Transition to Online Education during the COVID-19 Pandemic: Impact of Changes in Alcohol Consumption and Experiencing Hangovers on Academic Functioning
Abstract
:1. Introduction
1.1. Educational Changes during the COVID-19 Pandemic
1.2. Research Aim and Hypotheses
2. Materials and Methods
2.1. Survey Content
2.1.1. Demographics
2.1.2. Alcohol Consumption
2.1.3. Academic Functioning
2.1.4. Statistical Analysis
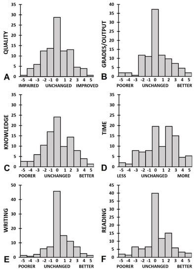
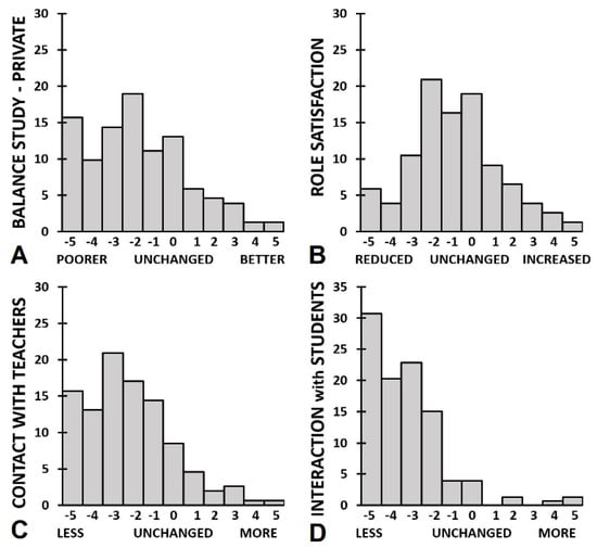
3. Results
3.1. Comparison with Participants That Not Consume Alcohol
4. Discussion
5. Conclusions
Author Contributions
Funding
Institutional Review Board Statement
Informed Consent Statement
Data Availability Statement
Conflicts of Interest
References
- RIVM. COVID-19 Intensive Care-Opnames (IC) in Nederland Per Ic-Opnamedatum en Meldingsdatum (Volgens NICE Registratie). Available online: https://data.rivm.nl/geonetwork/srv/dut/catalog.search#/metadata/45f911c4-3a62-42f1-b594-524a75db2c94 (accessed on 29 June 2021).
- Tasso, A.F.; Hisli Sahin, N.; San Roman, G.J. COVID-19 disruption on college students: Academic and socioemotional implications. Psychol. Trauma 2021, 13, 9–15. [Google Scholar] [CrossRef] [PubMed]
- Wathelet, M.; Duhem, S.; Vaiva, G.; Baubet, T.; Habran, E.; Veerapa, E.; Debien, C.; Molenda, S.; Horn, M.; Grandgenèvre, P.; et al. Factors associated with mental health disorders among university students in France confined during the COVID-19 pandemic. JAMA Netw. Open 2020, 3, e2025591. [Google Scholar] [CrossRef] [PubMed]
- Bolatov, A.K.; Seisembekov, T.Z.; Askarova, A.Z.; Baikanova, R.K.; Smailova, D.S.; Fabbro, E. Online-learning due to COVID-19 improved mental health among medical students. Med. Sci. Educ. 2020, 31, 1–10. [Google Scholar] [CrossRef]
- Elzainy, A.; El Sadik, A.; Al Abdulmonem, W. Experience of e-learning and online assessment during the COVID-19 pandemic at the College of Medicine, Qassim University. J. Taibah Univ. Med. Sci. 2020, 15, 456–462. [Google Scholar] [CrossRef] [PubMed]
- Gonzalez, T.; de la Rubia, M.A.; Hincz, K.P.; Comas-Lopez, M.; Subirats, L.; Fort, S.; Sacha, G.M. Influence of COVID-19 confinement on students’ performance in higher education. PLoS ONE 2020, 15, e0239490. [Google Scholar] [CrossRef]
- Mahdy, M.A.A. The impact of COVID-19 pandemic on the academic performance of veterinary medical students. Front. Vet. Sci. 2020, 7, 594261. [Google Scholar] [CrossRef]
- Gallego-Gómez, J.I.; Campillo-Cano, M.; Carrión-Martínez, A.; Balanza, S.; Rodríguez-González-Moro, M.T.; Simonelli-Muñoz, A.J.; Rivera-Caravaca, J.M. The COVID-19 pandemic and its impact on homebound nursing students. Int. J. Environ. Res. Public Health 2020, 17, 7383. [Google Scholar] [CrossRef] [PubMed]
- Sundarasen, S.; Chinna, K.; Kamaludin, K.; Nurunnabi, M.; Baloch, G.M.; Khoshaim, H.B.; Hossain, S.F.A.; Sukayt, A. Psychological impact of COVID-19 and lockdown among university students in Malaysia: Implications and policy recommendations. Int. J. Environ. Res. Public Health 2020, 17, 6206. [Google Scholar] [CrossRef] [PubMed]
- Rohmani, N.; Andriani, R. Correlation between academic self-efficacy and burnout originating from distance learning among nursing students in Indonesia during the coronavirus disease 2019 pandemic. J. Educ. Eval. Health Prof. 2021, 18, 9. [Google Scholar] [CrossRef]
- Hanafy, S.M.; Jumaa, M.I.; Arafa, M.A. A comparative study of online learning in response to the coronavirus disease 2019 pandemic versus conventional learning. Saudi Med. J. 2021, 42, 324–331. [Google Scholar] [CrossRef]
- Clarke, C.; Mullin, M.; McGrath, D.; Farrelly, N. University students and study habits. Ir. J. Psychol. Med. 2021, 1–10. [Google Scholar] [CrossRef] [PubMed]
- Prowse, R.; Sherratt, F.; Abizaid, A.; Gabrys, R.L.; Hellemans, K.G.C.; Patterson, Z.R.; McQuaid, R.J. Coping with the COVID-19 pandemic: Examining gender differences in stress and mental health among university students. Front. Psychiatry 2021, 12, 650759. [Google Scholar] [CrossRef] [PubMed]
- Czeisler, M.É.; Lane, R.I.; Petrosky, E.; Wiley, J.F.; Christensen, A.; Njai, R.; Weaver, M.D.; Robbins, R.; Facer-Childs, E.R.; Barger, L.K.; et al. Mental health, substance use, and suicidal ideation during the COVID-19 pandemic—United States, June 24–30, 2020. Morb. Mortal. Wkly. Rep. 2020, 69, 1049–1057. [Google Scholar] [CrossRef] [PubMed]
- Barbosa, C.; Cowell, A.J.; Dowd, W.N. Alcohol Consumption in Response to the COVID-19 Pandemic in the United States. J. Addict. Med. 2020, 5, 341–344. [Google Scholar] [CrossRef] [PubMed]
- Schmits, E.; Glowacz, F. Changes in alcohol use during the COVID-19 pandemic: Impact of the lockdown conditions and mental health factors. Int. J. Ment. Health Addict. 2021. [Google Scholar] [CrossRef] [PubMed]
- Callinan, S.; Smit, K.; Mojica-Perez, Y.; D’Aquino, S.; Moore, D.; Kuntsche, E. Shifts in alcohol consumption during the COVID-19 pandemic: Early indications from Australia. Addiction 2020, 116, 1381–1388. [Google Scholar] [CrossRef] [PubMed]
- Stanton, R.; To, Q.G.; Khalesi, S.; Williams, S.L.; Alley, S.J.; Thwaite, T.L.; Fenning, A.S.; Vandelanotte, C. Depression, anxiety and stress during COVID-19: Associations with changes in physical activity, sleep, tobacco and alcohol use in Australian adults. Int. J. Environ. Res. Public Health 2020, 17, 4065. [Google Scholar] [CrossRef]
- Alpers, S.E.; Skogen, J.C.; Mæland, S.; Pallesen, S.; Rabben, Å.K.; Lunde, L.H.; Fadnes, L.T. Alcohol consumption during a pandemic lockdown period and change in alcohol consumption related to worries and pandemic measures. Int. J. Environ. Res. Public Health 2021, 18, 1220. [Google Scholar] [CrossRef] [PubMed]
- Szajnoga, D.; Klimek-Tulwin, M.; Piekut, A. COVID-19 lockdown leads to changes in alcohol consumption patterns. Results from the Polish national survey. J. Addict. Dis. 2021, 39, 215–225. [Google Scholar] [CrossRef]
- Grossman, E.R.; Benjamin-Neelon, S.E.; Sonnenschein, S. Alcohol Consumption during the COVID-19 Pandemic: A Cross-Sectional Survey of US Adults. Int. J. Environ. Res. Public. Health 2020, 17, 9189. [Google Scholar] [CrossRef]
- Verster, J.C.; van Herwijnen, J.; Olivier, B.; Kahler, C.W. Validation of the Dutch Brief Young Adult Alcohol Consequences Questionnaire (B-YAACQ). Addict. Behav. 2009, 34, 411–414. [Google Scholar] [CrossRef] [PubMed]
- Van Schrojenstein Lantman, M.; van de Loo, A.J.; Mackus, M.; Verster, J.C. Development of a definition for the alcohol hangover: Consumer descriptions and expert consensus. Curr. Drug Abus. Rev. 2016, 9, 148–154. [Google Scholar] [CrossRef] [PubMed]
- Verster, J.C.; Scholey, A.; van de Loo, A.J.A.E.; Benson, S.; Stock, A.-K. Updating the definition of the alcohol hangover. J. Clin. Med. 2020, 9, 823. [Google Scholar] [CrossRef] [PubMed] [Green Version]
- Penning, R.; McKinney, A.; Verster, J.C. Alcohol hangover symptoms and their contribution to overall hangover severity. Alcohol Alcohol. 2012, 47, 248–252. [Google Scholar] [CrossRef] [PubMed] [Green Version]
- Van Schrojenstein Lantman, M.; Mackus, M.; van de Loo, A.J.A.E.; Verster, J.C. The impact of alcohol hangover symptoms on cognitive and physical functioning, and mood. Hum. Psychopharmacol. Clin. Exp. 2017, 32, e2623. [Google Scholar] [CrossRef] [PubMed]
- Gunn, C.; Mackus, M.; Griffin, C.; Munafò, M.R.; Adams, S. A systematic review of the next-day effects of heavy alcohol consumption on cognitive performance. Addiction 2018, 113, 2182–2193. [Google Scholar] [CrossRef] [PubMed]
- Kruisselbrink, L.D. The neurocognitive effects of alcohol hangover: Patterns of impairment/nonimpairment within the neurocognitive domain of the Diagnostic and Statistical Manual of Mental Disorders. In Neuroscience of Alcohol: Mechanisms and Treatment, 5th ed.; Preedy, V.R., Ed.; Academic Press: Cambridge, MA, USA, 2019; pp. 391–402. [Google Scholar]
- Verster, J.C.; van der Maarel, M.; McKinney, A.; Olivier, B.; de Haan, L. Driving during alcohol hangover among Dutch professional truck drivers. Traffic Inj. Prev. 2014, 15, 434–438. [Google Scholar] [CrossRef]
- Verster, J.C.; Bervoets, A.C.; de Klerk, S.; Vreman, R.A.; Olivier, B.; Roth, T.; Brookhuis, K.A. Effects of alcohol hangover on simulated highway driving performance. Psychopharmacology 2014, 231, 2999–3008. [Google Scholar] [CrossRef]
- Alford, C.; Broom, C.; Carver, H.; Johnson, S.J.; Reece, R.; Lands, S.; Verster, J.C. The impact of alcohol hangover on simulated driving performance during a ‘commute to work’—zero and residual alcohol effects compared. J. Clin. Med. 2020, 9, 1435. [Google Scholar] [CrossRef]
- Ames, G.M.; Grube, J.W.; Moore, R.S. The relationship of drinking and hangovers to workplace problems: An empirical study. J. Stud. Alcohol 1997, 58, 37–47. [Google Scholar] [CrossRef]
- Frone, M.R.; Verster, J.C. Alcohol hangover and the workplace: A need for research. Curr. Drug Abus. Rev. 2013, 6, 177–179. [Google Scholar] [CrossRef]
- Frone, M.R. Employee psychoactive substance involvement: Historical context, key findings, and future directions. Annu. Rev. Organ. Psychol. Organ. Behav. 2019, 6, 273–297. [Google Scholar] [CrossRef]
- Hallett, J.; Howat, P.; McManus, A.; Meng, R.; Maycock, B.; Kypri, K. Academic and personal problems among Australian university students who drink at hazardous levels: Web-based survey. Health Promot. J. Aust. 2013, 24, 170–177. [Google Scholar] [CrossRef] [Green Version]
- Howland, J.; Rohsenow, D.J.; Greece, J.A.; Littlefield, C.A.; Almeida, A.; Heeren, T.; Winter, M.; Bliss, C.A.; Hunt, S.; Hermos, J. The effects of binge drinking on college students’ next-day academic test-taking performance and mood state. Addiction 2010, 105, 655–665. [Google Scholar] [CrossRef] [PubMed] [Green Version]
- Hendriksen, P.A.; Merlo, A.; Bijlsma, E.Y.; Engels, F.; Garssen, J.; Bruce, G.; Verster, J.C. COVID-19 Lockdown Effects on Academic Functioning, Mood, and Health Correlates: Data from Dutch Pharmacy Students, PhD-Candidates and Postdocs. Data 2021, 6, 120. [Google Scholar]
- Verster, J.C.; van de Loo, A.J.A.E.; Benson, S.; Scholey, A.; Stock, A.-K. The assessment of overall hangover severity. J. Clin. Med. 2020, 9, 786. [Google Scholar] [CrossRef] [PubMed] [Green Version]
- Merlo, A.; Severeijns, N.R.; Benson, S.; Scholey, A.; Garssen, J.; Bruce, G.; Verster, J.C. Mood and changes in alcohol consumption in young adults during COVID-19 lockdown: A model explaining associations with perceived immune fitness and experiencing COVID-19 symptoms. Int. J. Environ. Res. Public Health 2021, 18, 10028. [Google Scholar] [CrossRef]
- Merlo, A.; Hendriksen, P.A.; Severeijns, N.R.; Garssen, J.; Bruce, G.; Verster, J.C. Alcohol consumption patterns during COVID-19 lockdown and their relationship with perceived immune fitness and reported COVID-19 symptoms. Healthcare 2021, 9, 1039. [Google Scholar] [CrossRef]






| Variable | Overall | Men | Women |
|---|---|---|---|
| n | 156 | 38 | 118 |
| Age (years) | 23.9 (4.4) | 22.3 (4.1) | 22.7 (4.2) * |
| Living situation | |||
| Alone | 18 (11.5 %) | 6 (15.8%) | 12 (10.2%) |
| Together with others (students, friends) | 83 (53.2 %) | 8 (47.4%) | 65 (55.1%) |
| Together with family | 55 (35.3 %) | 14 (36.8%) | 41 (34.7%) |
| Educational level | |||
| —Bachelor pharmacy or CPS | 83 (53.2 %) | 16 (42.1%) | 67 (56.8%) |
| —Master pharmacy | 53 (34.0 %) | 13 (34.2%) | 40 (33.9%) |
| —PhD-candidate | 20 (12.8 %) | 9 (23.7%) | 11 (9.3%) |
| Variable | Before COVID-19 | First Lockdown | Summer 2020 (No Lockdown) | Second Lockdown |
|---|---|---|---|---|
| Alcoholic drinks per week | ||||
| Overall | 6.5 (8.5) | 3.9 (5.2) a | 6.5 (7.0) b | 5.3 (8.2) a,c |
| Men | 11.2 (11.3) | 7.3 (6.9) | 10.1 (10.0) | 8.5 (10.6) |
| Women | 5.0 (6.7) * | 2.8 (3.9) *,a | 5.3 (5.1) * | 4.2 (7.0) *,b,c |
| Drinking days per week | ||||
| Overall | 1.9 (1.3) | 1.4 (1.5) a | 2.3 (1.4) b | 1.6 (1.4) a,c |
| Men | 2.4 (1.4) | 1.8 (1.5) | 2.5 (1.4) | 2.0 (1.5) a,c |
| Women | 1.8 (1.2) | 1.3 (1.5) *,a | 2.3 (1.4) b | 1.5 (1.4) c |
| Hangover severity | ||||
| Overall | 2.7 (2.7) | 1.4 (2.3) a | 2.3 (2.7) b | 2.1 (2.7) |
| Men | 3.4 (2.7) | 2.7 (2.7) | 3.3 (2.9) | 3.1 (2.8) |
| Women | 2.5 (2.7) | 0.9 (2.0) *,a | 2.0 (2.6) b | 1.7 (2.5) * |
| Hangover frequency | ||||
| Overall | 1.6 (2.2) | 0.6 (1.4) a | 1.4 (2.2) b | 1.0 (1.8) a |
| Men | 2.1 (2.5) | 0.9 (1.2) a | 1.8 (2.2) | 1.4 (2.2) |
| Women | 1.4 (2.1) | 0.5 (1.5) *,a | 1.2 (2.2) b | 0.9 (1.6) a |
| Academic Functioning | Men | Women |
|---|---|---|
| Quality | −0.1 (1.9) | 0.0 (2.0) |
| Time | 0.1 (2.5) | 1.0 (2.3) * |
| Grades/Output | 0.3 (1.9) | 0.4 (2.1) |
| Knowledge | 0.2 (2.3) | 0.2 (2.3) |
| Reading | 0.3 (2.0) | 0.4 (2.0) |
| Writing | 0.2 (2.0) | 0.5 (1.7) * |
| Contact with teachers | −2.0 (2.2) * | −2.0 (2.2) * |
| Interactions with students | −2.9 (2.2) * | −3.0 (2.0) * |
| Balance study-private life | −1.0 (2.8) | −1.7 (2.4) * |
| Role satisfaction | −0.6 (2.3) | −0.6 (2.4) * |
| Variable | Alcoholic Drinks per Week | Drinking Days per Week | Hangover Severity | Hangover Frequency |
|---|---|---|---|---|
| Quality | ||||
| Overall | −0.067 | −0.014 | −0.043 | −0.084 |
| Men | −0.203 | −0.061 | 0.066 | 0.028 |
| Women | 0.002 | −0.001 | −0.099 | −0.129 |
| Time | ||||
| Overall | −0.025 | −0.007 | −0.119 | −0.167 |
| Men | −0.077 | 0.016 | 0.066 | 0.028 |
| Women | −0.020 | −0.024 | −0.179 | −0.248 |
| Grades/Output | ||||
| Overall | −0.157 | −0.073 | −0.086 | −0.225 * |
| Men | −0.253 | −0.074 | 0.095 | −0.139 |
| Women | −0.123 | −0.077 | −0.144 | −0.261 * |
| Knowledge | ||||
| Overall | −0.076 | 0.023 | −0.009 | −0.066 |
| Men | −0.138 | −0.011 | 0.134 | 0.009 |
| Women | −0.056 | 0.035 | −0.057 | −0.086 |
| Reading | ||||
| Overall | 0.065 | 0.150 | 0.026 | −0.027 |
| Men | 0.124 | 0.256 | 0.005 | 0.048 |
| Women | 0.032 | 0.114 | 0.027 | −0.052 |
| Writing | ||||
| Overall | −0.012 | 0.028 | −0.066 | −0.076 |
| Men | −0.086 | 0.014 | 0.038 | −0.175 |
| Women | −0.011 | 0.018 | −0.088 | −0.053 |
| Contact with teachers | ||||
| Overall | −0.004 | 0.009 | 0.073 | 0.037 |
| Men | −0.024 | −0.053 | 0.025 | 0.064 |
| Women | 0.004 | 0.032 | 0.077 | 0.051 |
| Interactions with students | ||||
| Overall | −0.171 | 0.189 | 0.030 | 0.098 |
| Men | 0.262 | 0.200 | 0.028 | 0.215 |
| Women | 0.143 | 0.196 | 0.012 | 0.075 |
| Balance study-private life | ||||
| Overall | 0.052 | 0.053 | 0.114 | 0.007 |
| Men | 0.253 | 0.273 | 0.159 | 0.105 |
| Women | 0.004 | 0.007 | 0.101 | 0.022 |
| Role satisfaction | ||||
| Overall | 0.036 | 0.079 | 0.091 | 0.010 |
| Men | −0.072 | 0.098 | 0.159 | 0.050 |
| Women | 0.084 | 0.070 | 0.058 | −0.001 |
| Variable | Alcohol | No Alcohol |
|---|---|---|
| n | 156 | 94 |
| Age (years) | 23.9 (4.4) | 22.4 (3.3) |
| Living situation | ||
| Alone | 18 (11.5 %) | 11 (11.7%) |
| Together with others (students, friends) | 83 (53.2 %) | 18 (19.1%) * |
| Together with family | 55 (35.3 %) | 65 (69.1%) * |
| Educational level | ||
| —Bachelor pharmacy or CPS | 83 (53.2 %) | 60 (63.8%) |
| —Master pharmacy | 53 (34.0 %) | 23 (24.5%) |
| —PhD-candidate | 20 (12.8 %) | 11 (11.7%) |
| Academic Functioning | Alcohol | No alcohol |
|---|---|---|
| Quality | −0.4 (2.0) | 0.10 (2.1) |
| Time | 0.78 (2.3) * | 0.69 (2.5) |
| Grades/Output | 0.27 (1.9) | 0.61 (2.2) |
| Knowledge | 0.05 (2.1) | 0.46 (2.6) |
| Reading | 0.34 (2.0) | 0.43 (2.1) |
| Writing | 0.42 (1.7) * | 0.43 (2.0) |
| Contact with teachers | −2.20 (2.1) * | −1.82 (2.2) * |
| Interactions with students | −3.25 (1.9) * | −2.57 (2.3) * |
| Balance study-private life | −1.71 (2.4) * | −1.28 (2.7) * |
| Role satisfaction | −0.84 (2.2) * | −0.17 (2.6) |
Publisher’s Note: MDPI stays neutral with regard to jurisdictional claims in published maps and institutional affiliations. |
© 2021 by the authors. Licensee MDPI, Basel, Switzerland. This article is an open access article distributed under the terms and conditions of the Creative Commons Attribution (CC BY) license (https://creativecommons.org/licenses/by/4.0/).
Share and Cite
Merlo, A.; Hendriksen, P.A.; Garssen, J.; Bijlsma, E.Y.; Engels, F.; Bruce, G.; Verster, J.C. Transition to Online Education during the COVID-19 Pandemic: Impact of Changes in Alcohol Consumption and Experiencing Hangovers on Academic Functioning. J. Clin. Med. 2021, 10, 5332. https://doi.org/10.3390/jcm10225332
Merlo A, Hendriksen PA, Garssen J, Bijlsma EY, Engels F, Bruce G, Verster JC. Transition to Online Education during the COVID-19 Pandemic: Impact of Changes in Alcohol Consumption and Experiencing Hangovers on Academic Functioning. Journal of Clinical Medicine. 2021; 10(22):5332. https://doi.org/10.3390/jcm10225332
Chicago/Turabian StyleMerlo, Agnese, Pauline A. Hendriksen, Johan Garssen, Elisabeth Y. Bijlsma, Ferdi Engels, Gillian Bruce, and Joris C. Verster. 2021. "Transition to Online Education during the COVID-19 Pandemic: Impact of Changes in Alcohol Consumption and Experiencing Hangovers on Academic Functioning" Journal of Clinical Medicine 10, no. 22: 5332. https://doi.org/10.3390/jcm10225332
APA StyleMerlo, A., Hendriksen, P. A., Garssen, J., Bijlsma, E. Y., Engels, F., Bruce, G., & Verster, J. C. (2021). Transition to Online Education during the COVID-19 Pandemic: Impact of Changes in Alcohol Consumption and Experiencing Hangovers on Academic Functioning. Journal of Clinical Medicine, 10(22), 5332. https://doi.org/10.3390/jcm10225332

