reliability of EuroSCORE II on Prediction of Thirty-Day Mortality and Long-Term Results in Patients Treated with Sutureless Valves. J. Clin. Med. 2024, 13, 3986. https://doi.org/10.3390/jcm13133986
Di Bacco L, D’Alonzo M, Baudo M, Montisci A, Di Eusanio M, Folliguet T, Solinas M, Miceli A, Fischlein T, Rosati F, et al. Reliability of EuroSCORE II on Prediction of Thirty-Day Mortality and Long-Term Results in Patients Treated with Sutureless Valves. Journal of Clinical Medicine. 2024; 13(13):3986. https://doi.org/10.3390/jcm13133986
Chicago/Turabian StyleDi Bacco, Lorenzo, Michele D’Alonzo, Massimo Baudo, Andrea Montisci, Marco Di Eusanio, Thierry Folliguet, Marco Solinas, Antonio Miceli, Theodor Fischlein, Fabrizio Rosati, and et al. 2024. "Reliability of EuroSCORE II on Prediction of Thirty-Day Mortality and Long-Term Results in Patients Treated with Sutureless Valves" Journal of Clinical Medicine 13, no. 13: 3986. https://doi.org/10.3390/jcm13133986
APA StyleDi Bacco, L., D’Alonzo, M., Baudo, M., Montisci, A., Di Eusanio, M., Folliguet, T., Solinas, M., Miceli, A., Fischlein, T., Rosati, F., & Muneretto, C. (2024). Reliability of EuroSCORE II on Prediction of Thirty-Day Mortality and Long-Term Results in Patients Treated with Sutureless Valves. Journal of Clinical Medicine, 13(13), 3986. https://doi.org/10.3390/jcm13133986

