Acute Kidney Injury and Sepsis after Cardiac Surgery: The Roles of Tissue Inhibitor Metalloproteinase-2, Insulin-like Growth Factor Binding Protein-7, and Mid-Regional Pro-Adrenomedullin
Abstract
1. Introduction
2. Patients and Methods
2.1. Study Design
2.2. Measurement of Biomarkers
2.3. Definitions
2.4. Outcomes
2.5. Statistical Analysis
3. Results
3.1. Baseline Characteristics of the Study Population
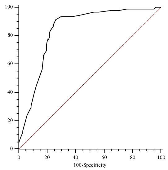
3.2. TIMP2*IGBP7 and Diagnosis of AKI
3.3. Septic Patients
3.4. Renal Replacement Therapy and AKI in Septic Patients
4. Discussion
5. Conclusions
Author Contributions
Funding
Institutional Review Board Statement
Informed Consent Statement
Data Availability Statement
Conflicts of Interest
References
- Uchino, S.; Kellum, J.A.; Bellomo, R.; Doig, G.S.; Morimatsu, H.; Morgera, S.; Schetz, M.; Tan, I.; Bouman, C.; Macedo, E.; et al. Acute renal failure in critically ill patients: A multinational, multicenter study. JAMA 2005, 294, 813–818. [Google Scholar]
- Lacquaniti, A.; Caccamo, C.; Salis, P.; Chirico, V.; Buemi, A.; Cernaro, V.; Noto, A.; Pettinato, G.; Santoro, D.; Bertani, T.; et al. Delayed graft function and chronic allograft nephropathy: Diagnostic and prognostic role of neutrophil gelatinase-associated lipocalin. Biomarkers 2016, 21, 371–378. [Google Scholar]
- Bolignano, D.; Coppolino, G.; Romeo, A.; Lacquaniti, A.; Buemi, M. Neutrophil gelatinase-associated lipocalin levels in chronic haemodialysis patients. Nephrology 2010, 15, 23–26. [Google Scholar] [CrossRef]
- Tao, X.; Chen, C.; Luo, W.; Zhou, J.; Tian, J.; Yang, X.; Hou, F.F. Combining renal cell arrest and damage biomarkers to predict progressive AKI in patient with sepsis. BMC 2021, 22, 415. [Google Scholar] [CrossRef]
- Murray, P.T.; Mehta, R.L.; Shaw, A.; Ronco, C.; Endre, Z.; Kellum, J.A.; Chawla, L.S.; Cruz, D.; Ince, C.; Okusa, M.D. ADQI 10 workgroup Potential use of biomarkers in acute kidney injury: Report and summary of recommendations from the 10th Acute Dialysis Quality Initiative consensus conference. Kidney Int. 2020, 180, 513–521. [Google Scholar]
- Godi, I.; Kashani, K.; Boteanu, R.; Martino, F.; Carta, M.; Giavarina, D.; Ronco, C. Clinical adoption of Nephrocheck® in the early detection of acute kidney injury. Ann. Clin. Biochem. 2021, 58, 6–15. [Google Scholar]
- Kashani, K.; Al-Khafaji, A.; Ardiles, T.; Artigas, A.; Bagshaw, S.M.; Bell, M.; Bihorac, A.; Birkhahn, R.; Cely, C.M.; Chawla, L.S.; et al. Discovery and validation of cell cycle arrest biomarkers in human acute kidney injury. Crit. Care 2013, 17, R25. [Google Scholar] [CrossRef] [PubMed]
- Elke, G.; Bloos, F.; Wilson, D.C.; Brunkhorst, F.M.; Briegel, J.; Reinhart, K.; Loeffler, M.; Kluge, S.; Nierhaus, A.; Jaschinski, U.; et al. The use of mid-regional proadrenomedullin to identify disease severity and treatment response to sepsis—A secondary analysis of a large randomised controlled trial. Crit. Care 2018, 22, 79. [Google Scholar] [CrossRef]
- Morgenthaler, N.G.; Struck, J.; Alonso, C.; Bergmann, A. Measurement of midregional proadrenomedullin in plasma with an immunoluminometric assay. Clin. Chem. 2005, 51, 1823–1829. [Google Scholar] [CrossRef]
- Hinson, J.P.; Kapas, S.; Smith, D.M. Adrenomedullin, a multifunctional regulatory peptide. Endocr. Rev. 2000, 21, 138–167. [Google Scholar]
- Nishikimi, T. Adrenomedullin in the kidney-renal physiological and pathophysiological roles. Curr. Med. Chem. 2007, 14, 1689–1699. [Google Scholar] [CrossRef]
- Temmesfeld-Wollbrück, B.; Brell, B.; Dávid, I.; Dorenberg, M.; Adolphs, J.; Schmeck, B.; Suttorp, N.; Hippenstiel, S. Adrenomedullin reduces vascular hyperpermeability and improves survival in rat septic shock. Intensive Care Med. 2007, 33, 703–710. [Google Scholar] [CrossRef]
- Baldirà, J.; Ruiz-Rodríguez, J.C.; Wilson, D.C.; Ruiz-Sanmartin, A.; Cortes, A.; Chiscano, L.; Ferrer-Costa, R.; Comas, I.; Larrosa, N.; Fàbrega, A.; et al. Biomarkers and clinical scores to aid the identification of disease severity and intensive care requirement following activation of an in-hospital sepsis code. Ann. Intensive Care 2020, 10, 7. [Google Scholar] [CrossRef]
- Christ-Crain, M.; Morgenthaler, N.G.; Struck, J.; Harbarth, S.; Bergmann, A.; Müller, B. Mid-regional pro-adrenomedullin as a prognostic marker in sepsis: An observational study. Crit. Care 2005, 9, R816–R824. [Google Scholar] [CrossRef]
- Maisel, A.; Mueller, C.; Nowak, R.; Peacock, W.F.; Landsberg, J.W.; Ponikowski, P.; Mockel, M.; Hogan, C.; Wu, A.H.; Richards, M.; et al. Mid-region pro-hormone markers for diagnosis and prognosis in acute dyspnea: Results from the BACH (Biomarkers in Acute Heart Failure) trial. JACC 2010, 55, 2062–2076. [Google Scholar] [CrossRef] [PubMed]
- Nishikimi, T.; Horio, T.; Kohmoto, Y.; Yoshihara, F.; Nagaya, N.; Inenaga, T.; Saito, M.; Teranishi, M.; Nakamura, M.; Ohrui, M.; et al. Molecular forms of plasma and urinary adrenomedullin in normal, essential hypertension and chronic renal failure. J. Hypertens. 2001, 19, 765–773. [Google Scholar] [CrossRef]
- Hall, R. Identification of inflammatory mediators and their modulation by strategies for the management of the systemic inflammatory response during cardiac surgery. J. Cardiothorac. Vasc. Anesth. 2013, 27, 983–1033. [Google Scholar]
- Levey, S.A.; Stevens, A.L.; Schmid, H.C.; Zhang, Y.P.; Kusek, J.W.; Eggers, P.; Van Lente, F.; Greene, T.; Coresh, J.; Feldman, I.H. for the chronic kidney disease epidemiology collaboration (CKD-EPI). A new equation to estimate glomerular filtration rate. Ann. Intern. Med. 2009, 150, 604–612. [Google Scholar] [CrossRef] [PubMed]
- Eknoyan, G.; Lameire, N.; Eckardt, K.; Kasiske, B.; Wheeler, D.; Levin, A. KDIGO 2012 clinical practice guideline for the evaluation and management of chronic kidney disease. Kidney Int. 2013, 3, 5–14. [Google Scholar]
- Khwaja, A. KDIGO Clinical Practice Guideline for Acute Kidney Injury. Kidney Int. Suppl. 2012, 2, 1–138. [Google Scholar] [CrossRef]
- Vincent, J.L.; Moreno, R.; Takala, J.; Willatts, S.; De Mendonça, A.; Bruining, H.; Reinhart, C.K.; Suter, P.M.; Thijs, L.G. The SOFA (sepsis-related organ failure assessment) score to describe organ dysfunction/failure. On behalf of the working group on sepsis-related problems of the european society of intensive care medicine. Intensive Care Med. 1996, 22, 707–710. [Google Scholar] [CrossRef]
- Singer, M.; Deutschman, C.S.; Seymour, C.W.; Shankar-Hari, M.; Annane, D.; Bauer, M.; Bellomo, R.; Bernard, G.R.; Chiche, J.D.; Coopersmith, C.M.; et al. The Third International Consensus Definitions for Sepsis and Septic Shock (Sepsis-3). JAMA 2016, 315, 801–810. [Google Scholar] [CrossRef] [PubMed]
- Su, L.J.; Li, Y.M.; Kellum, J.A.; Peng, Z.Y. Predictive value of cell cycle arrest biomarkers for cardiac surgery-associated acute kidney injury: A meta-analysis. Br. J. Anaesth. 2018, 121, 350–357. [Google Scholar] [PubMed]
- Bourgonje, A.R.; Abdulle, A.E.; Bourgonje, M.F.; Kieneker, L.M.; la Bastide-van Gemert, S.; Gordijn, S.J.; Hidden, C.; Nilsen, T.; Gansevoort, R.T.; Mulder, D.J.; et al. Plasma Neutrophil Gelatinase-Associated Lipocalin Associates with New-Onset Chronic Kidney Disease in the General Population. Biomolecules 2023, 13, 338. [Google Scholar] [CrossRef]
- Ruth, A.; Basu, R.K.; Gillespie, S.; Morgan, C.; Zaritsky, J.; Selewski, D.T.; Arikan, A.A. Early and late acute kidney injury: Temporal profile in the critically ill pediatric patient. Clin. Kidney J. 2021, 15, 311–319. [Google Scholar] [CrossRef]
- Zarbock, A.; Kellum, J.A.; Schmidt, C.; Van Aken, H.; Wempe, C.; Pavenstädt, H.; Boanta, A.; Gerß, J.; Meersch, M. Effect of Early vs Delayed Initiation of Renal Replacement Therapy on Mortality in Critically Ill Patients with Acute Kidney Injury: The ELAIN Randomized Clinical Trial. JAMA 2016, 315, 2190–2199. [Google Scholar] [CrossRef] [PubMed]
- Bloos, F.; Rüddel, H.; Thomas-Rüddel, D.; Schwarzkopf, D.; Pausch, C.; Harbarth, S.; Schreiber, T.; Gründling, M.; Marshall, J.; Simon, P.; et al. Effect of a multifaceted educational intervention for anti-infectious measures on sepsis mortality: A cluster randomized trial. Intensive Care Med. 2017, 43, 1602–1612. [Google Scholar] [CrossRef]
- Andriolo, B.N.; Andriolo, R.B.; Salomao, R.; Atallah, A.N. Effectiveness and safety of procalcitonin evaluation for reducing mortality in adults with sepsis, severe sepsis or septic shock. Cochrane Database Syst. Rev. 2017, 1, CD010959. [Google Scholar] [PubMed]
- Campo, S.; Lacquaniti, A.; Trombetta, D.; Smeriglio, A.; Monardo, P. Immune System Dysfunction and Inflammation in Hemodialysis Patients: Two Sides of the Same Coin. J. Clin. Med. 2022, 11, 3759. [Google Scholar] [CrossRef]
- Bloos, F.; Trips, E.; Nierhaus, A. Effect of sodium selenite administration and procalcitonin-guided therapy on mortality in patients with severe sepsis or septic shock: A randomized clinical trial. JAMA Intern. Med. 2016, 176, 1266–1276. [Google Scholar] [CrossRef]
- Fialek, B.; De Roquetaillade, C.; Pruc, M.; Navolokina, A.; Chirico, F.; Ladny, J.R.; Peacock, F.W.; Szarpak, L. Systematic review with meta-analysis of mid-regional pro-adrenomedullin (MR-proadm) as a prognostic marker in Covid-19-hospitalized patients. Ann. Med. 2023, 55, 379–387. [Google Scholar] [CrossRef] [PubMed]




| All Patients n: 230 | |
|---|---|
| Age, years | 65.3 ± 7.9 |
| Male n (%) | 145 (63%) |
| BMI, kg/m2 | 31.5 ± 3.8 |
| Hypertension, n (%) | 166 (72) |
| Smoke, n (%) | 89 (38) |
| Diabetes n (%) | 153 (66) |
| COPD n (%) | 94 (41) |
| CKD n (%) | 102 (44) |
| LVEF > 50% n (%) | 107 (46) |
| LVEF 30–50 n (%) | 116 (50) |
| eGFR, mL/min | 41.8 ± 18 |
| sCreatinine, mg/dL | 1.80 ± 0.9 |
| TIMP2*IGFBP7, mg/L | 0.08 ± 0.02 |
| AKI Patients n: 113 (49%) | No AKI Patients n: 117 (51%) | |
|---|---|---|
| Age, years | 71.2 ± 4.6 | 67.8 ± 5.4 |
| BMI, kg/m2 | 31.8 ± 2.1 | 30.4 ± 2.6 |
| Hypertension, n (%) | 79 (70) | 97 (83) |
| Smoke, n (%) | 39 (35) | 50 (43) |
| Diabetes n (%) | 77 (68) | 76 (65) |
| COPD n (%) | 53 (47) | 41 (35) |
| CKD n (%) | 71 (63) | 31 (26) |
| LVEF >50% n (%) | 44 (39) | 63 (54) |
| CPB time, min | 78.5 ± 21.2 | 69,2 ± 12.5 |
| Aortic cross-clamping time, min | 66.7 ± 23.4 | 56.7 ± 12.2 |
| Operation time, min ± SD | 179 ± 44 | 167 ± 54 |
| TIMP2*IGFBP7, mg/L | 1.1 ± 0.4 | 0.12 ± 0.03 |
| RRT, n (%) | 75 (66) | - |
| Sepsis, n (%) | 54 (48) | 29 (25) |
| Parameter | Sepsis n: 83 (36%) | Non-Sepsis n: 147 (64%) |
|---|---|---|
| Age, years ± SD | 68.9 ± 6.1 | 64.7 ± 5.2 |
| Diabetes, n (%) | 72 (87) | 81 (55) |
| Hypertension, n (%) | 79 (95) | 87 (59) |
| CKD, n (%) | 71 (85) | 31 (21) |
| CPB time, min ± SD | 85.3 ± 16.5 | 73.4 ± 15.2 |
| Operation time, min ± SD | 191.5 ± 32 | 167.2 ± 51 |
| ICU LOS time, days, median (IQR) | 19.7 (12.7–28.4) | 7.4 (5.4–13.4) |
| ICU mortality, n (%) | 49 (59) | 13 (9) |
| AKI, n (%) | 54 (65) | 59 (40) |
| RRT, n (%) | 54 (65) | 21 (14) |
| MR-proADM, nmol/L, median (IQR) | 2.3 (0.7–7.8) | - |
Disclaimer/Publisher’s Note: The statements, opinions and data contained in all publications are solely those of the individual author(s) and contributor(s) and not of MDPI and/or the editor(s). MDPI and/or the editor(s) disclaim responsibility for any injury to people or property resulting from any ideas, methods, instructions or products referred to in the content. |
© 2023 by the authors. Licensee MDPI, Basel, Switzerland. This article is an open access article distributed under the terms and conditions of the Creative Commons Attribution (CC BY) license (https://creativecommons.org/licenses/by/4.0/).
Share and Cite
Lacquaniti, A.; Ceresa, F.; Campo, S.; Barbera, G.; Caruso, D.; Palazzo, E.; Patanè, F.; Monardo, P. Acute Kidney Injury and Sepsis after Cardiac Surgery: The Roles of Tissue Inhibitor Metalloproteinase-2, Insulin-like Growth Factor Binding Protein-7, and Mid-Regional Pro-Adrenomedullin. J. Clin. Med. 2023, 12, 5193. https://doi.org/10.3390/jcm12165193
Lacquaniti A, Ceresa F, Campo S, Barbera G, Caruso D, Palazzo E, Patanè F, Monardo P. Acute Kidney Injury and Sepsis after Cardiac Surgery: The Roles of Tissue Inhibitor Metalloproteinase-2, Insulin-like Growth Factor Binding Protein-7, and Mid-Regional Pro-Adrenomedullin. Journal of Clinical Medicine. 2023; 12(16):5193. https://doi.org/10.3390/jcm12165193
Chicago/Turabian StyleLacquaniti, Antonio, Fabrizio Ceresa, Susanna Campo, Giovanna Barbera, Daniele Caruso, Elenia Palazzo, Francesco Patanè, and Paolo Monardo. 2023. "Acute Kidney Injury and Sepsis after Cardiac Surgery: The Roles of Tissue Inhibitor Metalloproteinase-2, Insulin-like Growth Factor Binding Protein-7, and Mid-Regional Pro-Adrenomedullin" Journal of Clinical Medicine 12, no. 16: 5193. https://doi.org/10.3390/jcm12165193
APA StyleLacquaniti, A., Ceresa, F., Campo, S., Barbera, G., Caruso, D., Palazzo, E., Patanè, F., & Monardo, P. (2023). Acute Kidney Injury and Sepsis after Cardiac Surgery: The Roles of Tissue Inhibitor Metalloproteinase-2, Insulin-like Growth Factor Binding Protein-7, and Mid-Regional Pro-Adrenomedullin. Journal of Clinical Medicine, 12(16), 5193. https://doi.org/10.3390/jcm12165193

