Abstract
Background: Several risk scores have attempted to risk stratify patients with acute upper gastrointestinal bleeding (UGIB) who are at a lower risk of requiring hospital-based interventions or negative outcomes including death. This systematic review and meta-analysis aimed to compare predictive abilities of pre-endoscopic scores in prognosticating the absence of adverse events in patients with UGIB. Methods: We searched MEDLINE, EMBASE, Central, and ISI Web of knowledge from inception to February 2023. All fully published studies assessing a pre-endoscopic score in patients with UGIB were included. The primary outcome was a composite score for the need of a hospital-based intervention (endoscopic therapy, surgery, angiography, or blood transfusion). Secondary outcomes included: mortality, rebleeding, or the individual endpoints of the composite outcome. Both proportional and comparative analyses were performed. Results: Thirty-eight studies were included from 2153 citations, (n = 36,215 patients). Few patients with a low Glasgow-Blatchford score (GBS) cutoff (0, ≤1 and ≤2) required hospital-based interventions (0.02 (0.01, 0.05), 0.04 (0.02, 0.09) and 0.03 (0.02, 0.07), respectively). The proportions of patients with clinical Rockall (CRS = 0) and ABC (≤3) scores requiring hospital-based intervention were 0.19 (0.15, 0.24) and 0.69 (0.62, 0.75), respectively. GBS (cutoffs 0, ≤1 and ≤2), CRS (cutoffs 0, ≤1 and ≤2), AIMS65 (cutoffs 0 and ≤1) and ABC (cutoffs ≤1 and ≤3) scores all were associated with few patients (0.01–0.04) dying. The proportion of patients suffering other secondary outcomes varied between scoring systems but, in general, was lowest for the GBS. GBS (using cutoffs 0, ≤1 and ≤2) showed excellent discriminative ability in predicting the need for hospital-based interventions (OR 0.02, (0.00, 0.16), 0.00 (0.00, 0.02) and 0.01 (0.00, 0.01), respectively). A CRS cutoff of 0 was less discriminative. For the other secondary outcomes, discriminative abilities varied between scores but, in general, the GBS (using cutoffs up to 2) was clinically useful for most outcomes. Conclusions: A GBS cut-off of one or less prognosticated low-risk patients the best. Expanding the GBS cut-off to 2 maintains prognostic accuracy while allowing more patients to be managed safely as outpatients. The evidence is limited by the number, homogeneity, quality, and generalizability of available data and subjectivity of deciding on clinical impact. Additional, comparative and, ideally, interventional studies are needed.
1. Introduction
Acute upper gastrointestinal bleeding (UGIB) is a life-threatening condition that affects one per 1000 population yearly, resulting in more than 300,000 hospital admissions annually in the United States with significant associated costs [1]. Despite the advances in the management of UGIB, it still carries significant morbidity and mortality [2]. However, not all patients with acute UGIB require hospital-based interventions and up to 25% of these patients may successfully be managed on a sole out-patient basis [3]. Therefore, early prediction of negative outcomes among patients with UGIB is crucial to ensure appropriate disposition from the initial point of care. Over the last few decades, several pre-endoscopic risk assessment scores were proposed to risk stratify patients with acute UGIB, including the Glasgow-Blatchford score (GBS) [4], clinical Rockall score (CRS) [5], and AIMS65 score [6]. More recently, the Age, Blood tests and Comorbidities (ABC) [7] and the Canada—United Kingdom—Adelaide (CANUKA) scores [8] were introduced (Table 1). These scores can be used by emergency department or subspecialty physicians when selecting patients with UGIB requiring admission because of a medical, radiological, or surgical intervention.
Table 1.
Pre-endoscopic risk assessment scores components.
However, these scoring systems are not routinely used in clinical practice [9], principally due to insufficient validation of their clinical impact in prospective studies. Current practice guidelines for the management of non-variceal UGIB recommend using the GBS to identify low-risk patients with a cutoff of ≤1, but the data supporting this recommendation is quite weak, as reflected by the corresponding very low to low level certainty of evidence using the GRADE rating [10,11]. Therefore, the optimal risk stratification tool for predicting adverse events in a pre-endoscopic setting unfortunately remains unclear [12].
In this systematic review and meta-analysis, we aimed to identify and compare pre-endoscopic published and validated contemporary predictive tools for safely discharging patients with low risk UGIB.
2. Materials and Methods
The PICOT question for this study is:
- Population—patients presenting to the ER with suspected upper GI bleeding
- Intervention—evaluation of low-risk patient using a pre-endoscopic risk score to predict outcomes
- Control—non-low risk patients according to varying thresholds
- Outcomes—The primary outcome was a composite score for the need of a hospital-based intervention (endoscopic therapy, surgery, angiography, or blood transfusion). Secondary outcomes included: mortality, rebleeding or the individual endpoints of the composite outcome
- Time—follow-up up to 30 days from the index bleeding episode
2.1. Search Strategy
Systematic searches were performed for full papers and abstracts published up until February 2023 using MEDLINE, EMBASE, Central, and ISI Web of knowledge. Citation selection used a highly sensitive search strategy with Mesh and controlled vocabulary related to (1) UGIB, and (2) pre-endoscopic prognostic scales that are based on pre-endoscopic clinical data. (Supplementary Table S1). Recursive searches and cross-referencing were also carried out using a “similar articles” function; hand searches of articles were identified after an initial search.
2.2. Study Selection and Patient Population
All fully published studies assessing a pre-endoscopic score in patients with UGIB (including variceal and non-variceal) were included. UGIB was defined as patients presenting with hematemesis, coffee ground vomiting or melena. Exclusion criteria were studies reporting non-human participants, trials not published in English or French, or addressing a pediatric population. In addition, any risk assessment score that was a subsequent modification of an initial publication of a pre-endoscopic score was excluded. The definition of “low-risk” group varied by the individual risk assessment scores. We used the commonly reported score thresholds for determining low-risk patients and varied them to determine the best performing values. Because of the main aim of the trial and the adopted primary outcome (see below), the low-risk group focused more specifically on patients who could be discharged from an emergency room without the performance of an endoscopy at the index visit. This is in keeping with recent guideline recommendations [10,11]. Because of recent guideline recommendations defining a low-risk group as a risk assessment score with ≤1% false negative rate for the outcome of hospital-based intervention or death (e.g., Glasgow-Blatchford score = 0–1), we initially adopted that definition, but also varied the thresholds and risk scores in an attempt to better define their prognostication [11]. Studies that did not specify a cutoff for the low-risk group or did not provide enough data to allow calculation of the low-risk score were excluded.
2.3. Validity Assessment
Two reviewers (AB, MM) evaluated the eligibility of all identified citations independently, with a third resolving disagreements (AA). Study quality was assessed using the Ottawa-Newcastle score (NOS) for observational studies [13].
2.4. Choice of Outcome
The adopted primary outcome was a previously validated composite score for need of a hospital-based intervention (treatment with transfusion, endoscopic treatment, surgery, or angiography) [14]. This definition was taken from contemporary guidelines as it is specifically tailored to the identification of patients who could be discharged from an emergency room without the performance of an endoscopy at the index visit [10,11]. Secondary outcomes included: rebleeding, mortality, or individual components of the composite outcome. Data will be presented initially as a meta-analysis of proportions (purely descriptive) based on studies that reported outcomes for low-risk patients. We also perform a subsequent meta-analysis assessing studies that included data for both low and greater risk patients allowing for a comparative analysis.
2.5. Sensitivity and Subgroup Analyses
Pre-planned possible subgroup and sensitivity analyses for the primary outcome included assessments according to year of publication, quality of studies, performing a fixed rather than a random effect model (when appropriate), and when correcting for double-zero events.
2.6. Statistical Analysis and Possible Sources of Statistical Heterogeneity
Categorical estimates of primary and secondary outcomes were reported as proportions and 95% confidence intervals (CI) using weighted random effects models. Continuous variables were reported as means and standard deviations; medians were used if means were not available, and standard deviations (SDs) were calculated or imputed when possible [15]. For comparative studies, effect size was calculated with weighted mean differences (WMDs) for continuous variables. Odds ratios (ORs) were calculated for categorical variables.
The DerSimonian and Laird method [16] for random effect models was applied to all outcomes to determine corresponding overall effect sizes and their confidence intervals. Sensitivity analyses were performed using the Mantel–Haenszel method with fixed effect models when no statistical heterogeneity was noted. WMD were handled as continuous variables using the inverse variance approach. Presence of heterogeneity across studies was defined using a Chi-square test of homogeneity with a 0.10 significance level [15].
The Higgins I2 statistic [17] was calculated to quantify the proportion of variation in treatment effects attributable to between-study heterogeneity, with values of 25%, 50%, and 75% representing low, moderate, and high heterogeneity, respectively.
For all comparisons, publication bias was evaluated using funnel plots if at least 3 citations were identified. In order to ensure that zero event trials did not significantly affect the heterogeneity or p-values, sensitivity analyses were performed where a continuity correction was added to each trial with zero events using the reciprocal of the opposite treatment arm size [18].
All statistical analyses were done using Revman 5.4 and Meta package in R version 2.13.0, (R Foundation for Statistical Computing, Vienna, Austria, 2008).
3. Results
3.1. Included Studies
Overall, 2153 citations were retrieved; 1497 were rejected based on titles and abstracts, 163 articles were fully reviewed, and 38 studies (n = 36,215 patients) were included (PRISMA diagram, Figure 1). Fourteen studies (n = 7958 patients) assessed GBS [19,20,21,22,23,24,25,26,27,28,29,30,31], 4 assessed CRS (n = 1890 patients) [32,33,34,35], 3 assessed AIMS65 (n = 1340 patients) [36,37,38] and 1 study assessed the ABC score (n = 2020) [39]. Six studies reported results for both the GBS and CRS (n = 2774 patients) [3,40,41,42,43,44], three reported both GBS and AIMS65 (n = 1372 patients) [45,46,47] and one assessed GBS and the The Haemoglobin-Urea-Pulse-Systolic blood pressure score (HUPS) (n = 934 patients) [48]. The remaining six studies assessed multiple risk scores (n = 17,816 patients) [8,14,49,50,51,52]. Table 2 details the included studies. Only scoring systems that had at least three fully published validation studies were included in the results while the others were included only in the supplementary Table S2. Study quality scores using the NOS ranged from 5 to 7 stars out of a possible score of 9, with a mean of 6.6 ± 0.9. Assessing the individual domains of the NOS confirmed the low quality of the studies (Supplementary Table S3). No publication bias was observed (data available upon request).
Figure 1.
PRISMA diagram.
Table 2.
Details of included studies.
3.2. Primary Outcome
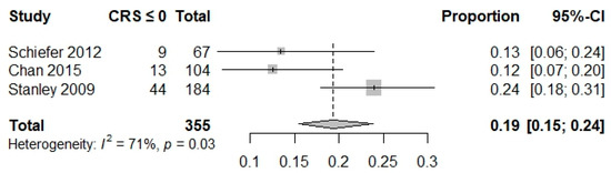
The proportion of hospital-based interventions performed (composite outcome) was reported in seven studies (n = 4377 patients) [3,19,20,39,40,48,52]. The proportion of low-risk patients requiring hospital-based intervention for GBS cutoffs of 0, ≤1, and ≤2 were 0.02 (0.01, 0.05), 0.04 (0.02, 0.09), and 0.03(0.02, 0.07), respectively. For a CRS cutoff of 0, the proportion was 0.19 (0.15, 0.24), and was 0.69 (0.62, 0.75) for an ABC ≤ 3 (Table 3, Figure 2 and Figure 3). A composite outcome-based analysis was not available for the other scoring systems.
Table 3.
Primary and secondary outcomes for risk assessment scores (expressed as proportions).
Figure 2.
Forest plot composite outcome GBS ≤ 2 [19,48,52].
Figure 3.
Forest plot composite outcome cRS ≤ 0 [3,40,52].
For the comparative analysis between low- and greater-risk groups, data were available from four studies (n = 2212 patients) [19,20,39,52]. Scores of GBS = 0 (1 study, n = 478 patients) [20], GBS ≤ 1 (1 study, n = 569 patients) [20], and GBS ≤ 2 (2 studies, n = 998 patients) [19,52] yielded respective ORs of 0.02 (0.00, 0.16), 0.00 (0.00, 0.02) and 0.01 (0.00, 0.04) for predicting hospital-based interventions among low-risk compared to greater-risk groups. A CRS of 0 (1 study, n = 478 patients) [52] had an OR of 0.17 (0.08, 0.34), while an ABC ≤ 3 (1 study, n = 645 patients) [39] was associated with an OR of 0.42 (0.29, 0.62) (Table 4). Comparative results were not available for the other scoring systems.
Table 4.
Primary and secondary outcomes for risk assessment scores comparing low-risk to higher-risk patients (expressed as odds ratio).
3.3. Secondary Outcomes
Mortality: Among patients with a GBS of 0 and ≤1, mortality was reported in 0.01 (0.01, 0.03) and 0.01 (0.00, 0.01), respectively. The mortality among patients with a CRS cutoff of 0 was 0.01 (0.00, 0.02), for ≤1 was 0.01(0.00, 0.01) and for ≤2 was 0.02 (0.01, 0.04). For AIMS65 using a cutoff of 0, the mortality was 0.01 (0.01, 0.02), while for an AIMS65 ≤ 1 it was 0.04 (0.03, 0.05). For the ABC score, the proportions for mortality were 0.02 (0.01, 0.12) and 0.10 (0.06, 0.17) for cutoffs of ≤1 and ≤3, respectively. With regard to the comparative analysis, GBS ≤ 1 (OR 0.06 (0.02, 0.20)) and GBS ≤ 2 (OR 0.11 (0.04, 0.27)) had the best predictive ability for the mortality outcome among low-risk compared to greater-risk groups. Detailed results are shown in Table 3 (proportion) and Table 4 (comparative analysis).
Rebleeding: In the proportional analysis, for both GBS and CRS (with cutoffs up to 2) rebleeding occurred in a small proportion of patients identified as low risk (proportions between 0.01 to 0.07) (Table 3). However, in the comparative analysis, only cut-offs of GBS = 0 (OR 0.27 (0.09, 0.97)) and GBS ≤ 1 (OR 0.09 (0.01, 0.68)) were able to discriminate the low-risk from greater-risk groups for the outcome of rebleeding (Table 4).
Blood Transfusion: Blood transfusions were required in 0.01 (0.01, 0.03) and 0.04 (0.03, 0.06) of patients with GBS cutoff of 0 and ≤2, respectively. The proportions for the other scoring systems were higher, as shown in Table 3. For the comparative analysis, GBS using the different cutoffs had the highest predictive ability, as shown in Table 4.
Endoscopic intervention: An endoscopic intervention was required in a small proportion of patients with a low GBS score (GBS = 0, 0.02 (0.01, 0.03), GBS ≤ 1, 0.02 (0.01, 0.02), and GBS ≤ 2, 0.06 (0.04, 0.09)). The proportion of patients identified as low risk using either the CRS or AIMS65 but requiring endoscopic intervention was higher when compared to that using the GBS (Table 3). For the comparative analysis, GBS (using all 3 cutoffs) had the best predictive ability for discriminating low-risk from greater-risk groups for the outcome of endoscopic intervention (Table 4).
Surgical intervention: Patients identified as low risk by GBS, CRS and AIMS65 all had low surgical intervention rates. However, the comparative analysis identified a GBS ≤ 1 and GBS ≤ 2 as the scores with the highest discriminative ability in this regard (OR 0.19 (0.06, 0.60) and OR 0.27 (0.07, 0.97), respectively).
Radiological intervention: Data were only available for the GBS for this outcome. Overall, the proportion of patients requiring radiological intervention was low among GBS = 0 (0.01 (0.00, 0.007)), GBS ≤ 1 (0.00, (0.00, 0.02)) and GBS ≤ 2 (0.01 (0.00, 0.04)). However, GBS did not discriminate well between the low- and greater-risk groups for this endpoint (Table 4).
3.4. Sensitivity and Subgroup Analyses
A pre-planned sensitivity analysis according to the year of publication and limiting the assessment to higher quality studies did not alter overall findings (Supplementary Table S4).
4. Discussion
GIB is the most common cause of hospitalization for GI conditions in the United States, accounting for over half a million admissions annually [54]. Nearly 80% of patients seen in an emergency room with UGIB are admitted to hospital with this condition as principal diagnosis [54]. Yet in over 80% of cases of UGIB, interventions such as endoscopic therapy, blood transfusion or surgery are not needed to stop the bleeding [55]. Although co-morbid conditions may also play a role in the need for hospitalization and other outcomes, not all patients with GIB require admission, hence the critical importance of stratifying patients into being at low or high risk for developing adverse events using validated prognostic scores [56]. A risk assessment tool that correctly identifies very low-risk patients, soon after presentation, who do not need hospital admission or intervention and can be safely discharged to obtain an elective out-patient endoscopy has the potential of reducing health resource utilization in acute UGIB [57].
We focused this systematic review on characterizing and, where possible, looking at the prognostic ability of different scoring schemes in predicting proportions of patients not developing negative outcomes, as well as comparing these amongst patients stratified into low or higher-risk using specific cut-off. We selected for this review scales that can be calculated in the emergency department before any endoscopic intervention (Table 1), thus excluding certain prognostic score assessments such as the PNED [58,59] scale. These needed to have been appropriately validated by sampling cohorts separate from the ones used for development of the individual scale; as well those that should not require endoscopic or in-hospital information, in keeping with our target population of interest. We thus included GBS, CRS, AIMS65 and ABC, but not others that did not fulfill our selection criteria such as the HARBINGER scale [59] (the latter had was reported in less than 3 studies, and did not consider our primary outcome while excluding patients with oozing lesions). More specifically, we assessed prediction of the need for a hospital intervention of any type including endoscopic, surgical, and radiologic therapy, or blood transfusion either individually or as a group (composite outcome measure as proposed by Stanley et al. [14]), as well as the development of rebleeding or mortality. Only the use of the composite outcome measure of avoiding all hospital-based interventions can address the patient population targeted by our meta-analysis since the occurrence of any one of these, even if just one, would increase the risk of discharging the patient from the emergency room without performance of an index endoscopy. This rationale is a very different one than assessing the performance of risk scores in predicting one or many of the hospital-based interventions, and/or rebleeding and/or mortality: all of which relate to patients at higher risk than our target population. Unfortunately, as we did not have patient-level information from the studies, it was impossible for us to identify or report which of the patients who met the composite outcome measure experienced each of its individual components. The continuous outcomes of intensive care unit and hospital lengths of stay were clinically not relevant to the overall focus on outpatient management prediction and were thus not studied.
In the initial part of the meta-analysis, we calculated proportions of patients achieving the various outcomes associated with low-risk allocation for the different scales using optimal cut-offs (summarized in Table 3 with a more complete description included in appendix). The GBS performed well in predicting 0–6% of low-risk patients for all outcomes studied. In contrast, the CRS and AIMS65 were only useful in prognosticating mortality, rebleeding (only the CRS), or surgical intervention (overall 0–7% for low-risk patients).
The aim of this meta-analysis is to compare different thresholds, and thus risk ratios and not absolute test performance characteristics are presented. A meta-analysis of diagnostic tests employs a very different methodology, which was not used as this was not the clinical or methodological aim of our meta-analysis. In the comparative analysis part of our work, only the GBS remained useful (Table 4), and only in predicting the composite outcome of hospital-based interventions and need for blood transfusion as individual outcome. Among the different cut-off values of the GBS that have been assessed in previous studies [3,25,30], a cut-off score of GBS ≤ 1 appeared to be the most discriminative. Indeed, the odds ratios for predicting low-risk patients requiring hospital-based intervention for GBS cutoffs of 0, ≤1, and ≤2 were 0.02 (0.00, 0.16), 0.00 (0.00, 0.02) and 0.01 (0.00, 0.04), respectively. In other words, for example, the likelihood of requiring a hospital-based intervention in a patient with a GBS ≤ 1 (OR = 0.00 (0.00–0.02)) would be, at worst, 50-fold less likely than a patient with a higher GBS score, 95 times out of 100. No CRS or AIMS65 cut-offs were found to be discriminant in the comparative analysis.
The present results provide a more complete review of evidence in support of current guidelines that have suggested the GBS ≤ 1 as a useful score threshold in determining a low risk of adverse events, in turn allowing for safe outpatient management of patients with an early discharge from the emergency room [10,11,60,61]. Interestingly, our results demonstrate that a GBS cut-off score of 2 or less also prognosticated, very accurately, patients at low risk of developing the composite outcome of hospital-based interventions of any type. The potential advantage of adopting this threshold is the greater overall proportion of patients it applies to, and thus can be sent home acutely compared to a smaller number if adopting a GBS threshold of ≤1 (30.5% vs. 19–24%, respectively) [14,24]. This increased applicability needs to be weighed against the minimal additional risk of misclassification. Such trade-off may be very reasonable in a setting of limited resources and could further be assessed using utilities analyses coupled to decision modeling. Importantly, we excluded studies that specifically looked at patients with known co-morbidities or concerning hemodynamic presentation, since these would not be included in any low-risk group as we and the guidelines have defined them. However, patients who initially had neither but may have developed these in time were included in the studies we used to analyze the outcomes (which is in part why there is not a perfect prognostication of patients).
Limitations of the current systematic review include the unavailability of sufficient data to calculate the low-risk prediction performance by some of the scoring system, principally related to an inability to reproduce numerators and denominators from the published information, as defined a priori in our study selection criteria. Additional limitations included the restricted number of studies that could completely inform our systematic review and meta-analysis, and heterogeneity in the selection of patient populations as listed in Table 2, and definitions and selection of individual outcomes. Many scores could not be included as they had not been adequately studied amongst low-risk populations, had not been validated in an independent cohort, or were dependent on endoscopic or hospital-based information such as the HARBINGER scale, qSOFA, shock index, and Progetto Nazionale Emorragia Digestiva (PNED) or an artificial-intelligence-based scoring system [59,62,63,64,65]. There also exists little formal guidance to assess the clinical pertinence of the different prognosticating abilities with regard to balancing the trade-off of accurate outcome prognostication attributable to a provided score threshold versus the proportion of patients that the given cut-off can apply to.
Furthermore, very few studies were interventional in nature, actually assessing the clinical impact of the adoption of the risk score in guiding the downstream clinical management of patients [3]. The prevalence of variceal bleeding amongst all UGIB patients seen in a given practice may also affect the generalizability of the observed results. Indeed, it is important to note that the populations studied typically included patients with both variceal and non-variceal upper gastrointestinal bleeding; although the former usually represent approximately 10% of all acute UGIB [9], depending on local institutional patient mix.
In conclusion, published pre-endoscopic risk scores allow, as a group, good discrimination between populations at low-and higher-risk of developing adverse events. The best performing prognostic scale appears to be the GBS using a cut-off score of 1 or less. Results of our meta-analysis suggest that extending the cut-off to 2 may be reasonable when considering the overall proportion of patients who can be discharged home acutely, potentially allowing for a better utilization of resources. Informing evidence is limited by the number, heterogeneity, quality, and generalizability of the available data. Additional, comparative and, ideally, interventional studies are needed to best confirm these results.
Supplementary Materials
The following supporting information can be downloaded at: https://www.mdpi.com/article/10.3390/jcm12165194/s1, Table S1: Search Strategy; Table S2: Primary and secondary outcomes for the extra risk assessment scores (expressed as proportions); Table S3: The Newcastle-Ottawa scale for the quality of included studies; Table S4: Sensitivity analyses for primary outcome.
Author Contributions
Conceptualization, A.N.B., M.M., A.B., A.A.A. and M.A.; methodology, A.N.B., M.M., A.B. and A.A.A.; software, M.M.; validation, A.N.B., M.M., A.B. and A.A.A.; formal analysis, M.M.; investigation, A.N.B., M.M., A.B. and A.A.A.; resources, A.N.B. and M.M.; data curation, M.M.; writing—original draft preparation, M.M., A.B. and A.A.A.; writing—review and editing, A.N.B.; visualization, A.N.B.; supervision, A.N.B.; project administration, M.A.; funding acquisition, M.A. All authors have read and agreed to the published version of the manuscript.
Funding
The authors extend their appreciation to the International Scientific Partnership Program ISPP at King Saud University for funding this research work through ISPP-21-156(1).
Institutional Review Board Statement
Not applicable.
Informed Consent Statement
Not applicable.
Data Availability Statement
The data presented in this study are available on request from the corresponding author.
Conflicts of Interest
Antoine Boustany, Ali Alali, Majid Almadi, Myriam Martel, and Alan Barkun have no financial relationships relevant to this publication to disclose.
Abbreviations
| ABC | Age, blood tests and comorbidities |
| AIMS65 | Albumin, INR, Mental status, systolic blood pressure, age > 65 |
| CANUKA | Canada—United Kingdom—Adelaide |
| CRS | Clinical Rockall score |
| ED | Emergency department |
| GBS | Glasgow Blatchford Score |
| HUPS | Hemoglobin–Urea–Pulse–Systolic blood pressure score |
| ICU | Intensive care unit |
| LOS | Length of stay |
| NA | Not available |
| NOS | Newcastle Ottawa Score |
| pBBS | Pre-endoscopic Baylor Bleeding Score |
| pCSMCP | Pre-endoscopic Cedars-Sinai Medical Center Predictive Index |
| UGIB | Upper gastrointestinal bleed |
References
- Abougergi, M.S.; Travis, A.C.; Saltzman, J.R. The in-hospital mortality rate for upper GI hemorrhage has decreased over 2 decades in the United States: A nationwide analysis. Gastrointest. Endosc. 2015, 81, 882–888.e1. [Google Scholar] [CrossRef]
- Hearnshaw, S.A.; Logan, R.F.; Lowe, D.; Travis, S.P.; Murphy, M.F.; Palmer, K.R. Acute upper gastrointestinal bleeding in the UK: Patient characteristics, diagnoses and outcomes in the 2007 UK audit. Gut 2011, 60, 1327–1335. [Google Scholar] [CrossRef]
- Stanley, A.J.; Ashley, D.; Dalton, H.R.; Mowat, C.; Gaya, D.R.; Thompson, E.; Warshow, U.; Groome, M.; Cahill, A.; Benson, G.; et al. Outpatient management of patients with low-risk upper-gastrointestinal haemorrhage: Multicentre validation and prospective evaluation. Lancet 2009, 373, 42–47. [Google Scholar] [CrossRef] [PubMed]
- Blatchford, O.; Murray, W.R.; Blatchford, M. A risk score to predict need for treatment for upper-gastrointestinal haemorrhage. Lancet 2000, 356, 1318–1321. [Google Scholar] [CrossRef] [PubMed]
- Rockall, T.A.; Logan, R.F.; Devlin, H.B.; Northfield, T.C. Risk assessment after acute upper gastrointestinal haemorrhage. Gut 1996, 38, 316–321. [Google Scholar] [CrossRef] [PubMed]
- Saltzman, J.R.; Tabak, Y.P.; Hyett, B.H.; Sun, X.; Travis, A.C.; Johannes, R.S. A simple risk score accurately predicts in-hospital mortality, length of stay, and cost in acute upper GI bleeding. Gastrointest. Endosc. 2011, 74, 1215–1224. [Google Scholar] [CrossRef]
- Laursen, S.B.; Oakland, K.; Laine, L.; Bieber, V.; Marmo, R.; Redondo-Cerezo, E.; Dalton, H.R.; Ngu, J.; Schultz, M.; Soncini, M.; et al. ABC score: A new risk score that accurately predicts mortality in acute upper and lower gastrointestinal bleeding: An international multicentre study. Gut 2021, 70, 707–716. [Google Scholar] [CrossRef] [PubMed]
- Oakland, K.; Kahan, B.C.; Guizzetti, L.; Martel, M.; Bryant, R.V.; Brahmania, M.; Singh, S.; Nguyen, N.Q.; Sey, M.S.L.; Barkun, A.; et al. Development, Validation, and Comparative Assessment of an International Scoring System to Determine Risk of Upper Gastrointestinal Bleeding. Clin. Gastroenterol. Hepatol. Off. Clin. Pract. J. Am. Gastroenterol. Assoc. 2019, 17, 1121–1129.e2. [Google Scholar] [CrossRef]
- Lu, Y.; Barkun, A.N.; Martel, M. Adherence to guidelines: A national audit of the management of acute upper gastrointestinal bleeding. The REASON registry. Can. J. Gastroenterol. Hepatol. 2014, 28, 495–501. [Google Scholar] [CrossRef] [PubMed]
- Barkun, A.N.; Almadi, M.; Kuipers, E.J.; Laine, L.; Sung, J.; Tse, F.; Leontiadis, G.I.; Abraham, N.S.; Calvet, X.; Chan, F.K.L.; et al. Management of Nonvariceal Upper Gastrointestinal Bleeding: Guideline Recommendations From the International Consensus Group. Ann. Intern. Med. 2019, 171, 805–822. [Google Scholar] [CrossRef] [PubMed]
- Laine, L.; Barkun, A.N.; Saltzman, J.R.; Martel, M.; Leontiadis, G.I. ACG Clinical Guideline: Upper Gastrointestinal and Ulcer Bleeding. Am. J. Gastroenterol. 2021, 116, 899–917. [Google Scholar] [CrossRef]
- Ramaekers, R.; Mukarram, M.; Smith, C.A.; Thiruganasambandamoorthy, V. The Predictive Value of Preendoscopic Risk Scores to Predict Adverse Outcomes in Emergency Department Patients with Upper Gastrointestinal Bleeding: A Systematic Review. Acad. Emerg. Med. Off. J. Soc. Acad. Emerg. Med. 2016, 23, 1218–1227. [Google Scholar] [CrossRef]
- Wells, D.R.; Burroughs-Ray, D.C.; Hardy, A.V.; Jackson, C.D. Know Your Guidelines Series: The ACG Clinical Practice Guideline on Upper Gastrointestinal and Ulcer Bleeding Review. South. Med. J. 2022, 115, 358–359. [Google Scholar] [CrossRef]
- Stanley, A.J.; Laine, L.; Dalton, H.R.; Ngu, J.H.; Schultz, M.; Abazi, R.; Zakko, L.; Thornton, S.; Wilkinson, K.; Khor, C.J.; et al. Comparison of risk scoring systems for patients presenting with upper gastrointestinal bleeding: International multicentre prospective study. BMJ 2017, 356, i6432. [Google Scholar] [CrossRef]
- Hardy, R.J.; Thompson, S.G. Detecting and describing heterogeneity in meta-analysis. Stat. Med. 1998, 17, 841–856. [Google Scholar] [CrossRef]
- DerSimonian, R.; Laird, N. Meta-analysis in clinical trials. Control. Clin. Trials 1986, 7, 177–188. [Google Scholar] [CrossRef]
- Higgins, J.P.; Thompson, S.G. Quantifying heterogeneity in a meta-analysis. Stat. Med. 2002, 21, 1539–1558. [Google Scholar] [CrossRef] [PubMed]
- Sweeting, M.J.; Sutton, A.J.; Lambert, P.C. What to add to nothing? Use and avoidance of continuity corrections in meta-analysis of sparse data. Stat. Med. 2004, 23, 1351–1375. [Google Scholar] [CrossRef] [PubMed]
- Aquarius, M.; Smeets, F.G.M.; Konijn, H.W.; Stassen, P.M.; Keulen, E.T.; Van Deursen, C.T.; Masclee, A.A.M.; Keulemans, Y.C. Prospective multicenter validation of the Glasgow Blatchford bleeding score in the management of patients with upper gastrointestinal hemorrhage presenting at an emergency department. Eur. J. Gastroenterol. Hepatol. 2015, 27, 1011–1016. [Google Scholar] [CrossRef]
- Banister, T.; Spiking, J.; Ayaru, L. Discharge of patients with an acute upper gastrointestinal bleed from the emergency department using an extended Glasgow-Blatchford Score. BMJ Open Gastroenterol. 2018, 5, e000225. [Google Scholar] [CrossRef]
- Chatten, K.; Purssell, H.; Banerjee, A.K.; Soteriadou, S.; Ang, Y. Glasgow Blatchford Score and risk stratifications in acute upper gastrointestinal bleed: Can we extend this to 2 for urgent outpatient management? Clin. Med. J. R. Coll. Physicians Lond. 2018, 18, 118–122. [Google Scholar] [CrossRef]
- Girardin, M.; Bertolini, D.; Ditisheim, S.; Frossard, J.L.; Giostra, E.; Goossens, N.; Morard, I.; Nguyen-Tang, T.; Spahr, L.; Vonlaufen, A.; et al. Use of glasgow-blatchford bleeding score reduces hospital stay duration and costs for patients with low-risk upper GI bleeding. Endosc. Int. Open 2014, 2, E74–E79. [Google Scholar] [CrossRef]
- Kayali, A.; Akyol, P.Y.; Topal, F.E.; Payza, U.; Topal, F.; Bilgin, S.; Karakaya, Z. Evaluation of the effectiveness of clinical classifications in patients who apply to the emergency department with upper gastrointestinal system bleeding. Biomed. Res. 2017, 28, 4618–4624. [Google Scholar]
- Laursen, S.B.; Dalton, H.R.; Murray, I.A.; Michell, N.; Johnston, M.R.; Schultz, M.; Hansen, J.M.; Schaffalitzky de Muckadell, O.B.; Blatchford, O.; Stanley, A.J.; et al. Performance of new thresholds of the glasgow blatchford score in managing patients with upper gastrointestinal bleeding. Clin. Gastroenterol. Hepatol. 2015, 13, 115–121.e2. [Google Scholar] [CrossRef] [PubMed]
- Leiman, D.A.; Mills, A.M.; Shofer, F.S.; Weber, A.T.; Leiman, E.R.; Riff, B.P.; Lewis, J.D.; Mehta, S.J. Glasgow Blatchford Score of limited benefit for low-risk urban patients: A mixed methods study. Endosc. Int. Open 2017, 5, E950–E958. [Google Scholar] [CrossRef] [PubMed]
- Mustafa, Z.; Cameron, A.; Clark, E.; Stanley, A.J. Outpatient management of low-risk patients with upper gastrointestinal bleeding: Can we safely extend the Glasgow Blatchford Score in clinical practice? Eur. J. Gastroenterol. Hepatol. 2015, 27, 512–515. [Google Scholar] [CrossRef] [PubMed]
- Pang, S.H.; Ching, J.Y.L.; Lau, J.Y.W.; Sung, J.J.Y.; Graham, D.Y.; Chan, F.K.L. Comparing the Blatchford and pre-endoscopic Rockall score in predicting the need for endoscopic therapy in patients with upper GI hemorrhage. Gastrointest. Endosc. 2010, 71, 1134–1140. [Google Scholar] [CrossRef]
- Robins, G.G.; Sarwar, M.S.; Armstrong, M.J. Evaluation of the need for endoscopy to identify low-risk patients presenting with an acute upper gastrointestinal bleed suitable for early discharge. Postgrad. Med. J. 2011, 87, 161. [Google Scholar] [CrossRef][Green Version]
- Samreen, S.; Khurram, M. Diagnostic accuracy of high risk Glasgow Blatchford score and need for endoscopic intervention in upper gastrointestinal bleeding. Rawal Med. J. 2016, 41, 394–397. [Google Scholar]
- Stephens, J.R.; Hare, N.C.; Warshow, U.; Hamad, N.; Fellows, H.J.; Pritchard, C.; Thatcher, P.; Jackson, L.; Michell, N.; Murray, I.A.; et al. Management of minor upper gastrointestinal haemorrhage in the community using the Glasgow Blatchford Score. Eur. J. Gastroenterol. Hepatol. 2009, 21, 1340–1346. [Google Scholar] [CrossRef]
- Ryan, K.; Malacova, E.; Appleyard, M.; Brown, A.F.; Song, L.; Grimpen, F. Clinical utility of the Glasgow Blatchford Score in patients presenting to the emergency department with upper gastrointestinal bleeding: A retrospective cohort study. Emerg. Med. Australas. EMA 2021, 33, 817–825. [Google Scholar] [CrossRef] [PubMed]
- Bryant, R.V.; Kuo, P.; Williamson, K.; Yam, C.; Schoeman, M.N.; Holloway, R.H.; Nguyen, N.Q. Performance of the Glasgow-Blatchford score in predicting clinical outcomes and intervention in hospitalized patients with upper GI bleeding. Gastrointest. Endosc. 2013, 78, 576–583. [Google Scholar] [CrossRef]
- Johnston, M.R.; Murray, I.A.; Schultz, M.; McLeod, P.; O’Donnell, N.; Norton, H.; Baines, C.; Fawcett, E.; Fesaitu, T.; Leung, H.; et al. Does preendoscopy rockall score safely identify low risk patients following upper gastrointestinal haemorrhage? Gastroenterol. Res. Pract. 2015, 2015, 410702. [Google Scholar] [CrossRef]
- Lima, J.C.; Montes, C.G.; Nagasako, C.K.; Reis, G.; dos Santos, J.O.M.; Guerrazzi, F.; Mesquita, M.A. Performance of the Rockall Scoring System in Predicting the Need for Intervention and Outcomes in Patients with Nonvariceal Upper Gastrointestinal Bleeding in a Brazilian Setting: A Prospective Study. Digestion 2013, 88, 252–257. [Google Scholar] [CrossRef] [PubMed]
- Tham, T.C.; James, C.; Kelly, M. Predicting outcome of acute non-variceal upper gastrointestinal haemorrhage without endoscopy using the clinical Rockall Score. Postgrad. Med. J. 2006, 82, 757–759. [Google Scholar] [CrossRef] [PubMed]
- Ak, R.; Hokenek, N.M. Comparison of AIMS65 and Glasgow Blatchford scores in predicting mortality in patients with upper gastrointestinal bleeding. Rev. Assoc. Med. Bras. 2021, 67, 766–770. [Google Scholar] [CrossRef]
- Lu, X.; Zhang, X.; Chen, H. Comparison of the AIMS65 score with the Glasgow-Blatchford and Rockall scoring systems for the prediction of the risk of in-hospital death among patients with upper gastrointestinal bleeding. Rev. Esp. Enfermedades Dig. 2020, 112, 467–473. [Google Scholar] [CrossRef]
- Park, S.W.; Song, Y.W.; Tak, D.H.; Ahn, B.M.; Kang, S.H.; Moon, H.S.; Sung, J.K.; Jeong, H.Y. The AIMS65 Score Is a Useful Predictor of Mortality in Patients with Nonvariceal Upper Gastrointestinal Bleeding: Urgent Endoscopy in Patients with High AIMS65 Scores. Clin. Endosc. 2015, 48, 522–527. [Google Scholar] [CrossRef]
- Kherad, O.; Restellini, S.; Almadi, M.; Martel, M.; Barkun, A.N. Comparative Evaluation of the ABC Score to Other Risk Stratification Scales in Managing High-risk Patients Presenting with Acute Upper Gastrointestinal Bleeding. J. Clin. Gastroenterol. 2023, 57, 479–485. [Google Scholar] [CrossRef]
- Chan, J.C.H.; Ayaru, L. Analysis of risk scoring for the outpatient management of acute upper gastrointestinal bleeding. Frontline Gastroenterol. 2011, 2, 19–25. [Google Scholar] [CrossRef]
- Gralnek, I.M.; Dulai, G.S. Incremental value of upper endoscopy for triage of patients with acute non-variceal upper-GI hemorrhage. Gastrointest. Endosc. 2004, 60, 9–14. [Google Scholar] [CrossRef] [PubMed]
- Lahiff, C.; Shields, W.; Cretu, I.; Mahmud, N.; McKiernan, S.; Norris, S.; Silke, B.; Reynolds, J.V.; O’Toole, D. Upper gastrointestinal bleeding: Predictors of risk in a mixed patient group including variceal and nonvariceal haemorrhage. Eur. J. Gastroenterol. Hepatol. 2012, 24, 149–154. [Google Scholar] [CrossRef]
- Meltzer, A.C.; Burnett, S.; Pinchbeck, C.; Brown, A.L.; Choudhri, T.; Yadav, K.; Fleischer, D.E.; Pines, J.M. Pre-endoscopic Rockall and Blatchford scores to identify which emergency department patients with suspected gastrointestinal bleed do not need endoscopic hemostasis. J. Emerg. Med. 2013, 44, 1083–1087. [Google Scholar] [CrossRef]
- Shrestha, U.K.; Sapkota, S. Etiology and adverse outcome predictors of upper gastrointestinal bleeding in 589 patients in Nepal. Dig. Dis. Sci. 2014, 59, 814–822. [Google Scholar] [CrossRef]
- Sasaki, Y.; Abe, T.; Kawamura, N.; Keitoku, T.; Shibata, I.; Ohno, S.; Ono, K.; Makishima, M. Prediction of the need for emergency endoscopic treatment for upper gastrointestinal bleeding and new score model: A retrospective study. BMC Gastroenterol. 2022, 22, 337. [Google Scholar] [CrossRef] [PubMed]
- Yaka, E.; Yılmaz, S.; Doğan, N.; Pekdemir, M. Comparison of the Glasgow-Blatchford and AIMS65 scoring systems for risk stratification in upper gastrointestinal bleeding in the emergency department. Acad. Emerg. Med. Off. J. Soc. Acad. Emerg. Med. 2015, 22, 22–30. [Google Scholar] [CrossRef] [PubMed]
- Zhong, M.; Chen, W.J.; Lu, X.Y.; Qian, J.; Zhu, C.Q. Comparison of three scoring systems in predicting clinical outcomes in patients with acute upper gastrointestinal bleeding: A prospective observational study. J. Dig. Dis. 2016, 17, 820–828. [Google Scholar] [CrossRef]
- Jansen, L.; Leffers, P.; Hermans, M.; Stassen, P.; Masclee, A.; Keulemans, Y. Identification of patients with upper gastrointestinal bleeding who do not need immediate treatment. Neth. J. Med. 2011, 69, 384–388. [Google Scholar]
- Jimenez-Rosales, R.; Lopez-Tobaruela, J.M.; Lopez-Vico, M.; Ortega-Suazo, E.J.; Martinez-Cara, J.G.; Redondo-Cerezo, E. Performance of the New ABC and MAP(ASH) Scores in the Prediction of Relevant Outcomes in Upper Gastrointestinal Bleeding. J. Clin. Med. 2023, 12, 1085. [Google Scholar] [CrossRef]
- Laursen, S.B.; Hansen, J.M.; Schaffalitzky de Muckadell, O.B. The Glasgow Blatchford score is the most accurate assessment of patients with upper gastrointestinal hemorrhage. Clin. Gastroenterol. Hepatol. Off. Clin. Pract. J. Am. Gastroenterol. Assoc. 2012, 10, 1130–1135.e1131. [Google Scholar] [CrossRef] [PubMed]
- Matsuhashi, T.; Hatta, W.; Hikichi, T.; Fukuda, S.; Mikami, T.; Tatsuta, T.; Nakamura, J.; Abe, Y.; Onozato, Y.; Ogata, Y.; et al. A simple prediction score for in-hospital mortality in patients with nonvariceal upper gastrointestinal bleeding. J. Gastroenterol. 2021, 56, 758–768. [Google Scholar] [CrossRef] [PubMed]
- Schiefer, M.; Aquarius, M.; Leffers, P.; Stassen, P.; van Deursen, C.; Oostenbrug, L.; Jansen, L.; Masclee, A.; Keulemans, Y.C. Predictive validity of the Glasgow Blatchford Bleeding Score in an unselected emergency department population in continental Europe. Eur. J. Gastroenterol. Hepatol. 2012, 24, 382–387. [Google Scholar] [CrossRef] [PubMed]
- Thanapirom, K.; Ridtiti, W.; Rerknimitr, R.; Thungsuk, R.; Noophun, P.; Wongjitrat, C.; Luangjaru, S.; Vedkijkul, P.; Lertkupinit, C.; Poonsab, S.; et al. Prospective comparaison of three risk scoring systems in non-variceal and variceal upper gastrointestinal bleeding. J. Hepatiol. 2012, 31, 761–767. [Google Scholar] [CrossRef]
- Peery, A.F.; Crockett, S.D.; Murphy, C.C.; Lund, J.L.; Dellon, E.S.; Williams, J.L.; Jensen, E.T.; Shaheen, N.J.; Barritt, A.S.; Lieber, S.R.; et al. Burden and Cost of Gastrointestinal, Liver, and Pancreatic Diseases in the United States: Update 2018. Gastroenterology 2019, 156, 254–272.e211. [Google Scholar] [CrossRef] [PubMed]
- McLaughlin, C.; Vine, L.; Chapman, L.; Deering, P.; Whittaker, S.; Beckly, J.; Fortun, P.; Murray, I.A.; Hussaini, S.H.; Michell, N.P.; et al. The management of low-risk primary upper gastrointestinal haemorrhage in the community: A 5-year observational study. Eur. J. Gastroenterol. Hepatol. 2012, 24, 288–293. [Google Scholar] [CrossRef] [PubMed]
- Bethea, E.D.; Travis, A.C.; Saltzman, J.R. Initial assessment and management of patients with nonvariceal upper gastrointestinal bleeding. J. Clin. Gastroenterol. 2014, 48, 823–829. [Google Scholar] [CrossRef]
- Tham, J.; Stanley, A. Clinical utility of pre-endoscopy risk scores in upper gastrointestinal bleeding. Expert Rev. Gastroenterol. Hepatol. 2019, 13, 1161–1167. [Google Scholar] [CrossRef]
- Marmo, R.; Soncini, M.; Bucci, C.; Zullo, A. Comparaison of assessment tools in acute upper gastrointestinal bleeding: Which one at which time point? Dig. Liver Dis. 2023, 55, 262–267. [Google Scholar] [CrossRef]
- Horibe, M.; Iwasaki, E.; Bazerbachi, F.; Kaneko, T.; Matsuzaki, J.; Minami, K.; Masaoka, T.; Hosoe, N.; Ogura, Y.; Namiki, S.; et al. Horibe GI bleeding prediction score: A simple score for triage decision-making in patients with suspected upper GI bleeding. Gastrointest. Endosc. 2020, 92, 578–588.e4. [Google Scholar] [CrossRef]
- Gralnek, I.M.; Stanley, A.J.; Morris, A.J.; Camus, M.; Lau, J.; Lanas, A.; Laursen, S.B.; Radaelli, F.; Papanikolaou, I.S.; Gonçalves, T.C.; et al. Endoscopic diagnosis and management of nonvariceal upper gastrointestinal hemorrhage (NVUGIH): European Society of Gastrointestinal Endoscopy (ESGE) Guideline–Update 2021. Endoscopy 2021, 53, 300–332. [Google Scholar] [CrossRef]
- Kim, J.S.; Kim, B.-W.; Kim, D.H.; Park, C.H.; Lee, H.; Joo, M.K.; Jung, D.H.; Chung, J.W.; Choi, H.S.; Baik, G.H.; et al. Guidelines for Nonvariceal Upper Gastrointestinal Bleeding. Gut Liver 2020, 14, 560–570. [Google Scholar] [CrossRef] [PubMed]
- Jung, D.H.; Ko, B.S.; Kim, Y.-J.; Kim, W.Y. Comparison of risk scores and shock index in hemodynamically stable patients presenting to the emergency department with nonvariceal upper gastrointestinal bleeding. Eur. J. Gastroenterol. Hepatol. 2019, 31, 781–785. [Google Scholar] [CrossRef] [PubMed]
- Contreras-Omaña, R.; Alfaro-Reynoso, J.; Cruz-Chávez, C.; Velasco, A.V.-R.; Flores-Ramírez, D.; Romero-Hernández, I.; Donato-Olguín, I.; García-Samper, X.; Bautista-Santos, A.; Reyes-Bastidas, M.; et al. The Progetto Nazionale Emorragia Digestiva (PNED) system vs. the Rockall score as mortality predictors in patients with nonvariceal upper gastrointestinal bleeding: A multicenter prospective study. Rev. Gastroenterol. Mex. 2017, 82, 123–128. [Google Scholar] [CrossRef] [PubMed]
- Shung, D.L.; Au, B.; Taylor, R.A.; Tay, J.K.; Laursen, S.B.; Stanley, A.J.; Dalton, H.R.; Ngu, J.; Schultz, M.; Laine, L. Validation of a Machine Learning Model That Outperforms Clinical Risk Scoring Systems for Upper Gastrointestinal Bleeding. Gastroenterology 2020, 158, 160–167. [Google Scholar] [CrossRef]
- Taslidere, B.; Sonmez, E.; Özcan, A.B.; Mehmetaj, L.; Keskin, E.B.; Gulen, B. Comparison of the quick SOFA score with Glasgow-Blatchford and Rockall scores in predicting severity in patients with upper gastrointestinal bleeding. Am. J. Emerg. Med. 2021, 45, 29–36. [Google Scholar] [CrossRef]
Disclaimer/Publisher’s Note: The statements, opinions and data contained in all publications are solely those of the individual author(s) and contributor(s) and not of MDPI and/or the editor(s). MDPI and/or the editor(s) disclaim responsibility for any injury to people or property resulting from any ideas, methods, instructions or products referred to in the content. |
© 2023 by the authors. Licensee MDPI, Basel, Switzerland. This article is an open access article distributed under the terms and conditions of the Creative Commons Attribution (CC BY) license (https://creativecommons.org/licenses/by/4.0/).


