Nomogram Model for Predicting the Prognosis of High-Grade Glioma in Adults Receiving Standard Treatment: A Retrospective Cohort Study
Abstract
1. Introduction
2. Patients and Methods
2.1. Patients
2.2. Patients’ Information
2.3. Treatment
2.3.1. Surgery
2.3.2. Radiotherapy
2.3.3. Chemotherapy
2.4. Follow-Up and Efficacy Evaluation
2.5. Statistical Analysis
3. Results
3.1. Baseline Characteristics
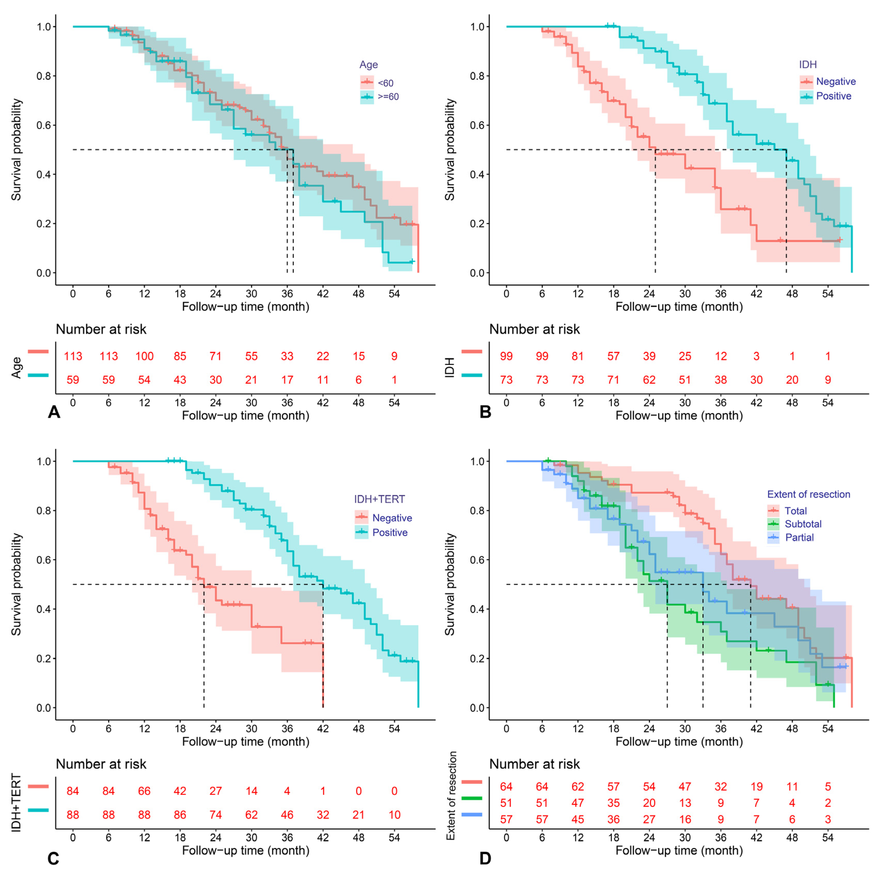
3.2. Univaraible and Multivariable COX Analyses
3.3. Establishment and Validation of the Nomogram Model
3.4. Online Dynamic Nomogram Model Establishment
4. Discussion
5. Conclusions
Supplementary Materials
Author Contributions
Funding
Institutional Review Board Statement
Informed Consent Statement
Data Availability Statement
Conflicts of Interest
References
- Ostrom, Q.T.; Bauchet, L.; Davis, F.G.; Deltour, I.; Fisher, J.L.; Langer, C.E.; Pekmezci, M.; Schwartzbaum, J.A.; Turner, M.C.; Walsh, K.M.; et al. The epidemiology of glioma in adults: A “state of the science” review. Neuro Oncol. 2014, 16, 896–913. [Google Scholar] [CrossRef] [PubMed]
- Louis, D.N.; Perry, A.; Wesseling, P.; Brat, D.J.; Cree, I.A.; Figarella-Branger, D.; Hawkins, C.; Ng, H.K.; Pfister, S.M.; Reifenberger, G.; et al. The 2021 WHO Classification of Tumors of the Central Nervous System: A summary. Neuro Oncol. 2021, 23, 1231–1251. [Google Scholar] [CrossRef]
- Stylli, S.S. Novel Treatment Strategies for Glioblastoma. Cancers 2020, 12, 2883. [Google Scholar] [CrossRef] [PubMed]
- Tunthanathip, T.; Ratanalert, S.; Sae-Heng, S.; Oearsakul, T.; Sakarunchai, I.; Kaewborisutsakul, A.; Chotsampancharoen, T.; Intusoma, U.; Kitkhuandee, A.; Vaniyapong, T. Prognostic factors and clinical nomogram predicting survival in high-grade glioma. J. Cancer Res. Ther. 2021, 17, 1052–1058. [Google Scholar] [CrossRef] [PubMed]
- Bush, N.A.; Chang, S.M.; Berger, M.S. Current and future strategies for treatment of glioma. Neurosurg. Rev. 2017, 40, 1–14. [Google Scholar] [CrossRef] [PubMed]
- Hervey-Jumper, S.L.; Berger, M.S. Maximizing safe resection of low- and high-grade glioma. J. Neurooncol. 2016, 130, 269–282. [Google Scholar] [CrossRef]
- Sanai, N.; Polley, M.Y.; McDermott, M.W.; Parsa, A.T.; Berger, M.S. An extent of resection threshold for newly diagnosed glioblastomas. J. Neurosurg. 2011, 115, 3–8. [Google Scholar] [CrossRef]
- Hardesty, D.A.; Sanai, N. The value of glioma extent of resection in the modern neurosurgical era. Front. Neurol. 2012, 3, 140. [Google Scholar] [CrossRef]
- Barbosa, B.J.; Mariano, E.D.; Batista, C.M.; Marie, S.K.; Teixeira, M.J.; Pereira, C.U.; Tatagiba, M.S.; Lepski, G.A. Intraoperative assistive technologies and extent of resection in glioma surgery: A systematic review of prospective controlled studies. Neurosurg. Rev. 2015, 38, 217–227. [Google Scholar] [CrossRef]
- Brown, T.J.; Brennan, M.C.; Li, M.; Church, E.W.; Brandmeir, N.J.; Rakszawski, K.L.; Patel, A.S.; Rizk, E.B.; Suki, D.; Sawaya, R.; et al. Association of the Extent of Resection With Survival in Glioblastoma: A Systematic Review and Meta-analysis. JAMA Oncol. 2016, 2, 1460–1469. [Google Scholar] [CrossRef]
- Klingenschmid, J.; Krigers, A.; Kerschbaumer, J.; Thomé, C.; Pinggera, D.; Freyschlag, C.F. Surgical Management of Malignant Glioma in the Elderly. Front. Oncol. 2022, 12, 900382. [Google Scholar] [CrossRef] [PubMed]
- Laperriere, N.; Zuraw, L.; Cairncross, G.; Cancer Care Ontario Practice Guidelines Initiative Neuro-Oncology Disease Site Group. Radiotherapy for newly diagnosed malignant glioma in adults: A systematic review. Radiother. Oncol. 2002, 64, 259–273. [Google Scholar] [CrossRef] [PubMed]
- Norden, A.D.; Wen, P.Y. Glioma therapy in adults. Neurologist 2006, 12, 279–292. [Google Scholar] [CrossRef] [PubMed]
- Sutera, P.; Kalash, R.; Flickinger, J.; Engh, J.; Heron, D.E. Clinical and Molecular Recursive Partitioning Analysis of High-grade Glioma Treated With IMRT. Am. J. Clin. Oncol. 2019, 42, 27–35. [Google Scholar] [CrossRef]
- Desjardins, A.; Rich, J.N.; Quinn, J.A.; Vredenburgh, J.; Gururangan, S.; Sathornsumetee, S.; Reardon, D.A.; Friedman, A.H.; Bigner, D.D.; Friedman, H.S. Chemotherapy and novel therapeutic approaches in malignant glioma. Front. Biosci. 2005, 10, 2645–2668. [Google Scholar] [CrossRef]
- Johnson, D.R.; O’Neill, B.P. Glioblastoma survival in the United States before and during the temozolomide era. J. Neurooncol. 2012, 107, 359–364. [Google Scholar] [CrossRef]
- Yan, H.; Parsons, D.W.; Jin, G.; McLendon, R.; Rasheed, B.A.; Yuan, W.; Kos, I.; Batinic-Haberle, I.; Jones, S.; Riggins, G.J.; et al. IDH1 and IDH2 mutations in gliomas. N. Engl. J. Med. 2009, 360, 765–773. [Google Scholar] [CrossRef]
- Parsons, D.W.; Jones, S.; Zhang, X.; Lin, J.C.; Leary, R.J.; Angenendt, P.; Mankoo, P.; Carter, H.; Siu, I.M.; Gallia, G.L.; et al. An integrated genomic analysis of human glioblastoma multiforme. Science 2008, 321, 1807–1812. [Google Scholar] [CrossRef]
- Butler, M.; Pongor, L.; Su, Y.T.; Xi, L.; Raffeld, M.; Quezado, M.; Trepel, J.; Aldape, K.; Pommier, Y.; Wu, J. MGMT Status as a Clinical Biomarker in Glioblastoma. Trends Cancer 2020, 6, 380–391. [Google Scholar] [CrossRef]
- Weller, M.; Stupp, R.; Reifenberger, G.; Brandes, A.A.; van den Bent, M.J.; Wick, W.; Hegi, M.E. MGMT promoter methylation in malignant gliomas: Ready for personalized medicine? Nat. Rev. Neurol. 2010, 6, 39–51. [Google Scholar] [CrossRef]
- Zhang, J.; Stevens, M.F.; Bradshaw, T.D. Temozolomide: Mechanisms of action, repair and resistance. Curr. Mol. Pharmacol. 2012, 5, 102–114. [Google Scholar] [CrossRef] [PubMed]
- Wen, P.Y.; Macdonald, D.R.; Reardon, D.A.; Cloughesy, T.F.; Sorensen, A.G.; Galanis, E.; Degroot, J.; Wick, W.; Gilbert, M.R.; Lassman, A.B.; et al. Updated response assessment criteria for high-grade gliomas: Response assessment in neuro-oncology working group. J. Clin. Oncol. 2010, 28, 1963–1972. [Google Scholar] [CrossRef] [PubMed]
- Ostrom, Q.T.; Gittleman, H.; Stetson, L.; Virk, S.M.; Barnholtz-Sloan, J.S. Epidemiology of gliomas. Cancer Treat. Res. 2015, 163, 1–14. [Google Scholar] [PubMed]
- Galbraith, K.; Snuderl, M. Molecular Pathology of Gliomas. Surg. Pathol. Clin. 2021, 14, 379–386. [Google Scholar] [CrossRef]
- Reifenberger, G.; Wirsching, H.G.; Knobbe-Thomsen, C.B.; Weller, M. Advances in the molecular genetics of gliomas-implications for classification and therapy. Nat. Rev. Clin. Oncol. 2017, 14, 434–452. [Google Scholar] [CrossRef] [PubMed]
- Chen, R.; Smith-Cohn, M.; Cohen, A.L.; Colman, H. Glioma Subclassifications and Their Clinical Significance. Neurotherapeutics 2017, 14, 284–297. [Google Scholar] [CrossRef]
- Rao, G. Intraoperative MRI and Maximizing Extent of Resection. Neurosurg. Clin. N. Am. 2017, 28, 477–485. [Google Scholar] [CrossRef]
- Stupp, R.; Mason, W.P.; van den Bent, M.J.; Weller, M.; Fisher, B.; Taphoorn, M.J.; Belanger, K.; Brandes, A.A.; Marosi, C.; Bogdahn, U.; et al. Radiotherapy plus concomitant and adjuvant temozolomide for glioblastoma. N. Engl. J. Med. 2005, 352, 987–996. [Google Scholar] [CrossRef]
- Huang, B.; Yu, Z.; Liang, R. Effect of long-term adjuvant temozolomide chemotherapy on primary glioblastoma patient survival. BMC Neurol. 2021, 21, 424. [Google Scholar] [CrossRef]
- Attarian, F.; Taghizadeh-Hesary, F.; Fanipakdel, A.; Javadinia, S.A.; Porouhan, P.; PeyroShabany, B.; Fazilat-Panah, D. A Systematic Review and Meta-Analysis on the Number of Adjuvant Temozolomide Cycles in Newly Diagnosed Glioblastoma. Front. Oncol. 2021, 11, 779491. [Google Scholar] [CrossRef]
- Balana, C.; Vaz, M.A.; Manuel Sepúlveda, J.; Mesia, C.; Del Barco, S.; Pineda, E.; Muñoz-Langa, J.; Estival, A.; de Las Peñas, R.; Fuster, J.; et al. A phase II randomized, multicenter, open-label trial of continuing adjuvant temozolomide beyond 6 cycles in patients with glioblastoma (GEINO 14-01). Neuro Oncol. 2020, 22, 1851–1861. [Google Scholar] [CrossRef]
- Roldán Urgoiti, G.B.; Singh, A.D.; Easaw, J.C. Extended adjuvant temozolomide for treatment of newly diagnosed glioblastoma multiforme. J. Neurooncol. 2012, 108, 173–177. [Google Scholar] [CrossRef] [PubMed]
- Capper, D.; Weissert, S.; Balss, J.; Habel, A.; Meyer, J.; Jäger, D.; Ackermann, U.; Tessmer, C.; Korshunov, A.; Zentgraf, H.; et al. Characterization of R132H mutation-specific IDH1 antibody binding in brain tumors. Brain Pathol. 2010, 20, 245–254. [Google Scholar] [CrossRef] [PubMed]
- Śledzińska, P.; Bebyn, M.G.; Furtak, J.; Kowalewski, J.; Lewandowska, M.A. Prognostic and Predictive Biomarkers in Gliomas. Int. J. Mol. Sci. 2021, 22, 10373. [Google Scholar] [CrossRef] [PubMed]
- Chen, J.R.; Yao, Y.; Xu, H.Z.; Qin, Z.Y. Isocitrate Dehydrogenase (IDH)1/2 Mutations as Prognostic Markers in Patients With Glioblastomas. Medicine 2016, 95, e2583. [Google Scholar] [CrossRef] [PubMed]
- Wang, Q.; Zhang, L.; Cui, Y.; Zhang, C.; Chen, H.; Gu, J.; Qian, J.; Luo, C. Increased RLIP76 expression in IDH1 wild-type glioblastoma multiforme is associated with worse prognosis. Oncol. Rep. 2020, 43, 188–200. [Google Scholar] [CrossRef]
- Romano, F.J.; Guadagno, E.; Solari, D.; Borrelli, G.; Pignatiello, S.; Cappabianca, P.; Del Basso De Caro, M. ATM and p53 combined analysis predicts survival in glioblastoma multiforme patients: A clinicopathologic study. J. Cell Biochem. 2018, 119, 4867–4877. [Google Scholar] [CrossRef]
- Wick, W.; Weller, M.; van den Bent, M.; Sanson, M.; Weiler, M.; von Deimling, A.; Plass, C.; Hegi, M.; Platten, M.; Reifenberger, G. MGMT testing—The challenges for biomarker-based glioma treatment. Nat. Rev. Neurol. 2014, 10, 372–385. [Google Scholar] [CrossRef]
- Yu, W.; Zhang, L.; Wei, Q.; Shao, A. O6-Methylguanine-DNA Methyltransferase (MGMT): Challenges and New Opportunities in Glioma Chemotherapy. Front. Oncol. 2020, 9, 1547. [Google Scholar] [CrossRef]
- Haque, W.; Teh, C.; Butler, E.B.; Teh, B.S. Prognostic and predictive impact of MGMT promoter methylation status in high risk grade II glioma. J. Neurooncol. 2022, 157, 137–146. [Google Scholar] [CrossRef]
- Sareen, H.; Ma, Y.; Becker, T.M.; Roberts, T.L.; de Souza, P.; Powter, B. Molecular Biomarkers in Glioblastoma: A Systematic Review and Meta-Analysis. Int. J. Mol. Sci. 2022, 23, 8835. [Google Scholar] [CrossRef] [PubMed]
- Schaff, L.R.; Yan, D.; Thyparambil, S.; Tian, Y.; Cecchi, F.; Rosenblum, M.; Reiner, A.S.; Panageas, K.S.; Hembrough, T.; Lin, A.L. Characterization of MGMT and EGFR protein expression in glioblastoma and association with survival. J. Neurooncol. 2020, 146, 163–170. [Google Scholar] [CrossRef] [PubMed]
- Binabaj, M.M.; Bahrami, A.; ShahidSales, S.; Joodi, M.; Joudi Mashhad, M.; Hassanian, S.M.; Anvari, K.; Avan, A. The prognostic value of MGMT promoter methylation in glioblastoma: A meta-analysis of clinical trials. J. Cell Physiol. 2018, 233, 378–386. [Google Scholar] [CrossRef] [PubMed]
- Killela, P.J.; Pirozzi, C.J.; Healy, P.; Reitman, Z.J.; Lipp, E.; Rasheed, B.A.; Yang, R.; Diplas, B.H.; Wang, Z.; Greer, P.K.; et al. Mutations in IDH1, IDH2, and in the TERT promoter define clinically distinct subgroups of adult malignant gliomas. Oncotarget 2014, 5, 1515–1525. [Google Scholar] [CrossRef] [PubMed]
- Arita, H.; Matsushita, Y.; Machida, R.; Yamasaki, K.; Hata, N.; Ohno, M.; Yamaguchi, S.; Sasayama, T.; Tanaka, S.; Higuchi, F.; et al. TERT promoter mutation confers favorable prognosis regardless of 1p/19q status in adult diffuse gliomas with IDH1/2 mutations. Acta Neuropathol. Commun. 2020, 8, 201. [Google Scholar] [CrossRef]
- Labussière, M.; Di Stefano, A.L.; Gleize, V.; Boisselier, B.; Giry, M.; Mangesius, S.; Bruno, A.; Paterra, R.; Marie, Y.; Rahimian, A.; et al. TERT promoter mutations in gliomas, genetic associations and clinico-pathological correlations. Br. J. Cancer 2014, 111, 2024–2032. [Google Scholar] [CrossRef]
- Kikuchi, Z.; Shibahara, I.; Yamaki, T.; Yoshioka, E.; Shofuda, T.; Ohe, R.; Matsuda, K.I.; Saito, R.; Kanamori, M.; Kanemura, Y.; et al. TERT promoter mutation associated with multifocal phenotype and poor prognosis in patients with IDH wild-type glioblastoma. Neurooncol. Adv. 2020, 2, vdaa114. [Google Scholar] [CrossRef]
- Simon, M.; Hosen, I.; Gousias, K.; Rachakonda, S.; Heidenreich, B.; Gessi, M.; Schramm, J.; Hemminki, K.; Waha, A.; Kumar, R. TERT promoter mutations: A novel independent prognostic factor in primary glioblastomas. Neuro Oncol. 2015, 17, 45–52. [Google Scholar] [CrossRef]
- Labussière, M.; Boisselier, B.; Mokhtari, K.; Di Stefano, A.L.; Rahimian, A.; Rossetto, M.; Ciccarino, P.; Saulnier, O.; Paterra, R.; Marie, Y.; et al. Combined analysis of TERT, EGFR, and IDH status defines distinct prognostic glioblastoma classes. Neurology 2014, 83, 1200–1206. [Google Scholar] [CrossRef]
- Nguyen, H.N.; Lie, A.; Li, T.; Chowdhury, R.; Liu, F.; Ozer, B.; Wei, B.; Green, R.M.; Ellingson, B.M.; Wang, H.J.; et al. Human TERT promoter mutation enables survival advantage from MGMT promoter methylation in IDH1 wild-type primary glioblastoma treated by standard chemoradiotherapy. Neuro Oncol. 2017, 19, 394–404. [Google Scholar]
- Nonoguchi, N.; Ohta, T.; Oh, J.E.; Kim, Y.H.; Kleihues, P.; Ohgaki, H. TERT promoter mutations in primary and secondary glioblastomas. Acta Neuropathol. 2013, 126, 931–937. [Google Scholar] [CrossRef] [PubMed]
- Spiegl-Kreinecker, S.; Lötsch, D.; Ghanim, B.; Pirker, C.; Mohr, T.; Laaber, M.; Weis, S.; Olschowski, A.; Webersinke, G.; Pichler, J.; et al. Prognostic quality of activating TERT promoter mutations in glioblastoma: Interaction with the rs2853669 polymorphism and patient age at diagnosis. Neuro Oncol. 2015, 17, 1231–1240. [Google Scholar] [CrossRef] [PubMed]
- Higa, N.; Akahane, T.; Yokoyama, S.; Yonezawa, H.; Uchida, H.; Takajo, T.; Kirishima, M.; Hamada, T.; Matsuo, K.; Fujio, S.; et al. A tailored next-generation sequencing panel identified distinct subtypes of wildtype IDH and TERT promoter glioblastomas. Cancer Sci. 2020, 111, 3902–3911. [Google Scholar] [CrossRef] [PubMed]
- Eckel-Passow, J.E.; Lachance, D.H.; Molinaro, A.M.; Walsh, K.M.; Decker, P.A.; Sicotte, H.; Pekmezci, M.; Rice, T.; Kosel, M.L.; Smirnov, I.V.; et al. Glioma Groups Based on 1p/19q, IDH, and TERT Promoter Mutations in Tumors. N. Engl. J. Med. 2015, 372, 2499–2508. [Google Scholar] [CrossRef] [PubMed]
- Kim, B.W.; Kim, M.S.; Kim, S.W.; Chang, C.H.; Kim, O.L. Peritumoral brain edema in meningiomas: Correlation of radiologic and pathologic features. J. Korean Neurosurg. Soc. 2011, 49, 26–30. [Google Scholar] [CrossRef]
- Qu, S.; Hu, T.; Qiu, O.; Su, Y.; Gu, J.; Xia, Z. Effect of Piezo1 Overexpression on Peritumoral Brain Edema in Glioblastomas. AJNR Am. J. Neuroradiol. 2020, 41, 1423–1429. [Google Scholar] [CrossRef]
- Lemée, J.M.; Clavreul, A.; Menei, P. Intratumoral heterogeneity in glioblastoma: Don’t forget the peritumoral brain zone. Neuro Oncol. 2015, 17, 1322–1332. [Google Scholar] [CrossRef]
- Wang, X.; Liu, X.; Chen, Y.; Lin, G.; Mei, W.; Chen, J.; Liu, Y.; Lin, Z.; Zhang, S. Histopathological findings in the peritumoral edema area of human glioma. Histol. Histopathol. 2015, 30, 1101–1109. [Google Scholar]
- Yang, Y.; Han, Y.; Zhao, S.; Xiao, G.; Guo, L.; Zhang, X.; Cui, G. Spatial heterogeneity of edema region uncovers survival-relevant habitat of Glioblastoma. Eur. J. Radiol. 2022, 154, 110423. [Google Scholar] [CrossRef]
- Zhang, M.; Ye, F.; Su, M.; Cui, M.; Chen, H.; Ma, X. The Prognostic Role of Peritumoral Edema in Patients with Newly Diagnosed Glioblastoma: A Retrospective Analysis. J. Clin. Neurosci. 2021, 89, 249–257. [Google Scholar] [CrossRef]
- Xia, Y.; Liao, W.; Huang, S.; Liu, Z.; Huang, X.; Yang, C.; Ye, C.; Jiang, Y.; Wang, J. Nomograms for Predicting the Overall and Cancer-Specific Survival of Patients with High-Grade Glioma: A Surveillance, Epidemiology, and End Results Study. Turk Neurosurg. 2020, 30, 48–59. [Google Scholar] [CrossRef] [PubMed]
- Tan, Y.; Mu, W.; Wang, X.C.; Yang, G.Q.; Gillies, R.J.; Zhang, H. Improving survival prediction of high-grade glioma via machine learning techniques based on MRI radiomic, genetic and clinical risk factors. Eur. J. Radiol. 2019, 120, 108609. [Google Scholar] [CrossRef] [PubMed]
- Zhou, Q.; Ke, X.; Xue, C.; Li, S.; Huang, X.; Zhang, B.; Zhou, J. A Nomogram for Predicting Early Recurrence in Patients with High-Grade Gliomas. World Neurosurg. 2022, 164, e619–e628. [Google Scholar] [CrossRef] [PubMed]








| Variables | No. of Patients (%) | PFS | OS | ||||||
|---|---|---|---|---|---|---|---|---|---|
| HR | Lower 95%CI | Upper 95%CI | p Value | HR | Lower 95%CI | Upper 95%CI | p Value | ||
| Gender | |||||||||
| Female | 119 (48.4%) | 0.855 | 0.592 | 1.235 | 0.404 | 0.766 | 0.514 | 1.142 | 0.192 |
| Male | 127 (51.6%) | ||||||||
| Age | |||||||||
| <60 | 138 (56.1%) | 1.186 | 0.804 | 1.750 | 0.390 | 1.330 | 0.729 | 2.427 | 0.353 |
| ≥60 | 108 (43.9%) | ||||||||
| KPS | |||||||||
| 60 | 63 (25.6%) | 1.007 | 0.982 | 1.033 | 0.599 | 0.986 | 0.959 | 1.014 | 0.330 |
| 70 | 121 (49.2%) | ||||||||
| 80 | 62 (25.2%) | ||||||||
| Extent of resection | |||||||||
| Total | 95 (38.6%) | 1.373 | 1.111 | 1.697 | 0.003 | 1.305 | 1.036 | 1.643 | 0.024 |
| Subtotal | 73 (29.7%) | ||||||||
| Partial | 78 (31.7%) | ||||||||
| Tumor grade | |||||||||
| CNS WHO 3 | 84 (34.1%) | 1.220 | 0.813 | 1.829 | 0.337 | 0.959 | 0.630 | 1.460 | 0.845 |
| CNS WHO 4 | 162 (65.9%) | ||||||||
| IDH mutation | |||||||||
| Negative | 136 (55.3%) | 0.266 | 0.177 | 0.402 | <0.001 | 0.339 | 0.218 | 0.525 | < 0.001 |
| Positive | 110 (44.7%) | ||||||||
| MGMT promoter methylation | |||||||||
| Negative | 148 (60.2%) | 0.515 | 0.345 | 0.769 | 0.001 | 0.609 | 0.400 | 0.928 | 0.021 |
| Positive | 98 (39.8%) | ||||||||
| TERT promoter mutation | |||||||||
| Negative | 152 (61.8%) | 0.596 | 0.408 | 0.870 | 0.007 | 0.650 | 0.434 | 0.974 | 0.037 |
| Positive | 94(38.2%) | ||||||||
| Interval between surgery and radiotherapy | |||||||||
| >45d | 118 (48.0%) | 1.169 | 0.810 | 1.689 | 0.404 | 1.305 | 0.875 | 1.945 | 0.192 |
| ≤45d | 128 (52.0%) | ||||||||
| Postoperative TMZ adjuvant chemotherapy cycles | |||||||||
| ≥9 | 140 (56.9%) | 0.979 | 0.677 | 1.414 | 0.909 | 0.745 | 0.497 | 1.116 | 0.153 |
| 6 | 106 (43.1%) | ||||||||
| Tumor volume (cutoff point: 1737.15cm3) # | |||||||||
| <1737.15cm3 | 152 (61.8%) | 0.913 | 0.622 | 1.342 | 0.645 | NA | NA | NA | NA |
| ≥1737.15cm3 | 94 (38.2%) | ||||||||
| Tumor volume (cutoff point: 1419.04cm3) # | |||||||||
| <1419.04cm3 | 119 (48.4%) | NA | NA | NA | NA | 0.903 | 0.595 | 1.370 | 0.631 |
| ≥1419.04cm3 | 127 (51.6%) | ||||||||
| Maximum diameter (cutoff point: 1.64cm) # | |||||||||
| <1.64cm | 105 (42.6%) | 1.139 | 0.734 | 1.768 | 0.562 | NA | NA | NA | NA |
| ≥1.64cm | 141 (57.4%) | ||||||||
| Maximum diameter (cutoff point: 1.37cm) # | |||||||||
| <1.37cm | 74 (30.1%) | NA | NA | NA | NA | 1.188 | 0.739 | 1.910 | 0.478 |
| ≥1.37cm | 172 (69.9%) | ||||||||
| Edema index | |||||||||
| <3.09 | 125 (50.8%) | 1.582 | 1.005 | 2.490 | 0.047 | 1.353 | 0.896 | 2.043 | 0.151 |
| ≥3.09 | 121 (49.2%) | ||||||||
| T1WI | |||||||||
| Hypo-intensity | 199 (80.9%) | 1.043 | 0.756 | 1.440 | 0.796 | 0.806 | 0.538 | 1.208 | 0.296 |
| Iso-intensity | 39 (15.9%) | ||||||||
| Hyper-intensity | 8(3.2%) | ||||||||
| T2WI | |||||||||
| Hypo-intensity | 6 (2.5%) | 0.925 | 0.584 | 1.465 | 0.740 | 0.925 | 0.565 | 1.515 | 0.756 |
| Iso-intensity | 33 (13.4%) | ||||||||
| Hyper-intensity | 207 (84.1%) | ||||||||
| Flair | |||||||||
| Hypo-intensity | 5 (2.0%) | 0.754 | 0.596 | 0.488 | 0.202 | 0.700 | 0.443 | 1.105 | 0.126 |
| Iso-intensity | 30 (12.2%) | ||||||||
| Hyper-intensity | 211 (85.8%) | ||||||||
| DWI | |||||||||
| Hypo-intensity | 4 (1.6%) | 0.717 | 0.465 | 1.106 | 0.132 | 0.659 | 0.417 | 1.039 | 0.728 |
| Iso-intensity | 7 (2.8%) | ||||||||
| Hyper-intensity | 235 (95.6%) | ||||||||
| Enhanced pattern | |||||||||
| Heterogenous | 222 (90.2%) | 0.878 | 0.492 | 1.569 | 0.661 | 1.178 | 0.677 | 2.050 | 0.562 |
| Homogenous | 24 (9.8%) | ||||||||
Disclaimer/Publisher’s Note: The statements, opinions and data contained in all publications are solely those of the individual author(s) and contributor(s) and not of MDPI and/or the editor(s). MDPI and/or the editor(s) disclaim responsibility for any injury to people or property resulting from any ideas, methods, instructions or products referred to in the content. |
© 2022 by the authors. Licensee MDPI, Basel, Switzerland. This article is an open access article distributed under the terms and conditions of the Creative Commons Attribution (CC BY) license (https://creativecommons.org/licenses/by/4.0/).
Share and Cite
Du, P.; Yang, X.; Shen, L.; Chen, J.; Liu, X.; Wu, X.; Cao, A.; Geng, D. Nomogram Model for Predicting the Prognosis of High-Grade Glioma in Adults Receiving Standard Treatment: A Retrospective Cohort Study. J. Clin. Med. 2023, 12, 196. https://doi.org/10.3390/jcm12010196
Du P, Yang X, Shen L, Chen J, Liu X, Wu X, Cao A, Geng D. Nomogram Model for Predicting the Prognosis of High-Grade Glioma in Adults Receiving Standard Treatment: A Retrospective Cohort Study. Journal of Clinical Medicine. 2023; 12(1):196. https://doi.org/10.3390/jcm12010196
Chicago/Turabian StyleDu, Peng, Xionggang Yang, Li Shen, Jiawei Chen, Xiao Liu, Xuefan Wu, Aihong Cao, and Daoying Geng. 2023. "Nomogram Model for Predicting the Prognosis of High-Grade Glioma in Adults Receiving Standard Treatment: A Retrospective Cohort Study" Journal of Clinical Medicine 12, no. 1: 196. https://doi.org/10.3390/jcm12010196
APA StyleDu, P., Yang, X., Shen, L., Chen, J., Liu, X., Wu, X., Cao, A., & Geng, D. (2023). Nomogram Model for Predicting the Prognosis of High-Grade Glioma in Adults Receiving Standard Treatment: A Retrospective Cohort Study. Journal of Clinical Medicine, 12(1), 196. https://doi.org/10.3390/jcm12010196

