NMR Studies of Solvent-Free Ceramic Composite Polymer Electrolytes—A Brief Review
Abstract
:1. Introduction
2. Results and Discussion
2.1. Polymer/Ceramic Composite Electrolytes





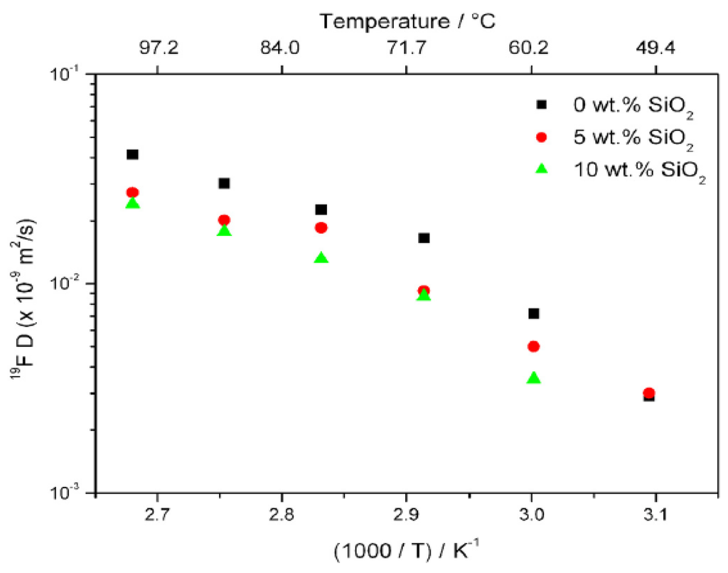
2.2. Sodium-Ion Batteries:
| PEO20:NaTFSI + x% SiO2 x= | tNa+ |
|---|---|
| 0 | 0.39 |
| 5 | 0.51 |
| 10 | 0.48 |

3. Conclusion
Acknowledgments
Author Contributions
Conflicts of Interest
References
- Dunn, B.; Kamath, H.; Tarascon, J.M. Electrical Energy Storage for the Grid: A Battery of Choices. Science 2011, 334, 928–935. [Google Scholar] [CrossRef] [PubMed]
- Hankey, R. Electric Power Monthly; U.S. Energy Information Administration: Washington, DC, USA, 2015. Available online: https://www.eia.gov/electricity/monthly/current_year/october2015.pdf (accessed on 1 October 2015).
- Kuhn, A.; Duppel, V.; Lotsch, B.V. Tetragonal Li10GeP2S12 and Li7GePS8—Exploring the Li ion dynamics in LGPS Li electrolytes. Energy Environ. Sci. 2013, 6, 3548–3552. [Google Scholar] [CrossRef]
- Fergus, J.W. Ceramic and polymeric solid electrolytes for lithium-ion batteries. J. Pow. Sources 2010, 195, 4554–4569. [Google Scholar] [CrossRef]
- Abbrent, S.; Greenbaum, S. Recent progress in NMR spectroscopy of polymer electrolytes for lithium batteries. Curr. Opin. Colloid Interface Sci. 2013, 18, 228–244. [Google Scholar] [CrossRef]
- Dai, Y.; Wang, Y.; Greenbaum, S.G.; Bajue, S.A.; Golodnitsky, D.; Ardel, G.; Strauss, E.; Peled, E. Electrical, thermal and NMR investigation of composite solid electrolytes based on PEO, LiI and high surface area inorganic oxides. Electrochim. Acta 1998, 43, 1557–1561. [Google Scholar] [CrossRef]
- Capiglia, C.; Mustarelli, P.; Quartarone, E.; Tomasi, C.; Magistris, A. Effects of nanoscale SiO2 on the thermal and transport properties of solvent-free, poly(ethylene oxide) (PEO)-based polymer electrolytes. Solid State Ionics 1999, 118, 73–79. [Google Scholar] [CrossRef]
- Gang, W.; Roos, J.; Brinkmann, D.; Capuano, F.; Croce, F.; Scrosati, B. Comparison of NMR and conductivity in (PEP)8LiClO4+γ-LiAlO2. Solid State Ionics 1992, 53, 1102–1105. [Google Scholar] [CrossRef]
- Chung, S.H.; Wang, Y.; Persi, L.; Croce, F.; Greenbaum, S.G.; Scrosati, B.; Plichta, E. Enhancement of ion transport in polymer electrolytes by addition of nanoscale inorganic oxides. J. Power Sources 2001, 97–98, 644–648. [Google Scholar] [CrossRef]
- Gorecki, W.; Jeannin, M.; Belorizky, E.; Roux, C.; Armand, M. Physical properties of solid polymer electrolyte PEO(LiTFSI) complexes. J. Phys. Condensed Matter 1995, 7, 6823–6832. [Google Scholar] [CrossRef]
- Croce, F.; Appetecchi, G.B.; Persi, L.; Scrosati, B. Nanocomposite polymer electrolytes for lithium batteries. Nature 1998, 394, 456–458. [Google Scholar]
- Weston, J.E.; Steele, B.C.H. Effects of inert fillers on the mechanical and electrochemical properties of lithium salt-poly(ethylene oxide) polymer electrolytes. Solid State Ionics 1982, 7, 75–79. [Google Scholar] [CrossRef]
- Capuano, F.; Croce, F.; Scrosati, B. Composite Polymer Electrolytes. J. Electrochem. Soc. 1991, 138, 1918–1922. [Google Scholar] [CrossRef]
- Ardel, G.; Golodnitsky, D.; Peled, E.; Wang, Y.; Gang, W.; Bajue, S.; Greenbaum, S. Bulk and interfacial ionic conduction in LiI/Al2O3 mixtures. Solid State Ionics 1998, 113–115, 477–485. [Google Scholar] [CrossRef]
- Liang, C.C. Conduction Characteristics of the Lithium Iodide-Aluminum Oxide Solid Electrolytes. J. Electrochem. Soc. 1973, 120, 1289–1292. [Google Scholar] [CrossRef]
- Park, K.; Cho, J.H.; Shanmuganathan, K.; Song, J.; Peng, J.; Gobet, M.; Greenbaum, S.; Ellison, C.J.; Goodenough, J.B. New battery strategies with a polymer/Al2O3 separator. J. Power Sources 2014, 263, 52–58. [Google Scholar] [CrossRef]
- Blanga, R.; Burstein, L.; Berman, M.; Greenbaum, S.G.; Golodnitsky, D. Solid polymer-in-ceramic electrolyte formed by electrophoretic deposition. J. Electrochem. Soc. 2015, 162, D3084–D3089. [Google Scholar] [CrossRef]
- Fardion, L. Over the last few years, interest in high energy density sodium ion (Na-ion) batteries has increased. Available online: http://www.faradion.co.uk/technology/sodium-ion technology/ (accessed on 15 August 2015).
- Ellis, B.L.; Nazar, L.F. Sodium and sodium-ion energy storage batteries. Curr. Opin. Colloid Interface Sci. 2012, 16, 168–177. [Google Scholar] [CrossRef]
- Pan, H.; Hu, Y.S.; Chen, L. Room-temperature stationary sodium-ion batteries for large-scale electric energy storage. Energy Environ. Sci. 2013, 6, 2338–2360. [Google Scholar] [CrossRef]
- Perrier, M.; Besner, S.; Paquette, C.; Vallée, A.; Lascaud, S.; Prud'homme, J. Mixed-alkali effect and short-range interactions in amorphous poly(ethylene oxide) electrolytes. Electrochim. Acta 1995, 40, 2123–2129. [Google Scholar] [CrossRef]
- Serra Moreno, J.; Armand, M.; Berman, M.B.; Greenbaum, S.G.; Scrosati, B.; Panero, S. Composite PEOn:NaTFSI polymer electrolyte: Preparation, thermal and electrochemical characterization. J. Power Sources 2014, 248, 695–702. [Google Scholar] [CrossRef]
- Wieczorek, W.; Florjanczyk, Z.; Stevens, J.R. Composite polyether based solid electrolytes. Electrochim. Acta 1995, 40, 2251–2258. [Google Scholar] [CrossRef]
- Przyluski, J.; Siekierski, M.; Wieczorek, W. Effective medium theory in studies of conductivity of composite polymeric electrolytes. Electrochim. Acta 1995, 40, 2101–2108. [Google Scholar] [CrossRef]
© 2015 by the authors; licensee MDPI, Basel, Switzerland. This article is an open access article distributed under the terms and conditions of the Creative Commons Attribution license (http://creativecommons.org/licenses/by/4.0/).
Share and Cite
Berman, M.B.; Greenbaum, S.G. NMR Studies of Solvent-Free Ceramic Composite Polymer Electrolytes—A Brief Review. Membranes 2015, 5, 915-923. https://doi.org/10.3390/membranes5040915
Berman MB, Greenbaum SG. NMR Studies of Solvent-Free Ceramic Composite Polymer Electrolytes—A Brief Review. Membranes. 2015; 5(4):915-923. https://doi.org/10.3390/membranes5040915
Chicago/Turabian StyleBerman, Marc B., and Steven G. Greenbaum. 2015. "NMR Studies of Solvent-Free Ceramic Composite Polymer Electrolytes—A Brief Review" Membranes 5, no. 4: 915-923. https://doi.org/10.3390/membranes5040915
APA StyleBerman, M. B., & Greenbaum, S. G. (2015). NMR Studies of Solvent-Free Ceramic Composite Polymer Electrolytes—A Brief Review. Membranes, 5(4), 915-923. https://doi.org/10.3390/membranes5040915
