Pancreatic Neuroendocrine Neoplasms Larger than 4 cm: A Retrospective Observational Study of Surgery, Histology, and Outcome
Abstract
1. Introduction
2. Patients and Methods
3. Statistical Analysis
4. Results
5. Discussion
6. Conclusions
Author Contributions
Funding
Institutional Review Board Statement
Informed Consent Statement
Data Availability Statement
Conflicts of Interest
References
- Yao, J.C.; Hassan, M.; Phan, A.; Dagohoy, C.; Leary, C.; Mares, J.E.; Abdalla, E.K.; Fleming, J.B.; Vauthey, J.-N.; Rashid, A.; et al. One hundred years after «carcinoid»: Epidemiology of and prognostic factors for neuroendocrine tumors in 35,825 cases in the United States. J. Clin. Oncol. 2008, 26, 3063–3072. [Google Scholar] [CrossRef]
- Dasari, A.; Shen, C.; Halperin, D.; Zhao, B.; Zhou, S.; Xu, Y.; Shih, T.; Yao, J.C. Trends in the Incidence, Prevalence, and Survival Outcomes in Patients with Neuroendocrine Tumors in the United States. JAMA Oncol. 2017, 3, 1335–1342. [Google Scholar] [CrossRef]
- Metz, D.C.; Jensen, R.T. Gastrointestinal neuroendocrine tumors: Pancreatic endocrine tumors. Gastroenterology 2008, 135, 1469–1492. [Google Scholar] [CrossRef] [PubMed]
- Halfdanarson, T.R.; Rabe, K.G.; Rubin, J.; Petersen, G.M. Pancreatic neuroendocrine tumors (PNETs): Incidence, prognosis, and recent trend toward improved survival. Ann. Oncol. 2008, 19, 1727–1733. [Google Scholar] [CrossRef]
- Rindi, G.; Klöppel, G.; Alhman, H.; Caplin, M.; Couvelard, A.; De Herder, W.W.; Erikssson, B.; Falchetti, A.; Falconi, M.; Komminoth, P.; et al. TNM staging of foregut (neuro)endocrine tumors: A consensus proposal including a grading system. Virchows Arch. 2006, 449, 395–401. [Google Scholar] [CrossRef] [PubMed]
- La Rosa, S.; Klersy, C.; Uccella, S.; Dainese, L.; Albarello, L.; Sonzogni, A.; Doglioni, C.; Capella, C.; Solcia, E. Improved histologic and clinicopathologic criteria for prognostic evaluation of pancreatic endocrine tumors. Hum. Pathol. 2009, 40, 30–40. [Google Scholar] [CrossRef] [PubMed]
- WHO Classification of Tumours Editorial Board (Ed.) Tumours of the pancreas. In Digestive System Tumours, WHO Classification of Tumours, 5th ed.; International Agency for Research on Cancer (IARC): Lyon, France, 2019; pp. 343–372. ISBN 978-92-832-4499-8. [Google Scholar]
- Fujimori, N.; Osoegawa, T.; Lee, L.; Tachibana, Y.; Aso, A.; Kubo, H.; Kawabe, K.; Igarashi, H.; Nakamura, K.; Oda, Y.; et al. Efficacy of endoscopic ultrasonography and endoscopic ultrasonography-guided FNA for the diagnosis and grading of pancreatic neuroendocrine tumors. Scand. J. Gastroenterol. 2016, 51, 245–252. [Google Scholar] [CrossRef] [PubMed]
- Falconi, M.; Eriksson, B.; Kaltsas, G.; Bartsch, D.K.; Capdevila, J.; Caplin, M.; Kos-Kudla, B.; Kwekkeboom, D.; Rindi, G.; Klöppel, G.; et al. ENETS Consensus Guidelines Update for the Management of Patients with Functional Pancreatic Neuroendocrine Tumors and Non-Functional Pancreatic Neuroendocrine Tumors. Neuroendocrinology 2016, 103, 153–171. [Google Scholar] [CrossRef]
- Ricci, C.; Taffurelli, G.; Campana, D.; Ambrosini, V.; Pacilio, C.A.; Pagano, N.; Santini, D.; Brighi, N.; Minni, F.; Casadei, R. Is surgery the best treatment for sporadic small (<2 cm) nonfunctioning pancreatic neuroendocrine tumours? A single centre experience. Pancreatology 2017, 17, 471–477. [Google Scholar] [CrossRef]
- Tomassetti, P.; Campana, D.; Piscitelli, L.; Casadei, R.; Santini, D.; Nori, F.; Morselli-Labate, A.M.; Pezzilli, R.; Corinaldesi, R. Endocrine pancreatic tumors: Factors correlated with survival. Ann. Oncol. 2005, 16, 1806–1810. [Google Scholar] [CrossRef]
- Fendrich, V.; Waldmann, J.; Bartsch, D.K.; Langer, P. Surgical management of pancreatic endocrine tumors. Nat. Rev. Clin. Oncol. 2009, 6, 419–428. [Google Scholar] [CrossRef] [PubMed]
- Jarufe, N.P.; Coldham, C.; Orug, T.; Mayer, A.D.; Mirza, D.F.; Buckels, J.A.C.; Bramhall, S.R. Neuroendocrine tumours of the pancreas: Predictors of survival after surgical treatment. Dig. Surg. 2005, 22, 157–162. [Google Scholar] [CrossRef]
- Panzuto, F.; Nasoni, S.; Falconi, M.; Corleto, V.D.; Capurso, G.; Cassetta, S.; Di Fonzo, M.; Tornatore, V.; Milione, M.; Angeletti, S.; et al. Prognostic factors and survival in endocrine tumor patients: Comparison between gastrointestinal and pancreatic localization. Endocr. Relat. Cancer 2005, 12, 1083–1092. [Google Scholar] [CrossRef]
- Haynes, A.B.; Deshpande, V.; Ingkakul, T.; Vagefi, P.A.; Szymonifka, J.; Thayer, S.P.; Ferrone, C.R.; Wargo, J.A.; Warshaw, A.L.; Fernandez-del Castillo, C. Implications of incidentally discovered, nonfunctioning pancreatic endocrine tumors: Short-term and long-term patient outcomes. Arch. Surg. 2011, 146, 534–538. [Google Scholar] [CrossRef] [PubMed]
- Bettini, R.; Partelli, S.; Boninsegna, L.; Capelli, P.; Crippa, S.; Pederzoli, P.; Scarpa, A.; Falconi, M. Tumor size correlates with malignancy in nonfunctioning pancreatic endocrine tumor. Surgery 2011, 150, 75–82. [Google Scholar] [CrossRef] [PubMed]
- Scarpa, A.; Mantovani, W.; Capelli, P.; Beghelli, S.; Boninsegna, L.; Bettini, R.; Panzuto, F.; Pederzoli, P.; Delle Fave, G.; Falconi, M. Pancreatic endocrine tumors: Improved TNM staging and histopathological grading permit a clinically efficient prognostic stratification of patients. Mod. Pathol. 2010, 23, 824–833. [Google Scholar] [CrossRef]
- Wente, M.N.; Veit, J.A.; Bassi, C.; Dervenis, C.; Fingerhut, A.; Gouma, D.J.; Izbicki, J.R.; Neoptolemos, J.P.; Padbury, R.T.; Sarr, M.G.; et al. Postpancreatectomy hemorrhage (PPH): An International Study Group of Pancreatic Surgery (ISGPS) definition. Surgery 2007, 142, 20–25. [Google Scholar] [CrossRef] [PubMed]
- Bassi, C.; Marchegiani, G.; Dervenis, C.; Sarr, M.; Abu Hilal, M.; Adham, M.; Allen, P.; Andersson, R.; Asbun, H.J.; Besselink, M.G.; et al. The 2016 update of the International Study Group (ISGPS) definition and grading of postoperative pancreatic fistula: 11 years after. Surgery 2017, 161, 584–591. [Google Scholar] [CrossRef]
- Gierek, M.; Merkel, K.; Ochala-Gierek, G.; Niemiec, P.; Szyluk, K.; Kusnierz, K. Which suture to choose in hepato-pancreatic-biliary surgery? Assessment of the influence of pancreatic juice and bile on the resistance of suturing materials-In vitro research. Biomedicines 2022, 10, 1053. [Google Scholar] [CrossRef]
- La Rosa, S.; Sessa, F.; Uccella, S. Mixed neuroendocrine non-neuroendocrine neoplasms (MiNENs): Unifying the concept of a heterogeneous group of neoplasms. Endocr. Pathol. 2016, 27, 284–311. [Google Scholar] [CrossRef]
- Foundation for Statistical Computing, Vienna, Austria. A Language and Environment for Statistical Computing. Available online: https://www.R-project.org/ (accessed on 23 February 2023).
- Zhang, Z.; Liu, M.; Ji, S.; Luo, G.; Xu, W.; Liu, W.; Hu, Q.; Sun, Q.; Ye, Z.; Qin, Y.; et al. Prognostic Value and Clinical Predictors of Lymph Node Metastases in Pancreatic Neuroendocrine Tumors. Pancreas 2020, 49, 381–386. [Google Scholar] [CrossRef]
- Franko, J.; Feng, W.; Yip, L.; Genovese, E.; Moser, A.J. Non-functional neuroendocrine carcinoma of the pancreas: Incidence, tumor biology, and outcomes in 2,158 patients. J. Gastrointest. Surg. 2010, 14, 541–548. [Google Scholar] [CrossRef] [PubMed]
- Gao, Y.; Gao, H.; Wang, G.; Yin, L.; Xu, W.; Peng, Y.; Wu, J.; Jiang, K.; Miao, Y. Meta-analysis of Prognostic factor of Pancreatic neuroendocrine neoplasms. Sci. Rep. 2018, 8, 7271. [Google Scholar] [CrossRef]
- Martin, R.C.G.; Kooby, D.A.; Weber, S.M.; Merchant, N.B.; Parikh, A.A.; Cho, C.S.; Ahmad, S.A.; Kim, H.J.; Hawkins, W.; Scoggins, C.R. Analysis of 6,747 Pancreatic Neuroendocrine Tumors for a Proposed Staging System. J. Gastrointest. Surg. 2011, 15, 175–183. [Google Scholar] [CrossRef] [PubMed]
- Bilimoria, K.Y.; Talamonti, M.S.; Tomlinson, J.S.; Stewart, A.K.; Winchester, D.P.; Ko, C.Y.; Bentrem, D.J. Prognostic score predicting survival after resection of pancreatic neuroendocrine tumors: Analysis of 3851 patients. Ann. Surg. 2008, 247, 490–500. [Google Scholar] [CrossRef]
- Goh, B.K.P.; Chow, P.K.H.; Tan, Y.-M.; Cheow, P.-C.; Chung, Y.-F.A.; Soo, K.-C.; Wong, W.-K.; Ooi, L.L.P.J. Validation of five contemporary prognostication systems for primary pancreatic endocrine neoplasms: Results from a single institution experience with 61 surgically treated cases. ANZ J. Surg. 2011, 81, 79–85. [Google Scholar] [CrossRef] [PubMed]
- Wong, J.; Fulp, W.J.; Strosberg, J.R.; Kvols, L.K.; Centeno, B.A.; Hodul, P.J. Predictors of lymph node metastases and impact on survival in resected pancreatic neuroendocrine tumors: A single-center experience. Am. J. Surg. 2014, 208, 775–780. [Google Scholar] [CrossRef]
- Sallinen, V.; Haglund, C.; Seppanen, H. Outcomes of resected nonfunctional pancreatic neuroendocrine tumors: Do size and symptoms matter? Surgery 2015, 158, 1556–1563. [Google Scholar] [CrossRef]
- Fathi, A.H.; Romanyshyn, J.; Barati, M.; Choudhury, U.; Chen, A.; Sosa, J.A. Predicting Aggressive Behavior in Nonfunctional Pancreatic Neuroendocrine Tumors with Emphasis on Tumor Size Significance and Survival Trends: A Population-Based Analysis of 1787 Patients. Am. Surg. 2020, 86, 458–466. [Google Scholar] [CrossRef] [PubMed]
- Cherenfant, J.; Stocker, S.J.; Gage, M.K.; Du, H.; Thurow, T.A.; Odeleye, M.; Schimpke, S.W.; Kaul, K.L.; Hall, C.R.; Lamzabi, I.; et al. Predicting aggressive behavior in nonfunctioning pancreatic neuroendocrine tumors. Surgery 2013, 154, 785–793. [Google Scholar] [CrossRef] [PubMed]
- Hamilton, N.A.; Liu, T.-C.; Cavatiao, A.; Mawad, K.; Chen, L.; Strasberg, S.S.; Linehan, D.C.; Cao, D.; Hawkins, W.G. Ki-67 predicts disease recurrence and poor prognosis in pancreatic neuroendocrine neoplasms. Surgery 2012, 152, 107–113. [Google Scholar] [CrossRef]
- Milione, M.; Maisonneuve, P.; Pellegrinelli, A.; Spaggiari, P.; Centonze, G.; Coppa, J.; Delconte, G.; Droz dit Busset, M.; Lanhazo, O.; Pruneri, G.; et al. Ki-67 and presence of liver metastases identify different progression-risk classes in pancreatic neuroendocrine neoplasms (pNEN) undergoing resection. Eur. J. Surg. Oncol. 2019, 45, 755–760. [Google Scholar] [CrossRef] [PubMed]
- Xu, J.-Z.; Wang, W.-Q.; Zhang, S.-R.; Xu, H.-X.; Wu, C.-T.; Qi, Z.-H.; Gao, H.-L.; Ni, Q.-X.; Liu, L.; Yu, X.-J. Intrinsic Contact between T and N Classifications in Resected Well-Moderately Differentiated Locoregional Pancreatic Neuroendocrine Neoplasms. Ann. Surg. Oncol. 2018, 25, 647–654. [Google Scholar] [CrossRef] [PubMed]
- Bilimoria, K.Y.; Bentrem, D.J.; Merkow, R.P.; Tomlinson, J.S.; Stewart, A.K.; Ko, C.Y.; Talamonti, M.S. Application of the pancreatic adenocarcinoma staging system to pancreatic neuroendocrine tumors. J. Am. Coll. Surg. 2007, 205, 558–563. [Google Scholar] [CrossRef] [PubMed]
- Zaidi, M.Y.; Lopez-Aguiar, A.G.; Switchenko, J.M.; Lipscomb, J.; Andreasi, V.; Partelli, S.; Gamboa, A.C.; Lee, R.M.; Poultsides, G.A.; Dillhoff, M.; et al. A Novel Validated Recurrence Risk Score to Guide a Pragmatic Surveillance Strategy after Resection of Pancreatic Neuroendocrine Tumors: An International Study of 1006 Patients. Ann. Surg. 2019, 270, 422–433. [Google Scholar] [CrossRef]
- Birnbaum, D.J.; Turrini, O.; Vigano, L.; Russolillo, N.; Autret, A.; Moutardier, V.; Capussotti, L.; le Treut, Y.-P.; Delpero, J.-R.; Hardwigsen, J. Surgical Management of Advanced Pancreatic Neuroendocrine Tumors: Short-Term and Long-Term Results from an International Multi-institutional Study. Ann. Surg. Oncol. 2015, 22, 1000–1007. [Google Scholar] [CrossRef]
- Genç, C.G.; Falconi, M.; Partelli, S.; Muffatti, F.; Van Eeden, S.; Doglioni, C.; Klümpen, H.J.; Van Eijck, C.H.J.; Nieveen van Dijkum, E.J.M. Recurrence of pancreatic neuroendocrine tumors and survival predicted by Ki67. Ann. Surg. Oncol. 2018, 25, 2467–2474. [Google Scholar] [CrossRef]
- Partelli, S.; Muffatti, F.; Rancoita, P.M.V.; Andreasi, V.; Balzano, G.; Crippa, S.; Doglioni, C.; Rubini, C.; Zamboni, G.; Falconi, M. The size of well differentiated pancreatic neuroendocrine tumors correlates with Ki67 proliferative index and is not associated with age. Dig. Liver Dis. 2019, 51, 735–740. [Google Scholar] [CrossRef]
- Sallinen, V.J.; Le Large, T.Y.S.; Tieftrunk, E.; Galeev, S.; Kovalenko, Z.; Haugvik, S.-P.; Antila, A.; Franklin, O.; Martinez-Moneo, E.; Robinson, S.M.; et al. Prognosis of sporadic resected small (≤2 cm) nonfunctional pancreatic neuroendocrine tumors—A multi-institutional study. HPB 2018, 20, 251–259. [Google Scholar] [CrossRef]
- Sho, S.; Court, C.M.; Winograd, P.; Toste, P.A.; Pisegna, J.R.; Lewis, M.; Donahue, T.R.; Hines, O.J.; Reber, H.A.; Dawson, D.W.; et al. A Prognostic Scoring System for the Prediction of Metastatic Recurrence Following Curative Resection of Pancreatic Neuroendocrine Tumors. J. Gastrointest. Surg. 2019, 23, 1392–1400. [Google Scholar] [CrossRef]
- Hüttner, F.J.; Schneider, L.; Tarantino, I.; Warschkow, R.; Schmied, B.M.; Hackert, T.; Diener, M.K.; Büchler, M.W.; Ulrich, A. Palliative resection of the primary tumor in 442 metastasized neuroendocrine tumors of the pancreas: A population-based, propensity score-matched survival analysis. Langenbecks Arch. Surg. 2015, 400, 715–723. [Google Scholar] [CrossRef] [PubMed]
- Frilling, A.; Li, J.; Malamutmann, E.; Schmid, K.-W.; Bockisch, A.; Broelsch, C.E. Treatment of liver metastases from neuroendocrine tumours in relation to the extent of hepatic disease. Br. J. Surg. 2009, 96, 175–184. [Google Scholar] [CrossRef] [PubMed]
- Schurr, P.G.; Strate, T.; Rese, K.; Kaifi, J.T.; Reichelt, U.; Petri, S.; Kleinhans, H.; Yekebas, E.F.; Izbicki, J.R. Aggressive surgery improves long-term survival in neuroendocrine pancreatic tumors: An institutional experience. Ann. Surg. 2007, 245, 273–281. [Google Scholar] [CrossRef] [PubMed]
- Sarmiento, J.M.; Heywood, G.; Rubin, J.; Ilstrup, D.M.; Nagorney, D.M.; Que, F.G. Surgical treatment of neuroendocrine metastases to the liver: A plea for resection to increase survival. J. Am. Coll. Surg. 2003, 197, 29–37. [Google Scholar] [CrossRef] [PubMed]
- Touzios, J.G.; Kiely, J.M.; Pitt, S.C.; Rilling, W.S.; Quebbeman, E.J.; Wilson, S.D.; Pitt, H.A. Neuroendocrine hepatic metastases: Does aggressive management improve survival? Ann. Surg. 2005, 241, 776–785. [Google Scholar] [CrossRef]

| Operated Patients (n = 36) | Nonoperated Patients (n = 28) | Overall (n = 64) | ||
|---|---|---|---|---|
| Gender | Male, n Female, n | 24 12 | 12 16 | 36 28 |
| Age | median (range), years | 61.5 (26–78) | 60 (38–79) | 61 (26–79) |
| Nonfunctioning, n | Incidental, n Symptomatic, n | 13 16 | 6 15 | 19 31 |
| Functioning, n | Type, n | 7 (3 insulin, 2 glucagon, 2 ZES) | 7 (1 insulin, 3 ZES, 1 insulin/ZES, 2 carcinoid) | 14 |
| MEN-1 syndrome | No, n Yes, n | 29 7 | 28 | 57 7 |
| Tumor size a | median (range), cm | 6.5 (4.1–15) | 6.3 (4.1–11) | 6.0 (4.1–15) |
| Tumor location | Head, n Body-tail, n Diffuse, n | 12 21 3 | 17 10 1 | 29 31 4 |
| Distant metastases at diagnosis | No, n Liver, n Other b, n | 21 15 6 | 9 19 9 | 30 34 15 |
| TNM stage c | IIb IIIa IIIb IV | 10 1 10 15 | 4 2 2 20 | 14 3 12 35 |
| T (n.a. = 1) | 3 4 | 24 12 | 12 15 | 36 27 |
| N (n.a. = 3) | 0 1 | 11 25 | 7 18 | 18 43 |
| M | 0 1 | 21 15 | 8 20 | 29 35 |
| Histology (n.a. = 7) | NET, n NEC, n MiNEN, n | 30 5 | 17 3 2 | 47 8 2 |
| Grade (n.a. = 23) | 1 2 3 | 9 14 5 | 1 8 4 | 10 22 9 |
| Follow-up | median (range), months | 79 (3.8–395) | 18.5 (0.3–229) | 48 (0.3–395) |
| Status | ANED AWD DOC DOD POD | 7 4 6 18 1 | - 1 4 23 - | 7 5 10 41 1 |
| Radical Resection (n = 21) | Palliative Resection (n = 15) | Overall (n = 36) | |
|---|---|---|---|
| Type of surgery Distal pancreatectomy Pancreatico-duodenectomy Total pancreatectomy Enucleation DP and PD | 9 7 2 2 1 | 12 3 | 21 10 2 2 1 |
| Associated liver treatment Surgery Ablation a TAE (postoperatively) | - - | 13 11 5 6 | 13 11 5 6 |
| Operation time: median (range), min | 330 (130–550) | 270 (205–630) | 320 (130–630) |
| Intraoperative blood loss: median (range), mL | 600 (150–2300) | 1100 (150–3000) | 700 (150–3000) |
| Hospital stay: median (range), days | 14 (9–47) | 14.5 (9–34) | 14 (9–47) |
| Surgical morbidity b | 14 | ||
| BL | 1 | - | 1 |
| POPF (grade B) | 3 | 2 | 5 |
| PPH | 1 | 2 | 3 |
| Other c | 5 | - | 5 |
| Reoperation | 3 | 1 | 4 |
| 90 day-postoperative mortality | - | 1 | 1 |
| Predictor Variable | Categories (n) | p-Value |
|---|---|---|
| Gender | male (36) vs. female (28) | 0.061 |
| Age, years | <47.5 (16) vs. ≥47.5–61 (15) vs. ≥61–69 (16) vs. ≥69 (17) | 0.035 |
| Tumor size, cm | 4.1–6.0 (34) vs. >6.0 (30) | 0.474 |
| Symptomatic nonfunctioning tumor | yes (31) vs. no (19) | 0.37 |
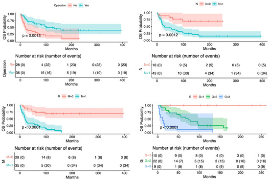
| Operation | yes (36) vs. no (28) | 0.0013 |
| Lymph node status (all patients) | N0 (18) vs. N1 (43) | 0.0012 |
| Lymph node status (operated patients) | N0 (11) vs. N1 (25) | 0.0032 |
| Distant metastases (all patients) | M0 (29) vs. M1 (35) | <0.0001 |
| Distant metastases (operated patients) | M0 (21) vs. M1 (15) | <0.0001 |
| Grade (all patients) | G1 (10) vs. G2 (22) vs. G3 (9) | <0.0001 |
| Grade (operated patients) | G1 (9) vs. G2 (14) vs. G3 (5) | <0.0001 |
Disclaimer/Publisher’s Note: The statements, opinions and data contained in all publications are solely those of the individual author(s) and contributor(s) and not of MDPI and/or the editor(s). MDPI and/or the editor(s) disclaim responsibility for any injury to people or property resulting from any ideas, methods, instructions or products referred to in the content. |
© 2023 by the authors. Licensee MDPI, Basel, Switzerland. This article is an open access article distributed under the terms and conditions of the Creative Commons Attribution (CC BY) license (https://creativecommons.org/licenses/by/4.0/).
Share and Cite
Milanetto, A.C.; Gais Zürcher, A.-L.; David, A.; Fassan, M.; Pasquali, C. Pancreatic Neuroendocrine Neoplasms Larger than 4 cm: A Retrospective Observational Study of Surgery, Histology, and Outcome. J. Clin. Med. 2023, 12, 1840. https://doi.org/10.3390/jcm12051840
Milanetto AC, Gais Zürcher A-L, David A, Fassan M, Pasquali C. Pancreatic Neuroendocrine Neoplasms Larger than 4 cm: A Retrospective Observational Study of Surgery, Histology, and Outcome. Journal of Clinical Medicine. 2023; 12(5):1840. https://doi.org/10.3390/jcm12051840
Chicago/Turabian StyleMilanetto, Anna Caterina, Anna-Lea Gais Zürcher, Alina David, Matteo Fassan, and Claudio Pasquali. 2023. "Pancreatic Neuroendocrine Neoplasms Larger than 4 cm: A Retrospective Observational Study of Surgery, Histology, and Outcome" Journal of Clinical Medicine 12, no. 5: 1840. https://doi.org/10.3390/jcm12051840
APA StyleMilanetto, A. C., Gais Zürcher, A.-L., David, A., Fassan, M., & Pasquali, C. (2023). Pancreatic Neuroendocrine Neoplasms Larger than 4 cm: A Retrospective Observational Study of Surgery, Histology, and Outcome. Journal of Clinical Medicine, 12(5), 1840. https://doi.org/10.3390/jcm12051840

