Multiparametric Monitoring of Disease Progression in Contemporary Patients with Wild-Type Transthyretin Amyloid Cardiomyopathy Initiating Tafamidis Treatment
Abstract
1. Introduction
2. Methods
2.1. Setting and Study Design
2.2. Diagnostic Approach for ATTR-CM and Clinical Assessment
2.3. Definition of Disease Progression in TTR-CM
2.4. Cardiac Magnetic Resonance
2.5. Statistics
3. Results
3.1. Baseline Characteristics and Comorbidities
3.2. Course of Clinical and Functional Parameters
3.3. Biomarkers and Laboratory Parameters
3.4. Echocardiography and ECG
3.5. Overall Disease-Progression
3.6. CMR Parameters
4. Discussion
Limitations
5. Conclusions
Author Contributions
Funding
Institutional Review Board Statement
Informed Consent Statement
Data Availability Statement
Conflicts of Interest
References
- Yamamoto, H.; Yokochi, T. Transthyretin cardiac amyloidosis: An update on diagnosis and treatment. ESC Heart Fail. 2019, 6, 1128–1139. [Google Scholar] [CrossRef] [PubMed]
- Gilstrap, L.G.; Dominici, F.; Wang, Y.; El-Sady, M.S.; Singh, A.; Di Carli, M.F.; Falk, R.H.; Dorbala, S. Epidemiology of Cardiac Amyloidosis-Associated Heart Failure Hospitalizations Among Fee-for-Service Medicare Beneficiaries in the United States. Circ. Heart Fail. 2019, 12, e005407. [Google Scholar] [CrossRef] [PubMed]
- Ney, S.; Ihle, P.; Ruhnke, T.; Günster, C.; Michels, G.; Seuthe, K.; Hellmich, M.; Pfister, R. Epidemiology of cardiac amyloidosis in Germany: A retrospective analysis from 2009 to 2018. Clin. Res. Cardiol. Off. J. Ger. Card. Soc. 2023, 112, 401–408. [Google Scholar] [CrossRef] [PubMed]
- Maurer, M.S.; Schwartz, J.H.; Gundapaneni, B.; Elliott, P.M.; Merlini, G.; Waddington-Cruz, M.; Kristen, A.V.; Grogan, M.; Witteles, R.; Damy, T.; et al. Tafamidis Treatment for Patients with Transthyretin Amyloid Cardiomyopathy. N. Engl. J. Med. 2018, 379, 1007–1016. [Google Scholar] [CrossRef] [PubMed]
- Garcia-Pavia, P.; Bengel, F.; Brito, D.; Damy, T.; Duca, F.; Dorbala, S.; Nativi-Nicolau, J.; Obici, L.; Rapezzi, C.; Sekijima, Y.; et al. Expert consensus on the monitoring of transthyretin amyloid cardiomyopathy. Eur. J. Heart Fail. 2021, 23, 895–905. [Google Scholar] [CrossRef] [PubMed]
- Banypersad, S.M.; Sado, D.M.; Flett, A.S.; Gibbs, S.D.; Pinney, J.H.; Maestrini, V.; Cox, A.T.; Fontana, M.; Whelan, C.J.; Wechalekar, A.D.; et al. Quantification of myocardial extracellular volume fraction in systemic AL amyloidosis: An equilibrium contrast cardiovascular magnetic resonance study. Circ. Cardiovasc. Imaging 2013, 6, 34–39. [Google Scholar] [CrossRef] [PubMed]
- Robbers, L.F.; Baars, E.N.; Brouwer, W.P.; Beek, A.M.; Hofman, M.B.; Niessen, H.W.; van Rossum, A.C.; Marcu, C.B. T1 mapping shows increased extracellular matrix size in the myocardium due to amyloid depositions. Circ. Cardiovasc. Imaging 2012, 5, 423–426. [Google Scholar] [CrossRef] [PubMed]
- Gillmore, J.D.; Maurer, M.S.; Falk, R.H.; Merlini, G.; Damy, T.; Dispenzieri, A.; Wechalekar, A.D.; Berk, J.L.; Quarta, C.C.; Grogan, M.; et al. Nonbiopsy Diagnosis of Cardiac Transthyretin Amyloidosis. Circulation 2016, 133, 2404–2412. [Google Scholar] [CrossRef]
- Schönland, S.O.; Hegenbart, U.; Bochtler, T.; Mangatter, A.; Hansberg, M.; Ho, A.D.; Lohse, P.; Röcken, C. Immunohistochemistry in the classification of systemic forms of amyloidosis: A systematic investigation of 117 patients. Blood 2012, 119, 488–493. [Google Scholar] [CrossRef]
- Lang, R.M.; Badano, L.P.; Mor-Avi, V.; Afilalo, J.; Armstrong, A.; Ernande, L.; Flachskampf, F.A.; Foster, E.; Goldstein, S.A.; Kuznetsova, T.; et al. Recommendations for cardiac chamber quantification by echocardiography in adults: An update from the American Society of Echocardiography and the European Association of Cardiovascular Imaging. J. Am. Soc. Echocardiogr. Off. Publ. Am. Soc. Echocardiogr. 2015, 28, 1–39.e14. [Google Scholar] [CrossRef]
- Nagueh, S.F.; Smiseth, O.A.; Appleton, C.P.; Byrd, B.F.; Dokainish, H.; Edvardsen, T.; Flachskampf, F.A.; Gillebert, T.C.; Klein, A.L.; Lancellotti, P.; et al. Recommendations for the Evaluation of Left Ventricular Diastolic Function by Echocardiography: An Update from the American Society of Echocardiography and the European Association of Cardiovascular Imaging. J. Am. Soc. Echocardiogr. Off. Publ. Am. Soc. Echocardiogr. 2016, 29, 277–314. [Google Scholar] [CrossRef] [PubMed]
- Gillmore, J.D.; Damy, T.; Fontana, M.; Hutchinson, M.; Lachmann, H.J.; Martinez-Naharro, A.; Quarta, C.C.; Rezk, T.; Whelan, C.J.; Gonzalez-Lopez, E.; et al. A new staging system for cardiac transthyretin amyloidosis. Eur. Heart J. 2018, 39, 2799–2806. [Google Scholar] [CrossRef] [PubMed]
- Martinez-Naharro, A.; Patel, R.; Kotecha, T.; Karia, N.; Ioannou, A.; Petrie, A.; Chacko, L.A.; Razvi, Y.; Ravichandran, S.; Brown, J.; et al. Cardiovascular magnetic resonance in light-chain amyloidosis to guide treatment. Eur. Heart J. 2022, 43, 4722–4735. [Google Scholar] [CrossRef] [PubMed]
- Messroghli, D.R.; Radjenovic, A.; Kozerke, S.; Higgins, D.M.; Sivananthan, M.U.; Ridgway, J.P. Modified Look-Locker inversion recovery (MOLLI) for high-resolution T1 mapping of the heart. Magn. Reson. Med. 2004, 52, 141–146. [Google Scholar] [CrossRef] [PubMed]
- Sprinkart, A.M.; Luetkens, J.A.; Träber, F.; Doerner, J.; Gieseke, J.; Schnackenburg, B.; Schmitz, G.; Thomas, D.; Homsi, R.; Block, W.; et al. Gradient Spin Echo (GraSE) imaging for fast myocardial T2 mapping. J. Cardiovasc. Magn. Reson. Off. J. Soc. Cardiovasc. Magn. Reson. 2015, 17, 12. [Google Scholar] [CrossRef] [PubMed]
- Mosteller, R.D. Simplified calculation of body-surface area. N. Engl. J. Med. 1987, 317, 1098. [Google Scholar] [CrossRef] [PubMed]
- Cerqueira, M.D. Standardized myocardial segmentation and nomenclature for tomographic imaging of the heart. A statement for healthcare professionals from the Cardiac Imaging Committee of the Council on Clinical Cardiology of the American Heart Association. Int. J. Cardiovasc. Imaging 2002, 18, 539–542. [Google Scholar]
- Rettl, R.; Mann, C.; Duca, F.; Dachs, T.-M.; Binder, C.; Ligios, L.C.; Schrutka, L.; Dalos, D.; Koschutnik, M.; Donà, C.; et al. Tafamidis treatment delays structural and functional changes of the left ventricle in patients with transthyretin amyloid cardiomyopathy. Eur. Heart J. Cardiovasc. Imaging 2022, 23, 767–780. [Google Scholar] [CrossRef]
- Chamling, B.; Bietenbeck, M.; Korthals, D.; Drakos, S.; Vehof, V.; Stalling, P.; Meier, C.; Yilmaz, A. Therapeutic value of tafamidis in patients with wild-type transthyretin amyloidosis (ATTRwt) with cardiomyopathy based on cardiovascular magnetic resonance (CMR) imaging. Clin. Res. Cardiol. Off. J. Ger. Card. Soc. 2023, 112, 353–362. [Google Scholar] [CrossRef]
- Giblin, G.T.; Cuddy, S.A.; González-López, E.; Sewell, A.; Murphy, A.; Dorbala, S.; Falk, R.H. Effect of tafamidis on global longitudinal strain and myocardial work in transthyretin cardiac amyloidosis. Eur. Heart J. Cardiovasc. Imaging 2022, 23, 1029–1039. [Google Scholar] [CrossRef]
- Nakamura, M.; Imamura, T.; Ushijima, R.; Kinugawa, K. Prognostic Impact of the Increase in Cardiac Troponin Levels during Tafamidis Therapy in Patients with Transthyretin Cardiac Amyloidosis. J. Clin. Med. 2023, 12, 4631. [Google Scholar] [CrossRef] [PubMed]
- Morbach, C.; Papagianni, A.; Ihne-Schubert, S.; Cejka, V.; Steinhardt, M.; Fette, G.; Held, M.; Geier, A.; Einsele, H.; Frantz, S.; et al. Tafamidis for cardiac transthyretin amyloidosis: Application in a real-world setting in Germany. Clin. Res. Cardiol. Off. J. Ger. Card. Soc. 2023. [Google Scholar] [CrossRef] [PubMed]
- Hanna, M.; Fine, N.M.; Gundapaneni, B.; Sultan, M.B.; Witteles, R.M. Improvements in Efficacy Measures with Tafamidis in the Tafamidis in Transthyretin Cardiomyopathy Clinical Trial. JACC Adv. 2022, 1, 100148. [Google Scholar] [CrossRef]
- Pfister, R.; Tan, D.; Thekkanal, J.; Hellmich, M.; Schneider, C.A. Predictors of elevated NT-pro-BNP in cardiovascular patients without acute heart failure. Int. J. Cardiol. 2009, 131, 277–280. [Google Scholar] [CrossRef] [PubMed]
- Hindieh, W.; Weissler-Snir, A.; Hammer, H.; Adler, A.; Rakowski, H.; Chan, R.H. Discrepant Measurements of Maximal Left Ventricular Wall Thickness Between Cardiac Magnetic Resonance Imaging and Echocardiography in Patients With Hypertrophic Cardiomyopathy. Circ. Cardiovasc. Imaging 2017, 10, e006309. [Google Scholar] [CrossRef] [PubMed]
- Martinez-Naharro, A.; Treibel, T.A.; Abdel-Gadir, A.; Bulluck, H.; Zumbo, G.; Knight, D.S.; Kotecha, T.; Francis, R.; Hutt, D.F.; Rezk, T.; et al. Magnetic Resonance in Transthyretin Cardiac Amyloidosis. J. Am. Coll. Cardiol. 2017, 70, 466–477. [Google Scholar] [CrossRef] [PubMed]
- Morioka, M.; Takashio, S.; Nakashima, N.; Nishi, M.; Fujiyama, A.; Hirakawa, K.; Hanatani, S.; Usuku, H.; Yamamoto, E.; Kidoh, M.; et al. Correlation Between Cardiac Images, Biomarkers, and Amyloid Load in Wild-Type Transthyretin Amyloid Cardiomyopathy. J. Am. Heart Assoc. 2022, 11, e024717. [Google Scholar] [CrossRef] [PubMed]
- Chacko, L.; Karia, N.; Venneri, L.; Bandera, F.; Passo, B.D.; Buonamici, L.; Lazari, J.; Ioannou, A.; Porcari, A.; Patel, R.; et al. Progression of echocardiographic parameters and prognosis in transthyretin cardiac amyloidosis. Eur. J. Heart Fail. 2022, 24, 1700–1712. [Google Scholar] [CrossRef]




| Variable | n = 62 |
|---|---|
| Clinical characteristics | |
| Male gender, n (%) | 55 (88.7) |
| Age (y), mean (SD) | 79.0 ± 6.4 |
| NYHA functional class, n (%) | |
| I | 11.3 |
| II | 54.8 |
| III | 33.9 |
| IV | - |
| Coronary artery disease, n (%) | 25 (40.3) |
| Arterial hypertension, n (%) | 46 (74.2) |
| Atrial fibrillation or flutter, n (%) | 37 (59.7) |
| Previous pacemaker implantation, n (%) | 6 (9.7) |
| Polyneuropathy, n (%) | 34 (54.8) |
| Spinal canal stenosis, n (%) | 7 (11.3) |
| Carpal tunnel syndrome, n (%) | 28 (45.2) |
| Cerebrovascular disease, n (%) | 6 (9.7) |
| Prior heart valve intervention, n (%) | 7 (11.3) |
| Variable | Baseline n = 62 | 6-Mo FU n = 62 | p-Value |
|---|---|---|---|
| Functional parameters | |||
| NYHA functional class, n (%) | <0.01 | ||
| I | 11.3 | 12.9 | |
| II | 54.8 | 64.5 | |
| III | 33.9 | 22.6 | |
| IV | - | - | |
| MLHFQ (points), median (IQR) | 36 (20–49) | 32 (16–45) | 0.866 |
| Laboratory parameters | |||
| Troponin T (ng/L), median (IQR) | 0.053 (0.036–0.088) | 0.048 (0.032–0.077) | 0.001 |
| NT-proBNP (pg/mL), median (IQR) | 2.177 (1.271–3.848) | 2.125 (1.145–3.674) | 0.353 |
| eGFR (ml/min/1.73 m2), median (IQR) | 59 (47–74) | 54 (41–67) | 0.018 |
| NAC Stage | <0.01 | ||
| I | 35 (57.4) | 34 (57.6) | |
| II | 18 (29.5) | 18 (30.5) | |
| III | 8 (13.1) | 7 (11.9) | |
| Imaging and ECG data | |||
| Impaired LVEF (<50%) | 11 (17.7) | 11 (17.7) | 1.0 |
| Interventricular septum (mm) | 17 (16–18) | 17 (16–18.5) | 0.317 |
| LV stroke volume index (mL/m2) | 30.6 (25.7–38.5) | 33.6 (28.8–47.5) | <0.01 |
| LV global longitudinal strain (%) | −11.0 (−8.5 to −14.2) | −11.5 (−8.8 to −13.8) | 0.877 |
| Diastolic dysfunction ≥ grade II | 35 (57.4) | 39 (62.9) | 0.034 |
| LA area (cm2) | 45.1 (39.0−53.7) | 48.2 (41.6–58.0) | 0.095 |
| AV block (of any degree) | 16 (25.8) | 20 (32.3) | <0.01 |
| CMR | n = 22 | n = 22 | |
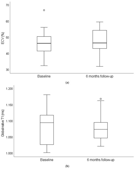
| T1 relaxation time (ms) | 1095 (1026–1119) | 1074 (1045–1100) | 0.758 |
| ECV (%) | 46 (41–51) | 47 (43–55) | 0.082 |
Disclaimer/Publisher’s Note: The statements, opinions and data contained in all publications are solely those of the individual author(s) and contributor(s) and not of MDPI and/or the editor(s). MDPI and/or the editor(s) disclaim responsibility for any injury to people or property resulting from any ideas, methods, instructions or products referred to in the content. |
© 2024 by the authors. Licensee MDPI, Basel, Switzerland. This article is an open access article distributed under the terms and conditions of the Creative Commons Attribution (CC BY) license (https://creativecommons.org/licenses/by/4.0/).
Share and Cite
Ney, S.; Gertz, R.J.; Pennig, L.; Nies, R.J.; Holtick, U.; Völker, L.A.; Wunderlich, G.; Seuthe, K.; Hohmann, C.; Metze, C.; et al. Multiparametric Monitoring of Disease Progression in Contemporary Patients with Wild-Type Transthyretin Amyloid Cardiomyopathy Initiating Tafamidis Treatment. J. Clin. Med. 2024, 13, 284. https://doi.org/10.3390/jcm13010284
Ney S, Gertz RJ, Pennig L, Nies RJ, Holtick U, Völker LA, Wunderlich G, Seuthe K, Hohmann C, Metze C, et al. Multiparametric Monitoring of Disease Progression in Contemporary Patients with Wild-Type Transthyretin Amyloid Cardiomyopathy Initiating Tafamidis Treatment. Journal of Clinical Medicine. 2024; 13(1):284. https://doi.org/10.3390/jcm13010284
Chicago/Turabian StyleNey, Svenja, Roman Johannes Gertz, Lenhard Pennig, Richard J. Nies, Udo Holtick, Linus A. Völker, Gilbert Wunderlich, Katharina Seuthe, Christopher Hohmann, Clemens Metze, and et al. 2024. "Multiparametric Monitoring of Disease Progression in Contemporary Patients with Wild-Type Transthyretin Amyloid Cardiomyopathy Initiating Tafamidis Treatment" Journal of Clinical Medicine 13, no. 1: 284. https://doi.org/10.3390/jcm13010284
APA StyleNey, S., Gertz, R. J., Pennig, L., Nies, R. J., Holtick, U., Völker, L. A., Wunderlich, G., Seuthe, K., Hohmann, C., Metze, C., Nähle, C. P., von Stein, J., Brüwer, M., ten Freyhaus, H., & Pfister, R. (2024). Multiparametric Monitoring of Disease Progression in Contemporary Patients with Wild-Type Transthyretin Amyloid Cardiomyopathy Initiating Tafamidis Treatment. Journal of Clinical Medicine, 13(1), 284. https://doi.org/10.3390/jcm13010284

